Analysis of the Correlation between Persimmon Fruit-Sugar Components and Taste Traits from Germplasm Evaluation
Abstract
1. Introduction
2. Results
2.1. Characterization of Phenotypic Traits in Persimmon Germplasm
2.2. Determination of Soluble Sugars in Persimmon Germplasm
2.2.1. Composition of Soluble-Sugar Components in Fruits of Different Persimmon Varieties
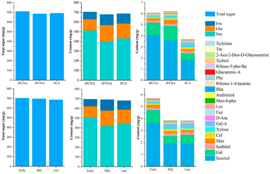
2.2.2. Content of Soluble-Sugar Components in Fruits of Different Persimmon Varieties
2.2.3. Differences in the Contents of Soluble-Sugar Components in Different Persimmon Germplasm Groups
2.3. Correlation Analysis of Various Plastid Phenotypic Traits with Soluble-Sugar Components
2.4. Principal Component Analysis of Soluble-Sugar Components in Fruits of Persimmon Germplasm Resources
2.5. Cluster Analysis of Persimmon Germplasm Resources Based on Sugar Components
2.6. Electronic-Tongue Analysis of Persimmon Fruit Flavors
2.7. Correlation Analysis of Sugar Components and Electronic-Tongue Indicators in Different Persimmon Germplasms
2.7.1. Correlation Analysis between Different Types of Sugar Accumulation and Electron-Tongue Data for Persimmon Germplasms
2.7.2. Correlation Analysis of Sugar Components in Different Clusters of Persimmon Germplasm with Electronic-Tongue Data
2.8. Stepwise Multiple Regression Analysis
3. Discussion
3.1. Phenotypic Diversity and Sugar Component Differences in Persimmon Germplasm Resources
3.2. Correlation Analysis of Fruit-Sugar Components with Phenotypic Traits
3.3. Correlations between Sugar Components and Flavor Indicators among Different Germplasms
3.4. Regression Analysis of Electronic Tongue and Sugar Components
4. Materials and Methods
4.1. Plant Materials
4.2. Determination of Phenotypic Traits
4.3. Extraction and GC-MS Determination of Soluble Sugars
4.4. Electronic-Tongue-Based Taste Evaluation
4.5. Statistical Analysis
5. Conclusions
Supplementary Materials
Author Contributions
Funding
Institutional Review Board Statement
Informed Consent Statement
Data Availability Statement
Acknowledgments
Conflicts of Interest
References
- Xu, Y.; Cheng, W.Q.; Xiong, C.Y.; Jiang, X.B.; Wu, K.Y.; Gong, B.C. Genetic diversity and association analysis among germplasms of Diospyros kaki in Zhejiang Province based on SSR markers. Forests 2021, 12, 422. [Google Scholar] [CrossRef]
- Liang, Y.Q.; Han, W.J.; Sun, P.; Liang, J.J.; Wuyun, T.N.; Li, F.D.; Fu, J.M. Genetic diversity among germplasms of Diospyros kaki based on SSR markers. Sci. Hortic. 2015, 186, 180–189. [Google Scholar] [CrossRef]
- Castillo, M.; Pons-Gómez, A.; Albert-Sidro, C.; Delpozo, B.; Besada, C. Acceptance, sensory characterization and consumption contexts for dehydrated persimmon slices, chips, leathers and powder: A consumer study. Foods 2023, 12, 1966. [Google Scholar] [CrossRef] [PubMed]
- Quartieri, M.; Polidori, G.; Baldi, E.; Toselli, M. Evaluation of Removed and Recycled Mineral Nutrients in Italian Commercial Persimmon Orchards. Horticulturae 2023, 9, 374. [Google Scholar] [CrossRef]
- Hossain, A.; Shahidi, F. Persimmon leaves: Nutritional, pharmaceutical, and industrial potential—A review. Plants 2023, 12, 937. [Google Scholar] [CrossRef] [PubMed]
- Jia, Y.; Dang, M.; Khalifa, I.; Zhang, Y.; Huang, Y.; Li, K.; Li, C. Persimmon tannin can enhance the emulsifying properties of persimmon pectin via promoting the network and forming a honeycomb-structure. Food Hydrocoll. 2023, 135, 108157. [Google Scholar] [CrossRef]
- Wang, Y.R.; Suo, Y.J.; Li, H.W.; Han, W.J.; Sun, P.; Li, F.D.; Fu, J.M. Diversity of Catechin Content in the Leaves of Persimmon Germplasms. Horticulturae 2023, 9, 464. [Google Scholar] [CrossRef]
- Akagi, T.; Katayama-Ikegami, A.; Yonemori, K. Proanthocyanidin biosynthesis of persimmon (Diospyros kaki Thunb.) fruit. Sci. Hortic. 2011, 130, 373–380. [Google Scholar] [CrossRef]
- Zhang, Q.L.; Luo, Z.R. Origin, evolution, taxonomy and germplasm. In The Persimmon Genome; Springer International Publishing: Cham, Switzerland, 2022; pp. 11–27. [Google Scholar]
- Gil, K.A.; Nowicka, P.; Wojdyło, A.; Tuberoso, C.I.G. Investigation into Polyphenol Profile and Biological Activities of Enriched Persimmon/Apple Smoothies during Storage. Foods 2023, 12, 3248. [Google Scholar] [CrossRef]
- Özdemir, N.; Budak, N.H.; Filiz, B.E.; Özer, E. Occurrences and changes in aroma-associated volatile compound profiles and prominent bioactive compounds at different stages of persimmon vinegar production process. J. Food Process. Preserv. 2022, 46, e17048. [Google Scholar] [CrossRef]
- Kim, Y.-M.; Lubinska-Szczygeł, M.; Park, Y.-S.; Deutsch, J.; Ezra, A.; Luksrikul, P.; Beema Shafreen, R.M.; Gorinstein, S. Characterization of bioactivity of selective molecules in fruit wines by FTIR and NMR spectroscopies, fluorescence and docking calculations. Molecules 2023, 28, 6036. [Google Scholar] [CrossRef]
- Daood, H.G.; Biacs, P.; Czinkotai, B.; Hoschke, Á. Chromatographic investigation of carotenoids, sugars and organic acids from Diospyros kaki fruits. Food Chem. 1992, 45, 151–155. [Google Scholar] [CrossRef]
- Jiménez-Sánchez, C.; Lozano-Sánchez, J.; Marti, N.; Saura, D.; Valero, M.; Segura-Carretero, A.; Fernández-Gutiérrez, A. Characterization of polyphenols, sugars, and other polar compounds in persimmon juices produced under different technologies and their assessment in terms of compositional variations. Food Chem. 2015, 182, 282–291. [Google Scholar] [CrossRef]
- Nugraheni, M.; Windarwati, W.; Rahmawati, F. Potential of Dyospirus khaki beverage as sources of natural antioxidant. Pak. J. Nutr. 2013, 12, 620–627. [Google Scholar] [CrossRef][Green Version]
- Del Bubba, M.; Giordani, E.; Pippucci, L.; Cincinelli, A.; Checchini, L.; Galvan, P. Changes in tannins, ascorbic acid and sugar content in astringent persimmons during on-tree growth and ripening and in response to different postharvest treatments. J. Food Compos. Anal. 2009, 22, 668–677. [Google Scholar] [CrossRef]
- Ittah, Y. Sugar content changes in persimmon fruits (Diospyros kaki L.) during artificial ripening with CO2: A possible connection to deastringency mechanisms. Food Chem. 1993, 48, 25–29. [Google Scholar] [CrossRef]
- Veberic, R.; Jurhar, J.; Mikulic-Petkovsek, M.; Stampar, F.; Schmitzer, V. Comparative study of primary and secondary metabolites in 11 cultivars of persimmon fruit (Diospyros kaki L.). Food Chem. 2010, 119, 477–483. [Google Scholar] [CrossRef]
- Lu, X.Y.; Mo, X.Y.; Guo, H.; Zhang, Y.L. Sulfation modification and anticoagulant activity of the polysaccharides obtained from persimmon (Diospyros kaki L.) fruits. Int. J. Biol. Macromol. 2012, 51, 1189–1195. [Google Scholar] [CrossRef]
- Pires, L.; Gorin, P.; Reicher, F.; Sierakowski, M.-R. An active heparinoid obtained by sulphation of a galactomannan extracted from the endosperm of Senna macranthera seeds. Carbohydr. Polym. 2001, 46, 165–169. [Google Scholar] [CrossRef]
- Ilić, Z.S.; Koukounaras, A.; Milenković, L.; Kevrešan, Ž.; Bajić, A.; Šunić, L.; Kovač, R.; Fallik, E.; Mastilović, J. Grafting and shading—The influence on postharvest tomato quality. Agriculture 2020, 10, 181. [Google Scholar] [CrossRef]
- Tao, J.J.; Wu, M.T.; Zhong, W.Q.; Jiao, X.D.; Chen, S.S.; Jia, H.M.; Jia, D.F.; Huang, C.H. Changes in Fruit Quality and Sugar Components of Wild Actinidia eriantha of Different Varieties (Lines) at the Ripening Stage. Horticulturae 2022, 8, 824. [Google Scholar] [CrossRef]
- Pangborn, R.M. Relative Taste Intensities of Selected Sugars and Organic Acidsa. J. Food Sci. 1963, 28, 726–733. [Google Scholar] [CrossRef]
- Moskowitz, H.R. The sweetness and pleasantness of sugars. Am. J. Psychol. 1971, 84, 387–405. [Google Scholar] [CrossRef]
- Chen, J.; Li, Y.; Zhu, Y.J.; Mao, Y.N. Properties of sorbitol and research progress of its application in food. Cereals Oils 2018, 31, 7–9. [Google Scholar]
- Kordowska-Wiater, M. Production of arabitol by yeasts: Current status and future prospects. J. Appl. Microbiol. 2015, 119, 303–314. [Google Scholar] [CrossRef]
- Glew, R.H.; Ayaz, F.A.; Millson, M.; Huang, H.; Chuang, L.; Sanz, C.; Golding, J.B. Changes in sugars, acids and fatty acids in naturally parthenocarpic date plum persimmon (Diospyros lotus L.) fruit during maturation and ripening. Eur. Food Res. Technol. 2005, 221, 113–118. [Google Scholar] [CrossRef]
- Ge, B.X. Analysis of Sugar Composition and Effect of Postharvest Treatment in Persimmmon Fruit. Master’s Thesis, Yangzhou University, Yangzhou, China, 2019. [Google Scholar]
- Wang, Y.R.; Diao, S.F.; Li, H.W.; Zhang, Q.; Pu, T.T.; Han, W.J.; Fu, J.M. Components and contents diversity of soluble sugars in mature fruit of persimmon germplasm. J. Northwest A F Univ. (Nat. Sci. Ed.) 2023, 51, 76–85. [Google Scholar]
- Pan, J. Effects of Several Cultivition Measures on the Changes of Commponents and Contents of Sugar Acid and Tannin in Persimmon Fruits. Master’s Thesis, Yangzhou University, Yangzhou, China, 2020. [Google Scholar]
- Cui, Y.; Chen, Y.; Wang, S.; Wang, S.; Yang, J.; Ismael, M.; Wang, X.; Lü, X. Purification, structural characterization and antioxidant activities of two neutral polysaccharides from persimmon peel. Int. J. Biol. Macromol. 2023, 225, 241–254. [Google Scholar] [CrossRef]
- Rolland, F.; Moore, B.; Sheen, J. Sugar sensing and signaling in plants. Plant Cell 2002, 14, S185–S205. [Google Scholar] [CrossRef]
- Zarate, E.; Boyle, V.; Rupprecht, U.; Green, S.; Villas-Boas, S.G.; Baker, P.; Pinu, F.R. Fully automated trimethylsilyl (TMS) derivatisation protocol for metabolite profiling by GC-MS. Metabolites 2016, 7, 1. [Google Scholar] [CrossRef]
- Khan, M.A.; Liu, D.-H.; Alam, S.M.; Zaman, F.; Luo, Y.; Han, H.; Ateeq, M.; Liu, Y.-Z. Molecular physiology for the increase of soluble sugar accumulation in citrus fruits under drought stress. Plant Physiol. Biochem. 2023, 203, 108056. [Google Scholar] [CrossRef]
- Bartolozzi, F.; Bertazza, G.; Bassi, D.; Cristoferi, G. Simultaneous determination of soluble sugars and organic acids as their trimethylsilyl derivatives in apricot fruits by gas-liquid chromatography. J. Chromatogr. A 1997, 758, 99–107. [Google Scholar] [CrossRef]
- Maeda, H.; Akagi, T.; Tao, R. Quantitative characterization of fruit shape and its differentiation pattern in diverse persimmon (Diospyros kaki) cultivars. Sci. Hortic. 2018, 228, 41–48. [Google Scholar] [CrossRef]
- Jaeger, S.; Rossiter, K.; Wismer, W.; Harker, F. Consumer-driven product development in the kiwifruit industry. Food Qual. Prefer. 2003, 14, 187–198. [Google Scholar] [CrossRef]
- Farina, V.; Lo Bianco, R.; Mazzaglia, A. Evaluation of late-maturing peach and nectarine fruit quality by chemical, physical, and sensory determinations. Agriculture 2019, 9, 189. [Google Scholar] [CrossRef]
- Ren, G.X.; Li, T.H.; Wei, Y.M.; Ning, J.M.; Zhang, Z.Z. Estimation of Congou black tea quality by an electronic tongue technology combined with multivariate analysis. Microchem. J. 2021, 163, 105899. [Google Scholar] [CrossRef]
- Wang, K.; Zhuang, H.N.; Bing, F.L.; Chen, D.; Feng, T.; Xu, Z.M. Evaluation of eight kinds of flavor enhancer of umami taste by an electronic tongue. Food Sci. Nutr. 2021, 9, 2095–2104. [Google Scholar] [CrossRef]
- Han, F.; Zhang, D.; Aheto, J.H.; Feng, F.; Duan, T. Integration of a low-cost electronic nose and a voltammetric electronic tongue for red wines identification. Food Sci. Nutr. 2020, 8, 4330–4339. [Google Scholar] [CrossRef]
- Novillo, P.; Besada, C.; Tian, L.; Bermejo, A.; Salvador, A. Nutritional composition of ten persimmon cultivars in the “ready-to-eat crisp” stage. Effect of deastringency treatment. Food Nutr. Sci. 2015, 6, 1296. [Google Scholar] [CrossRef][Green Version]
- Li, Y.K.; Zhang, P.X.; Chachar, S.; Xu, J.C.; Yang, Y.; Guan, C.F. A comprehensive evaluation of genetic diversity in persimmon (Diospyros kaki Thunb.) germplasms based on large-scale morphological traits and SSR markers. Sci. Hortic. 2023, 313, 111866. [Google Scholar] [CrossRef]
- Heidari, P.; Rezaei, M.; Sahebi, M.; Khadivi, A. Phenotypic variability of Pyrus boissieriana Buhse: Implications for conservation and breeding. Sci. Hortic. 2019, 247, 1–8. [Google Scholar] [CrossRef]
- Mirheidari, F.; Khadivi, A.; Moradi, Y.; Paryan, S. Phenotypic characterization of Prunus haussknechtii Bornm, P. elaeagnifolia Spach, and P. orientalis Mill. Sci. Hortic. 2020, 265, 109273. [Google Scholar] [CrossRef]
- Messier, J.; Lechowicz, M.J.; McGill, B.J.; Violle, C.; Enquist, B.J. Interspecific integration of trait dimensions at local scales: The plant phenotype as an integrated network. J. Ecol. 2017, 105, 1775–1790. [Google Scholar] [CrossRef]
- Du, M.C.; Wang, W.Y.; Yu, J.Q.; Wang, J.H.; Zao, Y.W.; Hu, D.G. Quality analysis of ‘Royal Gala’ and ‘GL-3’ apple fruit. J. Hebei Agric. Univ. 2023, 46, 28–35. [Google Scholar]
- Han, W.J.; Zhang, Q.; Pu, T.T.; Wang, Y.R.; Li, H.W.; Luo, Y.; Li, T.S.; Fu, J.M. Diversity of Fruit Quality in Astringent and Non−Astringent Persimmon Fruit Germplasm. Horticulturae 2022, 9, 24. [Google Scholar] [CrossRef]
- Zhang, Y.; Suo, Y.J.; Sun, P.; Han, W.J.; Diao, S.F.; Li, H.W.; Zhang, J.J.; Fu, J.M.; Li, F.D. Analysis on fruit morphological diversity of persimmon germplasm resources. Acta Hortic. Sin. 2022, 49, 1473–1490. [Google Scholar]
- Tao, H.; Cui, J.F.; Nie, L.C. Research Process on Sugar Accumulation in Fruits. J. Anhui Agric. Sci. 2010, 38, 42–44. [Google Scholar]
- Vilhena, N.Q.; Salvador, A.; Morales, J.; Bermejo, A.; Quiñones, A. Ionomic Concentration and Metabolomic Profile of Organically and Conventionally Produced ‘Rojo Brillante’ Persimmon. Agronomy 2024, 14, 113. [Google Scholar] [CrossRef]
- Asakuma, H.; Shiraishi, M. Proposed descriptors for the evaluation of skin color, flesh firmness and juiciness, and sugar composition in Japanese persimmon breeding. Euphytica 2017, 213, 69. [Google Scholar] [CrossRef]
- Senter, S.D.; Chapman, G.W.; Forbus, W.R.; Payne, J.A. Sugar and nonvolatile acid composition of persimmons during maturation. J. Food Sci. 1991, 56, 989–991. [Google Scholar] [CrossRef]
- Candir, E.E.; Ozdemir, A.E.; Kaplankiran, M.; Toplu, C. Physico-chemical changes during growth of persimmon fruits in the East Mediterranean climate region. Sci. Hortic. 2009, 121, 42–48. [Google Scholar] [CrossRef]
- Asakura, H.; Taira, S.; Funaki, J.; Yamakawa, T.; Abe, K.; Asakura, T. Mass Spectrometry Imaging Analysis of Metabolic Changes in Green and Red Tomato Fruits Exposed to Drought Stress. Appl. Sci. 2022, 12, 216. [Google Scholar] [CrossRef]
- Han, W.J.; Wang, Y.R.; Li, H.W.; Diao, S.F.; Suo, Y.J.; Li, T.S.; Sun, P.; Li, F.D.; Fu, J.M. Transcriptome and Metabolome Reveal Distinct Sugar Accumulation Pattern between PCNA and PCA Mature Persimmon Fruit. Int. J. Mol. Sci. 2023, 24, 8599. [Google Scholar] [CrossRef] [PubMed]
- Yıldız, E.; Kaplankıran, M. Changes in sugars content and some biochemical substances during fruit development in different persimmon cultivars. Mustafa Kemal Üniversitesi Ziraat Fakültesi Dergisi 2018, 23, 12–23. [Google Scholar]
- Wang, Y.R.; Suo, Y.J.; Han, W.J.; Li, H.W.; Wang, Z.X.; Diao, S.F.; Sun, P.; Fu, J.M. Comparative transcriptomic and metabolomic analyses reveal differences in flavonoid biosynthesis between PCNA and PCA persimmon fruit. Front. Plant Sci. 2023, 14, 1130047. [Google Scholar] [CrossRef]
- Sobral, M.; Sampedro, L. Phenotypic, epigenetic, and fitness diversity within plant genotypes. Trends Plant Sci. 2022, 27, 843–846. [Google Scholar] [CrossRef] [PubMed]
- Andrade, I.S.; de Melo, C.A.F.; de Sousa Nunes, G.H.; Holanda, I.S.A.; Grangeiro, L.C.; Corrêa, R.X. Phenotypic variability, diversity and genetic-population structure in melon (Cucumis melo L.) Associated with total soluble solids. Sci. Hortic. 2021, 278, 109844. [Google Scholar] [CrossRef]
- Chen, X.; Jiao, Y.; Liu, B.; Chao, W.; Duan, X.; Yue, T. Using hyperspectral imaging technology for assessing internal quality parameters of persimmon fruits during the drying process. Food Chem. 2022, 386, 132774. [Google Scholar] [CrossRef] [PubMed]
- Ackermann, J.; Fischer, M.; Amado, R. Changes in sugars, acids, and amino acids during ripening and storage of apples (cv. Glockenapfel). J. Agric. Food Chem. 1992, 40, 1131–1134. [Google Scholar] [CrossRef]
- Rodrigues, M.H.B.S.; Lopes, K.P.; Bomfim, M.P.; Pereira, N.A.E.; da Silva, J.G.; Paiva, F.J.d.S.; Santos, A.d.S. Characterization of physiological maturity of Physalis peruviana L. fruits. Semin. Ciênc. Agrár. 2021, 42, 929–948. [Google Scholar] [CrossRef]
- Kviklys, D.; Viškelis, J.; Liaudanskas, M.; Janulis, V.; Laužikė, K.; Samuolienė, G.; Uselis, N.; Lanauskas, J. Apple fruit growth and quality depend on the position in tree canopy. Plants 2022, 11, 196. [Google Scholar] [CrossRef] [PubMed]
- Iqbal, S.; Ni, X.P.; Bilal, M.S.; Shi, T.; Khalil-ur-Rehman, M.; Zhenpeng, P.; Jie, G.; Usman, M.; Gao, Z.H. Identification and expression profiling of sugar transporter genes during sugar accumulation at different stages of fruit development in apricot. Gene 2020, 742, 144584. [Google Scholar] [CrossRef] [PubMed]
- Wu, B.; Zheng, S.; Pedroso, M.M.; Guddat, L.W.; Chang, S.Y.; He, B.F.; Schenk, G. Processivity and enzymatic mechanism of a multifunctional family 5 endoglucanase from Bacillus subtilis BS-5 with potential applications in the saccharification of cellulosic substrates. Biotechnol. Biofuels 2018, 11, 20. [Google Scholar] [CrossRef]
- Chen, T.; Zhang, Z.Q.; Li, B.Q.; Qin, G.Z.; Tian, S.P. Molecular basis for optimizing sugar metabolism and transport during fruit development. Abiotech 2021, 2, 330–340. [Google Scholar] [CrossRef] [PubMed]
- Wang, J.; Lu, Y.H.; Zhang, X.M.; Hu, W.J.; Lin, L.J.; Deng, Q.X.; Xia, H.; Liang, D.; Lv, X.L. Effects of Potassium-Containing Fertilizers on Sugar and Organic Acid Metabolism in Grape Fruits. Int. J. Mol. Sci. 2024, 25, 2828. [Google Scholar] [CrossRef] [PubMed]
- Wood, B.; McMeans, J. Carbohydrates and Fatty Acids in Developing Pecan Fruit1. J. Am. Soc. Hortic. Sci. 1982, 107, 47–50. [Google Scholar] [CrossRef]
- Li, C.Y.; Sun, L.; Zhu, J.; Cheng, Y.; Huang, R.; Fan, Y.T.; Guo, M.; Ge, Y.H. Trehalose maintains the quality of Malus domestica by mediating sucrose and respiratory metabolism. Sci. Hortic. 2022, 295, 110857. [Google Scholar] [CrossRef]
- Gui, Y.; Lin, M.; Yan, Y.; Jiang, S.; Zhou, Z.; Wang, J. A Novel Glycoside Hydrolase DogH Utilizing Soluble Starch to Maltose Improve Osmotic Tolerance in Deinococcus radiodurans. Int. J. Mol. Sci. 2023, 24, 3437. [Google Scholar] [CrossRef]
- Cheng, C.H.; Seal, A.G.; Boldingh, H.L.; Marsh, K.B.; MacRae, E.A.; Murphy, S.J.; Ferguson, A.R. Inheritance of taste characters and fruit size and number in a diploid Actinidia chinensis (kiwifruit) population. Euphytica 2004, 138, 185–195. [Google Scholar] [CrossRef]
- Fazli, F.A.; Ahani, M. Osmotic Dehydration of Orange and Kiwi Fruit in Sucrose Syrups. In Proceedings of the International Conference on Biotechnology and Food Science, Bangalore, India, 9–10 February 2010; pp. 202–205. [Google Scholar]
- Lado, J.; Alós, E.; Manzi, M.; Cronje, P.J.; Gómez-Cadenas, A.; Rodrigo, M.J.; Zacarías, L. Light regulation of carotenoid biosynthesis in the peel of mandarin and sweet orange fruits. Front. Plant Sci. 2019, 10, 1288. [Google Scholar] [CrossRef]
- Ntagkas, N.; de Vos, R.C.; Woltering, E.J.; Nicole, C.C.; Labrie, C.; Marcelis, L.F. Modulation of the tomato fruit metabolome by LED light. Metabolites 2020, 10, 266. [Google Scholar] [CrossRef] [PubMed]
- Rodrigo, M.J.; Alquézar, B.; Alós, E.; Lado, J.; Zacarías, L. Biochemical bases and molecular regulation of pigmentation in the peel of Citrus fruit. Sci. Hortic. 2013, 163, 46–62. [Google Scholar] [CrossRef]
- Bodelón, O.G.; Blanch, M.; Sanchez-Ballesta, M.T.; Escribano, M.I.; Merodio, C. The effects of high CO2 levels on anthocyanin composition, antioxidant activity and soluble sugar content of strawberries stored at low non-freezing temperature. Food Chem. 2010, 122, 673–678. [Google Scholar] [CrossRef]
- Temussi, P.A. Sweet, bitter and umami receptors: A complex relationship. Trends Biochem. Sci. 2009, 34, 296–302. [Google Scholar] [CrossRef] [PubMed]
- Zhang, Y.F.; Hoon, M.A.; Chandrashekar, J.; Mueller, K.L.; Cook, B.; Wu, D.Q.; Zuker, C.S.; Ryba, N.J. Coding of sweet, bitter, and umami tastes: Different receptor cells sharing similar signaling pathways. Cell 2003, 112, 293–301. [Google Scholar] [CrossRef] [PubMed]
- Zheng, G.H.; Taira, S.; Yonemori, K.; Sugiura, A. Fruit growth and ripening of Japanese persimmons (Diospyros kaki Thunb.) grown at two locations with different temperature conditions. J. Jpn. Soc. Hortic. Sci. 1990, 59, 471–477. [Google Scholar] [CrossRef]
- Shiraishi, M. Comparison in changes in sugars, organic acids and amino acids during berry ripening of sucrose- and hexose-accumulating grape cultivars. J. Jpn. Soc. Hortic. Sci. 2000, 69, 141–148. [Google Scholar] [CrossRef]
- Sun, L.L.; Wang, J.L.; Lian, L.Q.; Song, J.; Du, X.N.; Liu, W.K.; Zhao, W.C.; Yang, L.; Li, C.B.; Qin, Y.; et al. Systematic analysis of the sugar accumulation mechanism in sucrose- and hexose- accumulating cherry tomato fruits. BMC Plant Biol. 2022, 22, 303. [Google Scholar] [CrossRef]
- Zhao, S.; You, W.Z.; Huang, Y.H.; Qi, H.L. Comprehensive evalution of fruit quality of 23 white flesh loquats based on pricipal component analysis. South China Fruits 2023, 52, 114–118. [Google Scholar]
- Wan, Y.H.; Han, Y.X.; Deng, X.Y.; Chen, Y.J. Metabolomics Analysis Reveals the Effect of Two Alpine Foliar Diseases on the Non-Volatile and Volatile Metabolites of Tea. Foods 2023, 12, 1568. [Google Scholar] [CrossRef]
- Zhang, C.; Zhou, C.Z.; Xu, K.; Tian, C.Y.; Zhang, M.C.; Lu, L.; Zhu, C.; Lai, Z.X.; Guo, Y.Q. A comprehensive investigation of macro-composition and volatile compounds in spring-picked and autumn-picked white tea. Foods 2022, 11, 3628. [Google Scholar] [CrossRef]
- Nookaraju, A.; Upadhyaya, C.P.; Pandey, S.K.; Young, K.E.; Hong, S.J.; Park, S.K.; Park, S.W. Molecular approaches for enhancing sweetness in fruits and vegetables. Sci. Hortic. 2010, 127, 1–15. [Google Scholar] [CrossRef]
- Huang, J.; Li, Y.; Yu, C.; Mo, R.L.; Zhu, Z.X.; Dong, Z.X.; Hu, X.M.; Deng, W. Metabolome and Transcriptome Integrated Analysis of Mulberry Leaves for Insight into the Formation of Bitter Taste. Genes 2023, 14, 1282. [Google Scholar] [CrossRef] [PubMed]
- Hu, L.L.; Shi, P. Recent advances in the study of the function and evolution of the bitter taste receptor gene family. Chin. Sci. Bull. 2009, 54, 2472–2482. [Google Scholar]
- Schifferstein, H.N.J.; Frijters, J.E.R. Sweetness does not habituate during a sip-and-spit experiment. Physiol. Behav. 1992, 51, 331–336. [Google Scholar] [CrossRef] [PubMed]
- Liu, X.; Gmitter, F.G.; Grosser, J.W.; Wang, Y. Effects of rootstocks on the flavor quality of huanglongbing-affected sweet orange juices using targeted flavoromics strategy. RSC Adv. 2023, 13, 5590–5599. [Google Scholar] [CrossRef] [PubMed]
- Lin, Y.; Huang, G.H.; Zhang, Q.; Wang, Y.H.; Dia, V.P.; Meng, X.J. Ripening affects the physicochemical properties, phytochemicals and antioxidant capacities of two blueberry cultivars. Postharvest Biol. Technol. 2020, 162, 111097. [Google Scholar] [CrossRef]
- Balık, S.; Kaya, T.; Aslantaş, R. Fruit Quality Parameters, Sugars, Vitamin C, Antioxidant Activity, Organic Acids, and Phenolic Compounds for a New Endemic Apple Variety, “Long Apple”. Horticulturae 2023, 9, 1171. [Google Scholar] [CrossRef]
- Cheng, G.; Du, X.M. Genetic diversity of basal germplasm phenotypes in upland cotton in China. Acta Bot. Boreali-Occident. Sin. 2006, 26, 135–142. [Google Scholar]
- Zhao, L.; Yang, Z.W.; Bu, L.Q.; Tian, L.; Su, M.; Tian, L.; Zhang, Y.X.; Yang, S.Q.; Li, P.F. Phenotypic genetic diversity and comprehensive evaluation of rice germplasm resources in Ningxia and Xinjiang. Crops 2018, 182, 25–34. [Google Scholar]












| Traits | Mean | Max | Min | SD | R | CV% |
|---|---|---|---|---|---|---|
| Fruit weight (FW)/g | 101.88 | 225.57 | 21.58 | 40.19 | 204.00 | 39.45% |
| Fruit volume (FV)/cm3 | 106.14 | 254.74 | 22.31 | 43.82 | 232.43 | 41.28% |
| Fruit length (FL)/cm | 5.80 | 8.72 | 3.70 | 0.92 | 5.01 | 15.81% |
| Fruit diameter (FD)/cm | 5.93 | 8.09 | 3.21 | 0.97 | 4.88 | 16.29% |
| Fruit shape index (FI) | 0.99 | 1.47 | 0.76 | 0.17 | 0.71 | 17.44% |
| Fruit water content (FWC)/% | 74.06 | 79.49 | 62.28 | 2.97 | 17.22 | 4.00% |
| Fruit soluble-solids content (FSSC)/Brix° | 19.47 | 29.17 | 12.35 | 3.55 | 16.82 | 18.21% |
| Fruit hardness (FH)/kg/cm3 | 8.44 | 13.68 | 4.09 | 2.30 | 9.59 | 27.28% |
| Fruit skin lightness (SKL*) | 64.10 | 70.84 | 49.20 | 3.69 | 21.64 | 5.76% |
| Fruit skin red-green color (Ska*) | 19.00 | 29.93 | 6.05 | 5.00 | 23.88 | 26.33% |
| Fruit skin yellow-blue (SKb*) | 61.36 | 70.50 | 37.34 | 5.60 | 33.15 | 9.13% |
| Fruit skin color angle (SKh)/° | 71.25 | 78.41 | 30.44 | 6.13 | 47.97 | 8.60% |
| Fruit skin color saturation (SKc) | 64.74 | 73.46 | 38.57 | 5.56 | 34.89 | 8.58% |
| Pulp lightness (PL*) | 67.15 | 75.62 | 39.91 | 6.45 | 35.71 | 9.61% |
| Pulp red-green color (Pa*) | 6.77 | 14.35 | −1.28 | 3.44 | 15.63 | 50.79% |
| Pulp yellow-blue (Pb*) | 40.07 | 52.59 | 15.57 | 7.04 | 37.02 | 17.56% |
| Pulp color angle (Ph)/° | 68.57 | 84.62 | −35.08 | 23.14 | 119.70 | 33.74% |
| Pulp color saturation (Pc) | 40.88 | 53.79 | 15.99 | 7.06 | 37.80 | 17.28% |
| Component | Mean (mg/g) | Max (mg/g) | Min (mg/g) | SD | R (mg/g) | CV% |
|---|---|---|---|---|---|---|
| Total sugar | 692.61 | 984.55 | 470.49 | 116.31 | 514.07 | 16.79% |
| Sucrose (Suc) | 440 | 701.58 | 165.91 | 129.16 | 535.66 | 29.35% |
| Glucose (Glu) | 149.46 | 379.45 | 64.42 | 58.06 | 315.02 | 38.84% |
| D-Fructose (Fru) | 99.04 | 282.16 | 39.35 | 46.87 | 242.81 | 47.32% |
| Inositol | 2.17 | 9.68 | 0.07 | 1.81 | 9.61 | 83.62% |
| D-Galactose (Gal) | 0.72 | 2.72 | 0.15 | 0.44 | 2.57 | 61.08% |
| D-Galacturonic acid (Gal-A) | 0.34 | 4.97 | 0 | 0.74 | 4.97 | 216.62% |
| D-Sorbitol | 0.23 | 1.11 | 0.07 | 0.15 | 1.04 | 67.30% |
| D-Mannose (Man) | 0.17 | 0.52 | 0.04 | 0.09 | 0.48 | 51.18% |
| Cellobiose (Cel) | 0.13 | 0.28 | 0.08 | 0.04 | 0.2 | 29.87% |
| D-Xylose | 0.08 | 0.23 | 0.03 | 0.04 | 0.21 | 56.11% |
| L-Fucose (Fuc) | 0.06 | 0.18 | 0 | 0.04 | 0.18 | 65.98% |
| Levoglucosan (Lev) | 0.04 | 0.06 | 0.02 | 0.01 | 0.05 | 29.96% |
| D-Arabinitol | 0.03 | 0.06 | 0.02 | 0.01 | 0.04 | 25.59% |
| Trehalose (Tre) | 0.03 | 0.17 | 0 | 0.03 | 0.17 | 97.98% |
| D-Mannose-6-phosphate sodium salt (Man-6-pho) | 0.03 | 0.06 | 0.01 | 0.01 | 0.05 | 36.75% |
| L-Rhamnose (Rha) | 0.02 | 0.03 | 0.01 | 0.46 × 10−2 | 0.02 | 23.44% |
| D-Arabinose (D-Ara) | 0.02 | 0.04 | 0.01 | 0.01 | 0.03 | 30.48% |
| Phenylglucoside (Phe) | 0.79 × 10−3 | 0.28 × 10−2 | 0 | 0.49 × 10−3 | 0.28 × 10−2 | 62.06% |
| 2-Acetamido-2-deoxy-D-glucopyranose (2-Ace-2-Deo-D-Glucosamine) | 0.22 × 10−2 | 0.14 | 0 | 0.02 | 0.14 | 710.44% |
| D-Ribono-1,4-lactone | 0.02 | 0.05 | 0 | 0.02 | 0.05 | 77.50% |
| Barium D-ribose-5-phosphate (Ribose-5-pho-Ba) | 0.01 | 0.05 | 0 | 0.01 | 0.05 | 107.32% |
| D-Glucuronic acid (Glucuronic-A) | 0.01 | 0.06 | 0 | 0.01 | 0.06 | 103.80% |
| Xylitol | 0.22 × 10−2 | 0.01 | 0 | 0.22 × 10−2 | 0.01 | 99.37% |
| Xylulose | 0.12 × 10−2 | 0.45 × 10−2 | 0 | 0.10 × 10−2 | 0.45 × 10−2 | 88.42% |
| Types | PCNA | PVNA | PCA | Early | Medium | Late |
|---|---|---|---|---|---|---|
| Total sugar | 710.037 ± 120.937 a | 684.379 ± 74.812 a | 690.501 ± 118.719 a | 702.108 ± 83.915 a | 695.741 ± 128.351 a | 685.302 ± 112.958 a |
| Suc | 512.464 ± 149.919 a | 400.317 ± 115.404 a | 431.55 ± 124.845 a | 508.9 ± 130.845 a | 419.374 ± 138.942 a | 441.493 ± 109.674 a |
| Glu | 117.061 ± 44.854 a | 168.694 ± 75.126 a | 153.15 ± 57.962 a | 114.177 ± 44.198 a | 160.746 ± 63.64 a | 147.787 ± 50.818 a |
| Fru | 74.383 ± 26.606 a | 109.185 ± 53.162 a | 102.119 ± 48.267 a | 73.296 ± 28.087 b | 111.782 ± 55.053 a | 92.153 ± 35.393 ab |
| Inositol | 4.084 ± 2.935 a | 3.596 ± 2.099 a | 1.799 ± 1.34 a | 3.661 ± 2.633 a | 1.942 ± 1.536 b | 1.927 ± 1.592 b |
| Gal | 1.122 ± 0.855 a b | 1.305 ± 0.212 a | 0.623 ± 0.277 b | 1.062 ± 0.625 a | 0.623 ± 0.245 a | 0.716 ± 0.502 a |
| Sorbitol | 0.191 ± 0.073 a | 0.198 ± 0.047 a | 0.238 ± 0.167 a | 0.206 ± 0.073 a | 0.224 ± 0.141 a | 0.247 ± 0.191 a |
| Man | 0.194 ± 0.115 a | 0.36 ± 0.127 a | 0.152 ± 0.061 a | 0.226 ± 0.136 a | 0.164 ± 0.067 a | 0.15 ± 0.077 a |
| Cel | 0.097 ± 0.019 b | 0.123 ± 0.031 ab | 0.139 ± 0.04 a | 0.097 ± 0.014 b | 0.148 ± 0.042 a | 0.126 ± 0.032 b |
| Xylose | 0.077 ± 0.023 a | 0.163 ± 0.082 a | 0.075 ± 0.04 a | 0.092 ± 0.052 a | 0.075 ± 0.037 a | 0.082 ± 0.051 a |
| Gal-A | 0.092 ± 0.13 a | 0.089 ± 0.08 a | 0.393 ± 0.802 a | 0.092 ± 0.107 a | 0.393 ± 0.877 a | 0.364 ± 0.673 a |
| D-Ara | 0.019 ± 0.005 b | 0.028 ± 0.009 a | 0.018 ± 0.005 b | 0.021 ± 0.008 a | 0.019 ± 0.005 a | 0.017 ± 0.005 a |
| Fuc | 0.051 ± 0.033 a | 0.052 ± 0.01 a | 0.062 ± 0.042 a | 0.05 ± 0.018 a | 0.065 ± 0.043 a | 0.058 ± 0.041 a |
| Lev | 0.038 ± 0.009 a | 0.036 ± 0.006 a | 0.039 ± 0.012 a | 0.036 ± 0.007 a | 0.038 ± 0.012 a | 0.039 ± 0.012 a |
| Man-6-pho | 0.017 ± 0.005 b | 0.015 ± 0.003 b | 0.027 ± 0.009 a | 0.02 ± 0.007 b | 0.029 ± 0.01 a | 0.022 ± 0.007 b |
| Arabinitol | 0.041 ± 0.012 a | 0.043 ± 0.01 a | 0.032 ± 0.007 a | 0.042 ± 0.01 a | 0.031 ± 0.008 b | 0.034 ± 0.007 b |
| Rha | 0.023 ± 0.006 a | 0.025 ± 0.004 a | 0.019 ± 0.004 a | 0.024 ± 0.004 a | 0.019 ± 0.005 b | 0.019 ± 0.004 b |
| Phe | 0.001 ± 0.001 a | 0.001 ± 0.001 a | 0.001 ± 0 a | 0.001 ± 0.001 a | 0.001 ± 0 a | 0.001 ± 0 a |
| Tre | 0.025 ± 0.022 a | 0.051 ± 0.029 a | 0.026 ± 0.026 a | 0.026 ± 0.02 a | 0.028 ± 0.03 a | 0.026 ± 0.023 a |
| 2-Ace-2-Deo-D-Glucosamine | 0.002 ± 0.004 a | 0.037 ± 0.069 a | 0 ± 0 a | 0.015 ± 0.042 a | 0 ± 0 a | 0 ± 0.001 a |
| Ribono-1-4-lactone | 0.022 ± 0.012 a | 0.023 ± 0.017 a | 0.02 ± 0.016 a | 0.027 ± 0.01 a | 0.018 ± 0.017 a | 0.022 ± 0.015 a |
| Ribose-5-pho-Ba | 0.02 ± 0.02 a | 0.01 ± 0 a | 0.01 ± 0.01 a | 0.02 ± 0.01 a | 0.01 ± 0.01 a | 0.01 ± 0.01 a |
| Glucuronic-A | 0.02 ± 0.017 a | 0.008 ± 0.003 a | 0.009 ± 0.01 a | 0.016 ± 0.014 a | 0.011 ± 0.01 a | 0.008 ± 0.012 a |
| Xylitol | 0.002 ± 0.002 a | 0.002 ± 0.001 a | 0.002 ± 0.002 a | 0.002 ± 0.002 a | 0.002 ± 0.002 a | 0.002 ± 0.002 a |
| Xylulose | 0.001 ± 0.002 a | 0.001 ± 0.001 a | 0.001 ± 0.001 a | 0.001 ± 0.001 a | 0.001 ± 0.001 a | 0.001 ± 0.001 a |
| PCA | Eigenvalues | Variance Contribution Rate (%) | Cumulative Variance Contribution Rate (%) |
|---|---|---|---|
| 1 | 4.918 | 20.493 | 20.493 |
| 2 | 4.112 | 17.133 | 37.625 |
| 3 | 2.424 | 10.100 | 47.725 |
| 4 | 2.033 | 8.470 | 56.195 |
| 5 | 1.704 | 7.100 | 63.295 |
| 6 | 1.347 | 5.613 | 68.908 |
| 7 | 1.125 | 4.689 | 73.597 |
| Sugar Component Indicators | PC1 | PC2 | PC3 | PC4 | PC5 | PC6 | PC7 |
|---|---|---|---|---|---|---|---|
| Man | 0.732 | 0.394 | −0.190 | −0.111 | −0.110 | −0.166 | 0.003 |
| Tre | 0.725 | −0.275 | −0.218 | −0.270 | −0.110 | 0.122 | −0.032 |
| Glu | 0.707 | −0.556 | 0.041 | −0.325 | −0.056 | −0.062 | −0.037 |
| D-Ara | 0.681 | 0.149 | 0.163 | 0.400 | −0.280 | −0.057 | 0.071 |
| Fru | 0.672 | −0.630 | 0.069 | −0.279 | 0.013 | −0.009 | 0.005 |
| Phe | 0.602 | 0.451 | −0.076 | 0.057 | −0.301 | 0.100 | −0.088 |
| Xylose | 0.546 | −0.067 | −0.134 | 0.530 | −0.130 | 0.135 | 0.018 |
| Glucuronic-A | 0.486 | 0.125 | 0.048 | 0.263 | 0.069 | −0.355 | 0.399 |
| 2-Ace-2-Deo-D-Glucosamine | 0.480 | 0.230 | −0.312 | 0.300 | −0.117 | −0.354 | 0.283 |
| Xylulose | −0.346 | 0.000 | −0.040 | 0.241 | −0.313 | 0.048 | 0.108 |
| Inositol | −0.023 | 0.836 | 0.098 | −0.020 | 0.098 | 0.173 | −0.081 |
| Gal | 0.588 | 0.603 | −0.020 | −0.094 | −0.128 | 0.168 | −0.280 |
| Arabinitol | 0.337 | 0.599 | −0.042 | −0.169 | 0.561 | 0.111 | 0.190 |
| Ribose-5-pho-Ba | 0.171 | 0.551 | 0.030 | −0.336 | −0.324 | 0.328 | −0.274 |
| Suc | −0.282 | 0.545 | 0.535 | 0.097 | 0.071 | 0.003 | 0.006 |
| Fuc | 0.190 | 0.145 | 0.737 | 0.105 | −0.015 | −0.114 | −0.173 |
| Sorbitol | 0.330 | −0.162 | 0.620 | 0.395 | 0.285 | 0.152 | −0.135 |
| Ribono-1-4-lactone | 0.073 | −0.142 | −0.557 | 0.192 | 0.446 | −0.078 | −0.423 |
| Cel | 0.460 | −0.471 | 0.478 | −0.255 | −0.040 | 0.175 | 0.040 |
| Xylitol | 0.130 | −0.307 | 0.131 | 0.616 | 0.135 | 0.570 | 0.159 |
| Man-6-pho | 0.013 | −0.067 | 0.281 | −0.511 | 0.099 | 0.210 | 0.495 |
| Rha | 0.375 | 0.498 | −0.089 | −0.131 | 0.645 | −0.015 | 0.154 |
| Lev | −0.191 | 0.333 | 0.447 | −0.121 | −0.257 | −0.484 | 0.008 |
| Gal-A | 0.267 | −0.329 | 0.336 | 0.047 | 0.362 | −0.402 | −0.374 |
| No. | Name | Type | Sampling | No. | Name | Type | Sampling |
|---|---|---|---|---|---|---|---|
| 1 | Jiro | JPCNA | 2022/10/27 | 42 | Dahongpaoshi | PCA | 2022/11/9 |
| 2 | Haze-gosho | JPCNA | 2022/11/9 | 43 | lvnaitou | PCA | 2022/11/3 |
| 3 | Suruga | JPCNA | 2022/11/9 | 44 | YL 250 | PCA | 2022/11/3 |
| 4 | Touyouichi | JPVNA | 2022/10/27 | 45 | YL 261 | PCA | 2022/11/3 |
| 5 | Shougatsu | JPVNA | 202210/27 | 46 | YL 264 | PCA | 2022/11/9 |
| 6 | Oku-gosho | JPCNA | 2022/10/27 | 47 | YL 265 | PCA | 2022/11/9 |
| 7 | Yamafuji | JPVNA | 2022/11/9 | 48 | YL 272 | PCA | 2022/11/9 |
| 8 | Kazusa | JPCNA | 2022/10/27 | 49 | YL 274 | PCA | 2022/11/9 |
| 9 | Sinami | JPCNA | 2022/10/27 | 50 | YL 275 | PCA | 2022/11/9 |
| 10 | T | JPCNA | 2022/10/27 | 51 | YL 277 | PCA | 2022/11/3 |
| 11 | Z | JPCNA | 2022/11/9 | 52 | YL 286 | PCA | 2022/11/3 |
| 12 | Gosho | JPCNA | 2022/11/9 | 53 | YL 288 | PCA | 2022/11/3 |
| 13 | Niuyanshi | PCA | 2022/11/9 | 54 | YL 291 | PCA | 2022/11/9 |
| 14 | Fuyu | JPCNA | 2022/11/9 | 55 | YL 293 | PCA | 2022/11/9 |
| 15 | H | JPCNA | 2022/10/27 | 56 | YL 296 | PCA | 2022/11/3 |
| 16 | Hongyushi | PCA | 2022/11/9 | 57 | YL 301 | PCA | 2022/11/9 |
| 17 | Anxiniuxinshi | PCA | 2022/11/3 | 58 | YL 304 | PCA | 2022/11/3 |
| 18 | YangshuoNiuxinshi | PCA | 2022/11/9 | 59 | YL 317 | PCA | 2022/11/3 |
| 19 | Guangzhoudaniuxinshi | PCA | 2022/11/3 | 60 | YL 323 | PCA | 2022/11/3 |
| 20 | Yongshuntezaoshi | PCA | 2022/11/3 | 61 | YL 325 | PCA | 2022/11/3 |
| 21 | Haianxiaofangshi | PCA | 2022/11/3 | 62 | YL 326 | PCA | 2022/11/3 |
| 22 | Bianshi | PCA | 2022/10/27 | 63 | YL 330 | PCA | 2022/11/9 |
| 23 | Jinhongshi | PCA | 2022/11/3 | 64 | YL 332 | PCA | 2022/11/9 |
| 24 | Dashuishi | PCA | 2022/11/3 | 65 | YL 334 | PCA | 2022/11/9 |
| 25 | Niunaishi | PCA | 2022/11/9 | 66 | YL 336 | PCA | 2022/11/3 |
| 26 | Xiaobaxianshi | PCA | 2022/11/9 | 67 | YL 337 | PCA | 2022/11/3 |
| 27 | Gongchengyueshenshi | PCA | 2022/11/9 | 68 | YL 338 | PCA | 2022/11/9 |
| 28 | Anxiyoushi | PCA | 2022/11/3 | 69 | YL 339 | PCA | 2022/11/3 |
| 29 | Houzishi | PCA | 2022/11/9 | 70 | YL 340 | PCA | 2022/11/3 |
| 30 | Boaibayuehuang | PCA | 2022/11/9 | 71 | YL 341 | PCA | 2022/11/3 |
| 31 | Chengjiangniuxinshi | PCA | 2022/11/9 | 72 | YL 344 | PCA | 2022/11/3 |
| 32 | Guangzhou jixinshi | PCA | 2022/11/9 | 73 | YL 348 | PCA | 2022/11/3 |
| 33 | YL 197 | PCA | 2022/11/3 | 74 | YL 349 | PCA | 2022/11/9 |
| 34 | YL 200 | PCA | 2022/11/3 | 75 | YL 358 | PCA | 2022/11/3 |
| 35 | YL 201 | PCA | 2022/11/3 | 76 | YL 359 | PCA | 2022/11/9 |
| 36 | YL 202 | PCA | 2022/11/3 | 77 | YL 362 | PCA | 2022/11/3 |
| 37 | YL 204 | PCA | 2022/11/3 | 78 | YL 363 | PCA | 2022/11/3 |
| 38 | YL 211 | PCA | 2022/10/27 | 79 | Taiwanhongshi | PCA | 2022/11/3 |
| 39 | Jiangxiseshi | PCA | 2022/10/27 | 80 | YL 711 | PCA | 2022/11/3 |
| 40 | Qiaodingshi | PCA | 2022/11/3 | 81 | Fangshi | PCA | 2022/11/3 |
| 41 | Weiboshi | PCA | 2022/11/3 |
Disclaimer/Publisher’s Note: The statements, opinions and data contained in all publications are solely those of the individual author(s) and contributor(s) and not of MDPI and/or the editor(s). MDPI and/or the editor(s) disclaim responsibility for any injury to people or property resulting from any ideas, methods, instructions or products referred to in the content. |
© 2024 by the authors. Licensee MDPI, Basel, Switzerland. This article is an open access article distributed under the terms and conditions of the Creative Commons Attribution (CC BY) license (https://creativecommons.org/licenses/by/4.0/).
Share and Cite
Dong, Y.; Liu, C.; Gong, B.; Yang, X.; Wu, K.; Yue, Z.; Xu, Y. Analysis of the Correlation between Persimmon Fruit-Sugar Components and Taste Traits from Germplasm Evaluation. Int. J. Mol. Sci. 2024, 25, 7803. https://doi.org/10.3390/ijms25147803
Dong Y, Liu C, Gong B, Yang X, Wu K, Yue Z, Xu Y. Analysis of the Correlation between Persimmon Fruit-Sugar Components and Taste Traits from Germplasm Evaluation. International Journal of Molecular Sciences. 2024; 25(14):7803. https://doi.org/10.3390/ijms25147803
Chicago/Turabian StyleDong, Yi, Cuiyu Liu, Bangchu Gong, Xu Yang, Kaiyun Wu, Zhihui Yue, and Yang Xu. 2024. "Analysis of the Correlation between Persimmon Fruit-Sugar Components and Taste Traits from Germplasm Evaluation" International Journal of Molecular Sciences 25, no. 14: 7803. https://doi.org/10.3390/ijms25147803
APA StyleDong, Y., Liu, C., Gong, B., Yang, X., Wu, K., Yue, Z., & Xu, Y. (2024). Analysis of the Correlation between Persimmon Fruit-Sugar Components and Taste Traits from Germplasm Evaluation. International Journal of Molecular Sciences, 25(14), 7803. https://doi.org/10.3390/ijms25147803

