Comparative Evaluation of the Cytotoxic Effects of Metal Oxide and Metalloid Oxide Nanoparticles: An Experimental Study
Abstract
1. Introduction
2. Results
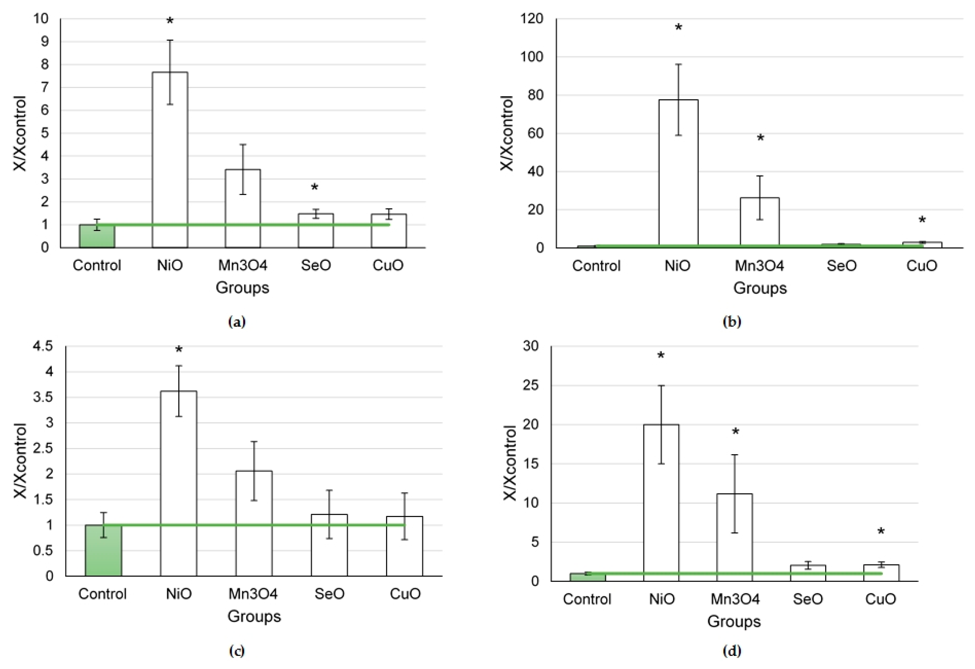
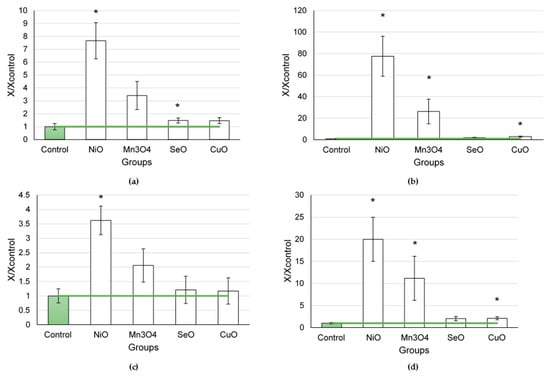
2.1. Comparative Analysis of Nanoparticles of Various Chemical Natures
2.1.1. Cytological Characteristics of Bronchoalveolar Lavage Fluid (BALF) Following Exposure to Nanoparticles
2.1.2. Biochemical Parameters of BALF Following Nanoparticle Exposure
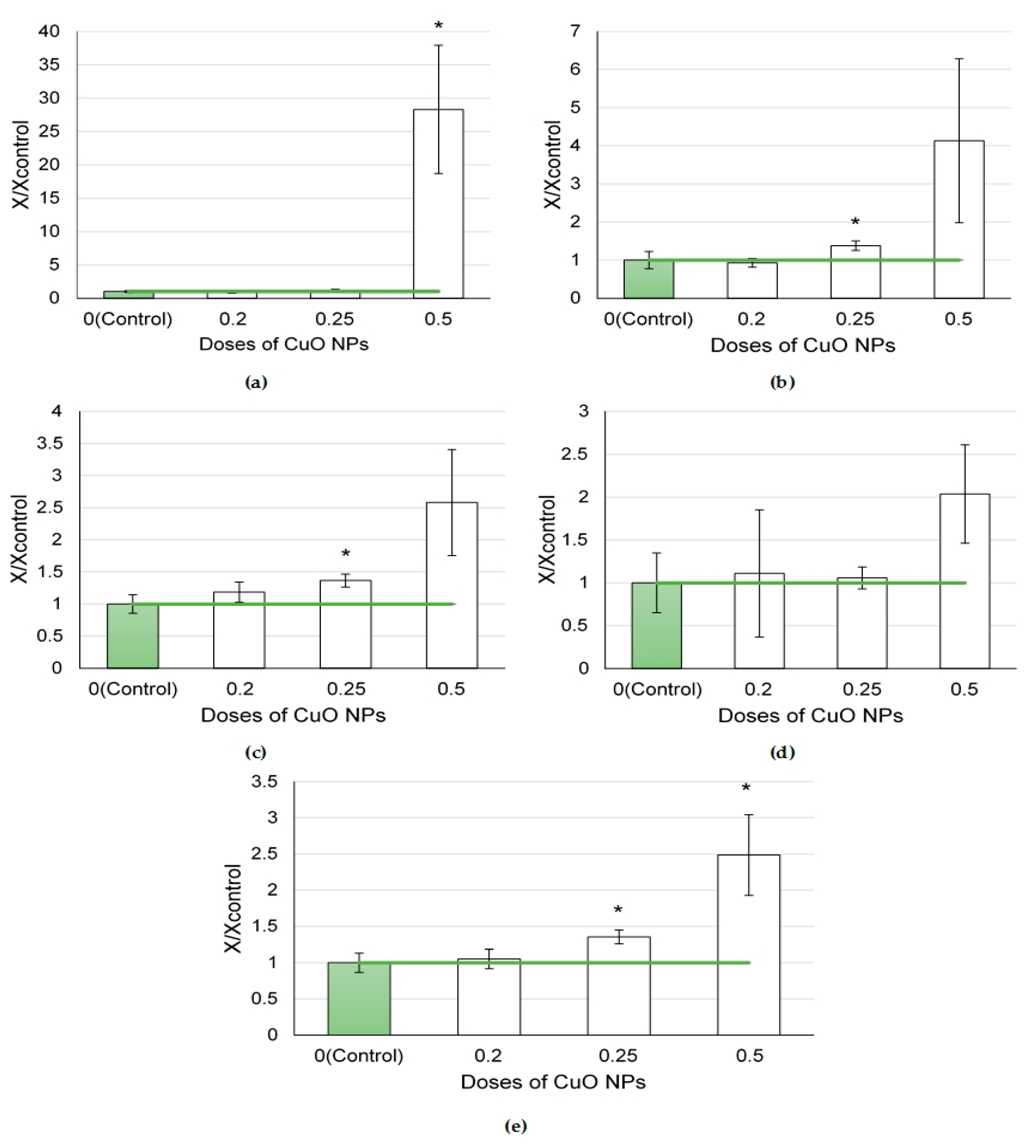
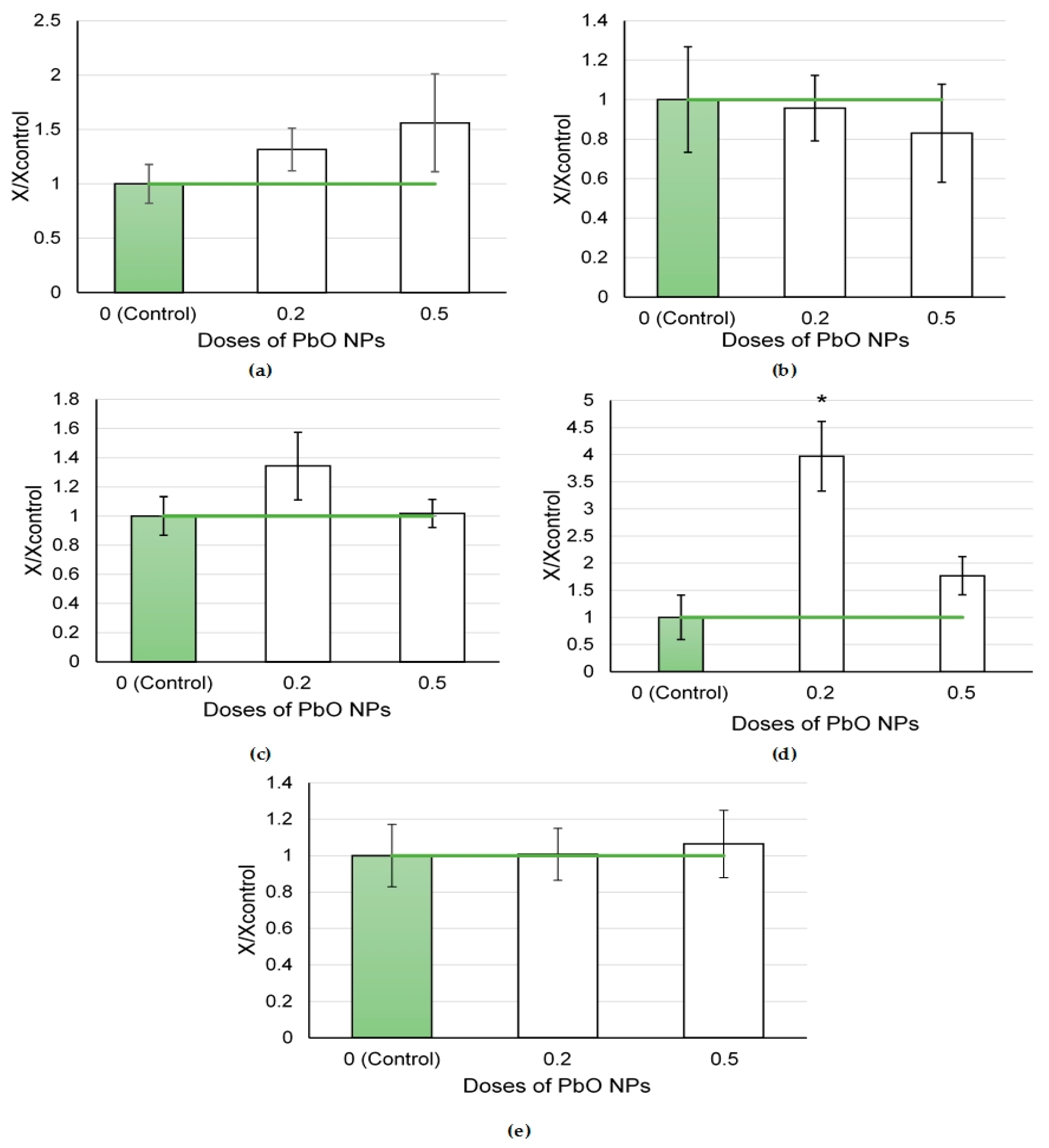
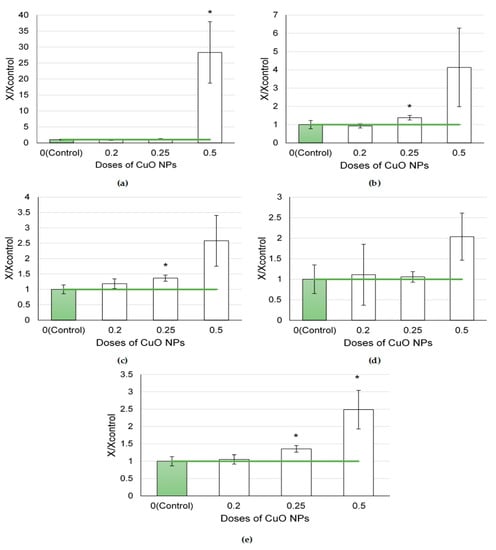
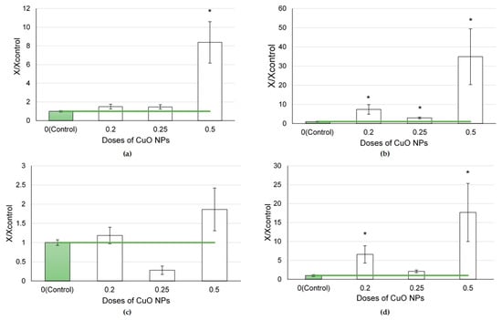
2.2. Comparative Analysis of Nanoparticles at Different Exposure Doses
2.2.1. Characteristics of BALF after Intratracheal Instillation of Copper Oxide Nanoparticles
2.2.2. Characteristics of BALF after Intratracheal Instillation of Lead Oxide Nanoparticles
2.2.3. Characteristics of BALF after Intratracheal Instillation of Nickel Oxide Nanoparticles
3. Discussion
3.1. Relationship between the Chemical Composition of Nanoparticles and Their Cytotoxicity
3.2. Relationship between the Dose of Nanoparticles and Their Cytotoxic Effects
4. Materials and Methods
4.1. Synthesis of Nanoparticles
4.2. Experimental Animals
4.3. Cytotoxicity Assessment
4.4. Statistical and Mathematical Analysis
5. Conclusions
Study Limitations
Author Contributions
Funding
Institutional Review Board Statement
Informed Consent Statement
Acknowledgments
Conflicts of Interest
References
- Sukhanova, A.; Bozrova, S.; Sokolov, P.; Berestovoy, M.; Karaulov, A.; Nabiev, I. Dependence of nanoparticle toxicity on their physical and chemical properties. Nanoscale Res. Lett. 2018, 13, 44. [Google Scholar] [CrossRef] [PubMed]
- Darquenne, C. Aerosol deposition in health and disease. J. Aerosol Med. Pulm. Drug. Deliv. 2012, 25, 140–147. [Google Scholar] [CrossRef] [PubMed]
- Prasad, R.Y.; McGee, J.K.; Killius, M.G.; Suarez, D.A.; Blackman, C.F.; DeMarini, D.M.; Simmons, S.O. Investigating oxidative stress and inflammatory responses elicited by silver nanoparticles using high-throughput reporter genes in HepG2 cells: Effect of size, surface coating, and intracellular uptake. Toxicol. Vitr. 2013, 27, 2013–2021. [Google Scholar] [CrossRef] [PubMed]
- Huang, Y.W.; Cambre, M.; Lee, H.J. The toxicity of nanoparticles depends on multiple molecular and physicochemical mechanisms. Int. J. Mol. Sci. 2017, 18, 2702. [Google Scholar] [CrossRef]
- Wu, Y.; Wang, M.; Luo, S.; Gu, Y.; Nie, D.; Xu, Z.; Wu, Y.; Chen, M.; Ge, X. Comparative toxic effects of manufactured nanoparticles and atmospheric particulate matter in human lung epithelial cells. Int. J. Environ. Res. Public Health 2020, 18, 22. [Google Scholar] [CrossRef]
- Lin, W.; Huang, Y.W.; Zhou, X.D.; Ma, Y. In vitro toxicity of silica nanoparticles in human lung cancer cells. Toxicol. Appl. Pharmacol. 2006, 217, 252–259. [Google Scholar] [CrossRef]
- Xie, S.; Zhu, J.; Yang, D.; Xu, Y.; Zhu, J.; He, D. Low concentrations of zinc oxide nanoparticles cause severe cytotoxicity through increased intracellular reactive oxygen species. J. Biomed. Nanotechnol. 2021, 17, 2420–2432. [Google Scholar] [CrossRef]
- Yu, K.N.; Yoon, T.J.; Minai-Tehrani, A.; Kim, J.E.; Park, S.J.; Jeong, M.S.; Ha, S.W.; Lee, J.K.; Kim, J.S.; Cho, M.H. Zinc oxide nanoparticle induced autophagic cell death and mitochondrial damage via reactive oxygen species generation. Toxicol. Vitr. 2013, 27, 1187–1195. [Google Scholar] [CrossRef]
- Lai, X.; Wei, Y.; Zhao, H.; Chen, S.; Bu, X.; Lu, F.; Qu, D.; Yao, L.; Zheng, J.; Zhang, J. The effect of Fe2O3 and ZnO nanoparticles on cytotoxicity and glucose metabolism in lung epithelial cells. J. Appl. Toxicol. 2015, 35, 651–664. [Google Scholar] [CrossRef]
- Zhang, X.; Zhang, H.; Liang, X.; Zhang, J.; Tao, W.; Zhu, X.; Chang, D.; Zeng, X.; Liu, G.; Mei, L. Iron oxide nanoparticles induce autophagosome accumulation through multiple mechanisms: Lysosome impairment, mitochondrial damage, and ER Stress. Mol. Pharm. 2016, 13, 2578–2587. [Google Scholar] [CrossRef]
- Liu, N.; Guan, Y.; Zhou, C.; Wang, Y.; Ma, Z.; Yao, S. Pulmonary and systemic toxicity in a rat model of pulmonary alveolar proteinosis induced by indium-tin oxide nanoparticles. Int. J. Nanomed. 2022, 17, 713–731. [Google Scholar] [CrossRef]
- Guo, C.; Robertson, S.; Weber, R.J.M.; Buckley, A.; Warren, J.; Hodgson, A.; Rappoport, J.Z.; Ignatyev, K.; Meldrum, K.; Römer, I.; et al. Pulmonary toxicity of inhaled nano-sized cerium oxide aerosols in Sprague–Dawley rats. Nanotoxicology 2019, 13, 733–750. [Google Scholar] [CrossRef] [PubMed]
- Lai, X.; Zhao, H.; Zhang, Y.; Guo, K.; Xu, Y.; Chen, S.; Zhang, J. Intranasal delivery of copper oxide nanoparticles induces pulmonary toxicity and fibrosis in C57BL/6 mice. Sci. Rep. 2018, 8, 4499. [Google Scholar] [CrossRef] [PubMed]
- Sutunkova, M.P.; Solovyeva, S.N.; Minigalieva, I.A.; Gurvich, V.B.; Valamina, I.E.; Makeyev, O.H.; Shur, V.Y.; Shishkina, E.V.; Zubarev, I.V.; Saatkhudinova, R.R.; et al. Toxic effects of low-level long-term inhalation exposures of rats to nickel oxide nanoparticles. Int. J. Mol. Sci. 2019, 20, 1778. [Google Scholar] [CrossRef] [PubMed]
- Dumková, J.; Smutná, T.; Vrlíková, L.; Le Coustumer, P.; Večeřa, Z.; Dočekal, B.; Mikuška, P.; Čapka, L.; Fictum, P.; Hampl, A.; et al. Sub-chronic inhalation of lead oxide nanoparticles revealed their broad distribution and tissue-specific subcellular localization in target organs. Part. Fibre Toxicol. 2017, 14, 55. [Google Scholar] [CrossRef]
- Morimoto, Y.; Izumi, H.; Yoshiura, Y.; Tomonaga, T.; Lee, B.W.; Okada, T.; Oyabu, T.; Myojo, T.; Kawai, K.; Yatera, K.; et al. Comparison of pulmonary inflammatory responses following intratracheal instillation and inhalation of nanoparticles. Nanotoxicology 2016, 10, 607–618. [Google Scholar] [CrossRef]
- Katsnelson, B.A.; Konysheva, L.K.; Privalova, L.I.; Morosova, K.I. Development of a multicompartmental model of the kinetics of quartz dust in the pulmonary region of the lung during chronic inhalation exposure of rats. Brit. J. Ind. Med. 1992, 49, 172–181. [Google Scholar] [CrossRef]
- Privalova, L.I.; Katsnelson, B.A.; Sharapova, N.Y.; Kislitsina, N.S. On the relationship between activation and breakdown of macrophages in the pathogenesis of silicosis (an overview). Med. Lav. 1995, 86, 511–521. [Google Scholar]
- Grommes, J.; Soehnlein, O. Contribution of neutrophils to acute lung injury. Mol. Med. 2011, 17, 293–307. [Google Scholar] [CrossRef]
- Privalova, L.I.; Katsnelson, B.A.; Osipenko, A.B.; Yushkov, B.N.; Babushkina, L.G. Response of a phagocyte cell system to products of macrophage breakdown as a probable mechanism of alveolar phagocytosis adaptation to deposition of particles of different cytotoxicity. Environ. Health Perspect. 1980, 35, 205–218. [Google Scholar] [CrossRef]
- Katsnelson, B.A.; Morosova, K.I.; Velichkovski, B.T.; Aronova, G.V.; Genkin, A.M.; Rotenberg, Y.S.; Belobragina, G.V.; Elnichnykh, L.N.; Privalova, L.I. Anti-silikotische Wirkung von Glutamat. Arbeitsmed. Sozialmed. Praventivmed. 1984, 19, 153–156. [Google Scholar]
- Chaudhary, R.G.; Bhusari, G.S.; Tiple, A.D.; Rai, A.R.; Somkuvar, S.R.; Potbhare, A.K.; Lambat, T.L.; Ingle, P.P.; Abdala, A.A. Metal/metal oxide nanoparticles: Toxicity, applications, and future prospects. Curr. Pharm. Des. 2019, 25, 4013–4029. [Google Scholar] [CrossRef] [PubMed]
- Karlsson, H.L.; Cronholm, P.; Gustafsson, J.; Möller, L. Copper oxide nanoparticles are highly toxic: A comparison between metal oxide nanoparticles and carbon nanotubes. Chem. Res. Toxicol. 2008, 21, 1726–1732. [Google Scholar] [CrossRef] [PubMed]
- Pohanka, M. Copper and copper nanoparticles toxicity and their impact on basic functions in the body. Bratisl. Lek. Listy 2019, 120, 397–409. [Google Scholar] [CrossRef] [PubMed]
- Kwon, J.T.; Kim, Y.; Choi, S.; Yoon, B.L.; Kim, H.S.; Shim, I.; Sul, D. Pulmonary toxicity and proteomic analysis in bronchoalveolar lavage fluids and lungs of rats exposed to copper oxide nanoparticles. Int. J. Mol. Sci. 2022, 23, 13265. [Google Scholar] [CrossRef] [PubMed]
- Cuillel, M.; Chevallet, M.; Charbonnier, P.; Fauquant, C.; Pignot-Paintrand, I.; Arnaud, J.; Cassio, D.; Michaud-Soret, I.; Mintz, E. Interference of CuO nanoparticles with metal homeostasis in hepatocytes under sub-toxic conditions. Nanoscale 2014, 6, 1707–1715. [Google Scholar] [CrossRef]
- The National Institute for Occupational Safety and Health (NIOSH). Immediately Dangerous to Life or Health (IDLH) Values. Available online: https://www.cdc.gov/niosh/idlh/intridl4.html (accessed on 29 December 2022).
- Jeong, M.J.; Jeon, S.; Yu, H.S.; Cho, W.S.; Lee, S.; Kang, D.; Kim, Y.; Kim, Y.J.; Kim, S.Y. Exposure to nickel oxide nanoparticles induces acute and chronic inflammatory responses in rat lungs and perturbs the lung microbiome. Int. J. Environ. Res. Public Health 2022, 19, 522. [Google Scholar] [CrossRef]
- Bai, K.J.; Chuang, K.J.; Chen, J.K.; Hua, H.E.; Shen, Y.L.; Liao, W.N.; Lee, C.H.; Chen, K.Y.; Lee, K.Y.; Hsiao, T.C.; et al. Investigation into the pulmonary inflammopathology of exposure to nickel oxide nanoparticles in mice. Nanomedicine 2018, 14, 2329–2339. [Google Scholar] [CrossRef]
- Mo, Y.; Zhang, Y.; Wan, R.; Jiang, M.; Xu, Y.; Zhang, Q. miR-21 mediates nickel nanoparticle-induced pulmonary injury and fibrosis. Nanotoxicology 2020, 14, 1175–1197. [Google Scholar] [CrossRef]
- Sobańska, Z.; Roszak, J.; Kowalczyk, K.; Stępnik, M. Applications and biological activity of nanoparticles of manganese and manganese oxides in in vitro and in vivo models. Nanomaterials 2021, 11, 1084. [Google Scholar] [CrossRef]
- Guo, X.; Zhou, W.; Guan, Y.; Qin, J.; Zhang, B.; Zhang, M.; Tang, J. The protective effect of biomineralized BSA-Mn3O4 nanoparticles on HUVECs investigated by atomic force microscopy. Analyst 2022, 147, 2097–2105. [Google Scholar] [CrossRef] [PubMed]
- Zhou, Y.M.; Zhong, C.Y.; Kennedy, I.M.; Pinkerton, K.E. Pulmonary responses of acute exposure to ultrafine iron particles in healthy adult rats. Environ. Toxicol. 2003, 18, 227–235. [Google Scholar] [CrossRef]
- Teeguarden, J.G.; Mikheev, V.B.; Minard, K.R.; Forsythe, W.C.; Wang, W.; Sharma, G.; Karin, N.; Tilton, S.C.; Waters, K.M.; Asgharian, B.; et al. Comparative iron oxide nanoparticle cellular dosimetry and response in mice by the inhalation and liquid cell culture exposure routes. Part. Fibre Toxicol. 2014, 11, 46. [Google Scholar] [CrossRef] [PubMed]
- Guo, C.; Weber, R.J.M.; Buckley, A.; Mazzolini, J.; Robertson, S.; Delgado-Saborit, J.M.; Rappoport, J.Z.; Warren, J.; Hodgson, A.; Sanderson, P.; et al. Environmentally relevant iron oxide nanoparticles produce limited acute pulmonary effects in rats at realistic exposure levels. Int. J. Mol. Sci. 2021, 22, 556. [Google Scholar] [CrossRef] [PubMed]
- Fukui, H.; Endoh, S.; Shichiri, M.; Ishida, N.; Hagihara, Y.; Yoshida, Y.; Iwahashi, H.; Horie, M. The induction of lipid peroxidation during the acute oxidative stress response induced by intratracheal instillation of fine crystalline silica particles in rats. Toxicol. Ind. Health 2016, 32, 1430–1437. [Google Scholar] [CrossRef] [PubMed]
- Guichard, Y.; Maire, M.A.; Sébillaud, S.; Fontana, C.; Langlais, C.; Micillino, J.C.; Darne, C.; Roszak, J.; Stępnik, M.; Fessard, V.; et al. Genotoxicity of synthetic amorphous silica nanoparticles in rats following short-term exposure. Part 2: Intratracheal instillation and intravenous injection. Environ. Mol. Mutagen. 2015, 56, 228–244. [Google Scholar] [CrossRef]
- Guan, Y.; Liu, N.; Yu, Y.; Zhou, Q.; Chang, M.; Wang, Y.; Yao, S. Pathological comparison of rat pulmonary models induced by silica nanoparticles and indiumtin oxide nanoparticles. Int. J. Nanomed. 2022, 17, 4277–4292. [Google Scholar] [CrossRef]
- Katsnelson, B.A.; Privalova, L.I.; Sutunkova, M.P.; Minigalieva, I.A.; Gurvich, V.B.; Shur, V.Y.; Shishkina, E.V.; Makeyev, O.H.; Valamina, I.E.; Varaksin, A.N.; et al. Experimental research into metallic and metal oxide nanoparticle toxicity in vivo. In Bioactivity of Engineered Nanoparticles. Nanomedicine and Nanotoxicology; Yan, B., Zhou, H., Gardea-Torresdey, J., Eds.; Springer: Singapore, 2017; pp. 259–319. [Google Scholar] [CrossRef]
- Chen, Y.; Liu, W.; Leng, X.; Stoll, S. Toxicity of selenium nanoparticles on Poterioochromonas malhamensis algae in Waris-H culture medium and Lake Geneva water: Effect of nanoparticle coating, dissolution, and aggregation. Sci. Total Environ. 2022, 808, 152010. [Google Scholar] [CrossRef]
- Kodavanti, U.P. Respiratory toxicity biomarkers. In Biomarkers in Toxicology; Gupta, R., Ed.; Academic Press Incorporated: Orlando, FL, USA, 2014; Volume 1, pp. 217–239. [Google Scholar]
- Bahadar, H.; Maqbool, F.; Niaz, K.; Abdollahi, M. Toxicity of nanoparticles and an overview of current experimental models. Iran. Biomed. J. 2016, 20, 1–11. [Google Scholar] [CrossRef]
- Yang, W.; Wang, L.; Mettenbrink, E.M.; DeAngelis, P.L.; Wilhelm, S. Nanoparticle toxicology. Annu. Rev. Pharmacol. Toxicol. 2021, 61, 269–289. [Google Scholar] [CrossRef]
- Otsuki, M.; Yuu, H.; Maeda, M.; Saeki, S.; Yamasaki, T. Amylase in the lung. Cancer 1977, 39, 1656–1663. [Google Scholar] [CrossRef] [PubMed]
- Wang, H.; Wu, Q. A case of amylase-producing small cell lung cancer. Clin. Biochem. 2016, 49, 613–616. [Google Scholar] [CrossRef] [PubMed]
- Berk, J.E.; Shimamura, J.; Fridhandler, L. Amylase changes in disorders of the lung. Gastroenterology 1978, 74, 1313–1317. [Google Scholar] [CrossRef]
- Fijačko, V.; Labor, M.; Fijačko, M.; Škrinjarić-Cincar, S.; Labor, S.; Dumbović Dubravčić, I.; Bačun, T.; Včev, A.; Popović-Grle, S.; Plavec, D. Predictors of short-term LAMA ineffectiveness in treatment naïve patients with moderate to severe COPD. Wien. Klin. Wochenschr. 2018, 130, 247–258. [Google Scholar] [CrossRef] [PubMed]
- Suzuki, T.; Saitou, M.; Utano, Y.; Utano, K.; Niitsuma, K. Bronchoalveolar lavage amylase levels can be a biomarker of aspiration pneumonia. Eur. Respir. J. 2020, 56, 2354. [Google Scholar] [CrossRef]
- Suzuki, T.; Saitou, M.; Utano, Y.; Utano, K.; Niitsuma, K. Bronchoalveolar lavage (BAL) amylase and pepsin levels as potential biomarkers of aspiration pneumonia. Pulmonology 2022. [Google Scholar] [CrossRef]
- Faqi, A.S. (Ed.) A Comprehensive Guide to Toxicology in Nonclinical Drug Development, 2nd ed.; Academic Press: Cambridge, MA, USA, 2016. [Google Scholar]
- Erofeeva, E.A. Hormesis and paradoxical effects of wheat seedling (Triticum aestivum L.) parameters upon exposure to different pollutants in a wide range of doses. Dose Response 2013, 12, 121–135. [Google Scholar] [CrossRef]
- Panov, V.G.; Minigalieva, I.A.; Bushueva, T.V.; Artemenko, E.P.; Ryabova, I.V.; Sutunkova, M.P.; Gurvich, V.B.; Privalova, L.I.; Katsnelson, B.A. The various dose-dependent effect of selenium oxide and copper oxide nanoparticles in vitro and application of the hormesis paradigm. Hyg. Sanit. (Russ. J.) 2021, 100, 1475–1480. [Google Scholar] [CrossRef]
- Panov, V.; Bushueva, T.; Minigalieva, I.; Naumova, A.; Shur, V.; Shishkina, E.; Sutunkova, M.; Gurvich, V.; Privalova, L.; Katsnelson, B. New data on variously directed dose–response relationships and the combined action types for different outcomes of in Vitro nanoparticle cytotoxicity. Dose Response 2021, 19, 15593258211052420. [Google Scholar] [CrossRef]
- Tietz, N.W. Clinical Guide to Laboratory Tests, 4th ed.; W.B. Saunders Company: Philadelphia, PA, USA, 2006; 1952p. [Google Scholar]











| Nanoparticles | Size, nm | Doses, mg/mL |
|---|---|---|
| CuO | 24.5 ± 4.8 | 0.2 |
| 21.0 ± 4.0 | 0.25 | |
| 21.0 ± 4.0 | 0.5 | |
| PbO | 47.0 ± 16.0 | 0.2 |
| 23.0 ± 5.0 | 0.5 | |
| CdO | 65.0 ± 16.0 | 0.5 |
| Fe2O3 | 18.0 ± 4.0 | 0.5 |
| NiO | 16.7 ± 8.2 | 0.25 |
| 16.7 ± 8.2 | 0.5 | |
| SiO2 | 43.0 ± 11.0 | 0.5 |
| Mn3O4 | 18.4 ± 5.4 | 0.25 |
| SeO | 51.0 ± 14.0 | 0.25 |
Disclaimer/Publisher’s Note: The statements, opinions and data contained in all publications are solely those of the individual author(s) and contributor(s) and not of MDPI and/or the editor(s). MDPI and/or the editor(s) disclaim responsibility for any injury to people or property resulting from any ideas, methods, instructions or products referred to in the content. |
© 2023 by the authors. Licensee MDPI, Basel, Switzerland. This article is an open access article distributed under the terms and conditions of the Creative Commons Attribution (CC BY) license (https://creativecommons.org/licenses/by/4.0/).
Share and Cite
Sutunkova, M.P.; Klinova, S.V.; Ryabova, Y.V.; Tazhigulova, A.V.; Minigalieva, I.A.; Shabardina, L.V.; Solovyeva, S.N.; Bushueva, T.V.; Privalova, L.I. Comparative Evaluation of the Cytotoxic Effects of Metal Oxide and Metalloid Oxide Nanoparticles: An Experimental Study. Int. J. Mol. Sci. 2023, 24, 8383. https://doi.org/10.3390/ijms24098383
Sutunkova MP, Klinova SV, Ryabova YV, Tazhigulova AV, Minigalieva IA, Shabardina LV, Solovyeva SN, Bushueva TV, Privalova LI. Comparative Evaluation of the Cytotoxic Effects of Metal Oxide and Metalloid Oxide Nanoparticles: An Experimental Study. International Journal of Molecular Sciences. 2023; 24(9):8383. https://doi.org/10.3390/ijms24098383
Chicago/Turabian StyleSutunkova, Marina P., Svetlana V. Klinova, Yuliya V. Ryabova, Anastasiya V. Tazhigulova, Ilzira A. Minigalieva, Lada V. Shabardina, Svetlana N. Solovyeva, Tatiana V. Bushueva, and Larisa I. Privalova. 2023. "Comparative Evaluation of the Cytotoxic Effects of Metal Oxide and Metalloid Oxide Nanoparticles: An Experimental Study" International Journal of Molecular Sciences 24, no. 9: 8383. https://doi.org/10.3390/ijms24098383
APA StyleSutunkova, M. P., Klinova, S. V., Ryabova, Y. V., Tazhigulova, A. V., Minigalieva, I. A., Shabardina, L. V., Solovyeva, S. N., Bushueva, T. V., & Privalova, L. I. (2023). Comparative Evaluation of the Cytotoxic Effects of Metal Oxide and Metalloid Oxide Nanoparticles: An Experimental Study. International Journal of Molecular Sciences, 24(9), 8383. https://doi.org/10.3390/ijms24098383

