Biochemical Characterization and Application of a Detergent Stable, Antimicrobial and Antibiofilm Potential Protease from Bacillus siamensis
Abstract
1. Introduction
2. Results and Discussion
2.1. Screening, Identification, and Phylogenetic Tree of Protease-Producing Strain
2.2. Enzyme Production and Purification of Protease SH21
2.3. Molecular Weight Determination and N-terminal Amino Acid Sequence
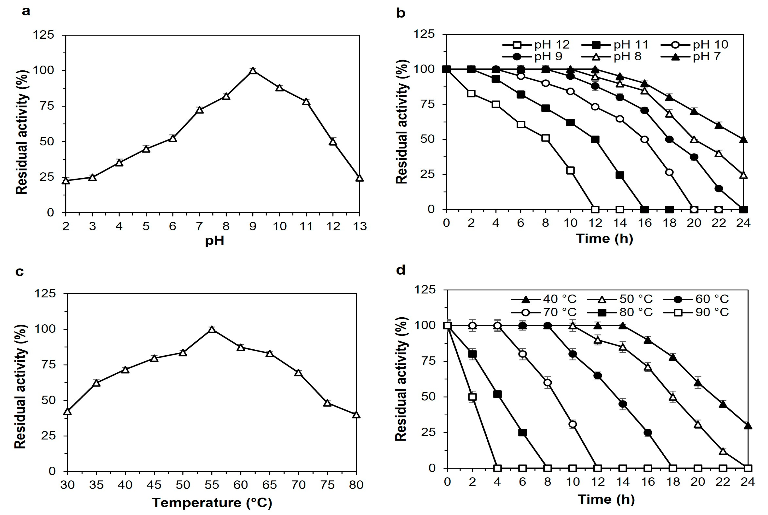
2.4. Biochemical Characterization of Purified Protease SH21
2.4.1. Effect of pH on the Activity and Stability of Protease SH21
2.4.2. Effect of Temperature on the Activity and Stability of Protease SH21
2.4.3. Effect of Inhibitors, Metal Ions, Surfactants, and Bleaches on Protease Stability
2.4.4. Effect of Organic Solvents on the Activity and Stability of Protease SH21
2.4.5. Substrate Specificity and Enzyme Kinetics of Protease SH21
2.5. Application of Protease SH21
2.5.1. Commercial Detergent Stability and Stain Removal Ability of Protease SH21
2.5.2. Antimicrobial Activity of Protease SH21
2.5.3. Antibiofilm Activity of Protease SH21
3. Materials and Methods
3.1. Materials
3.2. Microorganism and Phylogenic Tree Analysis
3.3. Media and Culture Conditions
3.4. Protease Assay
3.5. Purification of Protease SH21
3.6. Protein Measurements, SDS-PAGE, and Zymogram Analysis
3.7. The N-terminal Amino Acid Sequencing
3.8. Biochemical Characterization of Purified Protease SH21
3.8.1. Determination of Optimum pH and Stability
3.8.2. Determination of Optimum Temperature and Thermal Stability
3.8.3. Effect of Inhibitors, Metals, Surfactants, and Bleaching Agents on Protease Activity
3.8.4. Effect of Organic Solvents on Protease Activity
3.8.5. Substrate Specificity and Kinetics Parameters of Protease SH21
3.9. Application of Purified Protease SH21
3.9.1. Stability and Compatibility of Protease with Commercial Laundry Detergents
3.9.2. Stain Removal Ability of Protease SH21
3.9.3. Determination of Minimum Inhibitory Concentration (MIC) of Protease SH21
3.9.4. Inhibition of Biofilm Formation (MBIC Assay)
3.9.5. Eradication of Preformed Biofilm (MBEC Assay)
3.9.6. Confocal Laser Scanning Microscopy Analysis
3.10. Statistical Analysis
4. Conclusions
Author Contributions
Funding
Institutional Review Board Statement
Informed Consent Statement
Conflicts of Interest
References
- Gupta, R.; Beg, Q.; Lorenz, P. Bacterial alkaline proteases: Molecular approaches and industrial applications. Appl. Microbiol. Biotechnol. 2002, 59, 15–32. [Google Scholar] [PubMed]
- Kumar, C.G.; Takagi, H. Microbial alkaline proteases: From a bioindustrial viewpoint. Biotechnol. Adv. 1999, 17, 561–594. [Google Scholar] [CrossRef]
- Mei, C.; Jiang, X. A novel surfactant-and oxidation-stable alkaline protease from Vibrio metschnikovii DL 33–51. Process Biochem. 2005, 40, 2167–2172. [Google Scholar] [CrossRef]
- Samal, B.B.; Karan, B.; Stabinsky, Y. Stability of two novel serine proteinases in commercial laundry detergent formulations. Biotechnol. Bioeng. 1990, 35, 650–652. [Google Scholar] [CrossRef]
- Bhaskar, N.; Sudeepa, E.; Rashmi, H.; Selvi, A.T. Partial purification and characterization of protease of Bacillus proteolyticus CFR3001 isolated from fish processing waste and its antibacterial activities. Bioresour. Technol. 2007, 98, 2758–2764. [Google Scholar] [CrossRef]
- Patel, R.K.; Dodia, M.S.; Joshi, R.H.; Singh, S.P. Purification and characterization of alkaline protease from a newly isolated haloalkaliphilic Bacillus sp. Process Biochem. 2006, 41, 2002–2009. [Google Scholar] [CrossRef]
- Jacobs, M.; Eliasson, M.; Uhlén, M.; Flock, J.-I. Cloning, sequencing and expression of subtilisin Carlsberg from Bacillus licheniformis. Nucleic Acids Res. 1985, 13, 8913–8926. [Google Scholar] [CrossRef] [PubMed]
- Wells, J.A.; Ferrari, E.; Henner, D.J.; Estell, D.A.; Chen, E.Y. Cloning, sequencing, and secretion of Bacillus amyloliquefaciens subtillisin in Bacillus subtilis. Nucleic Acids Res. 1983, 11, 7911–7925. [Google Scholar] [CrossRef] [PubMed]
- de Kraker, M.E.; Stewardson, A.J.; Harbarth, S. Will 10 million people die a year due to antimicrobial resistance by 2050? PLoS Med. 2016, 13, e1002184. [Google Scholar] [CrossRef]
- Rachanamol, R.; Lipton, A.; Thankamani, V.; Sarika, A.; Selvin, J. Production of protease showing antibacterial activity by Bacillus subtilis VCDA associated with tropical marine sponge Callyspongia diffusa. J. Microb. Biochem. Technol 2017, 9, 270–277. [Google Scholar]
- Siritapetawee, J.; Thammasirirak, S.; Samosornsuk, W. Antimicrobial activity of a 48-kDa protease (AMP48) from Artocarpus heterophyllus latex. Eur. Rev. Med. Pharmacol. Sci. 2012, 16, 132–137. [Google Scholar] [PubMed]
- Thomas, N.N.; Archana, V.; Shibina, S.; Edwin, B.T. Isolation and characterization of a protease from Bacillus sps. Mater. Today: Proc. 2021, 41, 685–691. [Google Scholar] [CrossRef]
- Donlan, R.M. Biofilms: Microbial life on surfaces. Emerg. Infect. Dis. 2002, 8, 881. [Google Scholar] [CrossRef]
- Worthington, R.J.; Blackledge, M.S.; Melander, C. Small-molecule inhibition of bacterial two-component systems to combat antibiotic resistance and virulence. Future Med. Chem. 2013, 5, 1265–1284. [Google Scholar] [CrossRef] [PubMed]
- Teitzel, G.M.; Parsek, M.R. Heavy metal resistance of biofilm and planktonic Pseudomonas aeruginosa. Appl. Environ. Microbiol. 2003, 69, 2313–2320. [Google Scholar] [CrossRef] [PubMed]
- Algburi, A.; Comito, N.; Kashtanov, D.; Dicks, L.M.; Chikindas, M.L. Control of biofilm formation: Antibiotics and beyond. Appl. Environ. Microbiol. 2017, 83, e02508–e02516. [Google Scholar] [CrossRef]
- Fleming, D.; Rumbaugh, K.P. Approaches to dispersing medical biofilms. Microorganisms 2017, 5, 15. [Google Scholar] [CrossRef]
- Lister, J.L.; Horswill, A.R. Staphylococcus aureus biofilms: Recent developments in biofilm dispersal. Front. Cell. Infect. Microbiol. 2014, 4, 178. [Google Scholar] [CrossRef]
- Karray, A.; Alonazi, M.; Horchani, H.; Ben Bacha, A. A novel thermostable and alkaline protease produced from Bacillus stearothermophilus isolated from olive oil mill sols suitable to industrial biotechnology. Molecules 2021, 26, 1139. [Google Scholar] [CrossRef]
- Guleria, S.; Walia, A.; Chauhan, A.; Shirkot, C.K. Purification and characterization of detergent stable alkaline protease from Bacillus amyloliquefaciens SP1 isolated from apple rhizosphere. J. Basic Microbiol. 2016, 56, 138–152. [Google Scholar] [CrossRef]
- Kim, W.; Kim, S. Purification and characterization of Bacillus subtilis JM-3 protease from anchovy sauce. J. Food Biochem. 2005, 29, 591–610. [Google Scholar] [CrossRef]
- Öztürk, S.; Özeren-Morgan, M.; Dilgimen, A.S.; Denizci, A.A.; Arikan, B.; Kazan, D. Alkaline serine protease from halotolerantBacillus licheniformis BA17. Ann. Microbiol. 2009, 59, 83–90. [Google Scholar] [CrossRef]
- Lee, S.; Lee, J.; Jin, Y.-I.; Jeong, J.-C.; Chang, Y.H.; Lee, Y.; Jeong, Y.; Kim, M. Probiotic characteristics of Bacillus strains isolated from Korean traditional soy sauce. LWT-Food Sci. Technol. 2017, 79, 518–524. [Google Scholar] [CrossRef]
- Van Kampen, V.; Merget, R. Occupational airway sensitization due to subtilisin. Pneumol. (Stuttg. Ger.) 2002, 56, 182–186. [Google Scholar] [CrossRef]
- Gupta, R.; Gupta, K.; Saxena, R.; Khan, S. Bleach-stable, alkaline protease from Bacillus sp. Biotechnol. Lett. 1999, 21, 135–138. [Google Scholar] [CrossRef]
- Özçelik, B.; Aytar, P.; Gedikli, S.; Yardımcı, E.; Çalışkan, F.; Çabuk, A. Production of an alkaline protease using Bacillus pumilus D3 without inactivation by SDS, its characterization and purification. J. Enzym. Inhib. Med. Chem. 2014, 29, 388–396. [Google Scholar] [CrossRef] [PubMed]
- Silva, C.R.d.; Delatorre, A.B.; Martins, M.L.L. Effect of the culture conditions on the production of an extracellular protease by thermophilic Bacillus sp. and some properties of the enzymatic activity. Braz. J. Microbiol. 2007, 38, 253–258. [Google Scholar] [CrossRef]
- Sana, B. Marine microbial enzymes: Current status and future prospects. In Springer Handbook of Marine Biotechnology; Springer: Berlin/Heidelberg, Germany, 2015; pp. 905–917. [Google Scholar]
- Rao, M.B.; Tanksale, A.M.; Ghatge, M.S.; Deshpande, V.V. Molecular and biotechnological aspects of microbial proteases. Microbiol. Mol. Biol. Rev. 1998, 62, 597–635. [Google Scholar] [CrossRef] [PubMed]
- Park, J.W.; Park, J.E.; Choi, H.K.; Jung, T.W.; Yoon, S.M.; Lee, J.S. Purification and characterization of three thermostable alkaline fibrinolytic serine proteases from the polychaete Cirriformia tentaculata. Process Biochem. 2013, 48, 979–987. [Google Scholar] [CrossRef]
- Hedstrom, L. Serine protease mechanism and specificity. Chem. Rev. 2002, 102, 4501–4524. [Google Scholar] [CrossRef] [PubMed]
- Donaghy, J.; McKay, A. Production and properties of an alkaline protease by Aureobasidium pullulans. J. Appl. Bacteriol. 1993, 74, 662–666. [Google Scholar] [CrossRef]
- Vallee, B.L.; Ulmer, D.D. Biochemical effects of mercury, cadmium, and lead. Annu. Rev. Biochem. 1972, 41, 91–128. [Google Scholar] [CrossRef]
- Haddar, A.; Bougatef, A.; Agrebi, R.; Sellami-Kamoun, A.; Nasri, M. A novel surfactant-stable alkaline serine-protease from a newly isolated Bacillus mojavensis A21. Purification and characterization. Process Biochem. 2009, 44, 29–35. [Google Scholar] [CrossRef]
- Annamalai, N.; Rajeswari, M.V.; Sahu, S.K.; Balasubramanian, T. Purification and characterization of solvent stable, alkaline protease from Bacillus firmus CAS 7 by microbial conversion of marine wastes and molecular mechanism underlying solvent stability. Process Biochem. 2014, 49, 1012–1019. [Google Scholar] [CrossRef]
- Lakshmi, B.; Kumar, D.M.; Hemalatha, K. Purification and characterization of alkaline protease with novel properties from Bacillus cereus strain S8. J. Genet. Eng. Biotechnol. 2018, 16, 295–304. [Google Scholar] [CrossRef]
- Emon, T.H.; Hakim, A.; Chakraborthy, D.; Bhuyan, F.R.; Iqbal, A.; Hasan, M.; Aunkor, T.H.; Azad, A.K. Kinetics, detergent compatibility and feather-degrading capability of alkaline protease from Bacillus subtilis AKAL7 and Exiguobacterium indicum AKAL11 produced with fermentation of organic municipal solid wastes. J. Environ. Sci. Health Part A 2020, 55, 1339–1348. [Google Scholar] [CrossRef]
- Priya, J.; Divakar, K.; Prabha, M.S.; Selvam, G.P.; Gautam, P. Isolation, purification and characterisation of an organic solvent-tolerant Ca2+-dependent protease from Bacillus megaterium AU02. Appl. Biochem. Biotechnol. 2014, 172, 910–932. [Google Scholar] [CrossRef] [PubMed]
- Aguilar, J.G.d.S.; de Castro, R.J.; Sato, H.H. Alkaline protease production by Bacillus licheniformis LBA 46 in a bench reactor: Effect of temperature and agitation. Braz. J. Chem. Eng. 2019, 36, 615–625. [Google Scholar] [CrossRef]
- Ferrareze, P.A.G.; Correa, A.P.F.; Brandelli, A. Purification and characterization of a keratinolytic protease produced by probiotic Bacillus subtilis. Biocatal. Agric. Biotechnol. 2016, 7, 102–109. [Google Scholar] [CrossRef]
- Mushtaq, H.; Jehangir, A.; Ganai, S.A.; Farooq, S.; Ganai, B.A.; Nazir, R. Biochemical characterization and functional analysis of heat stable high potential protease of Bacillus amyloliquefaciens strain HM48 from soils of Dachigam National Park in Kashmir Himalaya. Biomolecules 2021, 11, 117. [Google Scholar] [CrossRef]
- Chen, X.; Zhou, C.; Xue, Y.; Shi, J.; Ma, Y. Cloning, expression, and characterization of an alkaline protease, AprV, from Vibrio sp. DA1-1. Bioprocess Biosyst. Eng. 2018, 41, 1437–1447. [Google Scholar] [CrossRef] [PubMed]
- Oztas Gulmus, E.; Gormez, A. Characterization and biotechnological application of protease from thermophilic Thermomonas haemolytica. Arch. Microbiol. 2020, 202, 153–159. [Google Scholar] [CrossRef] [PubMed]
- Barzkar, N. Marine microbial alkaline protease: An efficient and essential tool for various industrial applications. Int. J. Biol. Macromol. 2020, 161, 1216–1229. [Google Scholar] [CrossRef] [PubMed]
- Rai, S.K.; Mukherjee, A.K. Ecological significance and some biotechnological application of an organic solvent stable alkaline serine protease from Bacillus subtilis strain DM-04. Bioresour. Technol. 2009, 100, 2642–2645. [Google Scholar] [CrossRef]
- Abd-ElKhalek, A.M.; Seoudi, D.M.; Ibrahim, O.A.; Abd-Rabou, N.S.; Abd ElAzeem, E.M. Extraction, partial purification, characteristics, and antimicrobial activity of plant protease from Moringa Oleifera leaves. J. Appl. Biotechnol. Rep. 2020, 7, 243–250. [Google Scholar]
- Muthu, S.; Gopal, V.B.; Soundararajan, S.; Nattarayan, K.; Narayan, K.S.; Lakshmikanthan, M.; Malairaj, S.; Perumal, P. Antibacterial serine protease from Wrightia tinctoria: Purification and characterization. Plant Physiol. Biochem. 2017, 112, 161–172. [Google Scholar] [CrossRef]
- De La Fuente-Núñez, C.; Cardoso, M.H.; de Souza Cândido, E.; Franco, O.L.; Hancock, R.E. Synthetic antibiofilm peptides. Biochim. Et Biophys. Acta (BBA)-Biomembr. 2016, 1858, 1061–1069. [Google Scholar] [CrossRef]
- Benmebarek, H.; Escuder-Rodríguez, J.-J.; González-Siso, M.-I.; Karroub, K. Test for the production and assay of the proteolytic activities of halophilic bacteria and archaea isolated from Algerian hypersaline environments. Multidiscip. Digit. Publ. Inst. Proc. 2020, 66, 12. [Google Scholar]
- Bradford, M.M. A rapid and sensitive method for the quantitation of microgram quantities of protein utilizing the principle of protein-dye binding. Anal. Biochem. 1976, 72, 248–254. [Google Scholar] [CrossRef]
- Laemmli, U.K. Cleavage of structural proteins during the assembly of the head of bacteriophage T4. Nature 1970, 227, 680–685. [Google Scholar] [CrossRef]
- Jaouadi, B.; Ellouz-Chaabouni, S.; Rhimi, M.; Bejar, S. Biochemical and molecular characterization of a detergent-stable serine alkaline protease from Bacillus pumilus CBS with high catalytic efficiency. Biochimie 2008, 90, 1291–1305. [Google Scholar] [CrossRef] [PubMed]
- Mechri, S.; Berrouina, M.B.E.; Benmrad, M.O.; Jaouadi, N.Z.; Rekik, H.; Moujehed, E.; Chebbi, A.; Sayadi, S.; Chamkha, M.; Bejar, S. Characterization of a novel protease from Aeribacillus pallidus strain VP3 with potential biotechnological interest. Int. J. Biol. Macromol. 2017, 94, 221–232. [Google Scholar] [CrossRef] [PubMed]
- Li, F.; Weir, M.D.; Fouad, A.F.; Xu, H.H. Time-kill behaviour against eight bacterial species and cytotoxicity of antibacterial monomers. J. Dent. 2013, 41, 881–891. [Google Scholar] [CrossRef] [PubMed]
- Zeng, P.; Yi, L.; Xu, J.; Gao, W.; Xu, C.; Chen, S.; Chan, K.-F.; Wong, K.-Y. Investigation of antibiofilm activity, antibacterial activity, and mechanistic studies of an amphiphilic peptide against Acinetobacter baumannii. Biochim. Et Biophys. Acta (BBA)-Biomembr. 2021, 1863, 183600. [Google Scholar] [CrossRef]
- Bessa, L.J.; Eaton, P.; Dematei, A.; Plácido, A.; Vale, N.; Gomes, P.; Delerue-Matos, C.; SA Leite, J.R.; Gameiro, P. Synergistic and antibiofilm properties of ocellatin peptides against multidrug-resistant Pseudomonas aeruginosa. Future Microbiol. 2018, 13, 151–163. [Google Scholar] [CrossRef]
- Thieme, L.; Hartung, A.; Tramm, K.; Klinger-Strobel, M.; Jandt, K.D.; Makarewicz, O.; Pletz, M.W. MBEC versus MBIC: The lack of differentiation between biofilm reducing and inhibitory effects as a current problem in biofilm methodology. Biol. Proced. Online 2019, 21, 18. [Google Scholar] [CrossRef]






| Purification Steps | Total Protein (mg) | Total Activity (U) | Specific Activity (U/mg) | Purification Fold | Recovery (%) |
|---|---|---|---|---|---|
| Cell-free supernatant | 256 | 32,454 | 126.77 | 1.00 | 100 |
| Ammonium sulphate | 132 | 24,475 | 185.42 | 1.46 | 75.41 |
| Sepharose CL-6B | 24 | 16,562 | 690.08 | 5.44 | 51.03 |
| Sephadex G-75 | 1.8 | 5268 | 2926.67 | 23.09 | 16.23 |
| SN | Microorganisms | N-terminal Amino Acid Sequences | Identity (%) | NCBI References |
|---|---|---|---|---|
| 1 | Bacillus siamensis | QTGGSFFEPFNSYNSGLWQKANGYS | 100 | Current study |
| 2 | Bacillus halotolerans | QTGGSFFDPFNSYNSGLWQKANGYS | 96 | WP_059335710.1 |
| 3 | Paenibacillus macerans | QTGGSFFEPFNSYNSGTWEKADGYS | 88 | 1U0A_A |
| 4 | Bacillus licheniformis | QTGGSFYEPFNNYNTGLWQKADGYS | 84 | 1GBG_A |
| 5 | Bacillus subtilis | QTGGSFFDPFNGYNSGFWQKADGYS | 84 | 3O5S_A |
| 6 | Bacillus subtilis | GSVFWEP-KSYFNPSTWEKADGYS | 58.33 | 1AXK_A |
| Inhibitors, Metals, Surfactants and Bleaching Agents | Concentrations | Residual Activity (%) |
|---|---|---|
| None | - | 100 ± 2.2 |
| PMSF | 5 mM | 10 ± 1.8 |
| DFP | 5 mM | 12 ± 1.5 |
| TLCK | 1 mM | 102 ± 1.2 |
| TPCK | 1 mM | 101 ± 1.5 |
| SBTI | 3 mg/mL | 103 ± 1.7 |
| Benzamidine | 5 mM | 104 ± 1.3 |
| Iodoacetamide | 5 mM | 95 ± 2.3 |
| 2-mercaptoethanol | 5 mM | 90 ± 1.8 |
| Leupeptin | 50 μg/mL | 96 ± 1.9 |
| Pepstatin A | 10 μg/mL | 93 ± 1.4 |
| DTNB | 10 mM | 92 ± 1.6 |
| EDTA | 10 mM | 87 ± 1.8 |
| EGTA | 1 mM | 85 ± 1.4 |
| Mg2+ | 3 mM | 135 ± 1.3 |
| Zn2+ | 3 mM | 125 ± 1.7 |
| Mn2+ | 3 mM | 120 ± 2.4 |
| Fe2+ | 3 mM | 145 ± 2.0 |
| Na+, Ca2+, Cu2+ | 3 mM | 100 ± 1.5 |
| Ni2+, Co2+, Cd2+, Hg2+ | 3 mM | 10 ± 1.2 |
| SDS | 1% (w/v) | 85 ± 1.3 |
| Tween 20 | 1% (v/v) | 90 ± 1.6 |
| Tween 80 | 1% (v/v) | 88 ± 1.8 |
| Triton X-100 | 1% (v/v) | 92 ± 1.5 |
| H2O2 | 1% (v/v) | 80 ± 1.2 |
| NaClO | 1% (v/v) | 83 ± 1.6 |
| Microorganisms | MIC (µg/mL) | MBIC (µg/mL) | MBEC (µg/mL) | ||
|---|---|---|---|---|---|
| Protease SH21 | Bacitracin | Vancomycin | Protease SH21 | Protease SH21 | |
| Gram-negative bacteria | |||||
| Escherichia coli KCTC 1923 | 16 | 128 | 128 | 32 (2× MIC) | 128 (8× MIC) |
| Pseudomonas aeruginosa KCTC 1637 | 64 | 64 | 2 | 128 (2× MIC) | 512 (8× MIC) |
| Salmonella typhimurium KCTC 1925 | 32 | 32 | 2 | ||
| Gram-positive bacteria | |||||
| Staphylococcus aureus KCTC 1928 | 16 | 128 | 64 | 32 (2× MIC) | 128 (8× MIC) |
| Micrococcus luteus ATCC 9341 | 32 | 128 | 128 | ||
| Bacillus subtilis ATCC 6633 | 16 | 64 | 32 | ||
| Mycobacterium smegmatis ATCC 9341 | 16 | 32 | 2 | ||
Disclaimer/Publisher’s Note: The statements, opinions and data contained in all publications are solely those of the individual author(s) and contributor(s) and not of MDPI and/or the editor(s). MDPI and/or the editor(s) disclaim responsibility for any injury to people or property resulting from any ideas, methods, instructions or products referred to in the content. |
© 2023 by the authors. Licensee MDPI, Basel, Switzerland. This article is an open access article distributed under the terms and conditions of the Creative Commons Attribution (CC BY) license (https://creativecommons.org/licenses/by/4.0/).
Share and Cite
Tarek, H.; Nam, K.B.; Kim, Y.K.; Suchi, S.A.; Yoo, J.C. Biochemical Characterization and Application of a Detergent Stable, Antimicrobial and Antibiofilm Potential Protease from Bacillus siamensis. Int. J. Mol. Sci. 2023, 24, 5774. https://doi.org/10.3390/ijms24065774
Tarek H, Nam KB, Kim YK, Suchi SA, Yoo JC. Biochemical Characterization and Application of a Detergent Stable, Antimicrobial and Antibiofilm Potential Protease from Bacillus siamensis. International Journal of Molecular Sciences. 2023; 24(6):5774. https://doi.org/10.3390/ijms24065774
Chicago/Turabian StyleTarek, Hasan, Kyung Bin Nam, Young Kyun Kim, Suzia Aktar Suchi, and Jin Cheol Yoo. 2023. "Biochemical Characterization and Application of a Detergent Stable, Antimicrobial and Antibiofilm Potential Protease from Bacillus siamensis" International Journal of Molecular Sciences 24, no. 6: 5774. https://doi.org/10.3390/ijms24065774
APA StyleTarek, H., Nam, K. B., Kim, Y. K., Suchi, S. A., & Yoo, J. C. (2023). Biochemical Characterization and Application of a Detergent Stable, Antimicrobial and Antibiofilm Potential Protease from Bacillus siamensis. International Journal of Molecular Sciences, 24(6), 5774. https://doi.org/10.3390/ijms24065774

