De Novo Transcriptome Sequencing of Codonopsis lanceolata for Identification of Triterpene Synthase and Triterpene Acetyltransferase
Abstract
1. Introduction
2. Results
2.1. Accumulation of Triterpenoids in Different Organs of C. lanceolata
2.2. Transcriptome Analysis of C. lanceolata and Functional Annotation of Unigenes
2.3. Transcriptional Activity of Unigenes Involved in Triterpene Biosynthetic Pathways
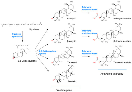
2.4. Isolation of Triterpene Synthase in C. lanceolata
2.5. Functional Characterization of ClOSCs by Yeast Expression
2.6. Isolation of Putative Triterpene Acetyltransferase Gene Involved in the Production of Triterpene Acetates
3. Discussion
4. Materials and Methods
4.1. Plant Materials
4.2. RNA Isolation and cDNA Library Construction
4.3. Illumina Sequencing and De Novo Assembly
4.4. Functional Annotation and DEG Selection
4.5. qPCR Analysis
4.6. Phylogenetic Analysis of Amino Acid Sequences of Putative Triterpene Synthase and Triterpene Acetyltransferases
4.7. Characterization of the four OSC Enzymes
4.8. GC/MS Analysis
5. Conclusions
Supplementary Materials
Author Contributions
Funding
Institutional Review Board Statement
Informed Consent Statement
Data Availability Statement
Conflicts of Interest
References
- He, J.Y.; Ma, N.; Zhu, S.; Komatsu, K.; Li, Z.Y.; Fu, W.M. The genus Codonopsis (Campanulaceae): A review of phytochemistry, bioactivity and quality control. J. Nat. Med. 2015, 69, 1–21. [Google Scholar] [CrossRef]
- Gao, S.M.; Liu, J.S.; Wang, M.; Cao, T.T.; Qi, Y.D.; Zhang, B.G.; Sun, X.B.; Liu, H.T.; Xiao, P.G. Traditional uses, phytochemistry, pharmacology and toxicology of Codonopsis: A review. J. Ethnopharmacol. 2018, 219, 50–70. [Google Scholar] [CrossRef] [PubMed]
- Hossen, M.J.; Kim, M.Y.; Kim, J.H.; Cho, J.Y. Codonopsis lanceolata: A review of its therapeutic potentials. Phytother. Res. 2016, 30, 347–356. [Google Scholar] [CrossRef] [PubMed]
- Li, J.P.; Liang, Z.M.; Yuan, Z. Triterpenoid saponins and anti-inflammatory activity of Codonopsis lanceolata. Pharmazie 2007, 62, 463–466. [Google Scholar] [PubMed]
- Shirota, O.; Nagamatsu, K.; Sekita, S.; Komoto, N.; Kuroyanagi, M.; Ichikawa, M.; Ohta, S.; Ushijima, M. Preparative separation of the saponin lancemaside a from Codonopsis lanceolata by centrifugal partition chromatography. Phytochem. Anal. 2008, 19, 403–410. [Google Scholar] [CrossRef]
- Ushijima, M.; Komoto, N.; Sugizono, Y.; Mizuno, I.; Sumihiro, M.; Ichikawa, M.; Hayama, M.; Kawahara, N.; Nakane, T.; Shirota, O.; et al. Triterpene glycosides from the roots of Codonopsis lanceolata. Chem. Pharm. Bull. 2008, 56, 308–314. [Google Scholar] [CrossRef]
- Cárdenas, P.D.; Almeida, A.; Bak, S. Evolution of structural diversity of triterpenoids. Front. Plant Sci. 2019, 10, 1523. [Google Scholar] [CrossRef]
- Yang, W.; Chen, X.; Li, Y.; Guo, S.; Wang, Z.; Yu, X. Advances in pharmacological activities of terpenoids. Nat. Prod. Commun. 2020, 15, 1–13. [Google Scholar] [CrossRef]
- Žwawiak, J.; Pawelczyk, A.; Olender, D.; Zaprutko, L. Structure and activity of pentacyclic triterpenes codrugs. A review. Mini Rev. Med. Chem. 2021, 21, 1509–1526. [Google Scholar] [CrossRef]
- Rohmer, M. The discovery of a mevalonate-independent pathway for isoprenoid biosynthesis in bacteria, algae and higher plants. Nat. Prod. Rep. 1999, 16, 565–574. [Google Scholar] [CrossRef]
- Vranová, E.; Coman, D.; Gruissem, W. Network analysis of the MVA and MEP pathways for isoprenoid synthesis. Annu. Rev. Plant Biol. 2013, 64, 665–700. [Google Scholar] [CrossRef]
- Hill, R.A.; Connolly, J.D. Triterpenoids. Nat. Prod. Rep. 2017, 34, 90–122. [Google Scholar] [CrossRef] [PubMed]
- Choi, H.S.; Han, J.Y.; Choi, Y.E. Identification of triterpenes and functional characterization of oxidosqualene cyclases involved in triterpene biosynthesis in lettuce (Lactuca sativa). Plant Sci. 2020, 301, 110656. [Google Scholar] [CrossRef] [PubMed]
- Choi, H.S.; Han, J.Y.; Cheong, E.J.; Choi, Y.E. Characterization of a pentacyclic triterpene acetyltransferase involved in the biosynthesis of taraxasterol and ψ-taraxasterol acetates in lettuce. Front. Plant Sci. 2022, 12, 788356. [Google Scholar] [CrossRef]
- Scossa, F.; Benina, M.; Alseekh, S.; Zhang, Y.; Fernie, A.R. The integration of metabolomics and next-generation sequencing data to elucidate the pathways of natural product metabolism in medicinal plants. Planta Med. 2018, 84, 855–873. [Google Scholar] [CrossRef]
- Guo, J.; Huang, Z.; Sun, J.; Cui, X.; Liu, Y. Research progress and future development trends in medicinal plant transcriptomics. Front. Plant Sci. 2021, 12, 691838. [Google Scholar] [CrossRef]
- Younessi-Hamzekhanlu, M.; Ozturk, M.; Jafarpour, P.; Mahna, N. Exploitation of next generation sequencing technologies for unraveling metabolic pathways in medicinal plants: A concise review. Ind. Crops Prod. 2022, 178, 114669. [Google Scholar] [CrossRef]
- Gao, J.P.; Wang, D.; Cao, L.Y.; Sun, H.F. Transcriptome sequencing of Codonopsis pilosula and identification of candidate genes involved in polysaccharide biosynthesis. PLoS ONE 2015, 10, e0117342. [Google Scholar] [CrossRef]
- Ma, C.H.; Gao, Z.J.; Zhang, J.J.; Zhang, W.; Shao, J.H.; Hai, M.R.; Chen, J.W.; Yang, S.C.; Zhang, G.H. Candidate genes involved in the biosynthesis of triterpenoid saponins in Platycodon grandiflorum identified by transcriptome analysis. Front. Plant Sci. 2016, 7, 673. [Google Scholar] [CrossRef] [PubMed]
- Kim, J.; Kang, S.H.; Park, S.G.; Yang, T.J.; Lee, Y.; Kim, O.T.; Chung, O.; Lee, J.; Choi, J.P.; Kwon, S.J.; et al. Whole-genome, transcriptome, and methylome analyses provide insights into the evolution of platycoside biosynthesis in Platycodon grandiflorus, a medicinal plant. Hortic. Res. 2020, 7, 112. [Google Scholar] [CrossRef]
- Su, X.; Liu, Y.; Han, L.; Wang, Z.; Cao, M.; Wu, L.; Jiang, W.; Meng, F.; Guo, X.; Yu, N.; et al. A candidate gene identified in converting platycoside E to platycodin D from Platycodon grandifloras by transcriptome and main metabolites analysis. Sci. Rep. 2021, 11, 9810. [Google Scholar] [CrossRef] [PubMed]
- Yu, H.; Liu, M.; Yin, M.; Shan, T.; Peng, H.; Wang, J.; Chang, X.; Peng, D.; Zha, L.; Gui, S. Transcriptome analysis identifies putative genes involved in triterpenoid biosynthesis in Platycodon grandiflorus. Planta 2021, 254, 34. [Google Scholar] [CrossRef] [PubMed]
- Wang, W.Y.; Zhao, S.C.; Liu, D.X. Study on the chemical constituents of Codonopsis lanceolata. Zhong Yao Cai 2011, 34, 553–555. [Google Scholar] [PubMed]
- Kim, H.J.; Son, D.C.; Kim, H.J.; Choi, K.; Oh, S.H.; Kang, S.H. The chemo-taxonomic classification of Korean Campanulaceae based on triterpene, sterol, and poly-acetylene contents. Biochem. Syst. Ecol. 2017, 74, 11–18. [Google Scholar] [CrossRef]
- Yang, H.S.; Choi, S.S.; Han, B.J.; Kang, S.S.; Woo, W.S. Sterols and triterpenoids from Codonopsis lanceolata. YAKHAK HOEJI 1975, 19, 209–213. [Google Scholar]
- Tripathi, S.; Jadaun, J.S.; Chandra, M.; Sangwan, N.S. Medicinal plant transcriptomes: The new gateways for accelerated understanding of plant secondary metabolism. Plant. Genet. Resour. 2016, 14, 256–269. [Google Scholar] [CrossRef]
- Suzuki, H.; Achnine, L.; Xu, R.; Matsuda, S.P.T.; Dixon, R.A. A genomics approach to the early stages of triterpene saponin biosynthesis in Medicago truncatula. Plant J. 2002, 32, 1033–1048. [Google Scholar] [CrossRef]
- Rasbery, J.M.; Shan, H.; LeClair, R.J.; Norman, M.; Matsuda, S.P.; Bartel, B. Arabidopsis thaliana squalene epoxidase 1 is essential for root and seed development. J. Biol. Chem. 2007, 282, 17002–17013. [Google Scholar] [CrossRef]
- Han, J.Y.; In, J.G.; Kwon, Y.S.; Choi, Y.E. Regulation of ginsenoside and phytosterol biosynthesis by RNA interferences of squalene epoxidase gene in Panax ginseng. Phytochemistry 2010, 71, 36–46. [Google Scholar] [CrossRef]
- Abe, I.; Rohmer, M.; Prestwich, G.D. Enzymatic cyclization of squalene and oxidosqualene to sterols and triterpenes. Chem. Rev. 1993, 93, 2189–2206. [Google Scholar] [CrossRef]
- Xu, R.; Fazio, G.C.; Matsuda, S.P.T. On the origins of triterpenoid skeletal diversity. Phytochemistry 2004, 65, 261–291. [Google Scholar] [CrossRef]
- Kajikawa, M.; Yamato, K.T.; Fukuzawa, H.; Sakai, Y.; Uchida, H.; Ohyama, K. Cloning and characterization of a cDNA encoding β-amyrin synthase from petroleum plant Euphorbia tirucalli L. Phytochemistry 2005, 66, 1759–1766. [Google Scholar] [CrossRef] [PubMed]
- Brendolise, C.; Yauk, Y.K.; Eberhard, E.D.; Wang, M.; Chagne, D.; Andre, D.R.; Beuning, L.L. An unusual plant triterpene synthase with predominant α-amyrin producing activity identified by characterizing oxidosqualene cyclases from Malus domestica. FEBS J. 2011, 278, 2485–2499. [Google Scholar] [CrossRef]
- Ito, R.; Mori, K.; Hashimoto, I.; Nakano, C.; Sato, T.; Hoshino, T. Triterpene cyclases from Oryza sativa L.: Cycloartenol, parkeol and achilleol B synthases. Org. Lett. 2011, 13, 2678–2681. [Google Scholar] [CrossRef] [PubMed]
- Martin, M. Cutadapt removes adapter sequences from high-throughput sequencing reads. EMBnet J. 2011, 17, 10–12. [Google Scholar] [CrossRef]
- Cox, M.P.; Peterson, D.A.; Biggs, P.J. SolexaQA: At-a-glance quality assessment of Illumina second-generation sequencing data. BMC Bioinform. 2010, 11, 485. [Google Scholar] [CrossRef] [PubMed]
- Zerbino, D.R.; Birney, E. Velvet: Algorithms for de novo short read assembly using de Bruijn graphs. Genome Res. 2008, 18, 821–829. [Google Scholar] [CrossRef] [PubMed]
- Grabherr, M.G.; Haas, B.J.; Yassour, M.; Levin, J.Z.; Thompson, D.A.; Amit, I.; Adiconis, X.; Fan, L.; Raychowdhury, R.; Zeng, Q.; et al. Full-length transcriptome assembly from RNA-Seq data without a reference genome. Nat. Biotechnol. 2011, 29, 644–652. [Google Scholar] [CrossRef] [PubMed]
- Langmead, B.; Trapnell, C.; Pop, M.; Salzberg, S.L. Ultrafast and memory-efficient alignment of short DNA sequences to the human genome. Genome Biol. 2009, 10, R25. [Google Scholar] [CrossRef]
- Love, M.I.; Huber, W.; Anders, S. Moderated estimation of fold change and dispersion for RNA-seq data with DESeq2. Genome Biol. 2014, 15, 550. [Google Scholar] [CrossRef]
- Ashburner, M.; Ball, C.A.; Blake, J.A.; Botstein, D.; Butler, H.; Cherry, J.M.; Davis, A.P.; Dolinski, K.; Dwight, S.S.; Eppig, J.T.; et al. Gene ontology: Tool for the unification of biology. The Gene Ontology Consortium. Nat. Genet. 2000, 25, 25–29. [Google Scholar] [CrossRef] [PubMed]
- Felsenstein, J. Confidence limits on phylogenies: An approach using the bootstrap. Evolution 1985, 39, 783–791. [Google Scholar] [CrossRef] [PubMed]








Disclaimer/Publisher’s Note: The statements, opinions and data contained in all publications are solely those of the individual author(s) and contributor(s) and not of MDPI and/or the editor(s). MDPI and/or the editor(s) disclaim responsibility for any injury to people or property resulting from any ideas, methods, instructions or products referred to in the content. |
© 2023 by the authors. Licensee MDPI, Basel, Switzerland. This article is an open access article distributed under the terms and conditions of the Creative Commons Attribution (CC BY) license (https://creativecommons.org/licenses/by/4.0/).
Share and Cite
Choi, H.-B.; Shim, S.; Wang, M.-H.; Choi, Y.-E. De Novo Transcriptome Sequencing of Codonopsis lanceolata for Identification of Triterpene Synthase and Triterpene Acetyltransferase. Int. J. Mol. Sci. 2023, 24, 5769. https://doi.org/10.3390/ijms24065769
Choi H-B, Shim S, Wang M-H, Choi Y-E. De Novo Transcriptome Sequencing of Codonopsis lanceolata for Identification of Triterpene Synthase and Triterpene Acetyltransferase. International Journal of Molecular Sciences. 2023; 24(6):5769. https://doi.org/10.3390/ijms24065769
Chicago/Turabian StyleChoi, Han-Bin, Sangrea Shim, Myeong-Hyeon Wang, and Yong-Eui Choi. 2023. "De Novo Transcriptome Sequencing of Codonopsis lanceolata for Identification of Triterpene Synthase and Triterpene Acetyltransferase" International Journal of Molecular Sciences 24, no. 6: 5769. https://doi.org/10.3390/ijms24065769
APA StyleChoi, H.-B., Shim, S., Wang, M.-H., & Choi, Y.-E. (2023). De Novo Transcriptome Sequencing of Codonopsis lanceolata for Identification of Triterpene Synthase and Triterpene Acetyltransferase. International Journal of Molecular Sciences, 24(6), 5769. https://doi.org/10.3390/ijms24065769

