Influence of Lipidation Pattern of the KR12 Fragment of Peptide LL-37 on Its Antibacterial and Hemolytic Activities
Abstract
1. Introduction
2. Results and Discussion
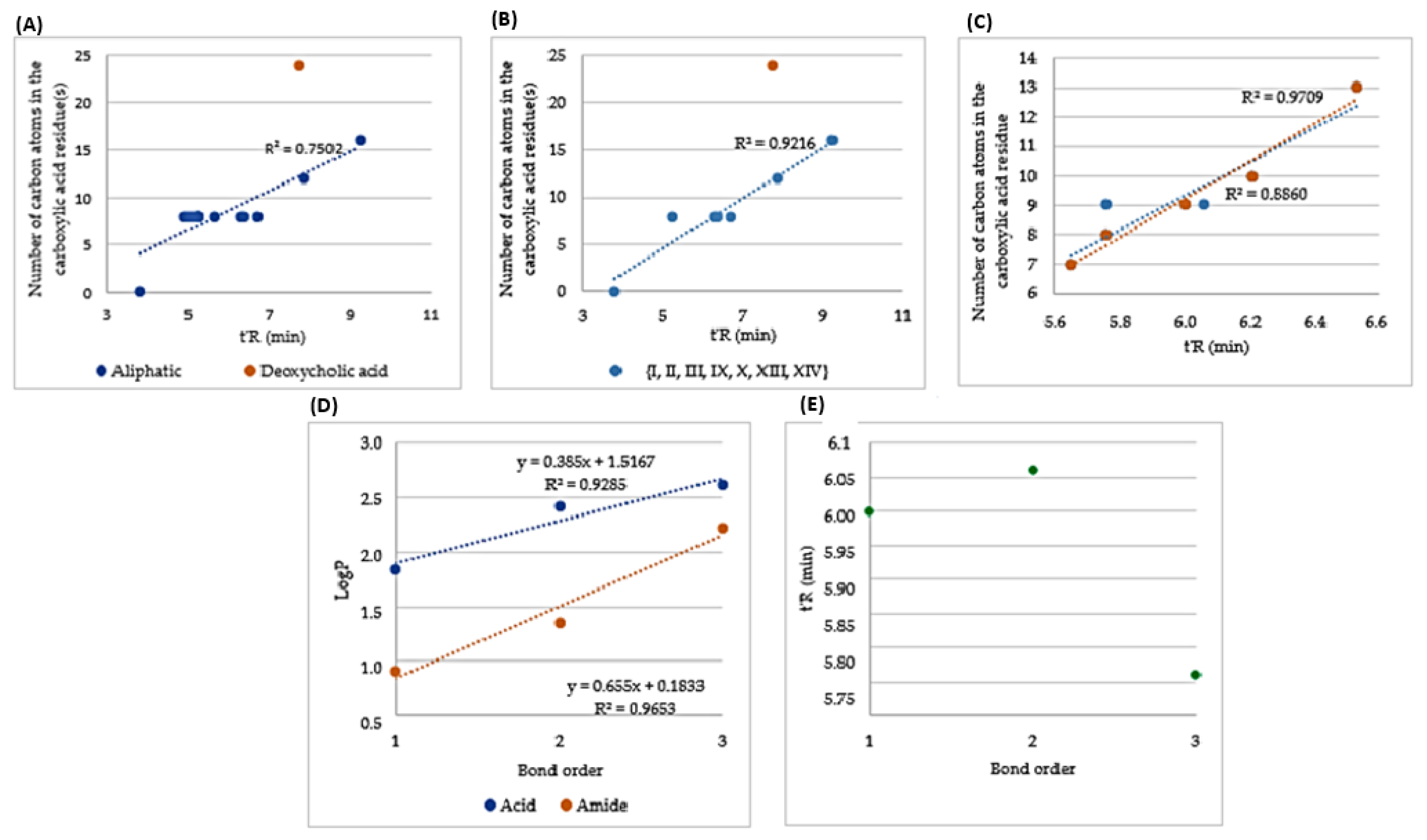
2.1. Peptide Synthesis, Purification, and Hydrophobicity
2.2. Antibacterial Activity of the Peptides against ESKAPE Pathogens and S. aureus Strains
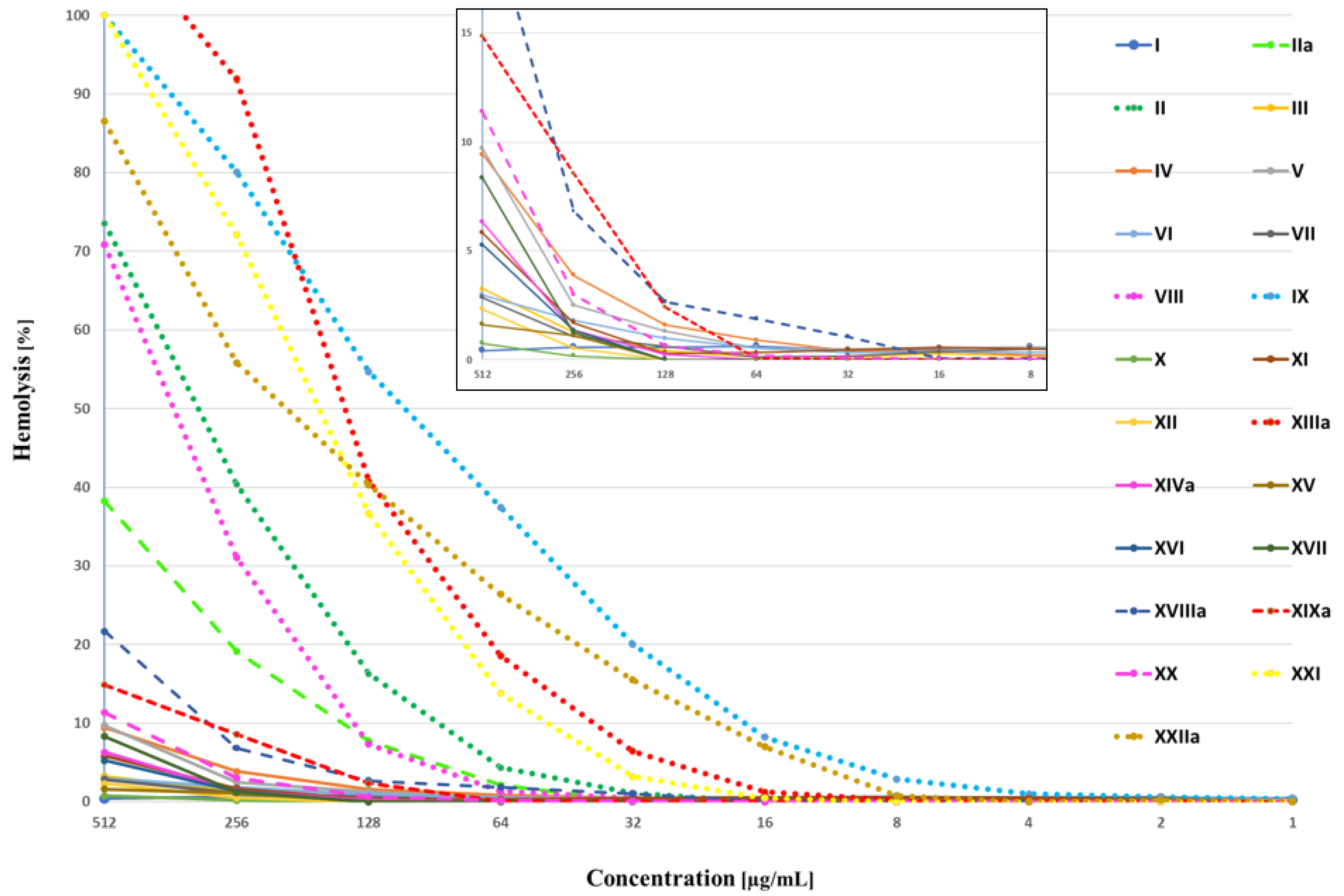
2.3. Hemolytic Activity and Its Relationship with Hydrophobicity
2.4. Selectivity Index: S. aureus Strains
2.5. Selectivity Index: ESKAPE Strains
2.6. Conformational Studies of the Peptides Using Circular Dichroism and the Relationship between Hydrophobicity and Helicity
2.7. Effects of the Peptides on Liposome Aggregation
3. Materials and Methods
3.1. Peptide Synthesis and Purification
3.2. Antibacterial Assays
3.3. Hemolysis Assay
3.4. CD Measurements
3.5. Dynamic Light Scattering Measurements
4. Conclusions
- Most of C8α-KR12-NH2 (II) analogs that were more hydrophobic than the parent compound were also more hemolytic. A similar relationship was also found between the α-helical structure content in POPC and hemolytic activity. The only exceptions were compounds VIII and XXI, which exhibited comparable or higher toxicity, respectively, than peptide II despite lower hydrophobicity.
- All lipidated analogs with the highest net charge (+5) were the most selective toward pathogens (analogs IV, V and VI); therefore, the overall charge of KR12-NH2 analogs plays a pivotal role in their biological activity and must be considered in the further optimization of therapeutic potential.
- The conjugation of the branched carboxylic acid (2-ethylhexanoic acid, XIV) to the N-terminus of the KR12-NH2 molecule and the transfer of the lipophilic moiety from the C-terminal lysine side chain to the N-terminal lysine (VII and III, respectively) or vice versa for analogs with the additional lysine (V and VI, respectively) are preferred tactics to increase peptide selectivity.
- It is worth emphasizing that in our study, the highest selectivity against S. aureus strains with an SI value of at least 21.11 exhibited peptide XII obtained using the conjugation of the octanoic acid with the N-terminus of retro-KR12-NH2.
- The increase in the multiplicity of the C2-C3 bond in the hydrocarbon linker (analogs XVII, XIX, and XX) correlates with the decrease in SI values against S. aureus strains.
- The increase in the degree of lipidation of the peptide KR12-NH2 significantly reduced its antimicrobial activity against both ESKAPE and S. aureus strains (analog IX) and SI values.
- We showed that the representative lipoAMPs that exhibited high antibacterial activity promoted the aggregation of the negatively charged large unilamellar POPG vesicles (LUVs).
Supplementary Materials
Author Contributions
Funding
Institutional Review Board Statement
Informed Consent Statement
Data Availability Statement
Conflicts of Interest
Abbreviations
References
- Antimicrobial Resistance Collaborators. Global burden of bacterial antimicrobial resistance in 2019: A systematic analysis. Lancet 2022, 399, 629–655. [Google Scholar] [CrossRef]
- World Health Organization. Global Priority List of Antibiotic-Resistant Bacteria to Guide Research, Discovery, and Development of New Antibiotics; World Health Organization: Geneva, Switzerland, 2017; Available online: http://remed.org/wp-content/uploads/2017/03/lobal-priority-list-of-antibiotic-resistant-bacteria-2017.pdf (accessed on 30 January 2023).
- Rounds, T.; Straus, S.K. Lipidation of antimicrobial peptides as a design strategy for future alternatives to antibiotics. Int. J. Mol. Sci. 2020, 21, 9692. [Google Scholar] [CrossRef]
- Jerala, R. Synthetic lipopeptides: A novel class of anti-infectives. Expert Opin. Investig. Drugs 2007, 16, 1159–1169. [Google Scholar] [CrossRef] [PubMed]
- Epand, R.M. Biophysical studies of lipopeptide-membrane interactions. Biopolymeres 1997, 43, 15–24. [Google Scholar]
- Jensen, S.K.; Thomsen, T.T.; Oddo, A.; Franzyk, H.; Løbner-Olesen, A.; Hansen, P.R. Novel Cyclic Lipopeptide Antibiotics: Effects of Acyl Chain Length and Position. Int. J. Mol. Sci. 2020, 21, 5829. [Google Scholar] [CrossRef] [PubMed]
- Chu-Kung, A.F.; Bozzelli, K.N.; Lockwood, N.A.; Haseman, J.R.; Mayo, K.H.; Tirrell, M.V. Promotion of peptide antimicrobial activity by fatty acid conjugation. Bioconjug. Chem. 2004, 15, 530–535. [Google Scholar] [CrossRef]
- Li, Z.; Yuan, P.; Xing, M.; He, Z.; Dong, C.; Cao, Y.; Liu, Q. Fatty acid conjugation enhances the activities of antimicrobial peptides. Recent Pat. Food Nutr. Agric. 2013, 5, 52–56. [Google Scholar] [CrossRef]
- Laverty, G.; McLaughlin, M.; Shaw, C.; Gorman, S.P.; Gilmore, B.F. Antimicrobial activity of short, synthetic cationic lipopeptides. Chem. Biol. Drug Des. 2010, 75, 563–569. [Google Scholar]
- Zhang, L.; Robertson, C.R.; Green, B.R.; Pruess, T.H.; White, H.S.; Bulaj, G. Structural requirements for a lipoamino acid in modulating the anticonvulsant activities of systemically active galanin analogues. J. Med. Chem. 2009, 52, 1310–1316. [Google Scholar] [CrossRef] [PubMed]
- Zhang, L.; Bulaj, G. Converting peptides into drug leads by lipidation. Curr. Med. Chem. 2012, 19, 1602–1618. [Google Scholar] [CrossRef]
- Kamysz, E.; Sikorska, E.; Jaśkiewicz, M.; Bauer, M.; Neubauer, D.; Bartoszewska, S.; Barańska-Rybak, W.; Kamysz, W. Lipidated Analogs of the LL-37-Derived Peptide Fragment KR12-Structural Analysis, Surface-Active Properties and Antimicrobial Activity. Int. J. Mol. Sci. 2020, 21, 887. [Google Scholar] [CrossRef]
- Albada, H.B.; Prochnow, P.; Bobersky, S.; Langklotz, S.; Schriek, P.; Bandow, J.E.; Metzler-Nolte, N. Tuning the activity of a short arg-trp antimicrobial Peptide by lipidation of a C- or N-terminal lysine side-chain. ACS Med. Chem. Lett. 2012, 3, 980–984. [Google Scholar] [CrossRef] [PubMed]
- Neubauer, D.; Jaśkiewicz, M.; Bauer, M.; Olejniczak-Kęder, A.; Sikorska, E.; Sikora, K.; Kamysz, W. Biological and Physico-Chemical Characteristics of Arginine-Rich Peptide Gemini Surfactants with Lysine and Cystine Spacers. Int. J. Mol. Sci. 2021, 22, 3299. [Google Scholar] [CrossRef] [PubMed]
- Neubauer, D.; Jaśkiewicz, M.; Bauer, M.; Gołacki, K.; Kamysz, W. Ultrashort Cationic Lipopeptides-Effect of N-Terminal Amino Acid and Fatty Acid Type on Antimicrobial Activity and Hemolysis. Molecules 2020, 25, 257. [Google Scholar] [CrossRef] [PubMed]
- Lemkul, J.A.; Huang, J.; MacKerell, A.D. Induced Dipole−Dipole Interactions Influence the Unfolding Pathways of Wild-Type and Mutant Amyloid β-Peptides. J. Phys. Chem. B 2015, 119, 15574–15582. [Google Scholar] [CrossRef]
- Neubauer, D.; Jaśkiewicz, M.; Migoń, D.; Bauer, M.; Sikora, K.; Sikorska, E.; Kamysz, E.; Kamysz, W. Retro analog concept: Comparative study on physico-chemical and biological properties of selected antimicrobial peptides. Amino Acids 2017, 49, 1755–1771. [Google Scholar] [CrossRef] [PubMed]
- Tripet, B.; Cepeniene, D.; Kovacs, J.M.; Mant, C.T.; Oleg, V.; Krokhin, O.V.; Hodges, R.S. Requirements for prediction of peptide retention time in reversed-phase high-performance liquid chromatography: Hydrophilicity/hydrophobicity of side-chains at the N- and C-termini of peptides are dramatically affected by the end-groups and location. J. Chromatogr. A 2007, 1141, 212–225. [Google Scholar]
- ACD/Labs Percepta Platform—PhysChem Module. Available online: http://www.chemspider.com/ (accessed on 10 February 2023).
- Jinno, K.; Nagoshi, T.; Tanaka, N.; Okamoto, M.; Fetzer, J.C.; Biggs, W.R. Elution behaviour of planar and non-planar polycyclic aromatic hydrocarbons on various chemically bonded stationary phases in liquid chromatography. J. Chromatogr. 1987, 392, 75–82. [Google Scholar] [PubMed]
- Sandeep, L.; Swaranjit, S.C.; Gopal, S.B. Systematic Study of Non-Natural Short Cationic Lipopeptides as Novel Broad-Spectrum Antimicrobial Agents. Chem. Biol. Drug Des. 2013, 82, 557–566. [Google Scholar]
- Hollmann, A.; Martínez, M.; Noguera, M.E.; Augusto, M.T.; Disalvo, A.; Santos, N.C.; Semorile, L.; Maffía, P.C. Role of amphipathicity and hydrophobicity in the balance between hemolysis and peptide–membrane interactions of three related antimicrobial peptides. Colloids Surf. B Biointerfaces 2016, 141, 528–536. [Google Scholar] [CrossRef]
- Lyu, Y.; Yang, Y.; Lyu, X.; Dong, N.; Shana, A. Antimicrobial activity, improved cell selectivity and mode of action of short PMAP-36-derived peptides against bacteria and Candida. Sci. Rep. 2016, 6, 27258. [Google Scholar] [CrossRef] [PubMed]
- Albada, B. Tuning Activity of Antimicrobial Peptides by Lipidation. In Book Health Consequence of Microbial Interactions with Hydrocarbons, Oils, and Lipids; Goldfine, H., Ed.; Handbook of Hydrocarbon and Lipid Microbiology; Springer Nature: Basel, Switzerland, 2019. [Google Scholar]
- Greber, K.E.; Dawgul, M.; Kamysz, W.; Sawicki, W.; Łukasiak, J. Biological and surface-active properties of double-chain cationic amino acid-based surfactants. Amino Acids 2014, 46, 1893–1898. [Google Scholar] [CrossRef] [PubMed]
- Mohandas, N.; Gallagher, P.G. Red cell membrane: Past, present, and future. Blood 2008, 112, 3939–3948. [Google Scholar] [CrossRef]
- Samira, J.L.; Sandeep, A.M.; Ahad, A.E.; Mash, A.; Emmanuelle, M.; Jesse, D.M. Deoxycholic Acid Induces Intracellular Signaling through Membrane Perturbations. J. Biol. Chem. 2006, 281, 14948–14960. [Google Scholar]
- Sandeep, A.; Jesse, D.M. Bile acid induces hydrophobicity-dependent membrane alterations. BBA 2005, 1735, 59–67. [Google Scholar]
- Heinz-Kunert, S.L.; Pandya, A.; Dang, V.T.; Tran, P.N.; Ghosh, S.; McElheny, D.; Santarsiero, B.D.; Ren, Z.; Nguyen, N.I. Assembly of π-Stacking Helical Peptides into a Porous and Multivariable Proteomimetic Framework. J. Am. Chem. Soc. 2022, 144, 7001–7009. [Google Scholar] [PubMed]
- Hu, X.; Liao, M.; Gong, H.; Zhang, L.; Cox, H.; Waigh, T.A.; Lu, J.R. Recent advances in short peptide self-assembly: From rational design to novel applications. Curr. Opin. Colloid Interface Sci. 2020, 45, 1–13. [Google Scholar]
- Schefer, A.; Sanchez-Ferrer, A.; Adamcik, J.; Mezzenga, R. Resolving Self-Assembly of Bile Acids at the Molecular Length Scale. Langmuir 2012, 28, 5999–6005. [Google Scholar] [CrossRef]
- Frost, D.W.; Yip, C.M.; Chakrabartty, A. Reversible assembly of helical filaments by de novo designed minimalist peptides. Biopolymers 2005, 80, 26–33. [Google Scholar] [CrossRef]
- Fiumara, F.; Fioriti, L.; Kandel, E.R.; Hendrickson, W.A. Essential role of coiled coils for aggregation and activity of Q/N-rich prions and PolyQ proteins. Cell 2010, 143, 1121–1135. [Google Scholar]
- Chan, W.C.; White, P.D. Fmoc Solid Phase Peptide Synthesis: A Practical Approach; Oxford University Press: New York, NY, USA, 2000; pp. 11–74. [Google Scholar]
- Kamysz, W.; Okrój, M.; Łempicka, E.; Ossowski, T.; Łukasiak, J. Fast and efficient purification of synthetic peptides by solid-phase extraction. Acta Chromatograph. 2004, 14, 180–186. [Google Scholar]
- M07-A8; Methods for Dilution Antimicrobial Susceptibility Tests for Bacteria That Grow Aerobically. Approved Standard—Ninth Edition; Clinical and Laboratory Standards Institute (CLSI): Wayne, PA, USA, 2012. Available online: www.clsi.org (accessed on 20 January 2013).
- Andrews, J.M. Determination of minimum inhibitory concentrations. J. Antimicrob. Chemother. 2002, 49, 1049. [Google Scholar]
- Avrahami, D.; Shai, Y.A. New Group of Antifungal and Antibacterial Lipopeptides Derived from Non-membraneActive Peptides Conjugated to Palmitic Acid. J. Biol. Chem. 2004, 279, 12277–12285. [Google Scholar] [CrossRef] [PubMed]
- Sikorska, E.; Dawgul, M.; Greber, K.; Iłowska, E.; Pogorzelska, A.; Kamysz, W. Self-assembly and interactions of short antimicrobial cationic lipopeptides with membrane lipids: ITC, FTIRand molecular dynamics studies. Biochim. Biophys. Acta (BBA) Biomembr. 2014, 1838, 2625–2634. [Google Scholar] [CrossRef] [PubMed]
- Sreerama, N.; Woody, R.W. Estimation of protein secondary structure from circular dichroism spectra: Comparison of CONTIN, SELCON, and CDSSTR methods with an expanded reference set. Anal. Biochem. 2000, 287, 252–260. [Google Scholar] [CrossRef] [PubMed]







| No. | Peptide | Sequence | Net Charge | No. of Carbons Atoms in Lipophilic Entity | HPLC tR (min) |
|---|---|---|---|---|---|
| I | KR12-NH2 | KRIVQRIKDFLR-NH2 | +5 | 0 | 3.81 |
| II | C8α-KR12-NH2 | C8-KRIVQRIKDFLR-NH2 | +4 | 8 | 6.71 |
| III | C8ε-KR12-NH2 | K(C8)RIVQRIKDFLR-NH2 | +4 | 8 | 5.24 |
| IV | C8α-Lys-KR12-NH2 | C8-KKRIVQRIKDFLR-NH2 | +5 | 8 | 5.24 |
| V | C8ε-Lys-KR12-NH2 | K(C8)KRIVQRIKDFLR-NH2 | +5 | 8 | 4.99 |
| VI | KR12-Lysε(C8)-NH2 | KRIVQRIKDFLRK(C8)-NH2 | +5 | 8 | 4.91 |
| VII | [Lysε(C8)]12KR12-NH2 | KRIVQRIKDFLK(C8)-NH2 | +4 | 8 | 5.17 |
| VIII | [Lysε(C8)]8KR12-NH2 | KRIVQRIK(C8)DFLR-NH2 | +4 | 8 | 5.25 |
| IX | C8α,C8ε-KR12-NH2 | C8-K(C8)RIVQRIKDFLR-NH2 | +3 | 16 | 9.24 |
| X | C4α, C4ε-KR12-NH2 | C4-K(C4)RIVQRIKDFLR-NH2 | +3 | 8 | 6.29 |
| XI | retro-KR12-C8ε-NH2 | RLFDKIRQVIRK(C8)-NH2 | +4 | 8 | 5.05 |
| XII | C8α-retro-KR12-NH2 | C8-RLFDKIRQVIRK-NH2 | +4 | 8 | 5.64 |
| XIII | 2-Buthyloctanoic acid-KR12-NH2 | CH3-(CH2)5-CH(C4H9)-CO-KR12-NH2 | +4 | 12 | 7.85 |
| XIV | 2-Ethylhexanoic acid-KR12-NH2 | CH3-(CH2)3-CH(C2H5)-CO-KR12-NH2 | +4 | 8 | 6.37 |
| XV | Benzoic acid-KR12-NH2 | C6H5-CO-KR12-NH2 | +4 | 7 | 5.65 |
| XVI | Phenylacetic acid-KR12-NH2 | C6H5-CH2-CO-KR12-NH2 | +4 | 8 | 5.76 |
| XVII | 3-Phenylpropionic acid- KR12-NH2 | C6H5-CH2-CH2-CO-KR12-NH2 | +4 | 9 | 6 |
| XVIII | 4-Phenylbutanoic acid-KR12-NH2 | C6H5-(CH2)3-CO-KR12-NH2 | +4 | 10 | 6.21 |
| XIX | trans-cinnamic acid-KR12-NH2 | C6H5-CH=CH-CO-KR12-NH2 | +4 | 9 | 6.06 |
| XX | Phenylpropiolic acid-KR12-NH2 | C6H5-C≡C-CO-KR12-NH2 | +4 | 9 | 5.76 |
| XXI | 4-Phenylbenzoic acid- KR12-NH2 | C6H5-C6H4-CO-KR12-NH2 | +4 | 13 | 6.53 |
| XXII | Deoxycholic acid- KR12-NH2 | C24H39O3-KR12-NH2 | +4 | 24 | 7.73 |
| No. | G(−) | G(+) | |||
|---|---|---|---|---|---|
| A. baumannii | P. aeruginosa | K. aerogenes | K. pneumoniae | E. faecium | |
| I | 256 | 128 | >512 | >512 | 128 |
| II | 8 | 16 | 4 | 8 | 4 |
| III | 32 | 64 | 64 | 32 | 4 |
| IV | 8 | 32 | 32 | 16 | 4 |
| V | 32 | 16 | 64 | 16 | 4 |
| VI | 16 | 32 | 64 | 32 | 4 |
| VII | 32 | 64 | 64 | 128 | 16 |
| VIII | 8 | 64 | 32 | 32 | 8 |
| IX | 512 | >512 | 512 | >512 | 16 |
| X | 128 | >512 | 256 | 512 | 32 |
| XI | 64 | 128 | 512 | 512 | 32 |
| XII | 64 | 64 | 256 | 128 | 8 |
| XIII | 4 | 32 | 8 | 8 | 2 |
| XIV | 16 | 128 | 16 | 16 | 4 |
| XV | 32 | 128 | 64 | 64 | 8 |
| XVI | 32 | 128 | 64 | 64 | 8 |
| XVII | 32 | 64 | 64 | 32 | 4 |
| XVIII | 4 | 64 | 32 | 16 | 8 |
| XIX | 8 | 32 | 16 | 16 | 4 |
| XX | 32 | 64 | 16 | 32 | 4 |
| XXI | 8 | 16 | 4 | 8 | 2 |
| XXII | 8 | 128 | 128 | 64 | 2 |
| No. | S. aureus 25923 | S. aureus 6538 | S. aureus 33591 | S. aureus 9144 | S. aureus 12598 |
|---|---|---|---|---|---|
| I | >512 | 512 | >512 | >512 | >512 |
| II | 4 | 2 | 4 | 4 | 4 |
| III | 32 | 8 | 64 | 32 | 64 |
| IV | 128 | 8 | 64 | 16 | 32 |
| V | 64 | 8 | 64 | 32 | 32 |
| VI | 64 | 64 | 32 | 32 | 32 |
| VII | 128 | 64 | 512 | 512 | 512 |
| VIII | 32 | 4 | 32 | 16 | 32 |
| IX | 512 | 64 | 256 | 256 | 256 |
| X | 128 | 32 | 512 | 256 | 512 |
| XI | 128 | 16 | 512 | 256 | 512 |
| XII | 32 | 8 | 32 | 32 | 32 |
| XIII | 8 | 32 | 4 | 2 | 4 |
| XIV | 64 | 16 | 16 | 32 | 32 |
| XV | 64 | 8 | 64 | 32 | 32 |
| XVI | 128 | 16 | 64 | 32 | 32 |
| XVII | 16 | 8 | 32 | 16 | 16 |
| XVIII | 32 | 32 | 16 | 8 | 32 |
| XIX | 16 | 16 | 8 | 4 | 16 |
| XX | 128 | 8 | 32 | 16 | 32 |
| XXI | 8 | 2 | 4 | 4 | 4 |
| XXII | 32 | 4 | 256 | 8 | 8 |
| No. | MHC5 (µg/mL) | No. | MHC5 (µg/mL) | No. | MHC5 (µg/mL) | No. | MHC5 (µg/mL) |
|---|---|---|---|---|---|---|---|
| I | ≥512 | VII | ≥512 | XIII | 16 a | XIX | 128 a |
| II | 64 | VIII | 64 | XIV | 256 a | XX | 256 |
| III | ≥512 | IX | 8 | XV | ≥512 | XXI | 32 |
| IV | 256 | X | ≥512 | XVI | 256 | XXII | 8 a |
| V | 256 | XI | 256 | XVII | 256 | ||
| VI | ≥512 | XII | ≥512 | XVIII | 128 a |
| No. | GM 1 | SI 2 (MHC5/GM) | No. | GM 1 | SI 2 (MHC5/GM) |
|---|---|---|---|---|---|
| I | >512 | NA | XII | 24.25 | ≥21.11 |
| II | 3.48 | 18.39 | XIII | 6.06 | 2.64 |
| III | 32 | ≥16 | XIV | 27.86 | 9.19 |
| IV | 32 | 8 | XV | 32 | ≥16 |
| V | 32 | 8 | XVI | 42.22 | 6.06 |
| VI | 42.22 | ≥12.13 | XVII | 16 | 16 |
| VII | 256 | ≥2 | XVIII | 21.11 | 6.06 |
| VIII | 18.38 | 3.48 | XIX | 10.56 | 12.12 |
| IX | 222.86 | 0.04 | XX | 27.86 | 9.19 |
| X | 194.01 | ≥2.64 | XXI | 4 | 8 |
| XI | 168.9 | 1.52 | XXII | 18.38 | 0.44 |
| No. | G(−) | G(+) | |||
|---|---|---|---|---|---|
| A. baumannii | P. aeruginosa | K. aerogenes | K. pneumoniae | E. faecium | |
| I | 2 | 4 | 1 | 1 | 4 |
| II | 8 | 4 | 16 | 8 | 16 |
| III | 16 | 8 | 8 | 16 | 128 |
| IV | 32 | 8 | 8 | 16 | 64 |
| V | 8 | 16 | 4 | 16 | 64 |
| VI | 32 | 16 | 8 | 16 | 128 |
| VII | 16 | 8 | 8 | 4 | 32 |
| VIII | 8 | 1 | 2 | 2 | 8 |
| IX | 0.0156 | 0.0156 | 0.0156 | 0.0156 | 0.5 |
| X | 4 | 1 | 2 | 1 | 16 |
| XI | 4 | 2 | 0.5 | 0.5 | 8 |
| XII | 8 | 8 | 2 | 4 | 64 |
| XIII | 4 | 0.5 | 2 | 2 | 8 |
| XIV | 16 | 2 | 16 | 16 | 64 |
| XV | 16 | 4 | 8 | 8 | 64 |
| XVI | 8 | 2 | 4 | 4 | 32 |
| XVII | 8 | 4 | 4 | 8 | 64 |
| XVIII | 32 | 2 | 4 | 8 | 16 |
| XIX | 16 | 4 | 8 | 8 | 32 |
| XX | 8 | 4 | 16 | 8 | 64 |
| XXI | 4 | 2 | 8 | 4 | 16 |
| XXII | 1 | 0.0625 | 0.0625 | 0.125 | 4 |
| Peptide | Water | PBS | POPG | POPC | ||
|---|---|---|---|---|---|---|
| Hf | Ө222/Ө208 | Hf | Ө222/Ө208 | |||
| KR12-NH2 | 0.06 | 0.04 | 0.21 | 1.39 | 0.08 | - |
| II | 0.07 | 0.08 | 0.25 | 1.22 | 0.56 | 0.85 |
| III | 0.06 | 0.06 | 0.22 | 1.72 | 0.20 | 0.84 |
| IV | 0.06 | 0.07 | 0.23 | 1.27 | 0.15 | 0.64 |
| V | 0.08 | 0.07 | 0.17 | 1.94 | 0.15 | 0.61 |
| VIII | 0.06 | 0.07 | 0.46 | 1.07 | 0.27 | 0.79 |
| XIII | 0.08 | 0.11 | 0.49 | 1.11 | 0.54 | 0.84 |
| XIV | 0.06 | 0.06 | 0.35 | 1.14 | 0.27 | 0.82 |
| XV | 0.08 | 0.06 | 0.34 | 1.70 | 0.16 | 0.80 |
| XVI | 0.06 | 0.07 | 0.35 | 1.38 | 0.18 | 0.72 |
| XVII | 0.05 | 0.06 | 0.20 | 1.35 | 0.17 | 0.80 |
| XVIII | 0.08 | 0.07 | 0.49 | 1.05 | 0.44 | 0.82 |
| XX | 0.09 | 0.17 | 0.66 | 1.71 | 0.41 | 0.92 |
| XXI | 0.07 | 0.23 | 0.26 | 3.23 | 0.40 | 1.11 |
| XXII | 0.07 | 0.37 | 0.29 | 1.14 | 0.50 | 0.87 |
| Sample | Peptide Concentration (mg/mL) | * DH (nm) | Zeta Potential (mV) |
|---|---|---|---|
| POPG | - | 113.8 ± 24.6 | −36.7 ± 1.7 |
| POPG/II | 0.15 | 134.0 ± 28.9 | −32.5 ± 1.6 |
| 0.30 | 207.6 ± 72.9 | −39.0 ± 1.9 | |
| POPG/IV | 0.15 | 158.1 ± 48.7 549.4 ± 170.1 | −31.3 ± 1.2 |
| 0.30 | 163.7 ± 54.0 1078.6 ± 353.5 | −28.2 ± 1.2 | |
| POPG/XIII | 0.15 | 128.8 ± 32.2 | −34.1 ± 1.5 |
| 0.30 | 159.7 ± 57.7 | −38.2 ± 1.5 | |
| POPG/XVIII | 0.15 | 150.2 ± 47.5 | −42.7 ± 1.9 |
| 0.30 | 189.2 ± 63.25 | −37.1 ± 1.8 | |
| POPG/XXI | 0.15 | 174.6 ± 46.7 | −37.9 ± 1.3 |
| 0.30 | 239.8 ± 107.0 | −31.3 ± 0.9 |
Disclaimer/Publisher’s Note: The statements, opinions and data contained in all publications are solely those of the individual author(s) and contributor(s) and not of MDPI and/or the editor(s). MDPI and/or the editor(s) disclaim responsibility for any injury to people or property resulting from any ideas, methods, instructions or products referred to in the content. |
© 2023 by the authors. Licensee MDPI, Basel, Switzerland. This article is an open access article distributed under the terms and conditions of the Creative Commons Attribution (CC BY) license (https://creativecommons.org/licenses/by/4.0/).
Share and Cite
Kamysz, E.; Sikorska, E.; Bauer, M.; Sikora, K.; Neubauer, D. Influence of Lipidation Pattern of the KR12 Fragment of Peptide LL-37 on Its Antibacterial and Hemolytic Activities. Int. J. Mol. Sci. 2023, 24, 5505. https://doi.org/10.3390/ijms24065505
Kamysz E, Sikorska E, Bauer M, Sikora K, Neubauer D. Influence of Lipidation Pattern of the KR12 Fragment of Peptide LL-37 on Its Antibacterial and Hemolytic Activities. International Journal of Molecular Sciences. 2023; 24(6):5505. https://doi.org/10.3390/ijms24065505
Chicago/Turabian StyleKamysz, Elżbieta, Emilia Sikorska, Marta Bauer, Karol Sikora, and Damian Neubauer. 2023. "Influence of Lipidation Pattern of the KR12 Fragment of Peptide LL-37 on Its Antibacterial and Hemolytic Activities" International Journal of Molecular Sciences 24, no. 6: 5505. https://doi.org/10.3390/ijms24065505
APA StyleKamysz, E., Sikorska, E., Bauer, M., Sikora, K., & Neubauer, D. (2023). Influence of Lipidation Pattern of the KR12 Fragment of Peptide LL-37 on Its Antibacterial and Hemolytic Activities. International Journal of Molecular Sciences, 24(6), 5505. https://doi.org/10.3390/ijms24065505

