Pentacoordinated Organotin(IV) Complexes as an Alternative in the Design of Highly Efficient Optoelectronic and Photovoltaic Devices: Synthesis and Photophysical Characterization
Abstract
1. Introduction
2. Results and Discussion
2.1. Synthesis and Characterization of Pentacoordinated Organotin(IV) Complexes
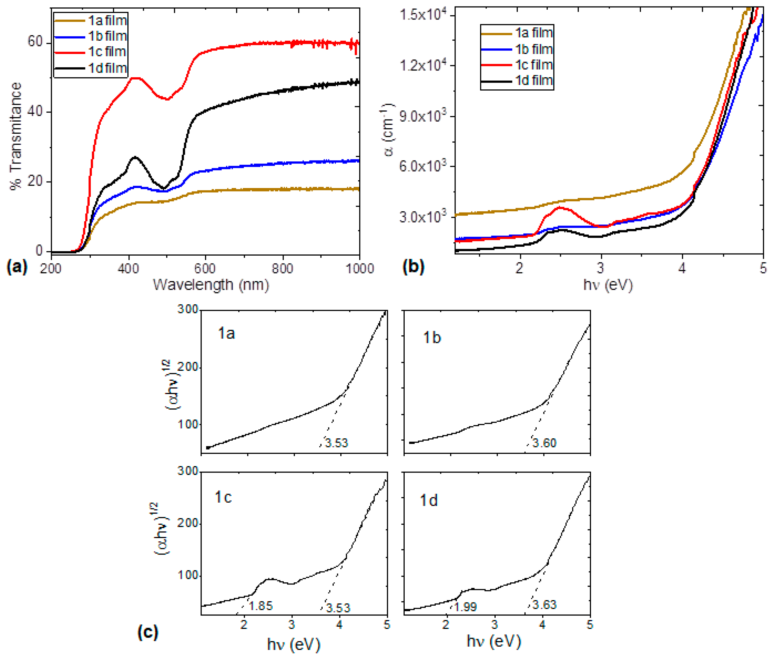
2.2. Topographical and Optical Characterization of Hybrid Film
2.3. Device Fabrication and Electrical Characterization
3. Materials and Methods
3.1. Physical Measurements
3.2. General Procedure for the Synthesis of Diorganotin(IV) Compounds 1a–d
3.3. 2,2-Dibutyl-6-aza-1,3-dioxa-2-stannanaphtho[1,2-h]pyrido[3,2-d]cyclononene (1a)
3.4. 2,2-Dicyclohexyl-6-aza-1,3-dioxa-2-stannanaphtho[1,2-h]pyrido[3,2-d]cyclononene (1b)
3.5. 2,2-Diphenyl-6-aza-1,3-dioxa-2-stannanaphtho[1,2-h]pyrido[3,2-d]cyclononene (1c)
3.6. 2,2-Bis(trimethylsilyl)methyl-6-aza-1,3-dioxa-2-stannanaphtho[1,2-h]pyrido[3,2-d]cyclononene (1d)
3.7. Hybrid Film Fabrication and Characterization
4. Conclusions
Supplementary Materials
Author Contributions
Funding
Institutional Review Board Statement
Informed Consent Statement
Data Availability Statement
Acknowledgments
Conflicts of Interest
References
- Yuan, J.; Ford, M.J.; Xu, Y.; Zhang, Y.; Bazan, G.C.; Ma, W. Improved Tandem All-Polymer Solar Cells Performance by Using Spectrally Matched Subcells. Adv. Energy Mater. 2018, 8, 1703291. [Google Scholar] [CrossRef]
- Qin, P.; Zhang, J.; Yang, G.; Yu, X.; Li, G. Potassium-intercalated rubrene as a dual-functional passivation agent for high efficiency perovskite solar cells. J. Mater. Chem. A 2018, 7, 1824–1834. [Google Scholar] [CrossRef]
- Duan, T.; Tang, H.; Liang, R.-Z.; Lv, J.; Kan, Z.; Singh, R.; Kumar, M.; Xiao, Z.; Lu, S.; Laquai, F. Terminal group engineering for small-molecule donors boosts the performance of nonfullerene organic solar cells. J. Mater. Chem. A 2019, 7, 2541–2546. [Google Scholar] [CrossRef]
- Zhai, Z.; Xu, M. All-solution-processed small-molecule solar cells by stripping-transfer method. J. Mater. Sci. Mater. Electron. 2020, 31, 5789–5793. [Google Scholar] [CrossRef]
- Collins, S.D.; Ran, N.A.; Heiber, M.C.; Nguyen, T.-Q. Small is Powerful: Recent Progress in Solution-Processed Small Molecule Solar Cells. Adv. Energy Mater. 2017, 7, 1602242. [Google Scholar] [CrossRef]
- Deng, D.; Zhang, Y.; Zhang, J.; Wang, Z.; Zhu, L.; Fang, J.; Xia, B.; Wang, Z.; Lu, K.; Ma, W.; et al. Fluorination-enabled optimal morphology leads to over 11% efficiency for inverted small-molecule organic solar cells. Nat. Commun. 2016, 7, 13740. [Google Scholar] [CrossRef]
- Wan, J.; Xu, X.; Zhang, G.; Li, Y.; Feng, K.; Peng, Q. Highly efficient halogen-free solvent processed small-molecule organic solar cells enabled by material design and device engineering. Energy Environ. Sci. 2017, 10, 1739–1745. [Google Scholar] [CrossRef]
- Sun, Q.; Zhao, H.; Zhou, M.; Gao, L.; Hao, Y. Performance Enhancement of Small Molecular Solar Cells by Bilayer Cathode Buffer. J. Nanosci. Nanotechnol. 2016, 16, 3831–3834. [Google Scholar] [CrossRef]
- Chaudhary, D.K.; Kumar, P.; Kumar, L. Improved photovoltaic performance of bilayer small molecular solar cells via geometrical rearrangement of active materials. Mater. Technol. 2017, 32, 792–799. [Google Scholar] [CrossRef]
- Chans, G.M.; Nieto-Camacho, A.; Ramírez-Apan, T.; Hernández-Ortega, S.; Álvarez-Toledano, C.; Gómez, E. Synthetic, Spectroscopic, Crystallographic, and Biological Studies of Seven-Coordinated Diorganotin (IV) Complexes Derived from Schiff Bases and Pyridinic Carboxylic Acids. Aust. J. Chem. 2016, 69, 279–290. [Google Scholar] [CrossRef]
- Yang, P.; Guo, M. Interactions of organometallic anticancer agents with nucleotides and DNA. Co-Ord. Chem. Rev. 1999, 185, 189–211. [Google Scholar] [CrossRef]
- Ioannidou, A.; Czapik, A.; Gkizis, P.; Perviaz, M.; Tzimopoulos, D.; Gdaniec, M.; Akrivos, P.D. And Aggregation of Hydrogen Bonded Dimeric Tri-Organotin Amino Substituted Pyrimidine-2-Thiolates. Aust. J. Chem. 2013, 66, 600–606. [Google Scholar] [CrossRef]
- Ramirez-Jimenez, A.; Gómez, E.; Hernández, S. Penta- and heptacoordinated tin(IV) compounds derived from pyridine Schiff bases and 2-pyridine carboxylate: Synthesis and structural characterization. J. Organomet. Chem. 2009, 694, 2965–2975. [Google Scholar] [CrossRef]
- Kaur, M.; Kapila, A.; Yempally, V.; Kaur, H. Synthesis, structural elucidation, and catalytic activity of bimetallic rhenium-tin complexes containing Schiff base ligand. J. Mol. Struct. 2021, 1249, 131545. [Google Scholar] [CrossRef]
- Barba, V.; Vega, E.; Luna, R.; Höpfl, H.; Beltrán, H.I.; Zamudio-Rivera, L.S. Structural and conformational analysis of neutral dinuclear diorganotin (IV) complexes derived from hexadentate Schiff base ligands. J. Organomet. Chem. 2007, 692, 731–739. [Google Scholar] [CrossRef]
- Singh, A.K.; Bhandari, S. Tin (II and IV) Complexes with Nitrogen Ligands: Review of Recent Developments. Main Group Met. Chem. 2003, 26, 155–211. [Google Scholar] [CrossRef]
- García-López, M.C.; Muñoz-Flores, B.M.; Jiménez-Pérez, V.M.; Moggio, I.; Arias, E.; Chan-Navarro, R.; Santillan, R. Synthesis and photophysical characterization of organotin compounds derived from Schiff bases for organic light emitting diodes. Dye. Pigment. 2014, 106, 188–196. [Google Scholar] [CrossRef]
- Nath, M.; Saini, P.K. Chemistry and applications of organotin (iv) complexes of Schiff bases. Dalton Trans. 2011, 40, 7077–7121. [Google Scholar] [CrossRef] [PubMed]
- Baul, T.S.B. Antimicrobial activity of organotin (IV) compounds: A review. Appl. Organomet. Chem. 2008, 22, 195–204. [Google Scholar] [CrossRef]
- Cantón-Díaz, A.M.; Muñoz-Flores, B.M.; Moggio, I.; Arias, E.; De León, A.; García-López, M.C.; Santillán, R.; Ochoa, M.E.; Jiménez-Pérez, V.M. One-pot microwave-assisted synthesis of organotin Schiff bases: An optical and electrochemical study towards their effects in organic solar cells. New J. Chem. 2018, 42, 14586–14596. [Google Scholar] [CrossRef]
- García-López, M.C.; Muñoz-Flores, B.M.; Chan-Navarro, R.; Jiménez-Pérez, V.M.; Moggio, I.; Arias, E.; Rodríguez-Ortega, A.; Ochoa, M.E. Microwave-assisted synthesis, third-order nonlinear optical properties, voltammetry cyclic and theoretical calculations of organotin compounds bearing push–pull Schiff bases. J. Organomet. Chem. 2016, 806, 68–76. [Google Scholar] [CrossRef]
- Rivera, J.M.; Guzmán, D.; Rodriguez, M.; Lamère, J.F.; Nakatani, K.; Santillan, R.; Lacroix, P.G.; Farfán, N. Synthesis, characterization and nonlinear optical properties in a series of new chiral organotin (IV) Schiff base complexes. J. Organomet. Chem. 2006, 691, 1722–1732. [Google Scholar] [CrossRef]
- Arkıs, E.; Balköse, D. Vinyl-functionalized polysiloxane as radical scavenger during the degradation of poly (vinyl chloride). Polym. Degrad. Stabil. 2005, 88, 46–51. [Google Scholar]
- Jeevadason, A.W.; Murugavel, K.K.; Neelakantan, M.A. Review on Schiff bases and their metal complexes as organic photovoltaic materials. Renew. Sustain. Energy Rev. 2014, 36, 220–227. [Google Scholar] [CrossRef]
- Rand, B.P.; Xue, J.; Yang, F.; Forrest, S.R. Organic solar cells with sensitivity extending into the near infrared. Appl. Phys. Lett. 2005, 87, 233508. [Google Scholar] [CrossRef]
- Ghani, H.; Kadhom, M.; Husain, A.A.; Jaward, A.; Yousif, E. Study of Photodecomposition Rate constant and Surface Mor-phology of PVC Films Embedded with Tin (IV) Complexes. Prog. Color Color. Coat. 2022, 15, 319–326. [Google Scholar]
- Tao, X.T.; Shimomura, M.; Suzuki, H.; Miyata, S.; Sasabe, H. Tetravalent tin complex with high electron affinity for electroluminescent applications. Appl. Phys. Lett. 2000, 76, 3522–3524. [Google Scholar] [CrossRef]
- Sánchez-Vergara, M.E.; Hamui, L.; Gómez, E.; Chans, G.M.; Galván-Hidalgo, J.M. Design of Promising Heptacoordinated Organotin (IV) Complexes-PEDOT: PSS-Based Composite for New-Generation Optoelectronic Devices Applications. Polymers 2021, 13, 1023. [Google Scholar] [CrossRef]
- Sánchez-Vergara, M.E.; Motomochi-Lozano, J.D.; Cosme, I.; Hamui, L.; Olivares, A.J.; Galván-Hidalgo, J.M.; Gómez, E. Growth of films with seven-coordinated diorganotin (IV) complexes and PEDOT:PSS structurally modified for electronic applications. Semicond. Sci. Technol. 2020, 35, 105016. [Google Scholar] [CrossRef]
- Monzón-González, C.R.; Sánchez-Vergara, M.E.; Narváez, W.E.V.; Rocha-Rinza, T.; Hernández, M.; Gómez, E.; Jiménez-Sandoval, O.; Álvarez-Toledano, C. Synthesis and characterization of organotin (IV) semiconductors and their applications in optoelectronics. J. Phys. Chem. Solids 2020, 150, 109840. [Google Scholar] [CrossRef]
- Gholivand, K.; Gholami, A.; Schenk, K.J.; Esrafili, M.D.; Farshadfar, K. Supramolecular assemblies of organotin(iv)–diphosphoryl adducts: Insights from X-rays and DFT. RSC Adv. 2015, 5, 98610–98617. [Google Scholar] [CrossRef]
- Nguyen, N.A.; Nguyen, V.H.; Pham, V.N.; Le, T.T.; Nguyen, V.T.; Pham, V.T. Effect of graphene oxide concentration on the properties of silicon nanoholes/poly(3,4-ethylene dioxythiophene): Poly (styrene sulfonate)/graphene oxide hybrid solar cell. Adv. Nat. Sci. Nanosci. Nanotechnol. 2021, 12, 035009. [Google Scholar] [CrossRef]
- Chen, Q.; Zabihi, F.; Eslamian, M. Improved functionality of PEDOT:PSS thin films via graphene doping, fabricated by ultrasonic substrate vibration-assisted spray coating. Synth. Met. 2016, 222, 309–317. [Google Scholar] [CrossRef]
- Hilal, M.; Han, J.I. Improving the conductivity of PEDOT: PSS to nearly 1 million S/m with graphene on an ITO-glass substrate. Synth. Met. 2018, 245, 276–285. [Google Scholar] [CrossRef]
- Cho, H.; Lee, H.; Lee, J.; Sung, W.J.; Kwon, B.-H.; Joo, C.-W.; Shin, J.-W.; Han, J.-H.; Moon, J.; Lee, J.-I.; et al. Stable angular emission spectra in white organic light-emitting diodes using graphene/PEDOT: PSS composite electrode. Opt. Express 2017, 25, 9734–9742. [Google Scholar] [CrossRef]
- Oh, W.-C.; Fatema, K.N.; Liu, Y.; Jung, C.H.; Sagadevan, S.; Biswas, R.U.D. Polypyrrole-Bonded Quaternary Semiconductor LiCuMo2O11–Graphene Nanocomposite for a Narrow Band Gap Energy Effect and Its Gas-Sensing Performance. ACS Omega 2020, 5, 17337–17346. [Google Scholar] [CrossRef]
- Kepić, D.P.; Marković, Z.M.; Jovanović, S.P.; Peruško, D.B.; Budimir, M.D.; Holclajtner-Antunović, I.D.; Pavlović, V.B.; Marković, B.M.T. Preparation of PEDOT: PSS thin films doped with graphene and graphene quantum dots. Synth. Met. 2014, 198, 150–154. [Google Scholar] [CrossRef]
- Park, C.; Yoo, D.; Im, S.; Kim, S.; Cho, W.; Ryu, J.; Kim, J.H. Large-scalable RTCVD Graphene/PEDOT:PSS hybrid conductive film for application in transparent and flexible thermoelectric nanogenerators. RSC Adv. 2017, 7, 25237–25243. [Google Scholar] [CrossRef]
- Sedaghat, T.; Habibi, R.; Motamedi, H.; Khavasi, H.R. Synthesis, structural characterization and antibacterial activity of diorganotin(IV) complexes with ONO tridentate Schiff bases containing pyridine ring. Chin. Chem. Lett. 2012, 23, 1355–1358. [Google Scholar] [CrossRef]
- Yusof, E.N.M.; Latif, M.A.M.; Tahir, M.I.M.; Sakoff, J.A.; Simone, M.I.; Page, A.J.; Veerakumarasivam, A.; Tiekink, E.R.T.; Ravoof, T.B.S.A. O-Vanillin Derived Schiff Bases and Their Organotin (IV) Compounds: Synthesis, Structural Characterisation, In-Silico Studies and Cytotoxicity. Int. J. Mol. Sci. 2019, 20, 854. [Google Scholar] [CrossRef]
- Ramírez-Jiménez, A.; Luna-García, R.; Cortés-Lozada, A.; Hernández, S.; Ramírez-Apan, T.; Nieto-Camacho, A.; Gómez, E. Dinuclear heptacoordinate dibutyltin (IV) complexes derived from Schiff bases and dicarboxylates: Synthesis, cytotoxicity, and antioxidant activity. J. Organomet. Chem. 2013, 738, 10–19. [Google Scholar] [CrossRef]
- Holeček, J.; Nádvorník, M.; Handlíř, K.; Lyčka, A. 13C and 119Sn NMR spectra of Di-n-butyltin (IV) compounds. J. Organomet. Chem. 1986, 315, 299–308. [Google Scholar] [CrossRef]
- HoleČek, J.; Lyčka, A.; Handlíř, K.; Nádvorník, M. 13C and 119Sn NMR spectra of diphenyl- and dibenzyltin (IV) compounds and their complexes. Collect. Czechoslov. Chem. Commun. 1990, 55, 1193–1207. [Google Scholar] [CrossRef]
- Galván-Hidalgo, J.M.; Roldán-Marchán, D.M.; González-Hernández, A.; Ramírez-Apan, T.; Nieto-Camacho, A.; Hernández-Ortega, S.; Gómez, E. Organotin (IV) complexes from Schiff bases ligands based on 2-amino-3-hydroxypyridine: Synthesis, characterization, and cytotoxicity. Med. Chem. Res. 2020, 29, 2146–2156. [Google Scholar] [CrossRef]
- Galván-Hidalgo, J.M.; Ramírez-Apan, T.; Nieto-Camacho, A.; Hernández-Ortega, S.; Gómez, E. Schiff base Sn (IV) complexes as cytotoxic agents: Synthesis, structure, isosteric and bioisosteric replacement. J. Organomet. Chem. 2017, 848, 332–343. [Google Scholar] [CrossRef]
- Addison, A.W.; Rao, T.N.; Reedijk, J.; van Rijn, J.; Verschoor, G.C. Synthesis, structure, and spectroscopic properties of copper (II) compounds containing nitrogen–sulphur donor ligands; the crystal and molecular structure of aqua [1,7-bis(N-methylbenzimidazol-2′-yl)-2,6-dithiaheptane] copper (II) perchlorate. J. Chem. Soc. Dalton Trans. 1984, 1349–1356. [Google Scholar] [CrossRef]
- González-Hernández, A.; León-Negrete, A.; Roman-Bravo, P.; Galván-Hidalgo, J.M.; Gómez, E.; Barba, V. Synthesis and structural analysis of diorganotin (IV) complexes from salicylaldehyde derivatives and 3-amino-2-napthol. Inorg. Chim. Acta 2019, 501, 119266. [Google Scholar] [CrossRef]
- Zhang, Z.-J.; Zeng, H.-T.; Liu, Y.; Kuang, D.-Z.; Zhang, F.-X.; Tan, Y.-X.; Jiang, W.-J. Synthesis, crystal structure and anticancer activity of the dibutyltin (IV) oxide complexes containing substituted salicylaldehyde-o-aminophenol Schiff base with appended donor functionality. Inorg. Nano-Metal Chem. 2018, 48, 486–494. [Google Scholar] [CrossRef]
- Vinayak, R.; Dey, D.; Ghosh, D.; Chattopadhyay, D.; Ghosh, A.; Nayek, H.P. Schiff base supported mononuclear organotin (IV) complexes: Syntheses, structures and fluorescence cell imaging. Appl. Organomet. Chem. 2017, 32, e4122. [Google Scholar] [CrossRef]
- Tan, Y.-X.; Zhang, Z.-J.; Liu, Y.; Yu, J.-X.; Zhu, X.-M.; Kuang, D.-Z.; Jiang, W.-J. Synthesis, crystal structure and biological activity of the Schiff base organotin (IV) complexes based on salicylaldehyde-o-aminophenol. J. Mol. Struct. 2017, 1149, 874–881. [Google Scholar] [CrossRef]
- Hong, M.; Chang, G.; Li, R.; Niu, M. Anti-proliferative activity and DNA/BSA interactions of five mono- or di-organotin (iv) compounds derived from 2-hydroxy-N′-[(2-hydroxy-3-methoxyphenyl)methylidene]-benzohydrazone. New J. Chem. 2016, 40, 7889–7900. [Google Scholar] [CrossRef]
- Sedaghat, T.; Naseh, M.; Bruno, G.; Rudbari, H.A.; Motamedi, H. Synthesis, spectral and structural investigations, theoretical studies, and antibacterial activity of 4-(2-hydroxynaphthalen-3-ylamino)pent-3-en-2-one and its diphenyltin(IV) complex. J. Co-ord. Chem. 2012, 65, 1712–1723. [Google Scholar] [CrossRef]
- Geary, W.J. The use of conductivity measurements in organic solvents for the characterisation of coordination compounds. Co-ord. Chem. Rev. 1971, 7, 81–122. [Google Scholar] [CrossRef]
- Galván-Hidalgo, J.M.; Chans, G.M.; Ramírez-Apan, T.; Nieto-Camacho, A.; Hernández-Ortega, S.; Gómez, E. Tin (IV) Schiff base complexes derived from pyridoxal: Synthesis, spectroscopic properties and cytotoxicity. Appl. Organomet. Chem. 2017, 31, e3704. [Google Scholar] [CrossRef]
- Cantón-Diaz, A.; Muñoz-Flores, B.M.; Berrones-Reyes, J.; Moggio, I.; Arias, E.; Turlakov, G.; Santillán, R.; Jiménez-Pérez, V.M. Organotin compounds bearing C3-symmetric Schiff base: Microwave-assisted multicomponent synthesis and their photophysical properties. J. Organomet. Chem. 2021, 954–955, 122111. [Google Scholar] [CrossRef]
- Fornasier, R.; Marcuzzi, F.; Marton, D.; Favero, G.; Russo, U. On the behaviour of organotin compounds with cyclodextrins: Part 1. The complex between allyl-di-n-butyltin chloride and β-cyclodextrin. J. Organomet. Chem. 2000, 605, 127–133. [Google Scholar] [CrossRef]
- Nath, M. Thermal behavior of organotin (IV) triazolates: Molecular precursors for pure-phase, nanosized SnS/SnO2. Thermochim. Acta 2009, 489, 27–36. [Google Scholar] [CrossRef]
- Sarkhan, N.; Rahman, Z.; Zakaria, A.; Ali, A. Enhanced electrical properties of poly (3,4-ethylenedioxythiophene: Poly (4-styrenesulfonate) using graphene oxide. Mater. Today Proc. 2019, 17, 484–489. [Google Scholar] [CrossRef]
- Lai, W.; Liu, G.; Gou, H.; Wu, H.; Rahimi-Iman, A. Near-IR Light-Tunable Omnidirectional Broadband Terahertz Wave Antireflection Based on a PEDOT: PSS/Graphene Hybrid Coating. ACS Appl. Mater. Interfaces 2022, 14, 43868–43876. [Google Scholar] [CrossRef]
- Sánchez Vergara, M.E.; Zubillaga Serrano, R.I.; Hamui, L.; Galván Hidalgo, J.M.; Cosme, I.; Gómez, E. Improved Functionality of Poly (3,4-Ethylenedioxythiophene): Poly (Styrenesulfonate)/HeptaCoordinated Organotin Complex Films via Graphene Applied to Organic Solar Cell Fabrications. Front. Mater. 2022, 9, 860859. [Google Scholar] [CrossRef]
- Jarząbek, B.; Nitschke, P.; Hajduk, B.; Domański, M.; Bednarski, H. In situ thermo-optical studies of polymer:fullerene blend films. Polym. Test. 2020, 88, 106573. [Google Scholar] [CrossRef]
- Fazal, T.; Iqbal, S.; Shah, M.; Ismail, B.; Shaheen, N.; Alrbyawi, H.; Al-Anazy, M.M.; Elkaeed, E.B.; Somaily, H.H.; Pashameah, R.A.; et al. Improvement in Optoelectronic Properties of Bismuth Sulphide Thin Films by Chromium Incorporation at the Orthorhombic Crystal Lattice for Photovoltaic Applications. Molecules 2022, 27, 6419. [Google Scholar] [CrossRef] [PubMed]
- Urbach, F. The Long-Wavelength Edge of Photographic Sensitivity and of the Electronic Absorption of Solids. Phys. Rev. 1953, 92, 1324. [Google Scholar] [CrossRef]
- Ghanem, M.G.; Badr, Y.; Hameed, T.A.; El-Marssi, M.; Lahmar, A.; Wahab, H.A.; Battisha, I.K. Synthesis and characterization of undoped and Er-doped ZnO nano-structure thin films deposited by sol-gel spin coating technique. Mater. Res. Express 2019, 6, 085916. [Google Scholar] [CrossRef]
- Tauc, J. Optical properties and electronic structure of amorphous Ge and Si. Mater. Res. Bull. 1968, 3, 37–46. [Google Scholar] [CrossRef]
- Tauc, J.; Menth, A. States in the gap. J. Non-Cryst. Solids 1972, 8, 569–585. [Google Scholar] [CrossRef]
- Alosabi, A.Q.; Al-Muntaser, A.A.; El-Nahass, M.M.; Oraby, A.H. Structural, optical and DFT studies of disodium phthalocyanine thin films for optoelectronic devices applications. Opt. Laser Technol. 2022, 155, 108372. [Google Scholar] [CrossRef]
- Dongol, M.; El-Nahass, M.M.; El-Denglawey, A.; Abuelwafa, A.A.; Soga, T. Alternating current characterization of nano-Pt (II) octaethylporphyrin (PtOEP) thin film as a new organic semiconductor. Chin. Phys. B 2016, 25, 067201. [Google Scholar] [CrossRef]
- Dumm, M.; Lunkenheimer, P.; Loidl, A.; Assmann, B.; Homborg, H.; Fulde, P. Charge transport in lithium phthalocyanine. J. Chem. Phys. 1996, 104, 5048–5053. [Google Scholar] [CrossRef]
- Pasha, A.; Khasim, S.; Khan, F.A.; Dhananjaya, N. Fabrication of gas sensor device using poly (3, 4-ethylenedioxythiophene)-poly (styrenesulfonate)-doped reduced graphene oxide organic thin films for detection of ammonia gas at room temperature. Iran. Polym. J. 2019, 28, 183–192. [Google Scholar] [CrossRef]
- Ozaki, S.; Wada, Y.; Noda, K. DC Hall-effect measurement for inkjet-deposited films of poly (3,4-ethylenedioxythiophene)/poly (4-styrenesulfonate) by using microscale gap electrodes. Synth. Met. 2016, 215, 28–34. [Google Scholar] [CrossRef]
- Kong, X.; Grindley, T.B.; Bakshi, P.K.; Cameron, T.S. Convenient preparation of hindered dialkyltin (IV) derivatives. Organometallics 1993, 12, 4881–4886. [Google Scholar] [CrossRef]
- Sheldrick, G.M. Crystal structure refinement with SHELXL Acta Crystallogr. Sect. C Struct. Chem. 2015, 71, 3–8. [Google Scholar] [CrossRef] [PubMed]
- Brandenburg, K.; Putz, H. Diamond; Crystal Impact GbR: Bonn, Germany, 2006. [Google Scholar]









| Identification Code | 1c |
|---|---|
| Empirical formula | C28H20N2O2Sn |
| Formula weight | 535.15 |
| Temperature/K | 298(2) |
| Crystal system | tetragonal |
| Space group | I41/a |
| a/Å | 17.2213(5) |
| b/Å | 17.2230(5) |
| c/Å | 31.2313(9) |
| α/° | 90 |
| β/° | 90 |
| γ/° | 90 |
| Volume/Å | 90 |
| Z | 16 |
| ρ cal g/cm3 | 1.535 |
| μ/mm−1 | 1.131 |
| F(000) | 4288 |
| Crystal size/mm3 | 0.37 × 0.37 × 0.23 |
| Radiation | MoKα (λ = 0.71073) |
| 2Ɵ range for data collection/° | 2.286 to 25.383 |
| Reflections collected | 38,660 |
| Independent reflections | 4254[Rint = 0.0719] |
| Data/restraints/parameters | 4254/0/298 |
| Goodness-of-fit on F2 | 1.124 |
| Final R indexes [I ≥ 2σ(I)] | R1 = 0.0318, wR2 = 0.0672 |
| Final R indexes [all data] | R1 = 0.0405, wR2 = 0.0729 |
| Bond Distances (Å) | |||
|---|---|---|---|
| Sn1-N1 | 2.152(2) | Sn1-C23 | 2.119(3) |
| Sn1-O1 | 2.087(2) | N1-C11 | 1.308(3) |
| Sn1-O2 | 2.089(2) | N1-C12 | 1.420(4) |
| Sn1-C17 | 2.118(3) | N2-C12 | 1.319(4) |
| Bond Angles (°) | |||
| O1-Sn1-N1 | 82.8(1) | O2-Sn1-C17 | 95.8(1) |
| O1-Sn1-O2 | 161.1(1) | O2-Sn1-C23 | 95.2(1) |
| O1-Sn1-C17 | 92.1(1) | N1-Sn1-C17 | 120.2 (1) |
| O1-Sn1-C23 | 93.3(1) | N1-Sn1-C23 | 111.3(1) |
| O2-Sn1-N1 | 78.5(5) | C17-Sn1-C23 | 128.46(11) |
| Torsion Angles (°) | |||
| Sn(1)-N(1)-C(12)-C(16) | 1.99 | Sn(1)-O(1)-C(1)-C(10) | 2.30 |
| Sn(1)-O(2)-C(16)-C(12) | −6.70 | C(10)-C(11)-N(1)-C(12) | 177.69 |
| Sn(1)-N(1)-C(11)-C(10) | 0.18 | ||
| Complex | T0 | Tmax | Tf |
|---|---|---|---|
| 1a | 253.98 | 305.23 | 442.33 |
| 1b | 143.83 | 307.99 | 517.77 |
| 1c | 258.87 | 299.72 | 451.98 |
| 1d | 175.79 | 332.93 | 368.89 |
| Complex | RMS (nm) | Ra (nm) | Thickness (μm) | Area (m2) | Unitary Deformation | σmax (Pa) | HK |
|---|---|---|---|---|---|---|---|
| 1a | 28.67 | 22.98 | 5.3 | 7.89 × 10−4 | 0.877 | 9.90 × 106 | 0.035 |
| 1b | 48.16 | 36.55 | 6.2 | 6.99 × 10−4 | 0.929 | 1.69 × 107 | 0.061 |
| 1c | 37.45 | 28.75 | 5.8 | 7.58 × 10−4 | 0.909 | 1.1 × 107 | 0.040 |
| 1d | 30.63 | 23.46 | 5.1 | 6.93 × 10−4 | 0.949 | 1.02 × 107 | 0.036 |
| Optical Parameter | 1a | 1b | 1c | 1d |
|---|---|---|---|---|
| Eg (eV) | 3.53 | 3.60 | 3.53 | 3.63 |
| (eV) | - | - | 1.85 | 1.99 |
| EU (eV) | 0.71 | 0.66 | 0.48 | 0.59 |
| Electrical Parameter | 1a | 1b | 1c | 1d |
|---|---|---|---|---|
| μ | 4.34 × 10−1 cm2/Vs | 3.63 cm2/Vs | 2.62 × 10−2 cm2/Vs | 1.95 cm2/Vs |
| p0 | 4.06 × 1018 m−3 | 2.96 × 1018 m−3 | 3.93 × 1018 m−3 | 4.38 × 1018 m−3 |
Disclaimer/Publisher’s Note: The statements, opinions and data contained in all publications are solely those of the individual author(s) and contributor(s) and not of MDPI and/or the editor(s). MDPI and/or the editor(s) disclaim responsibility for any injury to people or property resulting from any ideas, methods, instructions or products referred to in the content. |
© 2023 by the authors. Licensee MDPI, Basel, Switzerland. This article is an open access article distributed under the terms and conditions of the Creative Commons Attribution (CC BY) license (https://creativecommons.org/licenses/by/4.0/).
Share and Cite
Sánchez Vergara, M.E.; Gómez, E.; Toledo Dircio, E.; Álvarez Bada, J.R.; Cuenca Pérez, S.; Galván Hidalgo, J.M.; González Hernández, A.; Hernández Ortega, S. Pentacoordinated Organotin(IV) Complexes as an Alternative in the Design of Highly Efficient Optoelectronic and Photovoltaic Devices: Synthesis and Photophysical Characterization. Int. J. Mol. Sci. 2023, 24, 5255. https://doi.org/10.3390/ijms24065255
Sánchez Vergara ME, Gómez E, Toledo Dircio E, Álvarez Bada JR, Cuenca Pérez S, Galván Hidalgo JM, González Hernández A, Hernández Ortega S. Pentacoordinated Organotin(IV) Complexes as an Alternative in the Design of Highly Efficient Optoelectronic and Photovoltaic Devices: Synthesis and Photophysical Characterization. International Journal of Molecular Sciences. 2023; 24(6):5255. https://doi.org/10.3390/ijms24065255
Chicago/Turabian StyleSánchez Vergara, María Elena, Elizabeth Gómez, Emiliano Toledo Dircio, José Ramón Álvarez Bada, Samuel Cuenca Pérez, José Miguel Galván Hidalgo, Arturo González Hernández, and Simón Hernández Ortega. 2023. "Pentacoordinated Organotin(IV) Complexes as an Alternative in the Design of Highly Efficient Optoelectronic and Photovoltaic Devices: Synthesis and Photophysical Characterization" International Journal of Molecular Sciences 24, no. 6: 5255. https://doi.org/10.3390/ijms24065255
APA StyleSánchez Vergara, M. E., Gómez, E., Toledo Dircio, E., Álvarez Bada, J. R., Cuenca Pérez, S., Galván Hidalgo, J. M., González Hernández, A., & Hernández Ortega, S. (2023). Pentacoordinated Organotin(IV) Complexes as an Alternative in the Design of Highly Efficient Optoelectronic and Photovoltaic Devices: Synthesis and Photophysical Characterization. International Journal of Molecular Sciences, 24(6), 5255. https://doi.org/10.3390/ijms24065255

