Loco-Regional Control and Sustained Difference in Serum Immune Protein Expression in Patients Treated for p16-Positive and p16-Negative Head and Neck Squamous Cell Carcinoma
Abstract
1. Introduction
2. Results
2.1. Patient and Tumour Characteristics at Baseline
2.2. Serum Immune Proteins Expression at Baseline
2.3. Serum Immune Protein Expression at Baseline and Effect on Cumulative Incidence of Failure
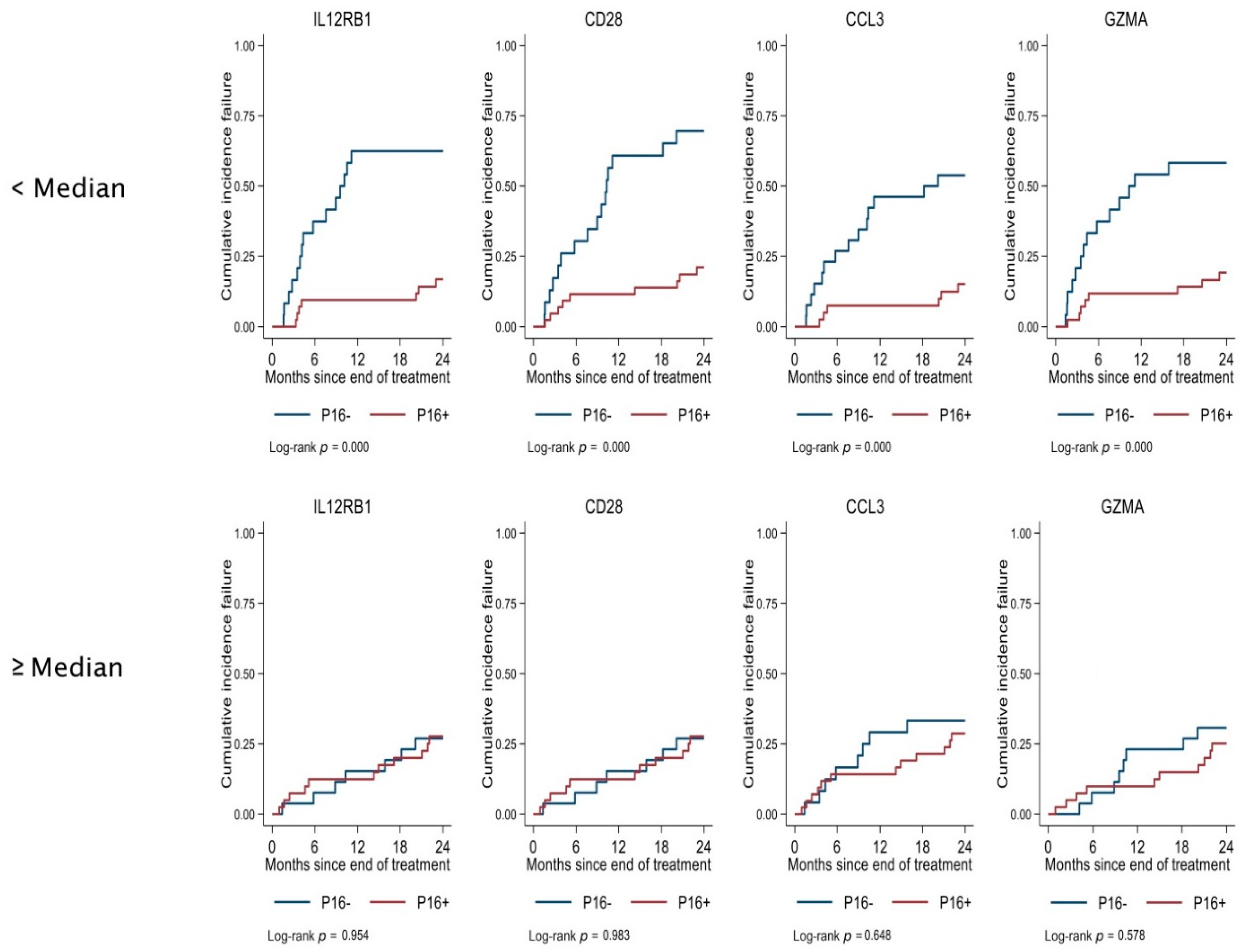
2.4. The Interaction between p16 and Serum Immune Protein Expression at Baseline in Relation to Treatment Failure
2.5. Serum Protein Expression 12 Months after Primary Treatment in Patients without Failure
3. Discussion
4. Materials and Methods
4.1. Study Design
4.2. Statistical Analysis
5. Conclusions
Author Contributions
Funding
Institutional Review Board Statement
Informed Consent Statement
Data Availability Statement
Acknowledgments
Conflicts of Interest
References
- Sung, H.; Ferlay, J.; Siegel, R.L.; Laversanne, M.; Soerjomataram, I.; Jemal, A.; Bray, F. Global Cancer Statistics 2020: GLOBOCAN Estimates of Incidence and Mortality Worldwide for 36 Cancers in 185 Countries. CA Cancer J. Clin. 2021, 71, 209–249. [Google Scholar] [CrossRef] [PubMed]
- Van Den Bossche, V.; Zaryouh, H.; Vara-Messler, M.; Vignau, J.; Machiels, J.P.; Wouters, A.; Schmitz, S.; Corbet, C. Microenvironment-driven intratumoral heterogeneity in head and neck cancers: Clinical challenges and opportunities for precision medicine. Drug Resist. Updates 2022, 60, 100806. [Google Scholar] [CrossRef] [PubMed]
- Amin, M.B.; Greene, F.L.; Edge, S.B.; Compton, C.C.; Gershenwald, J.E.; Brookland, R.K.; Meyer, L.; Gress, D.M.; Byrd, D.R.; Winchester, D.P. The Eighth Edition AJCC Cancer Staging Manual: Continuing to build a bridge from a population-based to a more “personalized” approach to cancer staging. CA Cancer J. Clin. 2017, 67, 93–99. [Google Scholar] [CrossRef] [PubMed]
- Prigge, E.S.; Arbyn, M.; Von Knebel Doeberitz, M.; Reuschenbach, M. Diagnostic accuracy of p16(INK4a) immunohistochemistry in oropharyngeal squamous cell carcinomas: A systematic review and meta-analysis. Int. J. Cancer 2017, 140, 1186–1198. [Google Scholar] [CrossRef] [PubMed]
- Ang, K.K.; Harris, J.; Wheeler, R.; Weber, R.; Rosenthal, D.I.; Nguyen-Tan, P.F.; Westra, W.H.; Chung, C.H.; Jordan, R.C.; Lu, C.; et al. Human papillomavirus and survival of patients with oropharyngeal cancer. N. Engl. J. Med. 2010, 363, 24–35. [Google Scholar] [CrossRef] [PubMed]
- Nordfors, C.; Grun, N.; Tertipis, N.; Ahrlund-Richter, A.; Haeggblom, L.; Sivars, L.; Du, J.; Nyberg, T.; Marklund, L.; Munck-Wikland, E.; et al. CD8+ and CD4+ tumour infiltrating lymphocytes in relation to human papillomavirus status and clinical outcome in tonsillar and base of tongue squamous cell carcinoma. Eur. J. Cancer 2013, 49, 2522–2530. [Google Scholar] [CrossRef]
- Welters, M.J.P.; Santegoets, S.J.; van der Burg, S.H. The Tumor Microenvironment and Immunotherapy of Oropharyngeal Squamous Cell Carcinoma. Front. Oncol. 2020, 10, 545385. [Google Scholar] [CrossRef]
- Leemans, C.R.; Snijders, P.J.F.; Brakenhoff, R.H. The molecular landscape of head and neck cancer. Nat. Rev. Cancer 2018, 18, 269–282. [Google Scholar] [CrossRef]
- Califano, J.; Van Der Riet, P.; Westra, W.; Nawroz, H.; Clayman, G.; Piantadosi, S.; Corio, R.; Lee, D.; Greenberg, B.; Koch, W.; et al. Genetic progression model for head and neck cancer: Implications for field cancerization. Cancer Res. 1996, 56, 2488–2492. [Google Scholar] [CrossRef]
- Pannone, G.; Rodolico, V.; Santoro, A.; Lo Muzio, L.; Franco, R.; Botti, G.; Aquino, G.; Pedicillo, M.C.; Cagiano, S.; Campisi, G.; et al. Evaluation of a combined triple method to detect causative HPV in oral and oropharyngeal squamous cell carcinomas: p16 Immunohistochemistry, Consensus PCR HPV-DNA, and In Situ Hybridization. Infect. Agent. Cancer 2012, 7, 4. [Google Scholar] [CrossRef]
- Lechner, M.; Chakravarthy, A.R.; Walter, V.; Masterson, L.; Feber, A.; Jay, A.; Weinberger, P.M.; Mcindoe, R.A.; Forde, C.T.; Chester, K.; et al. Frequent HPV-independent p16/INK4A overexpression in head and neck cancer. Oral. Oncol. 2018, 83, 32–37. [Google Scholar] [CrossRef] [PubMed]
- Harris, S.L.; Thorne, L.B.; Seaman, W.T.; Hayes, D.N.; Couch, M.E.; Kimple, R.J. Association of p16(INK4a) overexpression with improved outcomes in young patients with squamous cell cancers of the oral tongue. Head Neck 2011, 33, 1622–1627. [Google Scholar] [CrossRef] [PubMed]
- Chung, C.H.; Zhang, Q.; Kong, C.S.; Harris, J.; Fertig, E.J.; Harari, P.M.; Wang, D.; Redmond, K.P.; Shenouda, G.; Trotti, A.; et al. p16 protein expression and human papillomavirus status as prognostic biomarkers of nonoropharyngeal head and neck squamous cell carcinoma. J. Clin. Oncol. 2014, 32, 3930–3938. [Google Scholar] [CrossRef] [PubMed]
- Fakhry, C.; Westra, W.H.; Wang, S.J.; Van Zante, A.; Zhang, Y.; Rettig, E.; Yin, L.X.; Ryan, W.R.; Ha, P.K.; Wentz, A.; et al. The prognostic role of sex, race, and human papillomavirus in oropharyngeal and nonoropharyngeal head and neck squamous cell cancer. Cancer 2017, 123, 1566–1575. [Google Scholar] [CrossRef] [PubMed]
- Bryant, A.K.; Sojourner, E.J.; Vitzthum, L.K.; Zakeri, K.; Shen, H.; Nguyen, C.; Murphy, J.D.; Califano, J.A.; Cohen, E.E.W.; Mell, L.K. Prognostic Role of p16 in Nonoropharyngeal Head and Neck Cancer. J. Natl. Cancer Inst. 2018, 110, 1393–1399. [Google Scholar] [CrossRef] [PubMed]
- Wang, Q.; Ye, Y.; Yu, H.; Lin, S.-H.; Tu, H.; Liang, D.; Chang, D.W.; Huang, M.; Wu, X. Immune checkpoint-related serum proteins and genetic variants predict outcomes of localized prostate cancer, a cohort study. Cancer Immunol. Immunother. 2021, 70, 701–712. [Google Scholar] [CrossRef]
- Świderska, J.; Kozłowski, M.; Gaur, M.; Pius-Sadowska, E.; Kwiatkowski, S.; Machaliński, B.; Cymbaluk-Płoska, A. Clinical Significance of BTLA, CD27, CD70, CD28 and CD80 as Diagnostic and Prognostic Markers in Ovarian Cancer. Diagnostics 2022, 12, 251. [Google Scholar] [CrossRef]
- Liu, N.; Sheng, X.; Liu, Y.; Zhang, X.; Yu, J. Increased CD70 expression is associated with clinical resistance to cisplatin-based chemotherapy and poor survival in advanced ovarian carcinomas. Onco Targets Ther. 2013, 6, 615–619. [Google Scholar] [CrossRef]
- Hu, G.; Zeng, W.; Xia, Y. TWEAK/Fn14 signaling in tumors. Tumour Biol. 2017, 39, 1010428317714624. [Google Scholar] [CrossRef]
- Acharya, S.; Prabhu, P.; Patil, V.S.; Acharya, A.B.; Nikhil, K. Immunohistochemical expression of tumor necrosis factor-like weak inducer of apoptosis and fibroblast growth factor-inducible immediate early response protein 14 in oral squamous cell carcinoma and its implications. J. Investig. Clin. Dent. 2019, 10, e12469. [Google Scholar] [CrossRef]
- Chang, W.A.; Yen, M.C.; Hung, J.Y.; Yang, C.J.; Jian, S.F.; Yeh, I.J.; Liu, K.T.; Hsu, Y.L.; Kuo, P.L. Investigation of the role of tumor necrosis factor-like weak inducer of apoptosis in non-small cell lung cancer. Oncol. Rep. 2018, 39, 573–581. [Google Scholar] [CrossRef] [PubMed]
- Liu, S.; Shen, M.; Hsu, E.-C.; Zhang, C.A.; Garcia-Marques, F.; Nolley, R.; Koul, K.; Rice, M.A.; Aslan, M.; Pitteri, S.J.; et al. Discovery of PTN as a serum-based biomarker of pro-metastatic prostate cancer. Br. J. Cancer 2021, 124, 896–900. [Google Scholar] [CrossRef] [PubMed]
- Kong, Y.; Bai, P.S.; Nan, K.J.; Sun, H.; Chen, N.Z.; Qi, X.G. Pleiotrophin is a potential colorectal cancer prognostic factor that promotes VEGF expression and induces angiogenesis in colorectal cancer. Int. J. Color. Dis. 2012, 27, 287–298. [Google Scholar] [CrossRef] [PubMed]
- Xu, C.; Wang, Y.; Yuan, Q.; Wang, W.; Chi, C.; Zhang, Q.; Zhang, X. Serum pleiotrophin as a diagnostic and prognostic marker for small cell lung cancer. J. Cell. Mol. Med. 2019, 23, 2077–2082. [Google Scholar] [CrossRef]
- Souttou, B.; Juhl, H.; Hackenbruck, J.; Röckseisen, M.; Klomp, H.J.; Raulais, D.; Vigny, M.; Wellstein, A. Relationship between serum concentrations of the growth factor pleiotrophin and pleiotrophin-positive tumors. J. Natl. Cancer Inst. 1998, 90, 1468–1473. [Google Scholar] [CrossRef]
- Lang, S.; Bruderek, K.; Kaspar, C.; Höing, B.; Kanaan, O.; Dominas, N.; Hussain, T.; Droege, F.; Eyth, C.; Hadaschik, B.; et al. Clinical Relevance and Suppressive Capacity of Human Myeloid-Derived Suppressor Cell Subsets. Clin. Cancer Res. 2018, 24, 4834–4844. [Google Scholar] [CrossRef]
- Coosemans, A.; Decoene, J.; Baert, T.; Laenen, A.; Kasran, A.; Verschuere, T.; Seys, S.; Vergote, I. Immunosuppressive parameters in serum of ovarian cancer patients change during the disease course. Oncoimmunology 2016, 5, e1111505. [Google Scholar] [CrossRef]
- Spitkovsky, D.; Hehner, S.P.; Hofmann, T.G.; Möller, A.; Schmitz, M.L. The human papillomavirus oncoprotein E7 attenuates NF-kappa B activation by targeting the Ikappa B kinase complex. J. Biol. Chem. 2002, 277, 25576–25582. [Google Scholar] [CrossRef]
- Rm, D.A.C.; Bastos, M.M.; Medeiros, R.; Oliveira, P.A. The NFκB Signaling Pathway in Papillomavirus-induced Lesions: Friend or Foe? Anticancer Res. 2016, 36, 2073–2083. [Google Scholar]
- Eberhardt, C.S.; Kissick, H.T.; Patel, M.R.; Cardenas, M.A.; Prokhnevska, N.; Obeng, R.C.; Nasti, T.H.; Griffith, C.C.; Im, S.J.; Wang, X.; et al. Functional HPV-specific PD-1(+) stem-like CD8 T cells in head and neck cancer. Nature 2021, 597, 279–284. [Google Scholar] [CrossRef]
- Agresta, L.; Lehn, M.; Lampe, K.; Cantrell, R.; Hennies, C.; Szabo, S.; Wise-Draper, T.; Conforti, L.; Hoebe, K.; Janssen, E.M. CD244 represents a new therapeutic target in head and neck squamous cell carcinoma. J. Immunother. Cancer 2020, 8, e000245. [Google Scholar] [CrossRef] [PubMed]
- Sun, L.; Gang, X.; Li, Z.; Zhao, X.; Zhou, T.; Zhang, S.; Wang, G. Advances in Understanding the Roles of CD244 (SLAMF4) in Immune Regulation and Associated Diseases. Front. Immunol. 2021, 12, 648182. [Google Scholar] [CrossRef] [PubMed]
- Deorukhkar, A.; Krishnan, S. Targeting inflammatory pathways for tumor radiosensitization. Biochem. Pharmacol. 2010, 80, 1904–1914. [Google Scholar] [CrossRef] [PubMed]
- Fridman, W.H.; Galon, J.; Pagès, F.; Tartour, E.; Sautès-Fridman, C.; Kroemer, G. Prognostic and predictive impact of intra- and peritumoral immune infiltrates. Cancer Res. 2011, 71, 5601–5605. [Google Scholar] [CrossRef]
- Sheng, W.; Li, X.; Li, J.; Mi, Y.; Li, F. Evaluating prognostic value and relevant gene signatures of tumor microenvironment characterization in esophageal carcinoma. J. Gastrointest. Oncol. 2021, 12, 1228–1240. [Google Scholar] [CrossRef]
- Gameiro, S.F.; Ghasemi, F.; Barrett, J.W.; Koropatnick, J.; Nichols, A.C.; Mymryk, J.S.; Maleki Vareki, S. Treatment-naïve HPV+ head and neck cancers display a T-cell-inflamed phenotype distinct from their HPV- counterparts that has implications for immunotherapy. Oncoimmunology 2018, 7, e1498439. [Google Scholar] [CrossRef]
- Idel, C.; Ribbat-Idel, J.; Klapper, L.; Krupar, R.; Bruchhage, K.L.; Dreyer, E.; Rades, D.; Polasky, C.; Offermann, A.; Kirfel, J.; et al. Spatial Distribution of Immune Cells in Head and Neck Squamous Cell Carcinomas. Front. Oncol. 2021, 11, 712788. [Google Scholar] [CrossRef]
- Mito, I.; Takahashi, H.; Kawabata-Iwakawa, R.; Ida, S.; Tada, H.; Chikamatsu, K. Comprehensive analysis of immune cell enrichment in the tumor microenvironment of head and neck squamous cell carcinoma. Sci. Rep. 2021, 11, 16134. [Google Scholar] [CrossRef]
- Bhat, A.A.; Yousuf, P.; Wani, N.A.; Rizwan, A.; Chauhan, S.S.; Siddiqi, M.A.; Bedognetti, D.; El-Rifai, W.; Frenneaux, M.P.; Batra, S.K.; et al. Tumor microenvironment: An evil nexus promoting aggressive head and neck squamous cell carcinoma and avenue for targeted therapy. Signal Transduct. Target. Ther. 2021, 6, 12. [Google Scholar] [CrossRef]
- Ramqvist, T.; Nasman, A.; Franzen, B.; Bersani, C.; Alexeyenko, A.; Becker, S.; Haeggblom, L.; Kolev, A.; Dalianis, T.; Munck-Wikland, E. Protein Expression in Tonsillar and Base of Tongue Cancer and in Relation to Human Papillomavirus (HPV) and Clinical Outcome. Int. J. Mol. Sci. 2018, 19, 978. [Google Scholar] [CrossRef]
- Mytilineos, D.; Ezic, J.; Von Witzleben, A.; Mytilineos, J.; Lotfi, R.; Furst, D.; Tsamadou, C.; Theodoraki, M.N.; Oster, A.; Volkel, G.; et al. Peripheral Cytokine Levels Differ by HPV Status and Change Treatment-Dependently in Patients with Head and Neck Squamous Cell Carcinoma. Int. J. Mol. Sci. 2020, 21, 5990. [Google Scholar] [CrossRef]
- Dickinson, A.; Saraswat, M.; Syrjänen, S.; Tohmola, T.; Silén, R.; Randén-Brady, R.; Carpén, T.; Hagström, J.; Haglund, C.; Mattila, P.; et al. Comparing serum protein levels can aid in differentiating HPV-negative and -positive oropharyngeal squamous cell carcinoma patients. PLoS ONE 2020, 15, e0233974. [Google Scholar] [CrossRef] [PubMed]
- Aarstad, H.H.; Moe, S.E.E.; Bruserud, Ø.; Lybak, S.; Aarstad, H.J.; Tvedt, T.H.A. The Acute Phase Reaction and Its Prognostic Impact in Patients with Head and Neck Squamous Cell Carcinoma: Single Biomarkers Including C-Reactive Protein Versus Biomarker Profiles. Biomedicines 2020, 8, 418. [Google Scholar] [CrossRef] [PubMed]
- Astradsson, T.; Sellberg, F.; Ehrsson, Y.T.; Sandström, K.; Laurell, G. Serum Proteomics in Patients with Head and Neck Cancer: Peripheral Blood Immune Response to Treatment. Int. J. Mol. Sci. 2022, 23, 6304. [Google Scholar] [CrossRef] [PubMed]
- Assarsson, E.; Lundberg, M.; Holmquist, G.; Bjorkesten, J.; Thorsen, S.B.; Ekman, D.; Eriksson, A.; Rennel Dickens, E.; Ohlsson, S.; Edfeldt, G.; et al. Homogenous 96-plex PEA immunoassay exhibiting high sensitivity, specificity, and excellent scalability. PLoS ONE 2014, 9, e95192. [Google Scholar] [CrossRef]
- OLINK. What Is NPX? 2023. Available online: https://olink.com/faq/what-is-npx/ (accessed on 16 January 2023).




| p16 Status | ||||||||
| Total (N = 132) | p16+ (N = 82) | p16- (N = 50) | p-Value | |||||
| Age at Diagnosis. Mean (Median) | 62 (62) | 60 (60) | 65 (67) | 0.003 * | ||||
| Count | Column N % | Count | Column N % | Count | Column N % | |||
| Sex | Male | 97 | 73% | 64 | 78% | 33 | 66% | 0.16 ** |
| Female | 35 | 27% | 18 | 22% | 17 | 34% | ||
| Site | Oropharynx | 75 | 57% | 70 | 86% | 5 | 10% | ˂0.001 ** |
| Oral cavity | 28 | 21% | 6 | 7% | 22 | 44% | ||
| Larynx | 17 | 13% | 1 | 1% | 16 | 32% | ||
| Hypopharynx | 5 | 4% | 0 | 0% | 5 | 10% | ||
| Nasopharynx | 3 | 2% | 1 | 1% | 2 | 4% | ||
| Nose and nasal sinuses | 3 | 2% | 3 | 4% | 0 | 0% | ||
| Unkown primary | 1 | 1% | 1 | 1% | 0 | 0% | ||
| Stage | I | 61 | 46% | 47 | 57% | 14 | 28% | ˂0.001 ** |
| II | 26 | 20% | 15 | 18% | 11 | 22% | ||
| III | 26 | 20% | 18 | 22% | 8 | 16% | ||
| IVa | 16 | 12% | 1 | 1% | 15 | 30% | ||
| IVb | 3 | 2% | 1 | 1% | 2 | 4% | ||
| Treatment | Surgery as monotherapy | 11 | 8% | 4 | 5% | 7 | 14% | ˂0.001 ** |
| Radiotherapy as monotherapy | 46 | 35% | 33 | 40% | 13 | 26% | ||
| Surgery and radiotherapy | 23 | 17% | 6 | 7% | 17 | 34% | ||
| Chemoradiotherapy±surgery | 41 | 31% | 31 | 38% | 10 | 20% | ||
| Radiotherapy+anti-EGFR±surgery | 11 | 8% | 8 | 10% | 3 | 6% | ||
| p16 Status | ||||||||
| Total (N = 92) | p16+ (N = 64) | p16- (N = 28) | ||||||
| Age at Diagnosis. Mean (Median) | 61 (62) | 59 (60) | 65 (64) | |||||
| Count | Column N % | Count | Column N % | Count | Column N % | Chi Square | ||
| Sex | Male | 69 | 75% | 50 | 78% | 19 | 68% | 0.3 |
| Female | 23 | 25% | 14 | 22% | 9 | 32% | ||
| Site | Oropharynx | 55 | 60% | 54 | 86% | 1 | 4% | ˂0.001 |
| Oral cavity | 19 | 21% | 5 | 8% | 14 | 50% | ||
| Larynx | 12 | 13% | 1 | 2% | 11 | 39% | ||
| Hypopharynx | 1 | 1% | 0 | 0% | 1 | 4% | ||
| Nasopharynx | 2 | 2% | 1 | 2% | 1 | 4% | ||
| Nose and nasal sinuses | 2 | 2% | 2 | 3% | 0 | 0% | ||
| Unknown primary | 1 | 1% | 1 | 2% | 0 | 0% | ||
| Stage | I | 52 | 57% | 42 | 66% | 10 | 36% | 0.005 |
| II | 19 | 21% | 11 | 17% | 8 | 29% | ||
| III | 13 | 14% | 9 | 14% | 4 | 14% | ||
| IVa | 7 | 8% | 1 | 2% | 6 | 21% | ||
| IVb | 1 | 1% | 1 | 2% | 0 | 0% | ||
| Treatment | Surgery as monotherapy | 7 | 8% | 3 | 5% | 4 | 14% | 0.004 |
| Radiotherapy as monotherapy | 34 | 37% | 26 | 41% | 8 | 29% | ||
| Surgery and radiotherapy | 13 | 14% | 4 | 6% | 9 | 32% | ||
| Chemoradiotherapy±surgery | 30 | 33% | 25 | 39% | 5 | 18% | ||
| Radiotherapy+anti-EGFR±surgery | 8 | 9% | 6 | 9% | 2 | 7% | ||
| Total | p16+ | p16- | |||||
|---|---|---|---|---|---|---|---|
| Dead (N = 24) | Recurrence (N = 16) | Dead (N = 5) | Recurrence (N = 13) | Dead (N = 19) | Recurrence (N = 3) | ||
| Site | Oropharynx | 9 | 11 | 5 | 11 | 4 | |
| Oral cavity | 7 | 2 | 1 | 7 | 1 | ||
| Larynx | 4 | 4 | 1 | ||||
| Hypopharynx | 4 | 4 | |||||
| Nasopharynx | 1 | 1 | |||||
| Nose and nasal sinuses | 1 | 1 | |||||
Disclaimer/Publisher’s Note: The statements, opinions and data contained in all publications are solely those of the individual author(s) and contributor(s) and not of MDPI and/or the editor(s). MDPI and/or the editor(s) disclaim responsibility for any injury to people or property resulting from any ideas, methods, instructions or products referred to in the content. |
© 2023 by the authors. Licensee MDPI, Basel, Switzerland. This article is an open access article distributed under the terms and conditions of the Creative Commons Attribution (CC BY) license (https://creativecommons.org/licenses/by/4.0/).
Share and Cite
Sandström, K.; Ehrsson, Y.T.; Sellberg, F.; Johansson, H.; Laurell, G. Loco-Regional Control and Sustained Difference in Serum Immune Protein Expression in Patients Treated for p16-Positive and p16-Negative Head and Neck Squamous Cell Carcinoma. Int. J. Mol. Sci. 2023, 24, 3838. https://doi.org/10.3390/ijms24043838
Sandström K, Ehrsson YT, Sellberg F, Johansson H, Laurell G. Loco-Regional Control and Sustained Difference in Serum Immune Protein Expression in Patients Treated for p16-Positive and p16-Negative Head and Neck Squamous Cell Carcinoma. International Journal of Molecular Sciences. 2023; 24(4):3838. https://doi.org/10.3390/ijms24043838
Chicago/Turabian StyleSandström, Karl, Ylva Tiblom Ehrsson, Felix Sellberg, Hemming Johansson, and Göran Laurell. 2023. "Loco-Regional Control and Sustained Difference in Serum Immune Protein Expression in Patients Treated for p16-Positive and p16-Negative Head and Neck Squamous Cell Carcinoma" International Journal of Molecular Sciences 24, no. 4: 3838. https://doi.org/10.3390/ijms24043838
APA StyleSandström, K., Ehrsson, Y. T., Sellberg, F., Johansson, H., & Laurell, G. (2023). Loco-Regional Control and Sustained Difference in Serum Immune Protein Expression in Patients Treated for p16-Positive and p16-Negative Head and Neck Squamous Cell Carcinoma. International Journal of Molecular Sciences, 24(4), 3838. https://doi.org/10.3390/ijms24043838

