Effect of Zwitterionic Additive on Electrode Protection through Electrochemical Performances of Anatase TiO2 Nanotube Array Electrode in Ionic Liquid Electrolyte
Abstract
1. Introduction
2. Results and Discussion
2.1. Thermogravimetric and DSC Analysis
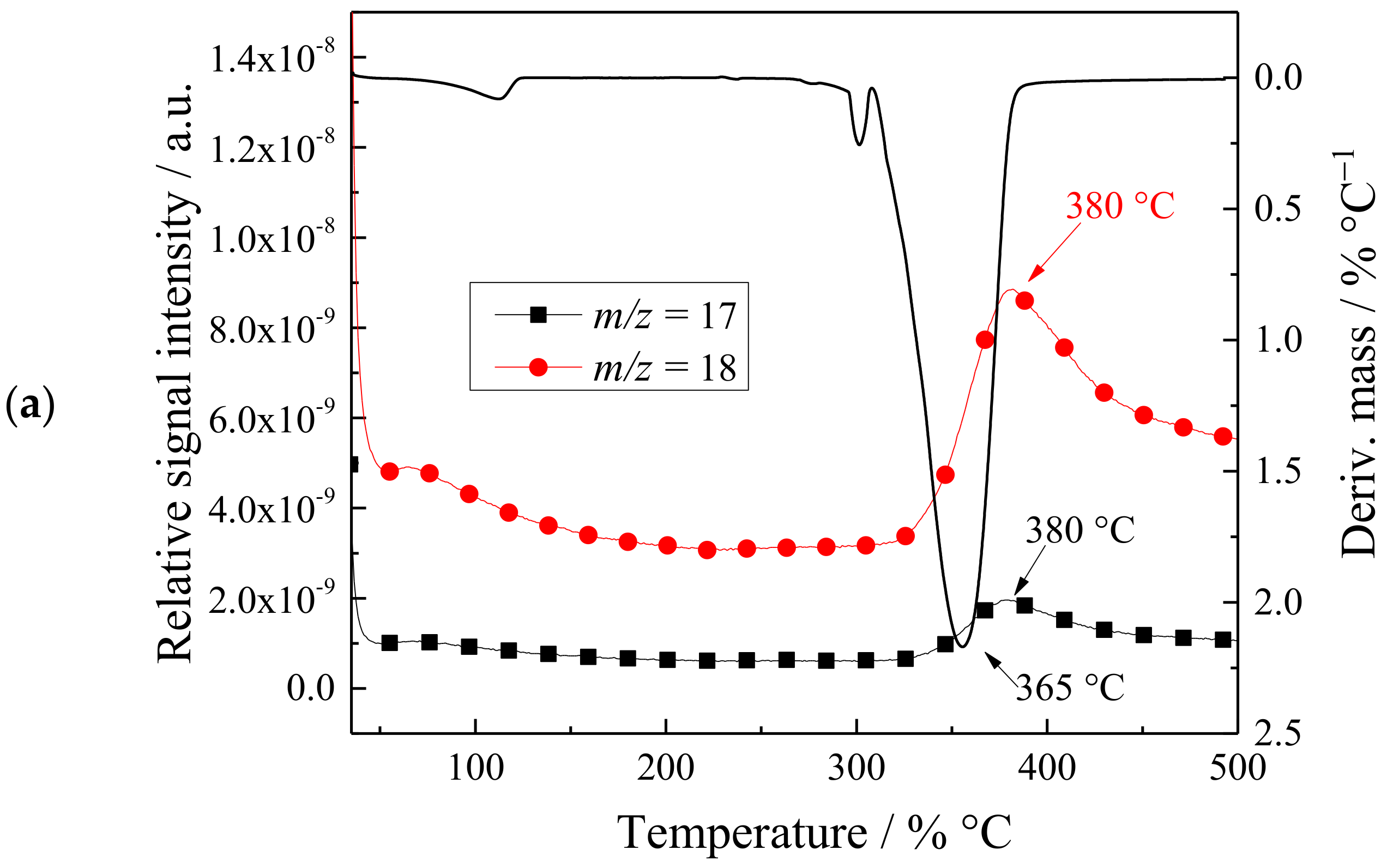
2.2. Thermogravimetry Coupled with Mass Spectrometric (TG–MS) Analysis
2.3. Flammability of Electrolyte
2.4. Electrochemical Characterization
2.4.1. Galvanostatic Cycling
2.5. Spectroscopy Measurements after Cycling
Vibrational Spectroscopy
3. Materials and Methods
3.1. Materials
3.1.1. Synthetic Procedure for the Zwitterionic Compound
3.2. Apparatus and Procedures
3.2.1. Spectroscopy Measurements (NMR, FTIR, and UV-Vis)
3.2.2. Thermal Properties (TG, TG-MS and DSC)
3.2.3. Electrode Material Characterization (XRD and SEM)
3.2.4. Flammability Test
3.2.5. Electrochemical Experiments
4. Conclusions
Supplementary Materials
Author Contributions
Funding
Institutional Review Board Statement
Informed Consent Statement
Data Availability Statement
Acknowledgments
Conflicts of Interest
References
- Kawamura, T.; Kimura, A.; Egashira, M.; Okada, S.; Yamaki, J.-I. Thermal stability of alkyl carbonate mixed-solvent electrolytes for lithium ion cells. J. Power Sources 2002, 104, 260–264. [Google Scholar] [CrossRef]
- Aurbach, D.; Markovsky, B.; Salitra, G.; Markevich, E.; Talyossef, Y.; Koltypin, M.; Nazar, L.; Ellis, B.; Kovacheva, D. Review on electrode–electrolyte solution interactions, related to cathode materials for Li-ion batteries. J. Power Sources 2007, 165, 491–499. [Google Scholar] [CrossRef]
- Eshetu, G.G.; Bertrand, J.-P.; Lecocq, A.; Grugeon, S.; Laruelle, S.; Armand, M.; Marlair, G. Fire behavior of carbonates-based electrolytes used in Li-ion rechargeable batteries with a focus on the role of the LiPF6 and LiFSI salts. J. Power Sources 2014, 269, 804–811. [Google Scholar] [CrossRef]
- Wang, Q.; Ping, P.; Zhao, X.; Chu, G.; Sun, J.; Chen, C. Thermal runaway caused fire and explosion of lithium ion battery. J. Power Sources 2012, 208, 210–224. [Google Scholar] [CrossRef]
- Diallo, A.-O.; Morgan, A.B.; Len, C.; Marlair, G. An innovative experimental approach aiming to understand and quantify the actual fire hazards of ionic liquids. Energy Environ. Sci. 2013, 6, 699–710. [Google Scholar] [CrossRef]
- Guerfi, A.; Dontigny, M.; Charest, P.; Petitclerc, M.; Lagacé, M.; Vijh, A.; Zaghib, K. Improved electrolytes for Li-ion batteries: Mixtures of ionic liquid and organic electrolyte with enhanced safety and electrochemical performance. J. Power Sources 2010, 195, 845–852. [Google Scholar] [CrossRef]
- Fernicola, A.; Croce, F.; Scrosati, B.; Watanabe, T.; Ohno, H. LiTFSI-BEPyTFSI as an improved ionic liquid electrolyte for rechargeable lithium batteries. J. Power Sources 2007, 174, 342–348. [Google Scholar] [CrossRef]
- Mun, J.; Jung, Y.S.; Yim, T.; Lee, H.Y.; Kim, H.-J.; Kim, Y.G.; Oh, S.M. Electrochemical stability of bis(trifluoromethanesulfonyl)imide-based ionic liquids at elevated temperature as a solvent for a titanium oxide bronze electrode. J. Power Sources 2009, 194, 1068–1074. [Google Scholar] [CrossRef]
- Srour, H.; Chancelier, L.; Bolimowska, E.; Gutel, T.; Mailley, S.; Rouault, H.; Santini, C.C. Ionic liquid-based electrolytes for lithium-ion batteries: Review of performances of various electrode systems. J. Appl. Electrochem. 2015, 46, 149–155. [Google Scholar] [CrossRef]
- Seki, S.; Kobayashi, Y.; Miyashiro, H.; Ohno, Y.; Usami, A.; Mita, Y.; Kihira, N.; Watanabe, M.; Terada, N. Lithium Secondary Batteries Using Modified-Imidazolium Room-Temperature Ionic Liquid. J. Phys. Chem. B 2006, 110, 10228–10230. [Google Scholar] [CrossRef]
- Papović, S.; Cvjetićanin, N.; Gadžurić, S.; Bešter-Rogač, M.; Vraneš, M. Physicochemical and electrochemical characterisation of imidazolium based IL + GBL mixtures as electrolytes for lithium-ion batteries. Phys. Chem. Chem. Phys. 2017, 19, 28139–28152. [Google Scholar] [CrossRef]
- Zec, N.; Cvjetićanin, N.; Bešter-Rogač, M.; Vraneš, M.; Gadžurić, S. Electrochemical Performance of Anatase TiO2Nanotube Arrays Electrode in Ionic Liquid Based Electrolyte for Lithium Ion Batteries. J. Electrochem. Soc. 2017, 164, H5100–H5107. [Google Scholar] [CrossRef]
- MacFarlane, D.R.; Tachikawa, N.; Forsyth, M.; Pringle, J.M.; Howlett, P.C.; Elliott, G.D.; Davis, J.H.; Watanabe, M.; Simon, P.; Angell, C.A. Energy applications of ionic liquids. Energy Environ. Sci. 2014, 7, 232–250. [Google Scholar] [CrossRef]
- Wang, Z.; Cai, Y.; Dong, T.; Chen, S.; Lu, X. Triethylbutylammonium bis(trifluoromethanesulphonyl)imide ionic liquid as an effective electrolyte additive for Li-ion batteries. Ionics 2012, 19, 887–894. [Google Scholar] [CrossRef]
- Fernicola, A.; Scrosati, B.; Ohno, H. Potentialities of ionic liquids as new electrolyte media in advanced electrochemical devices. Ionics 2006, 12, 95–102. [Google Scholar] [CrossRef]
- Roy, P.; Berger, S.; Schmuki, P. TiO2 Nanotubes: Synthesis and Applications. Angew. Chem. Int. Ed. 2011, 50, 2904–2939. [Google Scholar] [CrossRef]
- Savva, A.I.; Smith, K.A.; Lawson, M.; Croft, S.R.; Weltner, A.E.; Jones, C.D.; Bull, H.; Simmonds, P.J.; Li, L.; Xiong, H. Defect Generation in TiO2 Nanotube Anodes via Heat Treatment in Various Atmospheres for Lithium-Ion Batteries. Phys. Chem. Chem. Phys. 2018, 20, 22537–22546. [Google Scholar] [CrossRef]
- Yuwono, J.A.; Burr, P.; Galvin, C.; Lennon, A. Atomistic Insights into Lithium Storage Mechanisms in Anatase, Rutile, and Amorphous TiO2 Electrodes. ACS Appl. Mater. Interfaces 2021, 13, 1791–1806. [Google Scholar] [CrossRef]
- Park, S.-G.; Yang, J.-J.; Rho, J.-W.; Kim, H.-I.; Habazaki, H. Electrochemical Behavior of TiO2Nanotube/Ti Prepared by Anodizing for Micro-Lithium Ion Batteries. J. Korean Electrochem. Soc. 2014, 17, 13–17. [Google Scholar] [CrossRef]
- Jiang, Y.; Hall, C.; Burr, P.A.; Song, N.; Lau, D.; Yuwono, J.; Wang, D.-W.; Ouyang, Z.; Lennon, A. Fabrication strategies for high-rate TiO2 nanotube anodes for Li ion energy storage. J. Power Sources 2020, 463, 228205. [Google Scholar] [CrossRef]
- Zhang, M.-M.; Chen, J.-Y.; Li, H.; Wang, C.-R. Recent progress in Li-ion batteries with TiO2 nanotube anodes grown by electrochemical anodization. Rare Met. 2021, 40, 249–271. [Google Scholar] [CrossRef]
- Auer, A.; Portenkirchner, E.; Götsch, T.; Valero-Vidal, C.; Penner, S.; Kunze-Liebhäuser, J. Preferentially Oriented TiO2 Nanotubes as Anode Material for Li-Ion Batteries: Insight into Li-Ion Storage and Lithiation Kinetics. ACS Appl. Mater. Interfaces 2017, 9, 36828–36836. [Google Scholar] [CrossRef] [PubMed]
- Cao, W.; Chen, K.; Xue, D. Highly Ordered TiO2 Nanotube Arrays with Engineered Electrochemical Energy Storage Performances. Materials 2021, 14, 510. [Google Scholar] [CrossRef] [PubMed]
- Wang, J.; Zhao, H.; Li, Z.; Wen, Y.; Xia, Q.; Zhang, Y.; Yushin, G. Revealing Rate Limitations in Nanocrystalline Li4Ti5O12Anodes for High-Power Lithium Ion Batteries. Adv. Mater. Interfaces 2016, 1, 1600003. [Google Scholar] [CrossRef]
- Xu, Y.; Lotfabad, E.M.; Wang, H.; Farbod, B.; Xu, Z.; Kohandehghan, A.; Mitlin, D. Nanocrystalline anatase TiO2: A new anode material for rechargeable sodium ion batteries. Chem. Commun. 2013, 49, 8973–8975. [Google Scholar] [CrossRef]
- Cekic-Laskovic, I.; von Aspern, N.; Imholt, L.; Kaymaksiz, S.; Oldiges, K.; Rad, B.R.; Winter, M. Synergistic Effect of Blended Components in Nonaqueous Electrolytes for Lithium Ion Batteries, Electrochem. Energy Storage 2017, 375, 1–64. [Google Scholar] [CrossRef]
- Aspern, N.; Röschenthaler, G.; Winter, M.; Cekic-Laskovic, I. Fluorine and Lithium: Ideal Partners for High-Performance Rechargeable Battery Electrolytes. Angew. Chem. Int. Ed. 2019, 58, 15978–16000. [Google Scholar] [CrossRef]
- Vraneš, M.; Cvjetićanin, N.; Papović, S.; Pavlović, M.; Szilágyi, I.; Gadžurić, S. Electrochemical study of anatase TiO2 nanotube array electrode in electrolyte based on 1,3-diethylimidazolium bis(trifluoromethylsulfonyl)imide ionic liquid. Ionics 2019, 25, 5501–5513. [Google Scholar] [CrossRef]
- Nguyen, D.Q.; Hwang, J.; Lee, J.S.; Kim, H.; Lee, H.; Cheong, M.; Lee, B.; Kim, H.S. Multi-functional zwitterionic compounds as additives for lithium battery electrolytes. Electrochem. Commun. 2007, 9, 109–114. [Google Scholar] [CrossRef]
- Kuroda, K.; Satria, H.; Miyamura, K.; Tsuge, Y.; Ninomiya, K.; Takahashi, K. Design of Wall-Destructive but Membrane-Compatible Solvents. J. Am. Chem. Soc. 2017, 139, 16052–16055. [Google Scholar] [CrossRef]
- Yoshizawa, M.; Narita, A.; Ohno, H. Design of Ionic Liquids for Electrochemical Applications. Aust. J. Chem. 2004, 57, 139–144. [Google Scholar] [CrossRef]
- Li, Z.; Xia, Q.; Liu, L.; Lei, G.; Xiao, Q.; Gao, D.; Zhou, X. Effect of zwitterionic salt on the electrochemical properties of a solid polymer electrolyte with high temperature stability for lithium ion batteries. Electrochim. Acta 2010, 56, 804–809. [Google Scholar] [CrossRef]
- Suematsu, M.; Yoshizawa-Fujita, M.; Zhu, H.; Forsyth, M.; Takeoka, Y.; Rikukawa, M. Effect of zwitterions on electrochemical properties of oligoether-based electrolytes. Electrochim. Acta 2015, 175, 209–213. [Google Scholar] [CrossRef]
- Yoshizawa-Fujita, M.; Tamura, T.; Takeoka, Y.; Rikukawa, M. Low-melting zwitterion: Effect of oxyethylene units on thermal properties and conductivity. Chem. Commun. 2011, 47, 2345–2347. [Google Scholar] [CrossRef]
- Jesus, F.; Passos, H.; Ferreira, A.M.; Kuroda, K.; Pereira, J.L.; Gonçalves, F.J.M.; Coutinho, J.A.P.; Ventura, S.P.M. Zwitterionic compounds are less ecotoxic than their analogous ionic liquids. Green Chem. 2021, 23, 3683–3692. [Google Scholar] [CrossRef]
- Galin, M.; Chapoton, A.; Galin, J.-C. Dielectric increments, intercharge distances and conformation of quaternary ammonioalkylsulfonates and alkoxydicyanoethenolates in aqueous and tirfluoroethanol solutions. J. Chem. Soc. Perkin Trans. 2 1993, 3, 545–553. [Google Scholar] [CrossRef]
- Narita, A.; Shibayama, W.; Ohno, H. Structural factors to improve physico-chemical properties of zwitterions as ion conductive matrices. J. Mater. Chem. 2006, 16, 1475–1482. [Google Scholar] [CrossRef]
- Chae, B.-J.; Yim, T. Sulfonate-immobilized artificial cathode electrolyte interphases layer on Ni-rich cathode. J. Power Sources 2017, 360, 480–487. [Google Scholar] [CrossRef]
- National Institute of Standards and Technology. NIST Chemistry WebBook, NIST Standard Reference Database Number 69; National Institute of Standards and Technology: Gaithersburg, MD, USA. Available online: http://webbook.nist.gov (accessed on 28 January 2023).
- Stein, S.E. “Mass Spectra” by NIST Mass Spec Data Center. Available online: http://webbook.nist.gov/chemistry/ (accessed on 28 January 2023).
- Materazzi, S. Mass Spectrometry Coupled to Thermogravimetry (TG-MS) for Evolved Gas Characterization: A Review. Appl. Spectrosc. Rev. 1998, 33, 189–218. [Google Scholar] [CrossRef]
- Herrera, M.; Matuschek, G.; Kettrup, A. Thermal Degradation Studies of Some Aliphatic Polyamides Using Hyphenated Techniques (TG-MS, TG-FTIR). J. Therm. Anal. Calorim. 2000, 59, 385–394. [Google Scholar] [CrossRef]
- Falick, A.M.; Hines, W.M.; Medzihradszky, K.F.; Baldwin, M.A.; Gibson, B.W. Low-mass ions produced from peptides by high-energy collision-induced dissociation in tandem mass spectrometry. J. Am. Soc. Mass Spectrom. 1993, 4, 882–893. [Google Scholar] [CrossRef] [PubMed]
- Wagemaker, M.; Kearley, G.J.; van Well, A.A.; Mutka, H.; Mulder, F.M. Multiple Li Positions inside Oxygen Octahedra in Lithiated TiO2 Anatase. J. Am. Chem. Soc. 2003, 125, 840–848. [Google Scholar] [CrossRef] [PubMed]
- Jiang, C.; Wei, M.; Qi, Z.; Kudo, T.; Honma, I.; Zhou, H. Particle size dependence of the lithium storage capability and high rate performance of nanocrystalline anatase TiO2 electrode. J. Power Sources 2007, 166, 239–243. [Google Scholar] [CrossRef]
- Bratić, M.; Jugović, D.; Mitrić, M.; Cvjetićanin, N. Insertion of lithium ion in anatase TiO2 nanotube arrays of different morphology. J. Alloys Compd. 2017, 712, 90–96. [Google Scholar] [CrossRef]
- Hornback, J. Organic Chemistry, 2nd ed.; Thomson Brooks/Cole: Singapore, 2006. [Google Scholar]
- Pretsch, E.; Buhlmann, P.; Affolter, C. Structure Determination of Organic Compounds, 3rd ed.; Springer: Berlin/Heidelberg, Germany, 2000. [Google Scholar]
- Available online: https://www.sigmaaldrich.com/RS/en/technical-documents/technical-article/analytical-chemistry/photometry-and-reflectometry/ir-spectrum-table. (accessed on 28 January 2023).
- Chrysostom, E.T.; Vulpanovici, N.; Masiello, T.; Barber, J.; Nibler, J.W.; Weber, A.; Maki, A.; Blake, T.A. Coherent Raman and Infrared Studies of Sulfur Trioxide. J. Mol. Spectrosc. 2001, 210, 233–239. [Google Scholar] [CrossRef]
- Langhammer, D.; Kullgren, J.; Österlund, L. Photoinduced Adsorption and Oxidation of SO2 on Anatase TiO2(101). J. Am. Chem. Soc. 2020, 142, 21767–21774. [Google Scholar] [CrossRef]
- Ohsaka, T.; Izumi, F.; Fujiki, Y. Raman spectrum of anatase, TiO2. J. Raman Spectrosc. 1978, 7, 321–324. [Google Scholar] [CrossRef]
- Abbasi, A.; Sardroodi, J.J. Adsorption and dissociation of SO3 on N-doped TiO2 supported Au overlayers investigated by van der Waals corrected DFT. Surf. Sci. 2017, 663, 35–46. [Google Scholar] [CrossRef]
- Wohde, F.; Bhandary, R.; Moldrickx, J.; Sundermeyer, J.; Schönhoff, M.; Roling, B. Li+ ion transport in ionic liquid-based electrolytes and the influence of sulfonate-based zwitterion additives. Solid State Ionics 2016, 284, 37–44. [Google Scholar] [CrossRef]
- Lutsyk, P.; Piryatinski, Y.; Shandura, M.; AlAraimi, M.; Tesa, M.; Arnaoutakis, G.E.; Melvin, A.A.; Kachkovsky, O.; Verbitsky, A.; Rozhin, A. Self-Assembly for Two Types of J-Aggregates: Cis-Isomers of Dye on the Carbon Nanotube Surface and Free Aggregates of Dye trans-Isomers. J. Phys. Chem. C 2019, 123, 19903–19911. [Google Scholar] [CrossRef]
- Lutsyk, P.; Piryatinski, Y.; Araimi, M.; Arif, R.; Shandura, M.; Kachkovsky, O.; Verbitsky, A.; Rozhin, A. Emergence of Additional Visible-Range Photoluminescence Due to Aggregation of Cyanine Dye: Astraphloxin on Carbon Nanotubes Dispersed with Anionic Surfactant. J. Phys. Chem. C 2016, 120, 20378–20386. [Google Scholar] [CrossRef]
- Macak, J.M.; Hildebrand, H.; Marten-Jahns, U.; Schmuki, P. Mechanistic aspects and growth of large diameter self-organized TiO2 nanotubes. J. Electroanal. Chem. 2008, 621, 254–266. [Google Scholar] [CrossRef]












| Chemical Name | Provenance | Product Number | Purification Method | Final Mass Fraction | Water Content (ppm) b |
|---|---|---|---|---|---|
| C2C2imTFSI a | IoLiTech | 174899-88-8 | Vacuum drying | ω ≥ 0.99 | 13 |
| LiTFSI c | Sigma Aldrich | 90076-65-6 | Vacuum drying | ω ≥ 0.9995 | - |
| 1-methylimidazole | Sigma Aldrich | 616-47-7 | - | ω ≥ 0.99 | 18 |
| 1,4-butane sultone | Sigma Aldrich | 1633-83-6 | - | ω ≥ 0.99 | 20 |
| C1C4imSO3 | Synthesized in our laboratory | SLE e, Vacuum drying | ω ≥ 0.99 d | ||
| Ti foil | Alfa Aesar | 7440-32-6 | - | ω ≥ 0.995 | - |
| NH4F | Sigma Aldrich | 12125-01-8 | - | ω ≥ 0.995 | - |
| Glycerol | Sigma Aldrich | 56-81-5 | - | ω ≥ 0.995 | - |
| Indium calibration standard | Thermal Analysis Instruments | - | - | ω ≥ 0.9999 | - |
| Sapphire specific heat material for hermetic pans | Thermal Analysis Instruments | - | - | ω ≥ 0.9999 | - |
| Acetonitrile | Sigma Aldrich | 75-05-8 | - | ω ≥ 0.998 | - |
Disclaimer/Publisher’s Note: The statements, opinions and data contained in all publications are solely those of the individual author(s) and contributor(s) and not of MDPI and/or the editor(s). MDPI and/or the editor(s) disclaim responsibility for any injury to people or property resulting from any ideas, methods, instructions or products referred to in the content. |
© 2023 by the authors. Licensee MDPI, Basel, Switzerland. This article is an open access article distributed under the terms and conditions of the Creative Commons Attribution (CC BY) license (https://creativecommons.org/licenses/by/4.0/).
Share and Cite
Roganović, A.; Vraneš, M.; Cvjetićanin, N.; Chen, X.; Papović, S. Effect of Zwitterionic Additive on Electrode Protection through Electrochemical Performances of Anatase TiO2 Nanotube Array Electrode in Ionic Liquid Electrolyte. Int. J. Mol. Sci. 2023, 24, 3495. https://doi.org/10.3390/ijms24043495
Roganović A, Vraneš M, Cvjetićanin N, Chen X, Papović S. Effect of Zwitterionic Additive on Electrode Protection through Electrochemical Performances of Anatase TiO2 Nanotube Array Electrode in Ionic Liquid Electrolyte. International Journal of Molecular Sciences. 2023; 24(4):3495. https://doi.org/10.3390/ijms24043495
Chicago/Turabian StyleRoganović, Aleksandra, Milan Vraneš, Nikola Cvjetićanin, Xiaoping Chen, and Snežana Papović. 2023. "Effect of Zwitterionic Additive on Electrode Protection through Electrochemical Performances of Anatase TiO2 Nanotube Array Electrode in Ionic Liquid Electrolyte" International Journal of Molecular Sciences 24, no. 4: 3495. https://doi.org/10.3390/ijms24043495
APA StyleRoganović, A., Vraneš, M., Cvjetićanin, N., Chen, X., & Papović, S. (2023). Effect of Zwitterionic Additive on Electrode Protection through Electrochemical Performances of Anatase TiO2 Nanotube Array Electrode in Ionic Liquid Electrolyte. International Journal of Molecular Sciences, 24(4), 3495. https://doi.org/10.3390/ijms24043495

