Temperature Effect on the Corrosion Inhibition of Carbon Steel by Polymeric Ionic Liquids in Acid Medium
Abstract
1. Introduction
2. Results and Discussion
2.1. Weight Loss
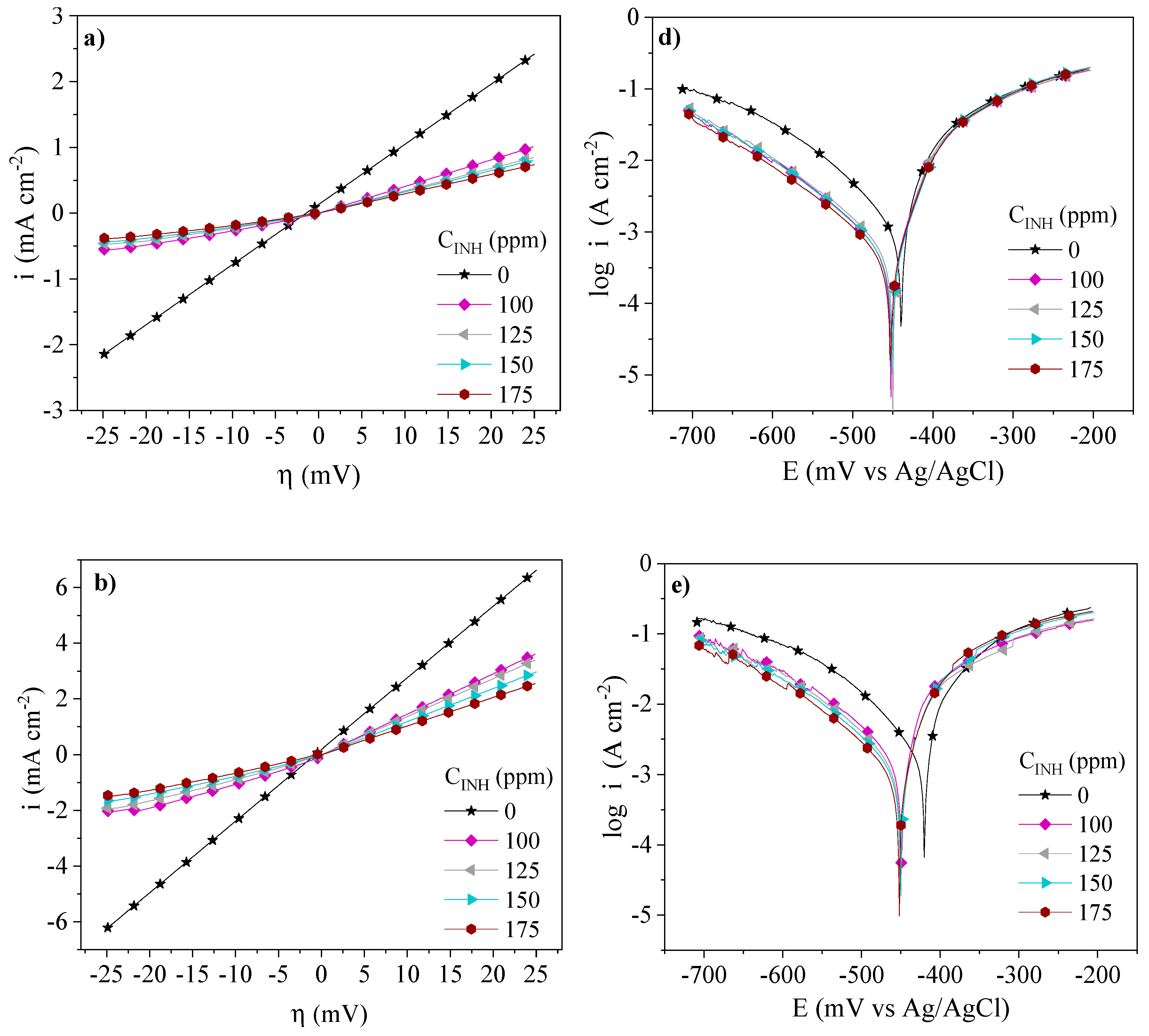
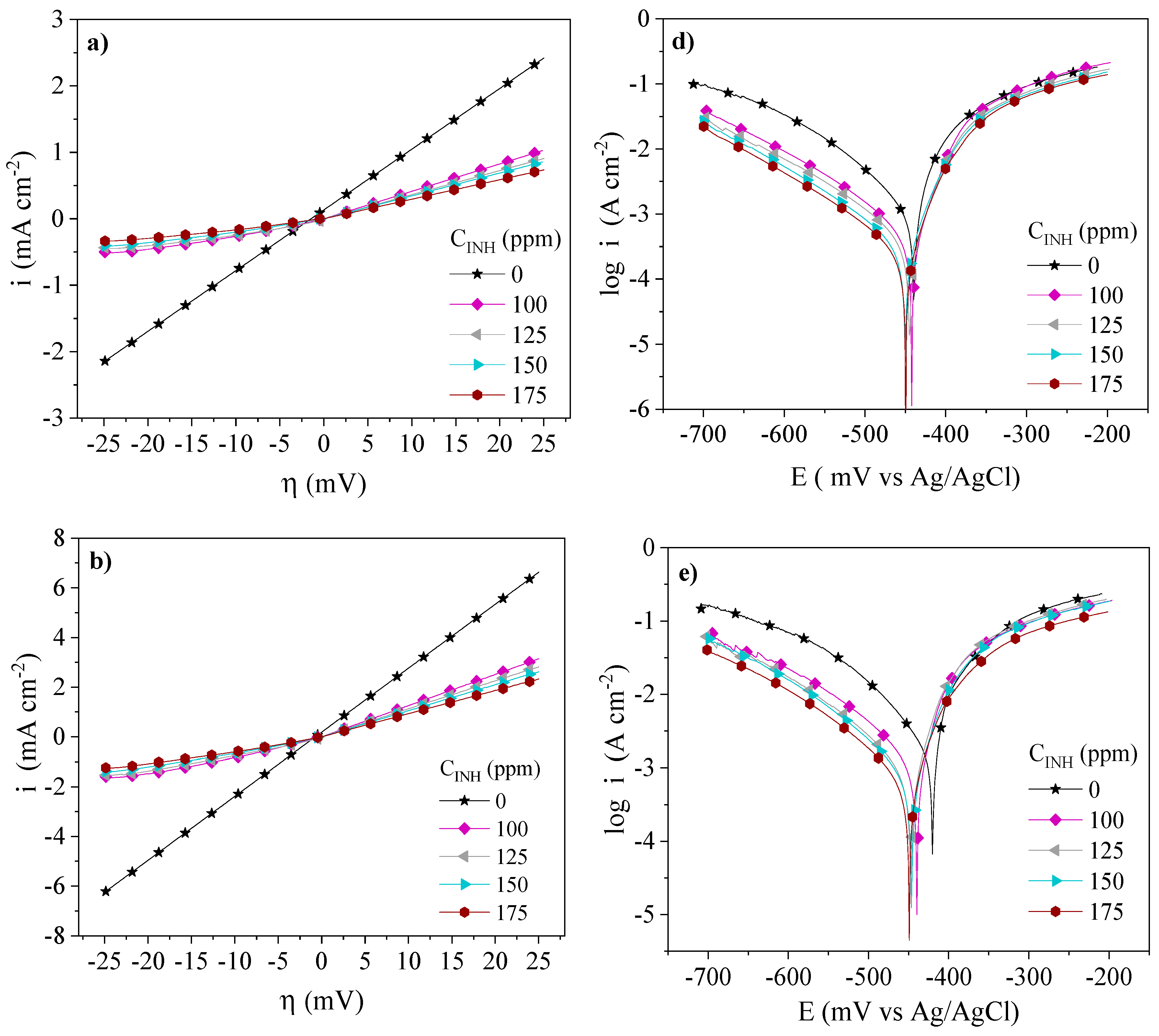
2.2. Electrochemical Measurements
2.3. Thermodynamic and Kinetic Properties
2.4. Surface Analysis
2.5. DFT Study
3. Materials and Methods
4. Conclusions
Author Contributions
Funding
Data Availability Statement
Acknowledgments
Conflicts of Interest
References
- Ardakani, E.K.; Kowsari, E.; Ehsani, A.; Ramakrishna, S. Performance of all ionic liquids as the eco-friendly and sustainable compounds in inhibiting corrosion in various media: A comprehensive review. Microchem. J. 2021, 165, 106049. [Google Scholar] [CrossRef]
- Tiu, B.D.B.; Advincula, R.C. Polymeric corrosion inhibitors for the oil and gas industry: Design principles and mechanism. React. Funct. Polym. 2015, 95, 25–45. [Google Scholar] [CrossRef]
- Zunita, M.; Kevin, Y.J. Results in Engineering Ionic liquids as corrosion inhibitor: From research and development to commercialization. Results Eng. 2022, 15, 100562. [Google Scholar] [CrossRef]
- Thirumoolan, D.; Anver BashaK, K.; Sakthinathan, S.P.; Siva, T. Corrosion protection properties of poly((benzoyl phenyl) methacrylate-co-methoxy ethylmethacrylate) coating on mild steel. J. Mol. Struct. 2022, 1264, 133186. [Google Scholar] [CrossRef]
- Ahmad, Z. Principles of Corrosion Engineering and Corrosion Control; Elsevier: Great Britain, 2006; Volume 136, pp. 23–42. [Google Scholar]
- Dhawan, S.; Bhandari, H.; Ruhi, G.; Bisht, B.M.S.; Sambyal, P. Corrosion Preventive Materials and Corrosion Testing, 1st ed.; CRC Press: New York, NY, USA, 2020; pp. 1–60. [Google Scholar]
- Yang, H.-M. Role of Organic and Eco-Friendly Inhibitors on the Corrosion Mitigation of Steel in Acidic Environments—A State-of-Art Review. Molecules 2021, 26, 3473. [Google Scholar] [CrossRef] [PubMed]
- Dayu, X.; Mingxing, L.; Ansari, K.R.; Singh, A. Synthesis of novel nano polymeric composite of zinc oxide and its application in corrosion inhibition of tubular steel in sweet corrosive medium. J. Mol. Liq. 2022, 359, 119327. [Google Scholar] [CrossRef]
- Kamal Ardakani, E.; Kowsari, E.; Ehsani, A. Imidazolium-derived polymeric ionic liquid as a green inhibitor for corrosion inhibition of mild steel in 1.0 M HCl: Experimental and computational study. Colloids Surf. A 2020, 586, 124195. [Google Scholar] [CrossRef]
- Li, H.; Zhang, Y.; Li, C.; Zhou, Z.; Nie, X.; Chen, Y.; Cao, H.; Liu, B.; Zhang, N.; Said, Z.; et al. Cutting fluid corrosion inhibitors from inorganic to organic: Progress and applications. Korean J. Chem. Eng. 2022, 39, 1107–1134. [Google Scholar] [CrossRef]
- Aslam, J.; Aslam, R. 21-Corrosion inhibitors for high temperature corrosion in oil and gas industry. In Environmentally Sustainable Corrosion Inhibitors Fundamentals and Industrial Applications, Hussain, C.M., Verma, C., Aslam, J.B.T., Eds.; Elsevier: Amsterdam, The Netherlands, 2022; pp. 423–437. [Google Scholar]
- Goni, L.K.M.O.; Jafar Mazumder, M.A.; Tripathy, D.B.; Quraishi, M.A. Acridine and Its Derivatives: Synthesis, Biological, and Anticorrosion Properties. Materials 2022, 15, 7560. [Google Scholar] [CrossRef]
- Verma, C.; Quraishi, M.A.; Rhee, K.Y. Aqueous phase polymeric corrosion inhibitors: Recent advancements and future opportunities. J. Mol. Liq. 2022, 348, 118387. [Google Scholar] [CrossRef]
- Shehata, O.S.; Korshed, L.A.; Attia, A. Green Corrosion Inhibitors, Past, Present, and Future. In Corrosion Inhibitors, Principles and Recent Applications, 1st ed.; Aliofkhazraei, M., Ed.; IntechOpen: London, UK, 2018; Volume 1, pp. 121–142. [Google Scholar]
- Mecerreyes, D. Polymeric ionic liquids: Broadening the properties and applications of polyelectrolytes. Prog. Polym. Sci. 2011, 36, 1629–1648. [Google Scholar] [CrossRef]
- Shaplov, A.S.; Marcilla, R.; Mecerreyes, D. Recent Advances in Innovative Polymer Electrolytes based on Poly(ionic liquid)s. Electrochim. Acta 2015, 175, 18–34. [Google Scholar] [CrossRef]
- Qian, W.; Texter, J.; Yan, F. Frontiers in poly(ionic liquid)s: Syntheses and applications. Chem. Soc. Rev. 2017, 46, 1124–1159. [Google Scholar] [CrossRef]
- Rahiman, A.F.S.A.; Sethumanickam, S. Corrosion inhibition, adsorption and thermodynamic properties of poly(vinyl alcohol-cysteine) in molar HCl. Arab. J. Chem. 2017, 10, S3358–S3366. [Google Scholar] [CrossRef]
- Wang, J.; Liu, D.; Cao, S.; Pan, S.; Luo, H.; Wang, T.; Ding, H.; Mamba, B.B.; Gui, J. Inhibition effect of monomeric/polymerized imidazole zwitterions as corrosion inhibitors for carbon steel in acid medium. J. Mol. Liq. 2020, 312, 113436. [Google Scholar] [CrossRef]
- Odewunmi, N.A.; Solomon, M.M.; Umoren, S.A.; Ali, S.A. Comparative Studies of the Corrosion Inhibition Efficacy of a Dicationic Monomer and Its Polymer against API X60 Steel Corrosion in Simulated Acidizing Fluid under Static and Hydrodynamic Conditions. ACS Omega 2020, 5, 27057–27071. [Google Scholar] [CrossRef]
- Alaoui, K.; El-Kacimi, Y.; Galai, M.; Touir, R.; Dahmani, K.; Harfi, A.; Ebn-Touhami, M. Anti-corrosive properties of Polyvinyl-Alcohol for carbon steel in Hydrochloric acid media: Electrochemical and Thermodynamic investigation. J. Mater. Environ. Sci. 2016, 7, 2389–2403. [Google Scholar]
- Chauhan, D.S.; Srivastava, V.; Joshi, P.G.; Quraishi, M.A. PEG cross-linked Chitosan: A biomacromolecule as corrosion inhibitor for sugar industry. Int. J. Ind. Chem. 2018, 9, 363–377. [Google Scholar] [CrossRef]
- Gowraraju, N.D.; Jagadeesan, S.; Ayyasamy, K.; Olasunkanmi, L.O.; Ebenso, E.E.; Subramanian, C. Adsorption characteristics of Iota-carrageenan and Inulin biopolymers as potential corrosion inhibitors at mild steel/sulphuric acid interface. J. Mol. Liq. 2017, 232, 9–19. [Google Scholar] [CrossRef]
- Charitha, B.P.; Padmalatha, R. Carbohydrate biopolymer for corrosion control of 6061 Al-alloy and 6061Aluminum-15% (v) SiC (P) composite—Green approach. Carbohydr. Polym. 2017, 168, 337–345. [Google Scholar] [CrossRef]
- Yasir, A.H.; Khalaf, A.S.; Khalaf, M.N. Preparation and Characterization of Oligomer from Recycled PET and Evaluated as a Corrosion Inhibitor for C-Steel Material in 0.1 M HCl. Open J. Org. Polym. Mater. 2017, 07, 1–15. [Google Scholar] [CrossRef]
- Kumar, S.; Vashisht, H.; Olasunkanmi, L.O.; Bahadur, I.; Verma, H.; Goyal, M.; Singh, G.; Ebenso, E.E. Polyurethane Based Triblock Copolymers as Corrosion Inhibitors for Mild Steel in 0.5 M H2SO4. Ind. Eng. Chem. Res. 2017, 56, 441–456. [Google Scholar] [CrossRef]
- Kumar, S.; Vashisht, H.; Olasunkanmi, L.O.; Bahadur, I.; Verma, H.; Singh, G.; Obot, I.B.; Ebenso, E.E. Experimental and theoretical studies on inhibition of mild steel corrosion by some synthesized polyurethane tri-block co-polymers. Sci. Rep. 2016, 6, 30937. [Google Scholar] [CrossRef] [PubMed]
- Gómez-Sánchez, G.; Olivares-Xometl, O.; Likhanova, N.V.; Arellanes-Lozada, P.; Lijanova, I.V.; Díaz-Jiménez, V.; Guzmán-Lucero, D.; Arriola-Morales, J. Inhibition Mechanism of Some Vinylalkylimidazolium-Based Polymeric Ionic Liquids against Acid Corrosion of API 5L X60 Steel: Electrochemical and Surface Studies. ACS Omega 2022, 7, 37807–37824. [Google Scholar] [CrossRef] [PubMed]
- El Azzouzi, M.; Azzaoui, K.; Warad, I.; Hammouti, B.; Shityakov, S.; Sabbahi, R.; Saoiabi, S.; Youssoufi, M.H.; Akartasse, N.; Jodeh, S.; et al. Moroccan, Mauritania, and senegalese gum Arabic variants as green corrosion inhibitors for mild steel in HCl: Weight loss, electrochemical, AFM and XPS studies. J. Mol. Liq. 2022, 347, 118354. [Google Scholar] [CrossRef]
- Aziz, I.A.A.; Abdulkareem, M.H.; Annon, I.A.; Hanoon, M.M.; Al-Kaabi, M.H.H.; Shaker, L.M.; Alamiery, A.A.; Isahak, W.N.R.W.; Takriff, M.S. Weight Loss, Thermodynamics, SEM, and Electrochemical Studies on N-2-Methylbenzylidene-4-antipyrineamine as an Inhibitor for Mild Steel Corrosion in Hydrochloric Acid. Lubricants 2022, 10, 23. [Google Scholar] [CrossRef]
- Parajuli, D.; Sharma, S.; Oli, H.B.; Bohara, D.S.; Bhattarai, D.P.; Tiwari, A.P.; Yadav, A.P. Comparative Study of Corrosion Inhibition Efficacy of Alkaloid Extract of Artemesia vulgaris and Solanum tuberosum in Mild Steel Samples in 1 M Sulphuric Acid. Electrochem 2022, 3, 416–433. [Google Scholar] [CrossRef]
- Hegazy, M.A.; Abdallah, M.; Awad, M.K.; Rezk, M. Three novel di-quaternary ammonium salts as corrosion inhibitors for API X65 steel pipeline in acidic solution. Part I: Experimental results. Corros. Sci. 2014, 81, 54–64. [Google Scholar] [CrossRef]
- El-Lateef, H.M.A.; El-Sayed, A.-R.; Mohran, H.S.; Shilkamy, H.A.S. Corrosion inhibition and adsorption behavior of phytic acid on Pb and Pb–In alloy surfaces in acidic chloride solution. Int. J. Ind. Chem. 2019, 10, 31–47. [Google Scholar] [CrossRef]
- Konovalova, V. The effect of temperature on the corrosion rate of iron-carbon alloys. Mater. Today: Proc. 2021, 38, 1326–1329. [Google Scholar] [CrossRef]
- Wang, X.; Yang, H.; Wang, F. An investigation of benzimidazole derivative as corrosion inhibitor for mild steel in different concentration HCl solutions. Corros. Sci. 2011, 53, 113–121. [Google Scholar] [CrossRef]
- Tekaligne, T.M.; Merso, S.K.; Yang, S.-C.; Liao, S.-C.; Tsai, F.-Y.; Fenta, F.W.; Bezabih, H.K.; Shitaw, K.N.; Jiang, S.-K.; Wang, C.-H.; et al. Corrosion inhibition of aluminum current collector by a newly synthesized 5-formyl-8-hydroxyquinoline for aqueous-based battery. J. Power Sources 2022, 550, 232142. [Google Scholar] [CrossRef]
- Thakur, A.; Kaya, S.; Abousalem, A.S.; Kumar, A. Experimental, DFT and MC simulation analysis of Vicia Sativa weed aerial extract as sustainable and eco-benign corrosion inhibitor for mild steel in acidic environment. Sustain. Chem. Pharm. 2022, 29, 100785. [Google Scholar] [CrossRef]
- Wang, J.; Wang, J.; Ming, H.; Zhang, Z.; Han, E.-H. Effect of temperature on corrosion behavior of alloy 690 in high temperature hydrogenated water. J. Mater. Sci. Technol. 2018, 34, 1419–1427. [Google Scholar] [CrossRef]
- Porcayo-Calderon, J.; Casales-Diaz, M.; Rivera-Grau, L.M.; Ortega-Toledo, D.M.; Ascencio-Gutierrez, J.A.; Martinez-Gomez, L. Effect of the Diesel, Inhibitor, and CO2Additions on the Corrosion Performance of 1018 Carbon Steel in 3% NaCl Solution. J. Chem. 2014, 2014, 940579. [Google Scholar] [CrossRef]
- Arellanes-Lozada, P.; Díaz-Jiménez, V.; Hernández-Cocoletzi, H.; Nava, N.; Olivares-Xometl, O.; Likhanova, N.V. Corrosion inhibition properties of iodide ionic liquids for API 5L X52 steel in acid medium. Corros. Sci. 2020, 175, 108888. [Google Scholar] [CrossRef]
- Singh, A.; Lin, Y.; Ansari, K.R.; Quraishi, M.A.; Ebenso, E.E.; Chen, S.; Liu, W. Electrochemical and surface studies of some Porphines as corrosion inhibitor for J55 steel in sweet corrosion environment. Appl. Surf. Sci. 2015, 359, 331–339. [Google Scholar] [CrossRef]
- Farag, A.A.; El-Din, M.N. The adsorption and corrosion inhibition of some nonionic surfactants on API X65 steel surface in hydrochloric acid. Corros. Sci. 2012, 64, 174–183. [Google Scholar] [CrossRef]
- Luna, M.C.; Le Manh, T.; Sierra, R.C.; Flores, J.V.M.; Rojas, L.L.; Estrada, E.M.A. Study of corrosion behavior of API 5L X52 steel in sulfuric acid in the presence of ionic liquid 1-ethyl 3-methylimidazolium thiocyanate as corrosion inhibitor. J. Mol. Liq. 2019, 289, 111106. [Google Scholar] [CrossRef]
- Wang, J.; Huang, Q.-A.; Li, W.; Wang, J.; Bai, Y.; Zhao, Y.; Li, X.; Zhang, J. Insight into the origin of pseudo peaks decoded by the distribution of relaxation times/differential capacity method for electrochemical impedance spectroscopy. J. Electroanal. Chem. 2022, 910, 116176. [Google Scholar] [CrossRef]
- Iurilli, P.; Brivio, C.; Wood, V. Detection of Lithium-Ion Cells’ Degradation through Deconvolution of Electrochemical Impedance Spectroscopy with Distribution of Relaxation Time. Energy Technol. 2022, 10, 202200547. [Google Scholar] [CrossRef]
- Popova, A.; Vasilev, A.; Deligeorgiev, T. Evaluation of the Electrochemical Impedance Measurement of Mild Steel Corrosion in an Acidic Medium, in the Presence of Quaternary Ammonium Bromides. Port. Electrochimica Acta 2018, 36, 423–435. [Google Scholar] [CrossRef]
- Singh, A.; Ansari, K.R.; Chauhan, D.S.; Quraishi, M.A.; Lgaz, H.; Chung, I.-M. Comprehensive investigation of steel corrosion inhibition at macro/micro level by ecofriendly green corrosion inhibitor in 15% HCl medium. J. Colloid Interface Sci. 2020, 560, 225–236. [Google Scholar] [CrossRef] [PubMed]
- Díaz-Jiménez, V.; Arellanes-Lozada, P.; Likhanova, N.V.; Olivares-Xometl, O.; Chigo-Anota, E.; Lijanova, I.V.; Gómez-Sánchez, G.; Verpoort, F. Investigation of Sulfonium-Iodide-Based Ionic Liquids to Inhibit Corrosion of API 5L X52 Steel in Different Flow Regimes in Acid Medium. ACS Omega 2022, 7, 42975–42993. [Google Scholar] [CrossRef] [PubMed]
- Sun, F.; Peng, X.; Bai, X.; Chen, Z.; Xie, R.; He, B.; Han, P. EIS analysis of the electrochemical characteristics of the metal–water interface under the effect of temperature. RSC Adv. 2022, 12, 16979–16990. [Google Scholar] [CrossRef]
- Ogunleye, O.O.; Arinkoola, A.O.; Eletta, O.A.; Agbede, O.O.; Osho, Y.A.; Morakinyo, A.F.; Hamed, J.O. Green corrosion inhibition and adsorption characteristics of Luffa cylindrica leaf extract on mild steel in hydrochloric acid environment. Heliyon 2020, 6, e03205. [Google Scholar] [CrossRef]
- Fernandes, C.M.; Alvarez, L.X.; dos Santos, N.E.; Barrios, A.C.M.; Ponzio, E.A. Green synthesis of 1-benzyl-4-phenyl-1H-1,2,3-triazole, its application as corrosion inhibitor for mild steel in acidic medium and new approach of classical electrochemical analyses. Corros. Sci. 2019, 149, 185–194. [Google Scholar] [CrossRef]
- Khan, M.A.; Wabaidur, S.M.; Siddiqui, M.R.; Alqadami, A.A.; Khan, A.H. Silico-manganese fumes waste encapsulated cryogenic alginate beads for aqueous environment de-colorization. J. Clean. Prod. 2020, 244, 118867. [Google Scholar] [CrossRef]
- Foo, K.Y.; Hameed, B.H. Insights into the modeling of adsorption isotherm systems. Chem. Eng. J. 2010, 156, 2–10. [Google Scholar] [CrossRef]
- Papavinasam, S. Corrosion Inhibitors, 3rd ed.; Revie, R.W., Ed.; John Wiley & Sons: Toronto, ON, Canada, 2011; pp. 1021–1032. [Google Scholar]
- Khadom, A.A.; Abd, A.N.; Ahmed, N.A. Xanthium strumarium leaves extracts as a friendly corrosion inhibitor of low carbon steel in hydrochloric acid: Kinetics and mathematical studies. S. Afr. J. Chem. Eng. 2018, 25, 13–21. [Google Scholar] [CrossRef]
- Achary, G.; Naik, Y.A.; Kumar, S.V.; Venkatesha, T.V.; Sherigara, B.S. An electroactive co-polymer as corrosion inhibitor for steel in sulphuric acid medium. Appl. Surf. Sci. 2008, 254, 5569–5573. [Google Scholar] [CrossRef]
- Yadav, D.K.; Maiti, B.; Quraishi, M.A. Electrochemical and quantum chemical studies of 3,4-dihydropyrimidin-2(1H)-ones as corrosion inhibitors for mild steel in hydrochloric acid solution. Corros. Sci. 2010, 52, 3586–3598. [Google Scholar] [CrossRef]
- Döner, A.; Solmaz, R.; Özcan, M.; Kardaş, G. Experimental and theoretical studies of thiazoles as corrosion inhibitors for mild steel in sulphuric acid solution. Corros. Sci. 2011, 53, 2902–2913. [Google Scholar] [CrossRef]
- Noor, E.A.; Al-Moubaraki, A.H. Thermodynamic study of metal corrosion and inhibitor adsorption processes in mild steel/1-methyl-4[4′(-X)-styryl pyridinium iodides/hydrochloric acid systems. Mater. Chem. Phys. 2008, 110, 145–154. [Google Scholar] [CrossRef]
- Ammal, P.R.; Prajila, M.; Joseph, A. Effect of substitution and temperature on the corrosion inhibition properties of benzimidazole bearing 1, 3, 4-oxadiazoles for mild steel in sulphuric acid: Physicochemical and theoretical studies. J. Environ. Chem. Eng. 2018, 6, 1072–1085. [Google Scholar] [CrossRef]
- Feng, L.; Zhang, S.; Qiang, Y.; Xu, S.; Tan, B.; Chen, S. The synergistic corrosion inhibition study of different chain lengths ionic liquids as green inhibitors for X70 steel in acidic medium. Mater. Chem. Phys. 2018, 215, 229–241. [Google Scholar] [CrossRef]
- Solomon, M.M.; Umoren, S.A.; Quraishi, M.A.; Mazumder, M.A.J. Corrosion inhibition of N80 steel in simulated acidizing environment by N-(2-(2-pentadecyl-4,5-dihydro-1H-imidazol-1-YL) ethyl) palmitamide. J. Mol. Liq. 2018, 273, 476–487. [Google Scholar] [CrossRef]
- Rani, S.; Sud, D. Effect of temperature on adsorption-desorption behaviour of triazophos in Indian soils. Plant Soil Environ. 2015, 61, 36–42. [Google Scholar] [CrossRef]
- Shukla, S.K.; Ebenso, E.E. Corrosion Inhibition, Adsorption Behavior and Thermodynamic Properties of Streptomycin on Mild Steel in Hydrochloric Acid Medium. Int. J. Electrochem. Sci. 2011, 6, 3277–3291. [Google Scholar]
- Zheng, X.; Zhang, S.; Li, W.; Yin, L.; He, J.; Wu, J. Investigation of 1-butyl-3-methyl-1H-benzimidazolium iodide as inhibitor for mild steel in sulfuric acid solution. Corros. Sci. 2014, 80, 383–392. [Google Scholar] [CrossRef]
- Ladha, D.G.; Shah, N.K.; Ghelichkhah, Z.; Obot, I.B.; Dehkharghani, F.K.; Yao, J.-Z.; Macdonald, D.D. Experimental and computational evaluation of illicium verum as a novel eco-friendly corrosion inhibitor for aluminium. Mater. Corros. 2017, 69, 125–139. [Google Scholar] [CrossRef]
- Cui, M.; Yu, Y.; Zheng, Y. Effective Corrosion Inhibition of Carbon Steel in Hydrochloric Acid by Dopamine-Produced Carbon Dots. Polymers 2021, 13, 1923. [Google Scholar] [CrossRef]
- ASTM G102-89; Standard Practice for Calculation of Corrosion Rates and Related Information from Electrochemical Measurements. ASTM International: West Conshohocken, PA, USA, 2004; pp. 1–7.
- Shivakumar, S.S.; Mohana, K.N. Corrosion Behavior and Adsorption Thermodynamics of Some Schiff Bases on Mild Steel Corrosion in Industrial Water Medium. Int. J. Corros. 2013, 2013, 543204. [Google Scholar] [CrossRef]
- Saraswat, V.; Yadav, M. Improved corrosion resistant performance of mild steel under acid environment by novel carbon dots as green corrosion inhibitor. Colloids Surfaces A: Physicochem. Eng. Asp. 2021, 627, 127172. [Google Scholar] [CrossRef]
- Jadaa, R.J.; Abd, A.N.; Khadom, A.A. Polyacrylamide as a corrosion inhibitor for mild steel in 2 M phosphoric acid: Experimental and theoretical studies. Chem. Pap. 2021, 75, 5375–5386. [Google Scholar] [CrossRef]
- Znini, M.; Ansari, A.; Costa, J.; Senhaji, O.; Paolini, J.; Majidi, L. Experimental, Quantum Chemical and Molecular Dynamic Simulations Studies on the Corrosion Inhibition of C38 Steel in 1M HCl by Anethum graveolens Essential Oil. Anal. Bioanal. Electrochem. 2019, 11, 1426–1451. [Google Scholar]
- Toghan, A.; Fawzy, A.; Al Bahir, A.; Alqarni, N.; Sanad, M.M.S.; Khairy, M.; Alakhras, A.I.; Farag, A.A. Computational Foretelling and Experimental Implementation of the Performance of Polyacrylic Acid and Polyacrylamide Polymers as Eco-Friendly Corrosion Inhibitors for Copper in Nitric Acid. Polymers 2022, 14, 4802. [Google Scholar] [CrossRef] [PubMed]
- Kumari, L.; Gupta, S.; Singh, I.; Prasad, O.; Sinha, L.; Gupta, M. Thermodynamic, spectroscopic and DFT studies of binary mixtures of poly(vinylpyrrolidone) (PVP) with ethanol, 1-propanol and 1-butanol. J. Mol. Liq. 2020, 299, 112237. [Google Scholar] [CrossRef]
- Cui, F.; Ni, Y.; Jiang, J.; Ni, L.; Wang, Z. Experimental and theoretical studies of five imidazolium-based ionic liquids as corrosion inhibitors for mild steel in H2S and HCl solutions. Chem. Eng. Commun. 2021, 208, 1580–1593. [Google Scholar] [CrossRef]
- ASTM G31-72; Standard Practice for Laboratory Immersion Corrosion Testing of Metals. ASTM International: West Conshohocken, PA, USA, 2004; pp. 1–8.
- ASTM G1-03; Standard Practice for Preparing, Cleaning, and Evaluating Corrosion Test Specimens. ASTM International: West Conshohocken, PA, USA, 2017; pp. 1–9.
- Olivares-Xometl, O.; Álvarez-Álvarez, E.; Likhanova, N.V.; Lijanova, I.V.; Hernández-Ramírez, R.E.; Arellanes-Lozada, P.; Varela-Caselis, J.L. Synthesis and corrosion inhibition mechanism of ammonium-based ionic liquids on API 5L X60 steel in sulfuric acid solution. J. Adhes. Sci. Technol. 2017, 32, 1092–1113. [Google Scholar] [CrossRef]
- ASTM G59-97; Standard Test Method for Conducting Potentiodynamic Polarization Resistance Measurements. ASTM International: West Conshohocken, PA, USA, 2014; pp. 1–4.
- ASTM G106-89; Standard Practice for Verification of Algorithm and Equipment for Electrochemical Impedance Measurements. ASTM International: West Conshohocken, PA, USA, 1999; pp. 1–11.
- ASTM G16-13; Standard Guide for Applying Statistics to Analysis of Corrosion Data. ASTM International: West Conshohocken, PA, USA, 2019; pp. 1–14.
- Likhanova, N.V.; Domínguez-Aguilar, M.A.; Olivares-Xometl, O.; Nava-Entzana, N.; Arce, E.; Dorantes, H. The effect of ionic liquids with imidazolium and pyridinium cations on the corrosion inhibition of mild steel in acidic environment. Corros. Sci. 2010, 52, 2088–2097. [Google Scholar] [CrossRef]
- Sastri, V.S.; Ghali, E.; Elboujdaini, M. Corrosion Prevention and Protection: Practical Solutions, 1st ed.; John Wiley & Sons: West Sussex, UK, 2007; pp. 1–551. [Google Scholar]
- Frisch, M.J.; Trucks, G.W.; Schlegel, H.B.; Scuseria, G.E.; Robb, M.A.; Cheeseman, J.R.; Scalmani, G.; Barone, V.; Mennucci, B.; Petersson, G.A.; et al. Gaussian 09, Revision D.01; Gaussian, Inc.: Wallingford, CT, USA, 2013. [Google Scholar]






















| Polymers | Metal/Medium | C (ppm): T (K)/IE (%) | Ref. |
|---|---|---|---|
![]() | Carbon steel/ 0.5 M HCl | 500 ppm: 298 K/97.0% 333 K/76.8% | [19] |
![]() | API X60 steel/ 15 wt.% HCl solution | 1000 ppm: 298 K/79% 363 K/72% | [20] |
![]() | Carbon steel/1 M HCl | 200 ppm: 298 K/93% 328 K/80% | [21] |
![]() | Mild steel/ 1 M sulfamic acid | 250 ppm: 308 K/90% 338 K/59% | [22] |
![]() | Mild steel/ 0.5 M H2SO4 | 1000 ppm: 303 K/76.73% 333 K/59.31% | [23] |
| 6061Aluminum alloy/ 0.025 M HCl | 1000 ppm: 303 K/93.9% 323 K/78.4% | [24] | |
![]() | Carbon steel/ 0.1 M HCl | 50 ppm: 298 K/95.3% 328 K/86.0% | [25] |
![]() | Mild steel/ 0.5 M H2SO4 | 1200 ppm: 298 K/98% 328 K/60% | [26] |
| 1600 ppm: 298 K/98.23% 328 K/69.09% | [27] |
| CI | CINH | Vcorr (mm Year−1) | IEWL (%) | ||||||
|---|---|---|---|---|---|---|---|---|---|
| (ppm) | 298 K | 308 K | 318 K | 328 K | 298 K | 308 K | 318 K | 328 K | |
| Blank | 0 | 14.08 ± 2.53 | 37.85 ± 3.20 | 103.51 ± 3.57 | 165.77 ± 5.24 | – | – | – | – |
| Poly[VIMC4] [Im] | 100 | 4.55 ± 0.20 | 11.66 ± 0.42 | 32.80 ± 3.05 | 79.71 ± 3.76 | 67.9 ± 5.9 | 69.2 ± 2.8 | 68.3 ± 3.1 | 51.9 ± 2.7 |
| 125 | 4.50 ± 0.19 | 10.97 ± 0.55 | 29.71 ± 1.24 | 72.49 ± 4.75 | 68.2 ± 5.9 | 71.0 ± 2.9 | 71.3 ± 1.6 | 56.3 ± 3.2 | |
| 150 | 4.44 ± 0.26 | 9.87 ± 0.42 | 27.88 ± 0.80 | 59.83 ± 2.98 | 68.7 ± 5.9 | 73.9 ± 2.5 | 73.1 ± 1.2 | 63.9 ± 2.1 | |
| 175 | 3.31 ± 0.09 | 8.25 ± 0.67 | 26.67 ± 1.15 | 52.26 ± 1.54 | 76.6 ± 4.3 | 77.3 ± 2.6 | 74.2 ± 1.4 | 68.5 ± 1.4 | |
| Poly[VIMC2] [Br] | 100 | 4.24 ± 0.21 | 18.35 ± 0.72 | 77.50 ± 3.36 | 128.25 ± 5.07 | 70.1 ± 5.6 | 51.5 ± 4.5 | 25.1 ± 4.1 | 22.6 ± 3.9 |
| 125 | 3.77 ± 0.12 | 17.80 ± 1.15 | 64.42 ± 3.03 | 118.69 ± 4.80 | 73.4 ± 4.9 | 53.0 ± 5.0 | 37.8 ± 3.6 | 28.4 ± 3.7 | |
| 150 | 3.56 ± 0.26 | 16.16 ± 0.76 | 60.90 ± 3.10 | 110.55 ± 5.13 | 74.9 ± 4.9 | 60.2 ± 3.9 | 41.2 ± 3.6 | 33.3 ± 3.7 | |
| 175 | 3.24 ± 0.18 | 14.46 ± 0.66 | 56.79 ± 4.65 | 103.65 ± 1.04 | 77.1 ± 4.3 | 61.8 ± 3.7 | 45.1 ± 4.9 | 37.5 ± 2.1 | |
| Poly[VIMC4] [Br] | 100 | 5.22 ± 0.19 | 13.28 ± 0.46 | 43.39 ± 1.65 | 122.25 ± 5.57 | 63.1 ± 6.8 | 64.9 ± 3.2 | 58.1 ± 2.2 | 26.3 ± 4.1 |
| 125 | 2.97 ± 0.15 | 13.01 ± 0.45 | 39.17 ± 1.34 | 110.75 ± 2.98 | 79.1 ± 3.9 | 65.6 ± 3.1 | 62.2 ± 1.8 | 33.2 ± 2.8 | |
| 150 | 2.65 ± 0.22 | 12.79 ± 0.55 | 36.31 ± 1.39 | 91.80 ± 2.60 | 79.8 ± 4.0 | 66.2 ± 3.1 | 64.9 ± 1.8 | 44.6 ± 2.4 | |
| 175 | 2.53 ± 0.11 | 12.33 ± 0.62 | 32.55 ± 2.35 | 83.60 ± 4.72 | 81.1 ± 3.5 | 67.4 ± 3.0 | 68.6 ± 2.5 | 49.4 ± 3.3 | |
| T | CI | CINH | Rp | –βC | –Ecorr | icorr | IE |
|---|---|---|---|---|---|---|---|
| (K) | (ppm) | (Ω cm2) | (mV dec−1) | (mV) | (µA cm−2) | (%) | |
| 308 | Blank | 0 | 12.2 ± 0.4 | 123 ± 2 | 439 ± 2 | 1276 ± 26 | – |
| Poly [VIMC4][Im] | 100 | 31.0 ± 1.2 | 128 ± 7 | 444 ± 3 | 425 ± 19 | 67 ± 2 | |
| 125 | 35.0 ± 0.8 | 127 ± 4 | 446 ± 3 | 383 ± 16 | 70 ± 1 | ||
| 150 | 38.0 ± 1.5 | 128 ± 8 | 447 ± 3 | 349 ± 19 | 73 ± 2 | ||
| 175 | 45.1 ± 1.5 | 133 ± 2 | 449 ± 1 | 319 ± 17 | 75 ± 1 | ||
| Poly [VIMC2][Br] | 100 | 30.0 ± 0.9 | 113 ± 2 | 451 ± 0 | 516 ± 19 | 60 ± 2 | |
| 125 | 33.3 ± 0.7 | 108 ± 1 | 449 ± 2 | 466 ± 19 | 63 ± 2 | ||
| 150 | 36.4 ± 0.9 | 113 ± 0 | 452 ± 2 | 409 ± 13 | 68 ± 1 | ||
| 175 | 40.0 ± 0.5 | 115 ± 3 | 451 ± 1 | 386 ± 08 | 70 ± 1 | ||
| Poly [VIMC4][Br] | 100 | 30.8 ± 0.5 | 111 ± 2 | 453 ± 1 | 469 ± 15 | 63 ± 1 | |
| 125 | 36.4 ± 0.6 | 113 ± 1 | 452 ± 1 | 456 ± 24 | 64 ± 2 | ||
| 150 | 38.8 ± 1.0 | 115 ± 4 | 452 ± 1 | 433 ± 10 | 66 ± 1 | ||
| 175 | 42.9 ± 1.6 | 111 ± 3 | 452 ± 1 | 373 ± 13 | 71 ± 1 | ||
| 318 | Blank | 0 | 3.8 ± 0.1 | 110 ± 2 | 420 ± 1 | 2282 ± 23 | - |
| Poly [VIMC4][Im] | 100 | 10.0 ± 0.6 | 115 ± 6 | 442 ± 3 | 990 ± 26 | 57 ± 1 | |
| 125 | 11.0 ± 0.7 | 109 ± 8 | 442 ± 5 | 861 ± 19 | 62 ± 1 | ||
| 150 | 12.0 ± 0.6 | 112 ± 6 | 442 ± 4 | 854 ± 19 | 63 ± 1 | ||
| 175 | 13.5 ± 0.8 | 122 ± 6 | 448 ± 1 | 721 ± 23 | 68 ± 1 | ||
| Poly [VIMC2][Br] | 100 | 8.2 ± 0.3 | 99 ± 5 | 445 ± 1 | 1226 ± 24 | 46 ± 1 | |
| 125 | 8.6 ± 0.7 | 104 ± 4 | 447 ± 1 | 1161 ± 20 | 49 ± 1 | ||
| 150 | 9.2 ± 0.3 | 95 ± 4 | 445 ± 3 | 1072 ± 22 | 53 ± 1 | ||
| 175 | 10.5 ± 0.5 | 101 ± 4 | 448 ± 0 | 925 ± 23 | 59 ± 1 | ||
| Poly [VIMC4][Br] | 100 | 8.3 ± 0.2 | 100 ± 1 | 450 ± 1 | 1155 ± 14 | 49 ± 1 | |
| 125 | 9.1 ± 0.3 | 105 ± 11 | 449 ± 2 | 1077 ± 22 | 53 ± 1 | ||
| 150 | 10.0 ± 0.3 | 107 ± 6 | 451 ± 1 | 1004 ± 21 | 56 ± 1 | ||
| 175 | 12.0 ± 0.5 | 99 ± 4 | 452 ± 1 | 877 ± 17 | 62 ± 1 | ||
| 328 | Blank | 0 | 2.0 ± 0.1 | 139 ± 3 | 420 ± 3 | 6467 ± 29 | - |
| Poly [VIMC4][Im] | 100 | 3.8 ± 0.4 | 129 ± 10 | 437 ± 2 | 3356 ± 30 | 48 ± 1 | |
| 125 | 4.4 ± 0.3 | 133 ± 6 | 436 ± 2 | 3147 ± 55 | 51 ± 1 | ||
| 150 | 5.0 ± 0.2 | 132 ± 9 | 438 ± 1 | 2837 ± 23 | 56 ± 1 | ||
| 175 | 5.6 ± 0.3 | 136 ± 7 | 445 ± 4 | 2659 ± 16 | 59 ± 1 | ||
| Poly [VIMC2][Br] | 100 | 2.5 ± 0.2 | 99 ± 8 | 444 ± 3 | 4922 ± 21 | 24 ± 1 | |
| 125 | 2.8 ± 0.3 | 98 ± 3 | 443 ± 1 | 4788 ± 15 | 26 ± 1 | ||
| 150 | 3.0 ± 0.1 | 118 ± 9 | 448 ± 0 | 4547 ± 12 | 30 ± 1 | ||
| 175 | 3.3 ± 0.4 | 130 ± 4 | 451 ± 4 | 4173 ± 20 | 35 ± 1 | ||
| Poly [VIMC4][Br] | 100 | 2.9 ± 0.1 | 119 ± 4 | 439 ± 2 | 5113 ± 10 | 21 ± 1 | |
| 125 | 3.1 ± 0.1 | 122 ± 10 | 442 ± 2 | 4752 ± 48 | 27 ± 1 | ||
| 150 | 3.3 ± 0.1 | 127 ± 3 | 445 ± 3 | 4299 ± 11 | 34 ± 1 | ||
| 175 | 3.5 ± 0.1 | 133 ± 3 | 451 ± 5 | 3876 ± 30 | 40 ± 1 |
| T | CI | CINH | χ2 | Rs | Rf | Cf | Rct | Y0 | n | Cdl | τdl | RL | L | RpEIS | IEEIS |
|---|---|---|---|---|---|---|---|---|---|---|---|---|---|---|---|
| K | (ppm) | (Ω cm2) | (µF cm−2) | (Ω cm2) | (µS sn cm−2) | (µF cm−2) | (ms) | (Ω cm2) | (H cm2) | (Ω cm2) | (%) | ||||
| 308 | Blank | 0 | 0.087 | 3.18 ± 0 | 3.90 ± 0.00 | 0.112 ± 0.001 | 12 ± 1 | 363 ± 7 | 0.88 | 177 ± 4 | 2.09 ± 0.05 | 55 ± 3 | 2 ± 1 | 16.8 ± 0.4 | – |
| Poly | 100 | 0.018 | 3.18 ± 0 | 3.92 ± 0.01 | 0.126 ± 0.001 | 50 ± 0 | 346 ± 12 | 0.81 | 131 ± 4 | 6.60 ± 0.17 | 210 ± 4 | 79 ± 2 | 47.8 ± 0.3 | 64.8 ± 0.2 | |
| [VIMC4][Im] | 125 | 0.016 | 3.18 ± 0 | 3.99 ± 0.05 | 0.130 ± 0.002 | 52 ± 0 | 376 ± 15 | 0.80 | 138 ± 4 | 7.12 ± 0.17 | 213 ± 3 | 85 ± 3 | 48.7 ± 0.1 | 65.5 ± 0.1 | |
| 150 | 0.02 | 3.18 ± 0 | 4.13 ± 0.09 | 0.116 ± 0.002 | 56 ± 2 | 364 ± 27 | 0.80 | 133 ± 5 | 7.51 ± 0.03 | 231 ± 14 | 95 ± 9 | 52.6 ± 1.7 | 68.0 ± 1.0 | ||
| 175 | 0.021 | 3.18 ± 0 | 4.14 ± 0.05 | 0.115 ± 0.000 | 69 ± 0 | 340 ± 8 | 0.80 | 129 ± 2 | 8.94 ± 0.12 | 292 ± 8 | 140 ± 2 | 63.3 ± 0.4 | 73.5 ± 0.2 | ||
| Poly | 100 | 0.087 | 3.18 ± 0 | 3.90 ± 0.03 | 0.108 ± 0.002 | 36 ± 2 | 404 ± 8 | 0.81 | 151 ± 8 | 5.35 ± 0.04 | 152 ± 8 | 45 ± 1 | 35.8 ± 1.0 | 53.1 ± 1.9 | |
| [VIMC2][Br] | 125 | 0.025 | 3.18 ± 0 | 3.81 ± 0.02 | 0.123 ± 0.001 | 39 ± 0 | 385 ± 10 | 0.81 | 146 ± 3 | 5.64 ± 0.13 | 171 ± 7 | 59 ± 3 | 38.4 ± 0.5 | 56.2 ± 0.5 | |
| 150 | 0.031 | 3.18 ± 0 | 3.95 ± 0.11 | 0.117 ± 0.004 | 42 ± 2 | 370 ± 20 | 0.81 | 142 ± 8 | 5.96 ± 0.01 | 186 ± 6 | 63 ± 6 | 41.5 ± 1.5 | 59.4 ± 1.6 | ||
| 175 | 0.100 | 3.18 ± 0 | 3.84 ± 0.01 | 0.083 ± 0.003 | 47 ± 2 | 377 ± 29 | 0.81 | 148 ± 9 | 6.99 ± 0.25 | 211 ± 21 | 112 ± 3 | 45.6 ± 1.9 | 63.1 ± 1.5 | ||
| Poly | 100 | 0.035 | 3.18 ± 0 | 3.81 ± 0.02 | 0.116 ± 0.001 | 40 ± 1 | 359 ± 2 | 0.86 | 142 ± 5 | 5.67 ± 0.25 | 179 ± 5 | 61 ± 1 | 39.6 ± 0.4 | 57.6 ± 0.4 | |
| [VIMC4][Br] | 125 | 0.055 | 3.18 ± 0 | 3.85 ± 0.01 | 0.114 ± 0.006 | 43 ± 1 | 345 ± 8 | 0.84 | 136 ± 1 | 5.89 ± 0.10 | 191 ± 5 | 69 ± 3 | 41.9 ± 1.2 | 59.9 ± 1.1 | |
| 150 | 0.060 | 3.18 ± 0 | 3.82 ± 0.01 | 0.103 ± 0.002 | 46 ± 2 | 347 ± 12 | 0.81 | 138 ± 4 | 6.36 ± 0.21 | 209 ± 10 | 77 ± 2 | 44.8 ± 1.7 | 62.5 ± 1.5 | ||
| 175 | 0.027 | 3.18 ± 0 | 3.81 ± 0.03 | 0.113 ± 0.001 | 55 ± 2 | 336 ± 13 | 0.81 | 135 ± 4 | 7.39 ± 0.13 | 273 ± 12 | 87 ± 6 | 52.6 ± 2.0 | 68.0 ± 1.2 | ||
| 318 | Blank | 0 | 0.044 | 3.18 ± 0 | 3.84 ± 0.08 | 0.106 ± 0.005 | 3 ± 0 | 696 ± 14 | 0.90 | 350 ± 7 | 1.13 ± 0.01 | 16 ± 1 | 1 ± 0 | 9.7 ± 0.1 | - |
| Poly [VIMC4][Im] | 100 | 0.020 | 2.42 ± 0.05 | 3.18 ± 0.05 | 0.218 ± 0.007 | 21 ± 0 | 540 ± 15 | 0.79 | 165 ± 5 | 3.39 ± 0.05 | 82 ± 1 | 17 ± 2 | 22.0 ± 0.1 | 55.8 ± 0.3 | |
| 125 | 0.018 | 2.41 ± 0.03 | 3.17 ± 0.03 | 0.231 ± 0.007 | 22 ± 0 | 559 ± 8 | 0.78 | 167 ± 3 | 3.65 ± 0.03 | 85 ± 1 | 16 ± 0 | 23 ± 0.2 | 57.6 ± 0 | ||
| 150 | 0.029 | 2.63 ± 0.01 | 3.55 ± 0.04 | 0.194 ± 0.003 | 25 ± 2 | 535 ± 8 | 0.78 | 161 ± 8 | 4.05 ± 0.09 | 99 ± 8 | 14 ± 3 | 26.3 ± 1.5 | 62.9 ± 2.1 | ||
| 175 | 0.021 | 2.68 ± 0.06 | 3.61 ± 0.05 | 0.157 ± 0.005 | 29 ± 2 | 514 ± 29 | 0.78 | 156 ± 5 | 4.49 ± 0.11 | 107 ± 7 | 25 ± 3 | 29.0 ± 1.4 | 66.4 ± 1.6 | ||
| Poly [VIMC2][Br] | 100 | 0.035 | 3.18 ± 0.00 | 3.87 ± 0.03 | 0.128 ± 0.001 | 14 ± 0 | 639 ± 6 | 0.80 | 202 ± 11 | 2.78 ± 0.08 | 56 ± 4 | 9 ± 2 | 18.1 ± 0.4 | 46.2 ± 1.1 | |
| 125 | 0.026 | 3.18 ± 0.00 | 3.87 ± 0.01 | 0.125 ± 0.004 | 14 ± 0 | 592 ± 28 | 0.81 | 198 ± 8 | 2.81 ± 0.10 | 59 ± 1 | 9 ± 0 | 18.5 ± 0.1 | 47.3 ± 0.3 | ||
| 150 | 0.042 | 3.18 ± 0.00 | 3.81 ± 0.0 | 0.138 ± 0.002 | 16 ± 0 | 706 ± 11 | 0.79 | 216 ± 3 | 3.50 ± 0.05 | 59 ± 2 | 3 ± 0 | 19.7 ± 0.1 | 50.6 ± 0.2 | ||
| 175 | 0.039 | 3.18 ± 0.00 | 3.82 ± 0.04 | 0.118 ± 0.003 | 19 ± 1 | 584 ± 8 | 0.81 | 185 ± 5 | 3.45 ± 0.09 | 90 ± 10 | 12 ± 1 | 22.5 ± 0.9 | 56.6 ± 1.7 | ||
| Poly [VIMC4][Br] | 100 | 0.027 | 3.18 ± 0.00 | 3.91 ± 0.03 | 0.122 ± 0.00 | 13 ± 0 | 641 ± 13 | 0.81 | 206 ± 4 | 2.58 ± 0.03 | 51 ± 0 | 7 ± 0 | 17.1 ± 0.2 | 43.2 ± 0.8 | |
| 125 | 0.030 | 3.18 ± 0.00 | 3.95 ± 0.05 | 0.128 ± 0.003 | 13 ± 0 | 611 ± 11 | 0.81 | 189 ± 2 | 2.46 ± 0.04 | 53 ± 7 | 8 ± 0 | 18.0 ± 0.3 | 46.1 ± 0.9 | ||
| 150 | 0.048 | 3.18 ± 0.00 | 3.95 ± 0.09 | 0.116 ± 0.002 | 15 ± 1 | 612 ± 33 | 0.81 | 197 ± 4 | 2.95 ± 0.18 | 56 ± 4 | 5 ± 0 | 19.0 ± 0.7 | 48.9 ± 1.8 | ||
| 175 | 0.059 | 2.82 ± 0.37 | 3.55 ± 0.39 | 0.161 ± 0.040 | 21 ± 1 | 501 ± 10 | 0.80 | 162 ± 13 | 3.34 ± 0.18 | 116 ± 14 | 16 ± 5 | 23.9 ± 1.1 | 59.2 ± 1.8 | ||
| 328 | Blank | 0 | 0.016 | 2 ± 0.1 | 2.9 ± 0.1 | 0.3 ± 0.035 | 1.3 ± 0.1 | 961 ± 99 | 0.91 | 500 ± 18 | 0.66 ± 0.02 | 6.2 ± 0.4 | 0.14 ± 0.01 | 4.0 ± 0.1 | - |
| Poly [VIMC4][Im] | 100 | 0.022 | 1.7 ± 0 | 2.8 ± 0.3 | 0.435 ± 0.067 | 6.2 ± 0.5 | 2029 ± 125 | 0.72 | 342 ± 21 | 2.11 ± 0.04 | 25 ± 2.4 | 1.25 ± 0.19 | 7.7 ± 0.1 | 47.8 ± 0.9 | |
| 125 | 0.029 | 1.4 ± 0.1 | 2.7 ± 0.1 | 0.454 ± 0.022 | 7 ± 0.2 | 2280 ± 116 | 0.7 | 349 ± 9 | 2.45 ± 0.10 | 27.4 ± 1.3 | 1.19 ± 0.27 | 8.3 ± 0.2 | 51.5 ± 1.3 | ||
| 150 | 0.019 | 1.4 ± 0.1 | 3.1 ± 0.1 | 0.406 ± 0.025 | 7.2 ± 0.2 | 1976 ± 36 | 0.72 | 357 ± 5 | 2.59 ± 0.12 | 28.4 ± 1.6 | 1.68 ± 0.08 | 8.9 ± 0.1 | 54.5 ± 0.5 | ||
| 175 | 0.031 | 1.4 ± 0.2 | 3.0 ± 0.1 | 0.477 ± 0.046 | 8.8 ± 0.4 | 2283 ± 170 | 0.70 | 384 ± 31 | 3.38 ± 0.10 | 32.7 ± 2.7 | 1.92 ± 0.39 | 9.9 ± 0.2 | 59.3 ± 1.0 | ||
| Poly [VIMC2][Br] | 100 | 0.064 | 1.4 ± 0.2 | 2.3 ± 0.2 | 0.513 ± 0.08 | 3 ± 0.2 | 3220 ± 730 | 0.71 | 426 ± 12 | 1.29 ± 0.08 | 10.6 ± 0.7 | 0.42 ± 0.18 | 4.7 ± 0.2 | 14.2 ± 4.0 | |
| 125 | 0.050 | 1.5 ± 0 | 2.4 ± 0 | 0.504 ± 0.01 | 3.2 ± 0.1 | 2163 ± 68 | 0.75 | 373 ± 15 | 1.19 ± 0.09 | 12.5 ± 0.9 | 0.50 ± 0.06 | 4.9 ± 0.1 | 17.8 ± 1.4 | ||
| 150 | 0.037 | 1.7 ± 0.1 | 2.6 ± 0 | 0.411 ± 0.011 | 3 ± 0.1 | 2040 ± 189 | 0.76 | 381 ± 24 | 1.14 ± 0.04 | 11 ± 0.4 | 0.46 ± 0.10 | 5.0 ± 0.1 | 19.2 ± 1.0 | ||
| 175 | 0.025 | 2.1 ± 0.2 | 3.0 ± 0.1 | 0.292 ± 0.034 | 3.4 ± 0.1 | 2306 ± 69 | 0.74 | 385 ± 16 | 1.32 ± 0.08 | 12.3 ± 0.9 | 0.45 ± 0.07 | 5.7 ± 0.1 | 28.9 ± 1.6 | ||
| Poly [VIMC4][Br] | 100 | 0.032 | 1.5 ± 0 | 2.4 ± 0 | 0.492 ± 0.009 | 3.8 ± 0.2 | 3969 ± 483 | 0.69 | 554 ± 37 | 1.38 ± 0.08 | 12.7 ± 1.1 | 0.52 ± 0.15 | 5.3 ± 0.2 | 23.3 ± 2.3 | |
| 125 | 0.035 | 1.8 ± 0.1 | 2.8 ± 0.1 | 0.366 ± 0.023 | 3.3 ± 0 | 4566 ± 425 | 0.67 | 526 ± 40 | 1.72 ± 0.11 | 14.3 ± 0.8 | 0.48 ± 0.13 | 5.5 ± 0.1 | 26.4 ± 1.2 | ||
| 150 | 0.011 | 1.7 ± 0 | 3.1 ± 0.1 | 0.286 ± 0.011 | 3.1 ± 0.1 | 2772 ± 191 | 0.73 | 450 ± 15 | 2.08 ± 0.10 | 14.9 ± 0.6 | 0.85 ± 0.25 | 5.7 ± 0.1 | 29.0 ± 1.2 | ||
| 175 | 0.031 | 1.6 ± 0 | 2.5 ± 0.1 | 0.533 ± 0.017 | 4.2 ± 0.1 | 2848 ± 511 | 0.72 | 455 ± 16 | 1.89 ± 0.12 | 17.3 ± 1.9 | 0.74 ± 0.16 | 5.9 ± 0.2 | 31.2 ± 2.2 | ||
| CI | T (K) | R2 | Slope | Kads (L mol−1) | −ΔG°ads (kJ mol−1) | −ΔH°ads (kJ/mol) | −ΔS°ads (J/mol K) |
|---|---|---|---|---|---|---|---|
| Poly[VIMC4][Im] | 308 | 1.000 | 1.117 | 1.85 × 104 | 35.46 | 61.81 | 84.82 |
| 318 | 0.988 | 1.129 | 1.12 × 104 | 35.29 | |||
| 328 | 0.985 | 0.382 | 4.22 × 103 | 30.64 | |||
| Poly[VIMC2][Br] | 308 | 0.996 | 1.089 | 1.04 × 104 | 33.98 | 89.48 | 178.97 |
| 318 | 0.960 | 1.062 | 5.26 × 103 | 33.29 | |||
| 328 | 0.954 | 0.673 | 8.25 × 102 | 24.37 | |||
| Poly[VIMC4][Br] | 308 | 0.982 | 1.181 | 1.61 × 104 | 35.11 | 79.69 | 144.24 |
| 318 | 0.975 | 1.066 | 7.12 × 103 | 34.09 | |||
| 328 | 0.999 | 1.162 | 1.91 × 103 | 28.69 |
| Poly[VIMC4][Im] | Poly[VIMC2][Br] | Poly[VIMC4][Br] | ||||
|---|---|---|---|---|---|---|
| CINH (ppm) | Ea (kJ mol−1) | A (g m−2 h−1) | Ea (kJ mol−1) | A (g m−2 h−1) | Ea (kJ mol−1) | A (g m−2 h−1) |
| 0 | 68.00 | 4.12 × 1012 | 68.00 | 4.12 × 1012 | 68.00 | 4.12 × 1012 |
| 100 | 86.67 | 2.03 × 1015 | 95.13 | 6.49 × 1016 | 100.13 | 4.11 × 1017 |
| 125 | 88.29 | 3.37 × 1015 | 97.59 | 1.54 × 1017 | 98.22 | 1.88 × 1017 |
| 150 | 87.92 | 2.73 × 1015 | 101.00 | 5.12 × 1017 | 96.19 | 8.12 × 1016 |
| 175 | 88.89 | 3.54 × 1015 | 99.76 | 2.91 × 1017 | 98.09 | 1.47 × 1017 |
| PIL | Monomer | Optimized Structure | HOMO | LUMO | MEP |
|---|---|---|---|---|---|
| Poly[VIMC4][Im] | Vinyl-butylimidazolium imidazolate (VBII) | ![]() | ![]() | ![]() | ![]() |
| Vinyl-diacetamide (VDAA) | ![]() | ![]() | ![]() | ![]() | |
| Poly[VIMC4][Br] | Vinylacrylamide (VAA) | ![]() | ![]() | ![]() | ![]() |
| Vinylpyrrolidone (VP) | ![]() | ![]() | ![]() | ![]() | |
| Vinyl-butylimidazolium bromide (VBIB) | ![]() | ![]() | ![]() | ![]() |
| PIL | Monomers | –EHOMO (eV) | –ELUMO (eV) | µ (debye) |
|---|---|---|---|---|
| Poly[VIMC4][Im] | VBII | 8.78 | 4.82 | 20.82 |
| VDAA | 9.54 | 5.54 | 1.03 | |
| Poly[VIMC4][Br] | VAA | 10.01 | 5.50 | 6.14 |
| VP | 8.89 | 4.57 | 5.94 | |
| VBIB | 9.07 | 4.83 | 19.51 |
| Abbreviation | Name | Chemical Structure |
|---|---|---|
| Poly[VIMC4][Im] | Poly(1-butyl-3-vinylimidazolium)imidazolate | ![]() |
| Poly[VIMC2][Br] | Poly(acrylamide-N-vinylpyrrolidone-1-ethyl-3-vinylimidazolium bromide) | ![]() |
| Poly[VIMC4][Br] | Poly(acrylamide-N-vinylpyrrolidone-1-butyl-3-vinylimidazolium bromide) | ![]() |
| C | Mn | Si | Cr | Mo | V | Cu | Ni | Al | P | S | Ti | Nb | Fe |
|---|---|---|---|---|---|---|---|---|---|---|---|---|---|
| 0.14 | 1.04 | 0.25 | 0.07 | 0.08 | 0.03 | 0.03 | 0.05 | 0.026 | 0.014 | 0.011 | 0.015 | 0.001 | balance |
Disclaimer/Publisher’s Note: The statements, opinions and data contained in all publications are solely those of the individual author(s) and contributor(s) and not of MDPI and/or the editor(s). MDPI and/or the editor(s) disclaim responsibility for any injury to people or property resulting from any ideas, methods, instructions or products referred to in the content. |
© 2023 by the authors. Licensee MDPI, Basel, Switzerland. This article is an open access article distributed under the terms and conditions of the Creative Commons Attribution (CC BY) license (https://creativecommons.org/licenses/by/4.0/).
Share and Cite
Gómez-Sánchez, G.; Olivares-Xometl, O.; Arellanes-Lozada, P.; Likhanova, N.V.; Lijanova, I.V.; Arriola-Morales, J.; Díaz-Jiménez, V.; López-Rodríguez, J. Temperature Effect on the Corrosion Inhibition of Carbon Steel by Polymeric Ionic Liquids in Acid Medium. Int. J. Mol. Sci. 2023, 24, 6291. https://doi.org/10.3390/ijms24076291
Gómez-Sánchez G, Olivares-Xometl O, Arellanes-Lozada P, Likhanova NV, Lijanova IV, Arriola-Morales J, Díaz-Jiménez V, López-Rodríguez J. Temperature Effect on the Corrosion Inhibition of Carbon Steel by Polymeric Ionic Liquids in Acid Medium. International Journal of Molecular Sciences. 2023; 24(7):6291. https://doi.org/10.3390/ijms24076291
Chicago/Turabian StyleGómez-Sánchez, Giselle, Octavio Olivares-Xometl, Paulina Arellanes-Lozada, Natalya V. Likhanova, Irina V. Lijanova, Janette Arriola-Morales, Víctor Díaz-Jiménez, and Josué López-Rodríguez. 2023. "Temperature Effect on the Corrosion Inhibition of Carbon Steel by Polymeric Ionic Liquids in Acid Medium" International Journal of Molecular Sciences 24, no. 7: 6291. https://doi.org/10.3390/ijms24076291
APA StyleGómez-Sánchez, G., Olivares-Xometl, O., Arellanes-Lozada, P., Likhanova, N. V., Lijanova, I. V., Arriola-Morales, J., Díaz-Jiménez, V., & López-Rodríguez, J. (2023). Temperature Effect on the Corrosion Inhibition of Carbon Steel by Polymeric Ionic Liquids in Acid Medium. International Journal of Molecular Sciences, 24(7), 6291. https://doi.org/10.3390/ijms24076291































