Impact of Hydrophobic Chains in Five-Coordinate Glucoconjugate Pt(II) Anticancer Agents
Abstract
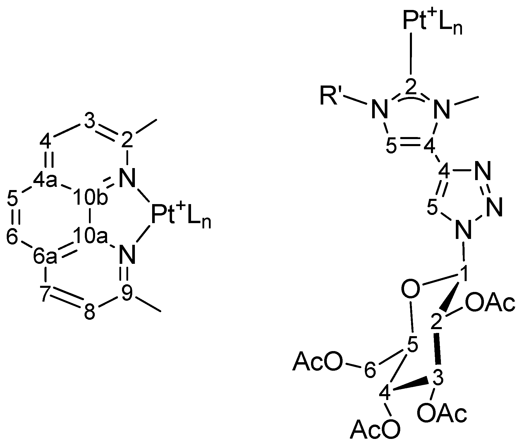
1. Introduction
2. Results and Discussion
2.1. Synthesis and Characterization
2.2. In-Solution Stability of 1-R,R’ Complexes
2.3. Partition Coefficients of 1-R,R’ Complexes
2.4. Interaction with DNA
2.5. Interaction with Proteins
2.6. Effects of Complexes on Cell Viability
2.7. Cytotoxicity Pathways of 1-Me,Me and 1-Oct,Me
3. Materials and Methods
3.1. Synthesis of Im-Oct
3.2. Synthesis of 2-Oct
3.3. Synthesis of Ag-R’ Complexes
3.4. Synthesis of 1-R,R’ Complexes
3.5. In-Solution Stability of 1-R,R’ Complexes
3.6. Partition Coefficients
3.7. DNA Binding Assays
3.8. Crystallization of the Adducts Formed by the Reaction of 1-Me,Me with HEWL
- (a)
- 20% ethylene glycol, 0.10 M sodium acetate at pH 4.0, and 0.60 M sodium nitrate
- (b)
- 2.0 M sodium formate and 0.1 M HEPES at pH 7.5.
3.9. Structure Solution and Refinement of Structures A and B
3.10. Cell Culture and Cytotoxicity
3.11. Uptake Experiments
3.12. Western Blot Analysis
3.13. Statistical Analysis
4. Conclusions
Supplementary Materials
Author Contributions
Funding
Institutional Review Board Statement
Informed Consent Statement
Data Availability Statement
Conflicts of Interest
References
- Rosenberg, B.; Vancamp, L.; Trosko, J.E.; Mansour, V.H. Platinum Compounds: A New Class of Potent Antitumour Agents. Nature 1969, 222, 385–386. [Google Scholar] [CrossRef] [PubMed]
- Oun, R.; Moussa, Y.E.; Wheate, N.J. Oun, R.; Moussa, Y.E.; Wheate, N.J. The side effects of platinum-based chemotherapy drugs: A review for chemists. Dalton Trans. 2018, 47, 6645–6653. [Google Scholar] [CrossRef] [PubMed]
- Johnstone, T.C.; Suntharalingam, K.; Lippard, S.J. The Next Generation of Platinum Drugs: Targeted Pt(II) Agents, Nanoparticle Delivery, and Pt(IV) Prodrugs. Chem. Rev. 2016, 116, 3436–3486. [Google Scholar] [CrossRef]
- Kenny, R.G.; Marmion, C.J. Toward Multi-Targeted Platinum and Ruthenium Drugs—A New Paradigm in Cancer Drug Treatment Regimens? Chem. Rev. 2019, 119, 1058–1137. [Google Scholar] [CrossRef]
- Wai-Yin Sun, R.; Lok-Fung Chow, A.; Li, X.-H.; Yan, J.J.; Sin-Yin Chui, S.; Che, C.-M. Luminescent cyclometalated platinum(ii) complexes containing N-heterocyclic carbene ligands with potent in vitro and in vivo anti-cancer properties accumulate in cytoplasmic structures of cancer cells. Chem. Sci. 2011, 2, 728–736. [Google Scholar] [CrossRef]
- Zhao, W.; Ferro, V.; Baker, M.V. Carbohydrate–N-heterocyclic carbene metal complexes: Synthesis, catalysis and biological studies. Coord. Chem. Rev. 2017, 339, 1–16. [Google Scholar] [CrossRef]
- Bouché, M.; Bonnefont, A.; Achard, T.; Bellemin-Laponnaz, S. Exploring diversity in platinum(iv) N-heterocyclic carbene complexes: Synthesis, characterization, reactivity and biological evaluation. Dalton Trans. 2018, 47, 11491–11502. [Google Scholar] [CrossRef] [PubMed]
- Zou, T.; Lok, C.-N.; Wan, P.-K.; Zhang, Z.-F.; Fung, S.-K.; Che, C.-M. Anticancer metal-N-heterocyclic carbene complexes of gold, platinum and palladium. Curr. Opin. Chem. Biol. 2018, 43, 30–36. [Google Scholar] [CrossRef]
- Cucciolito, M.E.; Trinchillo, M.; Iannitti, R.; Palumbo, R.; Tesauro, D.; Tuzi, A.; Ruffo, F.; D’Amora, A. Sugar-Incorporated N-Heterocyclic-Carbene-Containing Complexes: Synthesis, Characterization, and Cytotoxic. Eur. J. Inorg. Chem. 2017, 316, 4855–4961. [Google Scholar] [CrossRef]
- Rehm, T.; Rothemund, M.; Bär, A.; Dietel, T.; Kempe, R.; Kostrhunova, H.; Brabec, V.; Kasparkova, J.; Schobert, R. N,N-Dialkylbenzimidazol-2-ylidene platinum complexes–effects of alkyl residues and ancillary cis-ligands on anticancer activity. Dalton Trans. 2018, 47, 17367–17381. [Google Scholar] [CrossRef] [PubMed]
- Datta, P.; Bang, S.; Yue, Z.; Beach, T.; Stilgenbauer, M.; Wang, H.; Bowers, D.J.; Kurokawa, M.; Xiao, H.; Zheng, Y.-R. Engineering liposomal nanoparticles of cholesterol-tethered amphiphilic Pt(iv) prodrugs with prolonged circulation time in blood. Dalton Trans. 2020, 49, 8107–8113. [Google Scholar] [CrossRef]
- Cucciolito, M.E.; D’Amora, A.; De Feo, G.; Ferraro, G.; Giorgio, A.; Petruk, G.; Monti, D.M.; Merlino, A.; Ruffo, F. Five-Coordinate Platinum(II) Compounds Containing Sugar Ligands: Synthesis, Characterization, Cytotoxic Activity, and Interaction with Biological Macromolecules. Inorg. Chem. 2018, 57, 3133–3143. [Google Scholar] [CrossRef]
- Cucciolito, M.E.; De Luca Bossa, F.; Esposito, R.; Ferraro, G.; Iadonisi, A.; Petruk, G.; D’Elia, L.; Romanetti, C.; Traboni, S.; Tuzi, A.; et al. C-Glycosylation in platinum-based agents: A viable strategy to improve cytotoxicity and selectivity. Inorg. Chem. Front. 2018, 5, 2921–2933. [Google Scholar] [CrossRef]
- Annunziata, A.; Cucciolito, M.E.; Esposito, R.; Imbimbo, P.; Petruk, G.; Ferraro, G.; Pinto, V.; Tuzi, A.; Monti, D.M.; Merlino, A.; et al. A highly efficient and selective antitumor agent based on a glucoconjugated carbene platinum(ii) complex. Dalton Trans. 2019, 48, 7794–7800. [Google Scholar] [CrossRef]
- Annunziata, A.; Cucciolito, M.E.; Esposito, R.; Ferraro, G.; Monti, D.M.; Merlino, A.; Ruffo, F. Five-Coordinate Platinum(II) Compounds as Potential Anticancer Agents. Eur. J. Inorg. Chem. 2020, 2020, 918–929. [Google Scholar] [CrossRef]
- Albano, V.G.; Natile, G.; Panunzi, A. Five-coordinate alkene complexes of palladium(II) and platinum(II). Coord. Chem. Rev. 1994, 133, 67–114. [Google Scholar] [CrossRef]
- Pettenuzzo, A.; Pigot, R.; Luca, R. Metal-based glycoconjugates and their potential in targeted anticancer chemotherapy. Metallodrugs 2015, 1, 36–61. [Google Scholar] [CrossRef]
- Konkankit, C.C.; Vaughn, B.A.; Huang, Z.; Boros, E.; Wilson, J.J. Systematically altering the lipophilicity of rhenium(i) tricarbonyl anticancer agents to tune the rate at which they induce cell death. Dalton Trans. 2020, 49, 16062–16066. [Google Scholar] [CrossRef] [PubMed]
- Stilgenbauer, M.; Jayawardhana, A.M.D.S.; Datta, P.; Yue, Z.; Gray, M.; Nielsen, F.; Bowers, D.J.; Xiao, H.; Zheng, Y.-R. A spermine-conjugated lipophilic Pt(iv) prodrug designed to eliminate cancer stem cells in ovarian cancer. Chem. Commun. 2019, 55, 6106–6109. [Google Scholar] [CrossRef] [PubMed]
- Jayawardhana, A.M.D.S.; Stilgenbauer, M.; Datta, P.; Qiu, Z.; McKenzie, S.; Wang, H.; Bowers, D.; Kurokawa, M.; Zheng, Y.-R. Fatty acid-like Pt(iv) prodrugs overcome cisplatin resistance in ovarian cancer by harnessing CD36. Chem. Commun. 2020, 56, 10706–10709. [Google Scholar] [CrossRef]
- Bavetsias, V.; Lanigan, R.M.; Ruda, G.F.; Atrash, B.; McLaughlin, M.G.; Tumber, A.; Mok, N.Y.; Le Bihan, Y.-V.; Dempster, S.; Boxall, K.J.; et al. 8-Substituted Pyrido [3,4-d]pyrimidin-4(3H)-one Derivatives As Potent, Cell Permeable, KDM4 (JMJD2) and KDM5 (JARID1) Histone Lysine Demethylase Inhibitors. J. Med. Chem. 2016, 59, 1388–1409. [Google Scholar] [CrossRef] [PubMed]
- Awuah, S.G.; Zheng, Y.-R.; Bruno, P.M.; Hemann, M.T.; Lippard, S.J. A Pt(IV) Pro-drug Preferentially Targets Indoleamine-2,3-dioxygenase, Providing Enhanced Ovarian Cancer Immuno-Chemotherapy. J. Am. Chem. Soc. 2015, 137, 14854–14857. [Google Scholar] [CrossRef]
- Johnstone, T.C.; Lippard, S.J. The Effect of Ligand Lipophilicity on the Nanoparticle Encapsulation of Pt(IV) Prodrugs. Inorg. Chem. 2013, 52, 9915–9920. [Google Scholar] [CrossRef] [PubMed]
- Varbanov, H.; Valiahdi, S.M.; Legin, A.A.; Jakupec, M.A.; Roller, A.; Galanski, M.S.; Keppler, B.K. Synthesis and characterization of novel bis(carboxylato)dichloridobis(ethylamine)platinum(IV) complexes with higher cytotoxicity than cisplatin. Eur. J. Med. Chem. 2011, 46, 5456–5464. [Google Scholar] [CrossRef]
- Renfrew, A.K.; Juillerat-Jeanneret, L.; Dyson, P.J. Adding diversity to ruthenium(II)–arene anticancer (RAPTA) compounds via click chemistry: The influence of hydrophobic chains. J. Organomet. Chem. 2011, 696, 772–779. [Google Scholar] [CrossRef]
- Silva, H.; Barra Carolina, V.; Rocha Fillipe, V.; Frézard, F.; Lopes Miriam, T.P.; Fontes, A.R.S. Novel Platinum(II) Complexes of Long Chain Aliphatic Diamine Ligands with Oxalato as the Leaving Group. Comparative Cytotoxic Activity Relative to Chloride Precursors. J. Braz. Chem. Soc. 2010, 21, 1961–1967. [Google Scholar] [CrossRef]
- Messori, L.; Merlino, A. Cisplatin binding to proteins: A structural perspective. Coord. Chem. Rev. 2016, 315, 67–89. [Google Scholar] [CrossRef]
- Messori, L.; Merlino, A. Protein metalation by metal-based drugs: X-ray crystallography and mass spectrometry studies. Chem. Commun. 2017, 53, 11622–11633. [Google Scholar] [CrossRef] [PubMed]
- Merlino, A.; Marzo, T.; Messori, L. Protein Metalation by Anticancer Metallodrugs: A Joint ESI MS and XRD Investigative Strategy. Chem.–A Eur. J. 2017, 23, 6942–6947. [Google Scholar] [CrossRef]
- Merlino, A. Recent advances in protein metalation: Structural studies. Chem. Commun. 2021, 57, 1295–1307. [Google Scholar] [CrossRef]
- Tanley, S.W.; Schreurs, A.M.; Kroon-Batenburg, L.M.; Meredith, J.; Prendergast, R.; Walsh, D.; Bryant, P.; Levy, C.; Helliwell, J.R. Structural studies of the effect that dimethyl sulfoxide (DMSO) has on cisplatin and carboplatin binding to histidine in a protein. Acta Crystallogr. D Biol. Crystallogr. 2012, 68, 601–612. [Google Scholar] [CrossRef]
- Tanley, S.W.; Schreurs, A.M.; Kroon-Batenburg, L.M.; Helliwell, J.R. Re-refinement of 4g4a: Room-temperature X-ray diffraction study of cisplatin and its binding to His15 of HEWL after 14 months chemical exposure in the presence of DMSO. Acta Crystallogr. F Struct. Biol. Commun. 2016, 72, 253–254. [Google Scholar] [CrossRef] [PubMed]
- Ferraro, G.; Pica, A.; Russo Krauss, I.; Pane, F.; Amoresano, A.; Merlino, A. Effect of temperature on the interaction of cisplatin with the model protein hen egg white lysozyme. JBIC J. Biol. Inorg. Chem. 2016, 21, 433–442. [Google Scholar] [CrossRef]
- Messori, L.; Marzo, T.; Merlino, A. The X-ray structure of the complex formed in the reaction between oxaliplatin and lysozyme. Chem. Commun. 2014, 50, 8360–8362. [Google Scholar] [CrossRef] [PubMed]
- Marasco, D.; Messori, L.; Marzo, T.; Merlino, A. Oxaliplatin vs. cisplatin: Competition experiments on their binding to lysozyme. Dalton Trans. 2015, 44, 10392–10398. [Google Scholar] [CrossRef]
- OECD. Test No. 107: Partition Coefficient (n-Octanol/Water): Shake Flask Method; OECD Publishing: Paris, France, 1995. [Google Scholar]
- Oldfield, S.P.; Hall, M.D.; Platts, J.A. Calculation of Lipophilicity of a Large, Diverse Dataset of Anticancer Platinum Complexes and the Relation to Cellular Uptake. J. Med. Chem. 2007, 50, 5227–5237. [Google Scholar] [CrossRef] [PubMed]
- Pizarro, A.M.; McQuitty, R.J.; Mackay, F.S.; Zhao, Y.; Woods, J.A.; Sadler, P.J. Cellular Accumulation, Lipophilicity and Photocytotoxicity of Diazido Platinum(IV) Anticancer Complexes. ChemMedChem 2014, 9, 1169–1175. [Google Scholar] [CrossRef] [PubMed]
- Tse, W.C.; Boger, D.L. A Fluorescent Intercalator Displacement Assay for Establishing DNA Binding Selectivity and Affinity. Acc. Chem. Res. 2004, 37, 61–69. [Google Scholar] [CrossRef] [PubMed]
- Vaney, M.C.; Maignan, S.; Riès-Kautt, M.; Ducruix, A. High-Resolution Structure (1.33 Å) of a HEW Lysozyme Tetragonal Crystal Grown in the APCF Apparatus. Data and Structural Comparison with a Crystal Grown under Microgravity from SpaceHab-01 Mission. Acta Crystallogr. Sect. D 1996, 52, 505–517. [Google Scholar] [CrossRef] [PubMed]
- Tanley, S.W.; Starkey, L.V.; Lamplough, L.; Kaenket, S.; Helliwell, J.R. The binding of platinum hexahalides (Cl, Br and I) to hen egg-white lysozyme and the chemical transformation of the PtI6 octahedral complex to a PtI3 moiety bound to His15. Acta Crystallogr. F Struct. Biol. Commun. 2014, 70, 1132–1134. [Google Scholar] [CrossRef] [PubMed]
- Tanley, S.W.; Schreurs, A.M.; Kroon-Batenburg, L.M.; Helliwell, J.R. Re-refinement of 4xan: Hen egg-white lysozyme with carboplatin in sodium bromide solution. Acta Crystallogr. F Struct. Biol. Commun. 2016, 72, 251–252. [Google Scholar] [CrossRef]
- Ferraro, G.; Imbimbo, P.; Marseglia, A.; Illiano, A.; Fontanarosa, C.; Amoresano, A.; Olivieri, G.; Pollio, A.; Monti, D.M.; Merlino, A. A thermophilic C-phycocyanin with unprecedented biophysical and biochemical properties. Int. J. Biol. Macromol. 2020, 150, 38–51. [Google Scholar] [CrossRef] [PubMed]
- Annunziata, A.; Ferraro, G.; Cucciolito, M.E.; Imbimbo, P.; Tuzi, A.; Monti, D.M.; Merlino, A.; Ruffo, F. Halo complexes of gold(i) containing glycoconjugate carbene ligands: Synthesis, characterization, cytotoxicity and interaction with proteins and DNA model systems. Dalton Trans. 2022, 51, 10475–10485. [Google Scholar] [CrossRef] [PubMed]
- De Felice, V.; Funicello, M.; Panunzi, A.; Ruffo, F. Stable five-coordinate [Pt(N Nt’)(olefin)(R)X] complexes formed by oxidative addition to [Pt(N N′)(olefin)] precursors. J. Organomet. Chem. 1991, 403, 243–252. [Google Scholar] [CrossRef]
- Murshudov, G.N.; Skubak, P.; Lebedev, A.A.; Pannu, N.S.; Steiner, R.A.; Nicholls, R.A.; Winn, M.D.; Long, F.; Vagin, A.A. REFMAC5 for the refinement of macromolecular crystal structures. Acta Crystallogr. D Biol. Crystallogr. 2011, 67, 355–367. [Google Scholar] [CrossRef]
- Emsley, P.; Lohkamp, B.; Scott, W.G.; Cowtan, K. Features and development of Coot. Acta Crystallogr. D Biol. Crystallogr. 2010, 66, 486–501. [Google Scholar] [CrossRef]
- Del Giudice, R.; Imbimbo, P.; Pietrocola, F.; Martins, I.; De Palma, F.D.E.; Bravo-San Pedro, J.M.; Kroemer, G.; Maiuri, M.C.; Monti, D.M. Autophagy Alteration in ApoA-I Related Systemic Amyloidosis. Int. J. Mol. Sci. 2022, 23, 3498. [Google Scholar] [CrossRef]
- Ruggieri, S.; Roblin, R.; Black, P.H. Lipids of whole cells and plasma membrane fractions from Balb/c3T3, SV3T3, and concanavalin A-selected revertant cells. J. Lipid Res. 1979, 20, 772–783. [Google Scholar] [CrossRef]
- Preta, G. New Insights Into Targeting Membrane Lipids for Cancer Therapy. Front. Cell Dev. Biol. 2020, 8, 571237. [Google Scholar] [CrossRef]














| Complex | Log Po/w |
|---|---|
| 1-Me,Me | 0.42 |
| 1-Me,Oct | 0.74 |
| 1-Oct,Me | 1.14 |
| 1-Oct,Oct | 0.80 |
| HaCaT | A431 | SI | BALB-c/3T3 | SVT2 | SI | |
|---|---|---|---|---|---|---|
| 1-Me,Me | 8.4 ± 1.7 | 20 ± 2 | 0.42 | 26 ± 1 | 9.8 ± 0.3 | 2.65 |
| 1-Me,Oct | 8.0 ± 0.1 | 7.3 ± 0.4 | 1.1 | 8.3 ± 0.4 | 7.6 ± 1.1 | 1.09 |
| 1-Oct,Me | 6.4 ± 1.0 | 2.3 ± 0.1 | 2.78 | 7.1 ± 0.1 | 8.6 ± 0.6 | 0.83 |
| 1-Oct,Oct | 6.4 ± 0.8 | 5.0 ± 0.6 | 1.28 | 7.3 ± 0.7 | 4.5 ± 1.3 | 1.62 |
| Samples | Pt ng/106 cells |
|---|---|
| Untreated SVT2 | <0.0001 |
| SVT2 incubated with 1-Me,Me | 0.772 ± 0.010 |
| Untreated A431 | <0.0001 |
| A431 incubated with 1-Oct,Me | 14.3 ± 1.3 |
Disclaimer/Publisher’s Note: The statements, opinions and data contained in all publications are solely those of the individual author(s) and contributor(s) and not of MDPI and/or the editor(s). MDPI and/or the editor(s) disclaim responsibility for any injury to people or property resulting from any ideas, methods, instructions or products referred to in the content. |
© 2023 by the authors. Licensee MDPI, Basel, Switzerland. This article is an open access article distributed under the terms and conditions of the Creative Commons Attribution (CC BY) license (https://creativecommons.org/licenses/by/4.0/).
Share and Cite
Annunziata, A.; Imbimbo, P.; Cucciolito, M.E.; Ferraro, G.; Langellotti, V.; Marano, A.; Melchiorre, M.; Tito, G.; Trifuoggi, M.; Monti, D.M.; et al. Impact of Hydrophobic Chains in Five-Coordinate Glucoconjugate Pt(II) Anticancer Agents. Int. J. Mol. Sci. 2023, 24, 2369. https://doi.org/10.3390/ijms24032369
Annunziata A, Imbimbo P, Cucciolito ME, Ferraro G, Langellotti V, Marano A, Melchiorre M, Tito G, Trifuoggi M, Monti DM, et al. Impact of Hydrophobic Chains in Five-Coordinate Glucoconjugate Pt(II) Anticancer Agents. International Journal of Molecular Sciences. 2023; 24(3):2369. https://doi.org/10.3390/ijms24032369
Chicago/Turabian StyleAnnunziata, Alfonso, Paola Imbimbo, Maria Elena Cucciolito, Giarita Ferraro, Vincenzo Langellotti, Alessandra Marano, Massimo Melchiorre, Gabriella Tito, Marco Trifuoggi, Daria Maria Monti, and et al. 2023. "Impact of Hydrophobic Chains in Five-Coordinate Glucoconjugate Pt(II) Anticancer Agents" International Journal of Molecular Sciences 24, no. 3: 2369. https://doi.org/10.3390/ijms24032369
APA StyleAnnunziata, A., Imbimbo, P., Cucciolito, M. E., Ferraro, G., Langellotti, V., Marano, A., Melchiorre, M., Tito, G., Trifuoggi, M., Monti, D. M., Merlino, A., & Ruffo, F. (2023). Impact of Hydrophobic Chains in Five-Coordinate Glucoconjugate Pt(II) Anticancer Agents. International Journal of Molecular Sciences, 24(3), 2369. https://doi.org/10.3390/ijms24032369

