BR55 Ultrasound Molecular Imaging of Clear Cell Renal Cell Carcinoma Reflects Tumor Vascular Expression of VEGFR-2 in a Patient-Derived Xenograft Model
Abstract
1. Introduction
2. Results
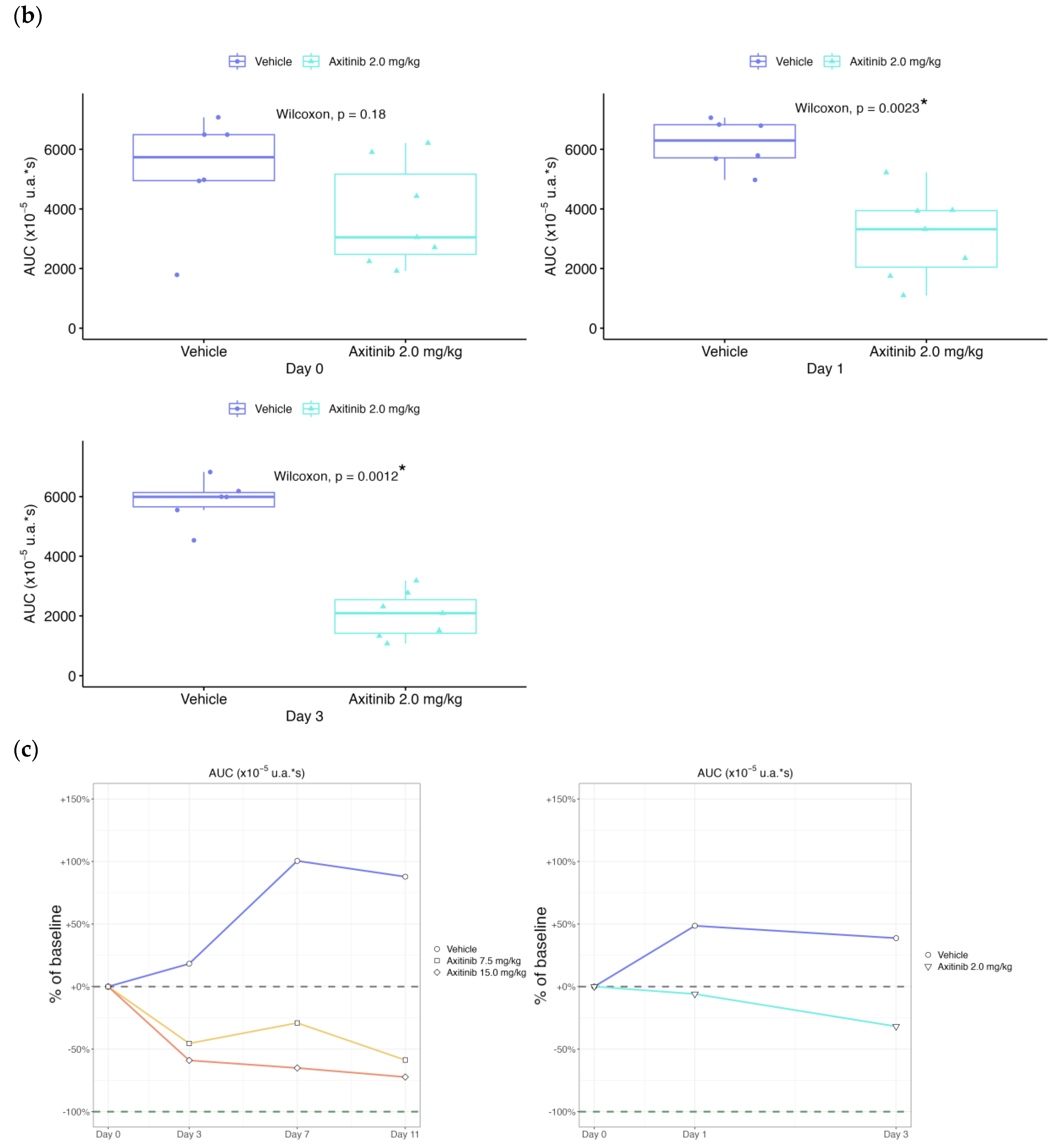
2.1. Imaging Parameters according to Treatments: Response to Axitinib
2.2. Comparison of USMI and IHC Measurements
3. Discussion
4. Materials and Methods
4.1. Ethics Statement
4.2. Renal Cell Carcinoma Tumor Model: Patients’ Characteristics
4.3. Orthotopic Transplants of Human RCC
4.4. Experimental Groups
4.5. Ultrasound Molecular Imaging
4.6. Immunohistochemistry
4.7. Statistical Analysis
Author Contributions
Funding
Institutional Review Board Statement
Informed Consent Statement
Data Availability Statement
Acknowledgments
Conflicts of Interest
References
- Sung, H.; Ferlay, J.; Siegel, R.L.; Laversanne, M.; Soerjomataram, I.; Jemal, A.; Bray, F. Global Cancer Statistics 2020: GLOBOCAN Estimates of Incidence and Mortality Worldwide for 36 Cancers in 185 Countries. CA A Cancer J. Clin. 2021, 71, 209–249. [Google Scholar] [CrossRef]
- Capitanio, U.; Montorsi, F. Renal Cancer. Lancet 2016, 387, 894–906. [Google Scholar] [CrossRef] [PubMed]
- Capitanio, U.; Bensalah, K.; Bex, A.; Boorjian, S.A.; Bray, F.; Coleman, J.; Gore, J.L.; Sun, M.; Wood, C.; Russo, P. Epidemiology of Renal Cell Carcinoma. Eur. Urol. 2019, 75, 74–84. [Google Scholar] [CrossRef]
- Moch, H.; Amin, M.B.; Berney, D.M.; Compérat, E.M.; Gill, A.J.; Hartmann, A.; Menon, S.; Raspollini, M.R.; Rubin, M.A.; Srigley, J.R.; et al. The 2022 World Health Organization Classification of Tumours of the Urinary System and Male Genital Organs—Part A: Renal, Penile, and Testicular Tumours. Eur. Urol. 2022, 82, 458–468. [Google Scholar] [CrossRef]
- Finelli, A.; Ismaila, N.; Bro, B.; Durack, J.; Eggener, S.; Evans, A.; Gill, I.; Graham, D.; Huang, W.; Jewett, M.A.S.; et al. Management of Small Renal Masses: American Society of Clinical Oncology Clinical Practice Guideline. J. Clin. Oncol. 2017, 35, 668–680. [Google Scholar] [CrossRef] [PubMed]
- Finelli, A.; Cheung, D.C.; Al-Matar, A.; Evans, A.J.; Morash, C.G.; Pautler, S.E.; Siemens, D.R.; Tanguay, S.; Rendon, R.A.; Gleave, M.E.; et al. Small Renal Mass Surveillance: Histology-Specific Growth Rates in a Biopsy-Characterized Cohort. Eur. Urol. 2020, 78, 460–467. [Google Scholar] [CrossRef]
- Tang, Y.; Liu, F.; Mao, X.; Li, P.; Mumin, M.A.; Li, J.; Hou, Y.; Song, H.; Lin, H.; Tan, L.; et al. The Impact of Tumor Size on the Survival of Patients with Small Renal Masses: A Population–Based Study. Cancer Med. 2022, 11, 2377–2385. [Google Scholar] [CrossRef] [PubMed]
- Roussel, E.; Capitanio, U.; Kutikov, A.; Oosterwijk, E.; Pedrosa, I.; Rowe, S.P.; Gorin, M.A. Novel Imaging Methods for Renal Mass Characterization: A Collaborative Review. Eur. Urol. 2022, 81, 476–488. [Google Scholar] [CrossRef]
- Marconi, L.; Dabestani, S.; Lam, T.B.; Hofmann, F.; Stewart, F.; Norrie, J.; Bex, A.; Bensalah, K.; Canfield, S.E.; Hora, M.; et al. Systematic Review and Meta-Analysis of Diagnostic Accuracy of Percutaneous Renal Tumour Biopsy. Eur. Urol. 2016, 69, 660–673. [Google Scholar] [CrossRef]
- Tranquart, F.; Mercier, L.; Frinking, P.; Gaud, E.; Arditi, M. Perfusion Quantification in Contrast-Enhanced Ultrasound (CEUS)–Ready for Research Projects and Routine Clinical Use. Ultraschall Med. 2012, 33, S31–S38. [Google Scholar] [CrossRef]
- Williams, R.; Hudson, J.M.; Lloyd, B.A.; Sureshkumar, A.R.; Lueck, G.; Milot, L.; Atri, M.; Bjarnason, G.A.; Burns, P.N. Dynamic Microbubble Contrast-Enhanced US to Measure Tumor Response to Targeted Therapy: A Proposed Clinical Protocol with Results from Renal Cell Carcinoma Patients Receiving Antiangiogenic Therapy. Radiology 2011, 260, 581–590. [Google Scholar] [CrossRef] [PubMed]
- Van Der Veldt, A.A.M.; Meijerink, M.R.; Van Den Eertwegh, A.J.M.; Boven, E. Targeted Therapies in Renal Cell Cancer: Recent Developments in Imaging. Targ. Oncol. 2010, 5, 95–112. [Google Scholar] [CrossRef] [PubMed][Green Version]
- Kaufmann, B.A.; Lindner, J.R. Molecular Imaging with Targeted Contrast Ultrasound. Curr. Opin. Biotechnol. 2007, 18, 11–16. [Google Scholar] [CrossRef] [PubMed]
- Deshpande, N.; Needles, A.; Willmann, J.K. Molecular Ultrasound Imaging: Current Status and Future Directions. Clin. Radiol. 2010, 65, 567–581. [Google Scholar] [CrossRef]
- van Rooij, T.; Daeichin, V.; Skachkov, I.; de Jong, N.; Kooiman, K. Targeted Ultrasound Contrast Agents for Ultrasound Molecular Imaging and Therapy. Int. J. Hyperth. 2015, 31, 90–106. [Google Scholar] [CrossRef][Green Version]
- Langeveld, S.A.G.; Meijlink, B.; Kooiman, K. Phospholipid-Coated Targeted Microbubbles for Ultrasound Molecular Imaging and Therapy. Curr. Opin. Chem. Biol. 2021, 63, 171–179. [Google Scholar] [CrossRef]
- Wang, S.; Hossack, J.A.; Klibanov, A.L. Targeting of Microbubbles: Contrast Agents for Ultrasound Molecular Imaging. J. Drug Target. 2018, 26, 420–434. [Google Scholar] [CrossRef]
- Kiessling, F.; Fokong, S.; Koczera, P.; Lederle, W.; Lammers, T. Ultrasound Microbubbles for Molecular Diagnosis, Therapy, and Theranostics. J. Nucl. Med. 2012, 53, 345–348. [Google Scholar] [CrossRef]
- Palmowski, M.; Huppert, J.; Ladewig, G.; Hauff, P.; Reinhardt, M.; Mueller, M.M.; Woenne, E.C.; Jenne, J.W.; Maurer, M.; Kauffmann, G.W.; et al. Molecular Profiling of Angiogenesis with Targeted Ultrasound Imaging: Early Assessment of Antiangiogenic Therapy Effects. Mol. Cancer Ther. 2008, 7, 101–109. [Google Scholar] [CrossRef]
- Willmann, J.K.; Kimura, R.H.; Deshpande, N.; Lutz, A.M.; Cochran, J.R.; Gambhir, S.S. Targeted Contrast-Enhanced Ultrasound Imaging of Tumor Angiogenesis with Contrast Microbubbles Conjugated to Integrin-Binding Knottin Peptides. J. Nucl. Med. 2010, 51, 433–440. [Google Scholar] [CrossRef]
- Leguerney, I.; Scoazec, J.-Y.; Gadot, N.; Robin, N.; Pénault-Llorca, F.; Victorin, S.; Lassau, N. Molecular Ultrasound Imaging Using Contrast Agents Targeting Endoglin, Vascular Endothelial Growth Factor Receptor 2 and Integrin. Ultrasound Med. Biol. 2015, 41, 197–207. [Google Scholar] [CrossRef]
- Ingels, A.; Leguerney, I.; Cournède, P.-H.; Irani, J.; Ferlicot, S.; Sébrié, C.; Benatsou, B.; Jourdain, L.; Pitre-Champagnat, S.; Patard, J.-J.; et al. Ultrasound Molecular Imaging of Renal Cell Carcinoma: VEGFR Targeted Therapy Monitored with VEGFR1 and FSHR Targeted Microbubbles. Sci. Rep. 2020, 10, 7308. [Google Scholar] [CrossRef] [PubMed]
- Powles, T.; Plimack, E.R.; Soulières, D.; Waddell, T.; Stus, V.; Gafanov, R.; Nosov, D.; Pouliot, F.; Melichar, B.; Vynnychenko, I.; et al. Pembrolizumab plus Axitinib versus Sunitinib Monotherapy as First-Line Treatment of Advanced Renal Cell Carcinoma (KEYNOTE-426): Extended Follow-up from a Randomised, Open-Label, Phase 3 Trial. Lancet Oncol. 2020, 21, 1563–1573. [Google Scholar] [CrossRef] [PubMed]
- Powles, T. Recent eUpdate to the ESMO Clinical Practice Guidelines on Renal Cell Carcinoma on Cabozantinib and Nivolumab for First-Line Clear Cell Renal Cancer. Ann. Oncol. 2021, 32, 422–423. [Google Scholar] [CrossRef]
- Choueiri, T.K.; Powles, T.; Burotto, M.; Escudier, B.; Bourlon, M.T.; Zurawski, B.; Oyervides Juárez, V.M.; Hsieh, J.J.; Basso, U.; Shah, A.Y.; et al. Nivolumab plus Cabozantinib versus Sunitinib for Advanced Renal-Cell Carcinoma. N. Engl. J. Med. 2021, 384, 829–841. [Google Scholar] [CrossRef]
- Duffy, A.M.; Bouchier-Hayes, D.J.; Harmey, J.H. Vascular Endothelial Growth Factor (VEGF) and Its Role in Non-Endothelial Cells: Autocrine Signalling by VEGF. In Madame Curie Bioscience Database; Landes Bioscience: Austin, TX, USA, 2013. [Google Scholar]
- George, D.J.; Kaelin, W.G. The von Hippel–Lindau Protein, Vascular Endothelial Growth Factor, and Kidney Cancer. N. Engl. J. Med. 2003, 349, 419–421. [Google Scholar] [CrossRef]
- Pochon, S.; Tardy, I.; Bussat, P.; Bettinger, T.; Brochot, J.; von Wronski, M.; Passantino, L.; Schneider, M. BR55: A Lipopeptide-Based VEGFR2-Targeted Ultrasound Contrast Agent for Molecular Imaging of Angiogenesis. Investig. Radiol. 2010, 45, 89–95. [Google Scholar] [CrossRef] [PubMed]
- Tardy, I.; Pochon, S.; Theraulaz, M.; Emmel, P.; Passantino, L.; Tranquart, F.; Schneider, M. Ultrasound Molecular Imaging of VEGFR2 in a Rat Prostate Tumor Model Using BR55. Investig. Radiol. 2010, 45, 573–578. [Google Scholar] [CrossRef]
- Willmann, J.K.; Bonomo, L.; Testa, A.C.; Rinaldi, P.; Rindi, G.; Valluru, K.S.; Petrone, G.; Martini, M.; Lutz, A.M.; Gambhir, S.S. Ultrasound Molecular Imaging with BR55 in Patients with Breast and Ovarian Lesions: First-in-Human Results. J. Clin. Oncol. 2017, 35, 2133–2140. [Google Scholar] [CrossRef] [PubMed]
- Smeenge, M.; Tranquart, F.; Mannaerts, C.K.; de Reijke, T.M.; van de Vijver, M.J.; Laguna, M.P.; Pochon, S.; de la Rosette, J.J.M.C.H.; Wijkstra, H. First-in-Human Ultrasound Molecular Imaging with a VEGFR2-Specific Ultrasound Molecular Contrast Agent (BR55) in Prostate Cancer: A Safety and Feasibility Pilot Study. Investig. Radiol. 2017, 52, 419–427. [Google Scholar] [CrossRef]
- Helbert, A.; Von Wronski, M.; Colevret, D.; Botteron, C.; Padilla, F.; Bettinger, T.; Tardy, I.; Hyvelin, J.-M. Ultrasound Molecular Imaging with BR55, a Predictive Tool of Antiangiogenic Treatment Efficacy in a Chemo-Induced Mammary Tumor Model. Investig. Radiol. 2020, 55, 657–665. [Google Scholar] [CrossRef]
- Payen, T.; Dizeux, A.; Baldini, C.; Le Guillou-Buffello, D.; Lamuraglia, M.; Comperat, E.; Lucidarme, O.; Bridal, S.L. VEGFR2-Targeted Contrast-Enhanced Ultrasound to Distinguish between Two Anti-Angiogenic Treatments. Ultrasound Med. Biol. 2015, 41, 2202–2211. [Google Scholar] [CrossRef] [PubMed]
- Bzyl, J.; Palmowski, M.; Rix, A.; Arns, S.; Hyvelin, J.-M.; Pochon, S.; Ehling, J.; Schrading, S.; Kiessling, F.; Lederle, W. The High Angiogenic Activity in Very Early Breast Cancer Enables Reliable Imaging with VEGFR2-Targeted Microbubbles (BR55). Eur. Radiol. 2013, 23, 468–475. [Google Scholar] [CrossRef] [PubMed]
- Chen, Y.; Tortorici, M.A.; Garrett, M.; Hee, B.; Klamerus, K.J.; Pithavala, Y.K. Clinical Pharmacology of Axitinib. Clin. Pharmacokinet. 2013, 52, 713–725. [Google Scholar] [CrossRef] [PubMed]
- Hu-Lowe, D.D.; Zou, H.Y.; Grazzini, M.L.; Hallin, M.E.; Wickman, G.R.; Amundson, K.; Chen, J.H.; Rewolinski, D.A.; Yamazaki, S.; Wu, E.Y.; et al. Nonclinical Antiangiogenesis and Antitumor Activities of Axitinib (AG-013736), an Oral, Potent, and Selective Inhibitor of Vascular Endothelial Growth Factor Receptor Tyrosine Kinases 1, 2, 3. Clin. Cancer Res. 2008, 14, 7272–7283. [Google Scholar] [CrossRef]
- Hahn, A.W.; Lebenthal, J.; Genovese, G.; Sircar, K.; Tannir, N.M.; Msaouel, P. The Significance of Sarcomatoid and Rhabdoid Dedifferentiation in Renal Cell Carcinoma. Cancer Treat. Res. Commun. 2022, 33, 100640. [Google Scholar] [CrossRef]
- Jung, J.; Seol, H.S.; Chang, S. The Generation and Application of Patient-Derived Xenograft Model for Cancer Research. Cancer Res. Treat. 2018, 50, 1–10. [Google Scholar] [CrossRef]
- Gerlinger, M.; Rowan, A.J.; Horswell, S.; Larkin, J.; Endesfelder, D.; Gronroos, E.; Martinez, P.; Matthews, N.; Stewart, A.; Tarpey, P.; et al. Intratumor Heterogeneity and Branched Evolution Revealed by Multiregion Sequencing. N. Engl. J. Med. 2012, 366, 883–892. [Google Scholar] [CrossRef]
- Beksac, A.T.; Paulucci, D.J.; Blum, K.A.; Yadav, S.S.; Sfakianos, J.P.; Badani, K.K. Heterogeneity in Renal Cell Carcinoma. Urol. Oncol. Semin. Orig. Investig. 2017, 35, 507–515. [Google Scholar] [CrossRef]
- Sanmamed, M.F.; Chester, C.; Melero, I.; Kohrt, H. Defining the Optimal Murine Models to Investigate Immune Checkpoint Blockers and Their Combination with Other Immunotherapies. Ann. Oncol. 2016, 27, 1190–1198. [Google Scholar] [CrossRef]
- Tentler, J.J.; Tan, A.C.; Weekes, C.D.; Jimeno, A.; Leong, S.; Pitts, T.M.; Arcaroli, J.J.; Messersmith, W.A.; Eckhardt, S.G. Patient-Derived Tumour Xenografts as Models for Oncology Drug Development. Nat. Rev. Clin. Oncol. 2012, 9, 338–350. [Google Scholar] [CrossRef]
- Wang, C.; Yu, C.; Yang, F.; Yang, G. Diagnostic Accuracy of Contrast-Enhanced Ultrasound for Renal Cell Carcinoma: A Meta-Analysis. Tumor Biol. 2014, 35, 6343–6350. [Google Scholar] [CrossRef]
- Rossi, S.H.; Klatte, T.; Usher-Smith, J.; Stewart, G.D. Epidemiology and Screening for Renal Cancer. World J. Urol. 2018, 36, 1341–1353. [Google Scholar] [CrossRef]
- Choueiri, T.K.; Kaelin, W.G. Targeting the HIF2–VEGF Axis in Renal Cell Carcinoma. Nat. Med. 2020, 26, 1519–1530. [Google Scholar] [CrossRef]
- Minardi, D.; Santoni, M.; Lucarini, G.; Mazzucchelli, R.; Burattini, L.; Conti, A.; Bianconi, M.; Scartozzi, M.; Milanese, G.; Primio, R.D.; et al. Tumor VEGF Expression Correlates with Tumor Stage and Identifies Prognostically Different Groups in Patients with Clear Cell Renal Cell Carcinoma. Urol. Oncol. Semin. Orig. Investig. 2015, 33, 113.e1–113.e7. [Google Scholar] [CrossRef] [PubMed]
- Song, S.H.; Jeong, I.G.; You, D.; Hong, J.H.; Hong, B.; Song, C.; Jung, W.Y.; Cho, Y.M.; Ahn, H.; Kim, C.-S. VEGF/VEGFR2 and PDGF-B/PDGFR-β Expression in Non-Metastatic Renal Cell Carcinoma: A Retrospective Study in 1091 Consecutive Patients. Int. J. Clin. Exp. Pathol. 2014, 7, 7681–7689. [Google Scholar] [PubMed]
- Turner, P.V.; Brabb, T.; Pekow, C.; Vasbinder, M.A. Administration of Substances to Laboratory Animals: Routes of Administration and Factors to Consider. J. Am. Assoc. Lab. Anim. Sci. 2011, 50, 600–613. [Google Scholar]
- Thong, A.E.; Zhao, H.; Ingels, A.; Valta, M.P.; Nolley, R.; Santos, J.; Young, S.R.; Peehl, D.M. Tissue Slice Grafts of Human Renal Cell Carcinoma: An Authentic Preclinical Model with High Engraftment Rate and Metastatic Potential. Urol. Oncol. Semin. Orig. Investig. 2014, 32, 43.e23–43.e30. [Google Scholar] [CrossRef][Green Version]
- Tracey, A.T.; Murray, K.S.; Coleman, J.A.; Kim, K. Patient-Derived Xenograft Models in Urological Malignancies: Urothelial Cell Carcinoma and Renal Cell Carcinoma. Cancers 2020, 12, 439. [Google Scholar] [CrossRef]
- Plimack, E.R.; Powles, T.; Stus, V.; Gafanov, R.; Nosov, D.; Waddell, T.; Alekseev, B.; Pouliot, F.; Melichar, B.; Soulières, D.; et al. Pembrolizumab Plus Axitinib Versus Sunitinib as First-Line Treatment of Advanced Renal Cell Carcinoma: 43-Month Follow-up of the Phase 3 KEYNOTE-426 Study. Eur. Urol. 2023, 84, 449–454. [Google Scholar] [CrossRef] [PubMed]
- Yardeni, T.; Eckhaus, M.; Morris, H.D.; Huizing, M.; Hoogstraten-Miller, S. Retro-orbital injections in mice. Lab Anim. 2011, 40, 155–160. [Google Scholar] [CrossRef] [PubMed]
- Bankhead, P.; Loughrey, M.B.; Fernández, J.A.; Dombrowski, Y.; McArt, D.G.; Dunne, P.D.; McQuaid, S.; Gray, R.T.; Murray, L.J.; Coleman, H.G.; et al. QuPath: Open Source Software for Digital Pathology Image Analysis. Sci. Rep. 2017, 7, 16878. [Google Scholar] [CrossRef] [PubMed]
- R Core Team. R: A Language and Environment for Statistical Computing 2023; R Foundation for Statistical Computing: Vienna, Austria, 2023. [Google Scholar]













| Days of Evaluation | D0 | D1 | D3 | D7 | D11 | |
|---|---|---|---|---|---|---|
| 1st RCC | Vehicle (n = 7) | USMI 1 | USMI | USMI | USMI + IHC 2 | |
| Axitinib 7.5 mg/kg (n = 8) | USMI | USMI | USMI | USMI + IHC | ||
| Axitinib 15 mg/kg (n = 8) | USMI | USMI | USMI | USMI + IHC | ||
| 2nd RCC | Vehicle (n = 6) | USMI | USMI | USMI + IHC | ||
| Axitinib 2 mg/kg (n = 7) | USMI | USMI | USMI + IHC |
| Days of Evaluation | Tumor Volume | PI | AUC | WiAUC | dTE | |
|---|---|---|---|---|---|---|
| 1st RCC | D0 | p = 0.97 | p = 0.76 | p = 0.94 | p = 0.64 | p = 0.072 |
| D3 | p = 0.0051 * | p = 0.023 * | p = 0.047 * | p = 0.055 | p = 0.04 * | |
| D7 | p = 0.00073 * | p = 0.049 * | p = 0.031 * | p = 0.014 * | p = 0.018 * | |
| D11 | p = 0.00024 * | p = 0.0011 * | p = 0.0027 * | p = 0.0015 * | p = 0.0033 * | |
| 2nd RCC | D0 | p = 0.73 | p = 0.1 | p = 0.18 | p = 0.53 | p = 0.18 |
| D1 | p = 0.14 | p = 0.0012 * | p = 0.0023 * | p = 0.0023 * | p = 0.051 | |
| D3 | p = 0.1 | p = 0.0012 * | p = 0.0012 * | p = 0.0012 * | p = 0.035 * |
Disclaimer/Publisher’s Note: The statements, opinions and data contained in all publications are solely those of the individual author(s) and contributor(s) and not of MDPI and/or the editor(s). MDPI and/or the editor(s) disclaim responsibility for any injury to people or property resulting from any ideas, methods, instructions or products referred to in the content. |
© 2023 by the authors. Licensee MDPI, Basel, Switzerland. This article is an open access article distributed under the terms and conditions of the Creative Commons Attribution (CC BY) license (https://creativecommons.org/licenses/by/4.0/).
Share and Cite
Courcier, J.; Leguerney, I.; Benatsou, B.; Pochon, S.; Tardy, I.; Albiges, L.; Cournède, P.-H.; De La Taille, A.; Lassau, N.; Ingels, A. BR55 Ultrasound Molecular Imaging of Clear Cell Renal Cell Carcinoma Reflects Tumor Vascular Expression of VEGFR-2 in a Patient-Derived Xenograft Model. Int. J. Mol. Sci. 2023, 24, 16211. https://doi.org/10.3390/ijms242216211
Courcier J, Leguerney I, Benatsou B, Pochon S, Tardy I, Albiges L, Cournède P-H, De La Taille A, Lassau N, Ingels A. BR55 Ultrasound Molecular Imaging of Clear Cell Renal Cell Carcinoma Reflects Tumor Vascular Expression of VEGFR-2 in a Patient-Derived Xenograft Model. International Journal of Molecular Sciences. 2023; 24(22):16211. https://doi.org/10.3390/ijms242216211
Chicago/Turabian StyleCourcier, Jean, Ingrid Leguerney, Baya Benatsou, Sibylle Pochon, Isabelle Tardy, Laurence Albiges, Paul-Henry Cournède, Alexandre De La Taille, Nathalie Lassau, and Alexandre Ingels. 2023. "BR55 Ultrasound Molecular Imaging of Clear Cell Renal Cell Carcinoma Reflects Tumor Vascular Expression of VEGFR-2 in a Patient-Derived Xenograft Model" International Journal of Molecular Sciences 24, no. 22: 16211. https://doi.org/10.3390/ijms242216211
APA StyleCourcier, J., Leguerney, I., Benatsou, B., Pochon, S., Tardy, I., Albiges, L., Cournède, P.-H., De La Taille, A., Lassau, N., & Ingels, A. (2023). BR55 Ultrasound Molecular Imaging of Clear Cell Renal Cell Carcinoma Reflects Tumor Vascular Expression of VEGFR-2 in a Patient-Derived Xenograft Model. International Journal of Molecular Sciences, 24(22), 16211. https://doi.org/10.3390/ijms242216211

