The Impact of Elevated Atmospheric Carbon Dioxide Exposure on Magic Tomatoes’ Nutrition–Health Properties
Abstract
1. Introduction
2. Results
2.1. Mineral Contents
2.2. Micronutrients: Total Carotenoids and Lycopene Contents
2.3. Macronutrients
2.3.1. Sugars Content
2.3.2. Total Lipid and Protein Content
2.4. Antioxidant Bioactivity
2.5. Anti-Inflammatory—Immunomodulatory Bioactivity
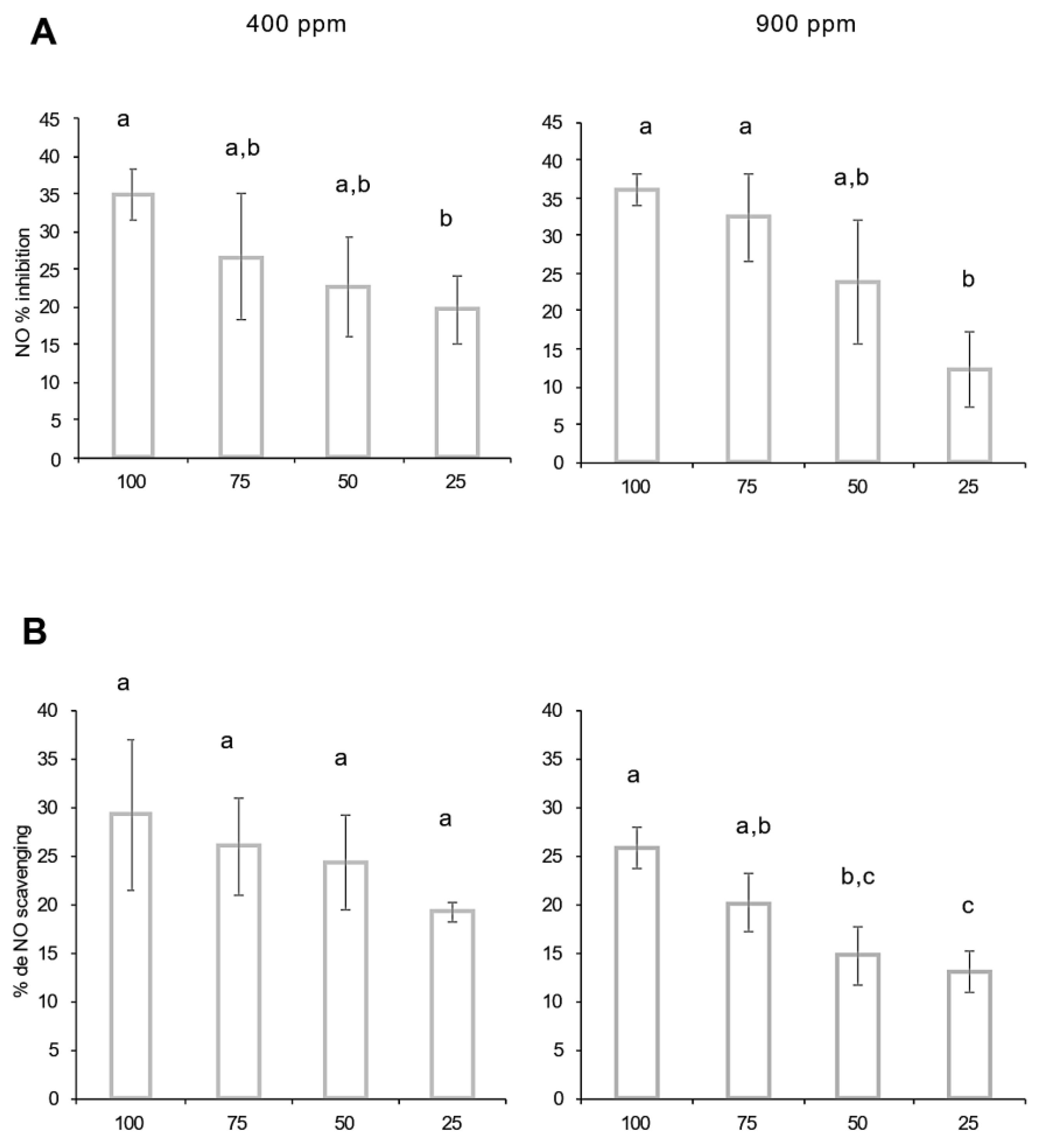
2.5.1. Nitric Oxide Production
2.5.2. Cytokines Interleukin-6 and TNF-α
3. Discussion
4. Materials and Methods
4.1. Plant Materials and Sample Preparation
4.2. Mineral Content
4.3. Micronutrients: Carotenoids and Lycopene Content
4.4. Macronutrients
4.4.1. Sugars
4.4.2. Lipids
4.4.3. Proteins
4.5. Antioxidant Bioactivity
4.5.1. Total Polyphenol Content
4.5.2. ORAC (Oxygen Radical Absorbance Capacity) Assay
4.5.3. DPPH (2,2-Diphenyl-l-picrylhydrazyl) Assay
4.6. Immunomodulatory Anti-Inflammatory Activity on Macrophage Cells Culture
4.6.1. Macrophage Culture
4.6.2. Cell Viability Assay
4.6.3. Dosage of NO (Nitric Oxide), IL-6 (Interleukin-6), and TNF-α (Tumor Necrosis Factor Alpha)
Determination of Nitrites (NO)
Interleukin 6 (IL-6) Assay
Tumor Necrosis Factor Alpha (TNF-α) Assay
4.7. Statistical Analysis
5. Conclusions
Author Contributions
Funding
Institutional Review Board Statement
Informed Consent Statement
Data Availability Statement
Acknowledgments
Conflicts of Interest
Sample Availability
References
- Myers, S.S.; Zanobetti, A.; Kloog, I.; Huybers, P.; Leakey, A.D.B.; Bloom, A.J.; Carlisle, E.; Dietterich, L.H.; Fitzgerald, G.; Hasegawa, T.; et al. Increasing CO2 Threatens Human Nutrition. Nature 2014, 510, 139–142. [Google Scholar] [CrossRef]
- Swynghedauw, B.; Wemeau, J.-L. Rapport 20-07. Conséquences du changement climatique sur la santé humaine et animale. Bull. Acad. Natl. Med. 2021, 205, 219–226. [Google Scholar] [CrossRef]
- Taub, D.R.; Miller, B.; Allen, H. Effects of Elevated CO2 on the Protein Concentration of Food Crops: A Meta-Analysis. Glob. Chang. Biol. 2008, 14, 565–575. [Google Scholar] [CrossRef]
- Müller, C.; Elliott, J.; Levermann, A. Fertilizing Hidden Hunger. Nat. Clim. Chang. 2014, 4, 540–541. [Google Scholar] [CrossRef]
- Drake, B.G.; Gonzàlez-Meler, M.A.; Long, S.P. More Efficient Plants: A Consequence of Rising Atmospheric CO2? Annu. Rev. Plant Physiol. Plant Mol. Biol. 1997, 48, 609–639. [Google Scholar] [CrossRef]
- Prior, S.A.; Brett Runion, G.; Rogers, H.H.; Allen Torbert, H.; Wayne Reeves, D. Elevated Atmospheric CO2 Effects on Biomass Production and Soil Carbon in Conventional and Conservation Cropping Systems. Glob. Change Biol. 2005, 11, 657–665. [Google Scholar] [CrossRef]
- Loladze, I. Rising Atmospheric CO2 and Human Nutrition: Toward Globally Imbalanced Plant Stoichiometry? Trends Ecol. Evol. 2002, 17, 457–461. [Google Scholar] [CrossRef]
- Taub, D.R.; Wang, X. Why Are Nitrogen Concentrations in Plant Tissues Lower under Elevated CO2? A Critical Examination of the Hypotheses. J. Integr. Plant Biol. 2008, 50, 1365–1374. [Google Scholar] [CrossRef]
- Poorter, H.; Van Berkel, Y.; Baxter, R.; Den Hertog, J.; Dijkstra, P.; Gifford, R.M.; Griffin, K.L.; Roumet, C.; Roy, J.; Wong, S.C. The Effect of Elevated CO2 on the Chemical Composition and Construction Costs of Leaves of 27 C3 Species. Plant Cell Environ. 1997, 20, 472–482. [Google Scholar] [CrossRef]
- Johnson, R.J.; Segal, M.S.; Sautin, Y.; Nakagawa, T.; Feig, D.I.; Kang, D.-H.; Gersch, M.S.; Benner, S.; Sánchez-Lozada, L.G. Potential Role of Sugar (Fructose) in the Epidemic of Hypertension, Obesity and the Metabolic Syndrome, Diabetes, Kidney Disease, and Cardiovascular Disease. Am. J. Clin. Nutr. 2007, 86, 899–906. [Google Scholar]
- Moshe, S.; Shils Maurice, E.; Olson James, A. Modern Nutrition in Health and Disease, 8th ed.; Williams & Wilkins: Baltimore, MA, USA, 1994. [Google Scholar]
- Anderson, G.H.; Moore, S.E. Dietary Proteins in the Regulation of Food Intake and Body Weight in Humans. J. Nutr. 2004, 134, 974S–979S. [Google Scholar] [CrossRef] [PubMed]
- Foster, M.; Samman, S. Zinc and Regulation of Inflammatory Cytokines: Implications for Cardiometabolic Disease. Nutrients 2012, 4, 676–694. [Google Scholar] [CrossRef]
- Mariani, S.; Lionetto, L.; Cavallari, M.; Tubaro, A.; Rasio, D.; De Nunzio, C.; Hong, G.M.; Borro, M.; Simmaco, M. Low Prostate Concentration of Lycopene Is Associated with Development of Prostate Cancer in Patients with High-Grade Prostatic Intraepithelial Neoplasia. Int. J. Mol. Sci. 2014, 15, 1433–1440. [Google Scholar] [CrossRef]
- Zhang, Z.; Liu, L.; Zhang, M.; Zhang, Y.; Wang, Q. Effect of Carbon Dioxide Enrichment on Health-Promoting Compounds and Organoleptic Properties of Tomato Fruits Grown in Greenhouse. Food Chem. 2014, 153, 157–163. [Google Scholar] [CrossRef] [PubMed]
- De Rezende, F.M.; de Souza, A.P.; Silveira Buckeridge, M.; Maria Furlan, C. Is Guava Phenolic Metabolism Influenced by Elevated Atmospheric CO2? Environ. Pollut. 2015, 196, 483–488. [Google Scholar] [CrossRef]
- Karimi, E.; Jaafar, H.Z.E.; Ghasemzadeh, A. Chemical Composition, Antioxidant and Anticancer Potential of Labisia Pumila Variety Alata under CO2 Enrichment. NJAS—Wagening. J. Life Sci. 2016, 78, 85–91. [Google Scholar] [CrossRef]
- de Broglie, L.A.; Guéroult, D.; Buchard, S. Tomates D’hier et D’aujourd’hui; Hoëbeke: Paris, France, 2005. [Google Scholar]
- Agrawal, R.; Jain, R.; Raja, W.; Ovais, M. Anticarcinogenic Effects of Solanum Lycopersicum Fruit Extract on Swiss Albino and C57 Bl Mice. Asian Pac. J. Cancer Prev. 2009, 10, 379–382. [Google Scholar]
- Kobayashi, F.; Ishida, K.; Ikeura, H.; Odake, S.; Hayata, Y. Application of Tomato (Solanum Lycopersicum) Leaf Volatiles as Antifungal Agents against Plant Pathogenic Fungi. J. Agric. Sci. 2012, 4, 231. [Google Scholar] [CrossRef]
- Li, Y.-F.; Chang, Y.-Y.; Huang, H.-C.; Wu, Y.-C.; Yang, M.-D.; Chao, P.-M. Tomato Juice Supplementation in Young Women Reduces Inflammatory Adipokine Levels Independently of Body Fat Reduction. Nutrition 2015, 31, 691–696. [Google Scholar] [CrossRef] [PubMed]
- Pascual, L.; Desplat, N.; Huang, B.E.; Desgroux, A.; Bruguier, L.; Bouchet, J.P.; Le, Q.H.; Chauchard, B.; Verschave, P.; Causse, M. Potential of a tomato MAGIC population to decipher the genetic control of quantitative traits and detect causal variants in the resequencing era. Plant Biotechnol. J. 2015, 13, 565–577. [Google Scholar] [CrossRef] [PubMed]
- Boufeldja, L.; Brandt, D.; Guzman, C.; Vitou, M.; Boudard, F.; Morel, S.; Servent, A.; Dhuique-Mayer, C.; Ollier, L.; Duchamp, O.; et al. Effect of Elevated Carbon Dioxide Exposure on Nutrition-Health Properties of Micro-Tom Tomatoes. Molecules 2022, 27, 3592. [Google Scholar] [CrossRef] [PubMed]
- Giovanelli, G.; Paradiso, A. Stability of Dried and Intermediate Moisture Tomato Pulp during Storage. J. Agric. Food Chem. 2002, 50, 7277–7281. [Google Scholar] [CrossRef] [PubMed]
- Chandrasoma, P.; Taylor, C.R. Concise Pathology, 3rd ed.; Appleton & Lange: New York, NY, USA, 1995; pp. 1–993. [Google Scholar]
- Forbes, T.A.; Wallace, J.; Kumble, S.; Delatycki, M.B.; Stark, Z.J. Neonatal Bartter syndrome diagnosed by rapid genomics following low risk pre-conception carrier screening. J. Paediatr. Child Health 2022, 58, 758–761. [Google Scholar] [CrossRef] [PubMed]
- Linder, G.; Funk, G.C. Hypernatremia in critically ill patients. J. Crit. Care 2013, 28, 216.e11–216.e20. [Google Scholar] [CrossRef]
- Beyersmann, D.; Haase, H. Functions of zinc in signaling, proliferation and differentiation of mammalian cells. Biometals 2001, 14, 331–341. [Google Scholar] [CrossRef]
- Roth, H.P.; Kirchgessner, M. Influence of zinc deficiency on the osmotic fragility of erythrocyte membranes of force-fed rats. Horm. Metab. Res. 1994, 26, 404–408. [Google Scholar] [CrossRef]
- Kraus, A.; Roth, H.P.; Kirchgessner, M. Supplementation with vitamin C, vitamin E or beta-carotene influences osmotic fragility and oxidative damage of erythrocytes of zinc-deficient rats. J. Nutr. 1997, 127, 1290–1296. [Google Scholar] [CrossRef]
- Ibs, K.H.; Rink, L.J. Zinc-altered immune function. J. Nutr. 2003, 133, 1452S–1456S. [Google Scholar] [CrossRef]
- Rajendran, R.; Minqin, R.; Ynsa, M.D.; Casadesus, G.; Smith, M.A.; Perry, G.; Halliwell, B.; Watt, F. A novel approach to the identification and quantitative elemental analysis of amyloid deposits–insights into the pathology of Alzheimer’s disease. Biochem. Biophys. Res. Commun. 2009, 382, 91–95. [Google Scholar] [CrossRef]
- Finley, J.W.; Penland, J.G.; Pettit, R.E.; Davis, C.D. Dietary manganese intake and type of lipid do not affect clinical or neuropsychological measures in healthy young women. J. Nutr. 2003, 133, 2849–2856. [Google Scholar] [CrossRef]
- Von Campenhausen, S.; Bornschein, B.; Wick, R.; Botzel, K.; Sampaio, C.; Poewe, W.; Oertel, W.; Siebert, U.; Berger, K.; Dodel, R. Prevalence and incidence of Parkinson’s disease in Europe. Eur. Neuropsychopharmacol. 2005, 15, 473–490. [Google Scholar] [CrossRef] [PubMed]
- Racette, B.A.; McGee-Minnich, L.; Moerlein, S.M.; Mink, J.W.; Videen, T.O.; Perlmutter, J.S. Welding-related parkinsonism: Clinical features, treatment, and pathophysiology. Neurology 2001, 56, 8–13. [Google Scholar] [CrossRef] [PubMed]
- Bates, G.P. History of genetic disease: The molecular genetics of Huntington disease—A history. Nat. Rev. Genet. 2005, 6, 766–773. [Google Scholar] [CrossRef] [PubMed]
- Kumar, K.K.; Goodwin, C.R.; Uhouse, M.A.; Bornhorst, J.; Schwerdtle, T.; Aschner, M.; McLean, J.A.; Bowman, A.B. Untargeted metabolic profiling identifies interactions between Huntington’s disease and neuronal manganese status. Metallomics 2015, 7, 363–370. [Google Scholar] [CrossRef]
- Jin, C.; Du, S.; Wang, Y.; Condon, J.; Lin, X.; Zhang, Y. Carbon Dioxide Enrichment by Composting in Greenhouses and Its Effect on Vegetable Production. J. Plant Nutr. Soil Sci. 2009, 172, 418–424. [Google Scholar] [CrossRef]
- Morison, J.I.L.; Morecroft, M.D. Plant Growth and Climate Change; John Wiley & Sons: Hoboken, NJ, USA, 2006. [Google Scholar]
- Sgherri, C.L.M.; Quartacci, M.F.; Menconi, M.; Raschi, A.; Navari-Izzo, F. Interactions between Drought and Elevated CO2 on Alfalfa Plants. J. Plant Physiol. 1998, 152, 118–124. [Google Scholar] [CrossRef]
- Chiu, S.-Y.; Kao, C.-Y.; Tsai, M.-T.; Ong, S.-C.; Chen, C.-H.; Lin, C.-S. Lipid Accumulation and CO2 Utilization of Nannochloropsis Oculata in Response to CO2 Aeration. Bioresour. Technol. 2009, 100, 833–838. [Google Scholar] [CrossRef]
- Takagi, M.; Watanabe, K.; Yamaberi, K.; Yoshida, T. Limited Feeding of Potassium Nitrate for Intracellular Lipid and Triglyceride Accumulation of Nannochloris Sp. UTEX LB1999. Appl. Microbiol. Biotechnol. 2000, 54, 112–117. [Google Scholar] [CrossRef]
- Medek, D.E.; Schwartz, J.; Myers, S.S. Estimated Effects of Future Atmospheric CO2 Concentrations on Protein Intake and the Risk of Protein Deficiency by Country and Region. Environ. Health Perspect. 2017, 125, 087002. [Google Scholar] [CrossRef]
- Helyes, L.; Lugasi, A.; Neményi, A.; Pék, Z. The Simultaneous Effect of Elevated Co2-Level and Nitrogen-Supply on the Fruit Components of Tomato. Acta Aliment. 2012, 41, 265–271. [Google Scholar] [CrossRef]
- Mamatha, H.; Rao, N.K.; Laxman, R.H.; Shivashankara, K.S.; Bhatt, R.M.; Pavithra, K.C. Impact of Elevated CO2 on Growth, Physiology, Yield, and Quality of Tomato (Lycopersicon esculentum Mill) Cv. Arka Ashish. Photosynthetica 2014, 52, 519–528. [Google Scholar] [CrossRef]
- Jaafar, H.Z.E.; Ibrahim, M.H.; Karimi, E. Phenolics and Flavonoids Compounds, Phenylanine Ammonia Lyase and Antioxidant Activity Responses to Elevated CO2 in Labisia Pumila (Myrisinaceae). Molecules 2012, 17, 6331–6347. [Google Scholar] [CrossRef] [PubMed]
- Wang, S.Y.; Bunce, J.A.; Maas, J.L. Elevated Carbon Dioxide Increases Contents of Antioxidant Compounds in Field-Grown Strawberries. J. Agric. Food Chem. 2003, 51, 4315–4320. [Google Scholar] [CrossRef] [PubMed]
- Zhang, Y.; Yao, Q.; Shi, Y.; Li, X.; Hou, L.; Xing, G.; Ahammed, G.J. Elevated CO2 Improves Antioxidant Capacity, Ion Homeostasis, and Polyamine Metabolism in Tomato Seedlings under Ca(NO3)2-Induced Salt Stress. Sci. Hortic. 2020, 273, 109644. [Google Scholar] [CrossRef]
- Pan, T.; Ding, J.; Qin, G.; Wang, Y.; Xi, L.; Yang, J.; Li, J.; Zhang, J.; Zou, Z. Interaction of Supplementary Light and CO2 Enrichment Improves Growth, Photosynthesis, Yield, and Quality of Tomato in Autumn through Spring Greenhouse Production. HortScience 2019, 54, 246–252. [Google Scholar] [CrossRef]
- Schwager, J.; Richard, N.; Mussler, B.; Raederstorff, D. Tomato Aqueous Extract Modulates the Inflammatory Profile of Immune Cells and Endothelial Cells. Molecules 2016, 21, 168. [Google Scholar] [CrossRef]
- Herzog, A.; Siler, U.; Spitzer, V.; Seifert, N.; Denelavas, A.; Hunziker, P.B.; Hunziker, W.; Goralczyk, R.; Wertz, K. Lycopene Reduced Gene Expression of Steroid Targets and Inflammatory Markers in Normal Rat Prostate. FASEB J. 2005, 19, 272–274. [Google Scholar] [CrossRef]
- Kim, G.-Y.; Kim, J.-H.; Ahn, S.-C.; Lee, H.-J.; Moon, D.-O.; Lee, C.-M.; Park, Y.-M. Lycopene Suppresses the Lipopolysaccharide-Induced Phenotypic and Functional Maturation of Murine Dendritic Cells through Inhibition of Mitogen-Activated Protein Kinases and Nuclear Factor-ΚB. Immunology 2004, 113, 203–211. [Google Scholar] [CrossRef]
- Almuhayawi, M.S.; Al Jaouni, S.K.; Almuhayawi, S.M.; Selim, S.; Abdel-Mawgoud, M. Elevated CO2 Improves the Nutritive Value, Antibacterial, Anti-Inflammatory, Antioxidant and Hypocholestecolemic Activities of Lemongrass Sprouts. Food Chem. 2021, 357, 129730. [Google Scholar] [CrossRef]
- Appenroth, K.-J.; Lenk, G.; Goldau, L.; Sharma, R. Tomato Seed Germination: Regulation of Different Response Modes by Phytochrome B2 and Phytochrome A. Plant Cell Environ. 2006, 29, 701–709. [Google Scholar] [CrossRef]
- Gao, R.; Wu, Z.; Ma, Q.; Lu, Z.; Ye, F.; Zhao, G. Effects of Breaking Methods on the Viscosity, Rheological Properties and Nutritional Value of Tomato Paste. Foods 2021, 10, 2395. [Google Scholar] [CrossRef] [PubMed]
- Morel, S.; Arnould, S.; Vitou, M.; Boudard, F.; Guzman, C.; Poucheret, P.; Fons, F.; Rapior, S. Antiproliferative and Antioxidant Activities of Wild Boletales Mushrooms from France. Int. J. Med. Mushrooms 2018, 20, 13–29. [Google Scholar] [CrossRef] [PubMed]
- Boudard, F.; Vallot, N.; Cabaner, C.; Bastide, M. Chemiluminescence and Nitrite Determinations by the MALU Macrophage Cell Line. J. Immunol. Methods 1994, 174, 259–268. [Google Scholar] [CrossRef] [PubMed]







Disclaimer/Publisher’s Note: The statements, opinions and data contained in all publications are solely those of the individual author(s) and contributor(s) and not of MDPI and/or the editor(s). MDPI and/or the editor(s) disclaim responsibility for any injury to people or property resulting from any ideas, methods, instructions or products referred to in the content. |
© 2023 by the authors. Licensee MDPI, Basel, Switzerland. This article is an open access article distributed under the terms and conditions of the Creative Commons Attribution (CC BY) license (https://creativecommons.org/licenses/by/4.0/).
Share and Cite
Boufeldja, L.; Boudard, F.; Portet, K.; Guzman, C.; Morel, S.; Berger, N.; Duchamp, O.; Dhuique-Mayer, C.; Dubos, C.; Poucheret, P. The Impact of Elevated Atmospheric Carbon Dioxide Exposure on Magic Tomatoes’ Nutrition–Health Properties. Int. J. Mol. Sci. 2023, 24, 12815. https://doi.org/10.3390/ijms241612815
Boufeldja L, Boudard F, Portet K, Guzman C, Morel S, Berger N, Duchamp O, Dhuique-Mayer C, Dubos C, Poucheret P. The Impact of Elevated Atmospheric Carbon Dioxide Exposure on Magic Tomatoes’ Nutrition–Health Properties. International Journal of Molecular Sciences. 2023; 24(16):12815. https://doi.org/10.3390/ijms241612815
Chicago/Turabian StyleBoufeldja, Linda, Frederic Boudard, Karine Portet, Caroline Guzman, Sylvie Morel, Nathalie Berger, Orianne Duchamp, Claudie Dhuique-Mayer, Christian Dubos, and Patrick Poucheret. 2023. "The Impact of Elevated Atmospheric Carbon Dioxide Exposure on Magic Tomatoes’ Nutrition–Health Properties" International Journal of Molecular Sciences 24, no. 16: 12815. https://doi.org/10.3390/ijms241612815
APA StyleBoufeldja, L., Boudard, F., Portet, K., Guzman, C., Morel, S., Berger, N., Duchamp, O., Dhuique-Mayer, C., Dubos, C., & Poucheret, P. (2023). The Impact of Elevated Atmospheric Carbon Dioxide Exposure on Magic Tomatoes’ Nutrition–Health Properties. International Journal of Molecular Sciences, 24(16), 12815. https://doi.org/10.3390/ijms241612815

