Research Progress of Benzothiazole and Benzoxazole Derivatives in the Discovery of Agricultural Chemicals
Abstract
1. Introduction
2. Antibacterial Activity
3. Antifungal Activity
4. Antiviral Activity
5. Herbicidal Activity
6. Insecticidal Activity
7. Conclusions
Author Contributions
Funding
Institutional Review Board Statement
Informed Consent Statement
Data Availability Statement
Conflicts of Interest
Abbreviations
| SAR | Structural–activity relationship |
| Xoc | Xanthomonas oryzae pv. oryzicola |
| Xac | Xanthomonas citri subsp. Citri |
| Xoo | Xanthomonas oryzae pv. oryzae |
| SDH | Succinate dehydrogenase |
| Rs | Ralstonia solanacearum |
| B. cinerea | Botrytis cinereal |
| R. solani | Rhizoctonia solani |
| D. gregaria | Dothiorella gregaria |
| C. gossypii | Colletotrichum gossypii |
| S. fuliginea | Sphaerotheca fuliginea |
| P. cubensis | Pseudoperoniospora cubensis |
| P. infestans | Phytophthora infestans |
| G. zeae | Gibberella zeae |
| S. sclerotiorum | Sclerotonia sclerotiorum |
| F. oxysporum | Fusarium oxysporum |
| A. oryzae | Aspergillus oryzae |
| TMV | tobacco mosaic virus |
| CMV | Cucumber mosaic virus |
| C. album | Chenopodium album |
| A. retroflexus | Amaranthus retroflexus |
| A. janata | Achaea janata |
| MLP | Maximum Likelihood Programmer |
References
- Strange, R.N.; Scott, P.R. Plant disease: A threat to global food security. Annu. Rev. Phytopathol. 2005, 43, 83–116. [Google Scholar] [CrossRef] [PubMed]
- Chen, J.X.; Wang, Y.; Luo, X.; Chen, Y.F. Recent research progress and outlook in agricultural chemical discovery based on quinazoline scaffold. Pestic. Biochem. Physiol. 2022, 184, 105122. [Google Scholar] [CrossRef] [PubMed]
- Möller, M.; Stukenbrock, E.H. Evolution and genome architecture in fungal plant pathogens. Nat. Rev. Microbiol. 2017, 15, 756–771. [Google Scholar] [CrossRef] [PubMed]
- Evidente, A.; Cimmino, A.; Masi, M. Phytotoxins produced by pathogenic fungi of agrarian plants. Phytochem. Rev. 2019, 18, 843–870. [Google Scholar] [CrossRef]
- Chen, Y.F.; Luo, X.; Wang, Y.; Xing, Z.F.; Peng, J.; Chen, J.X. Design, synthesis and antibacterial activity of 1,3,4-oxadiazole sufones containing sulfonamide structure. Chin. J. Org. Chem. 2023, 43, 274–284. [Google Scholar] [CrossRef]
- Leonard, S.; Hommais, F.; Nasser, W.; Reverchon, S. Plant–phytopathogen interactions: Bacterial responses to environmental and plant stimuli. Environ. Microbiol. 2016, 19, 1689–1716. [Google Scholar] [CrossRef]
- Wei, C.Q.; Huang, J.J.; Wang, Y.; Chen, Y.F.; Luo, X.; Wang, S.B.; Wu, Z.X.; Xing, Z.F.; Chen, J.X. Discovery of novel dihydrolipoamide S-Succinyltransferase inhibitors based on fragment virtual screening. Int. J. Mol. Sci. 2021, 22, 12953. [Google Scholar] [CrossRef]
- Chen, J.X.; Luo, X.; Chen, Y.F.; Wang, Y.; Peng, J.; Xing., Z.F. Recent research progress: Discovery of anti-plant virus agents based on natural scaffold. Front. Chem. 2022, 10, 926202. [Google Scholar] [CrossRef]
- Hernan, G.R. Susceptibility genes to plant viruses. Viruses 2018, 10, 484. [Google Scholar] [CrossRef]
- Gougherty, V.A.; Jonathan, D.T. Towards a phylogenetic ecology of plant pests and pathogens. Phil. Trans. R. Soc. 2021, 276, 20200359. [Google Scholar] [CrossRef]
- Nelson, D.C. The mechanism of host-induced germination in root parasitic plants. Plant Physiol. 2021, 185, 1353–1373. [Google Scholar] [CrossRef]
- Morin, L. Progress in biological control of weeds with plant pathogens. Annu. Rev. Phytopathol. 2020, 58, 201–223. [Google Scholar] [CrossRef]
- Chen, J.X.; Song, B.A. Natural nematicidal active compounds: Recent research progressand outlook. J. Integr. Agric. 2021, 20, 2015–2031. [Google Scholar] [CrossRef]
- Chen, J.X.; Wei, C.Q.; Wu, S.K.; Luo, Y.Q.; Wu, R.; Hu, D.Y.; Song, B.A. Novel 1,3,4-oxadiazole thioether derivatives containing flexible-chain moiety: Design, synthesis, nematocidal activities, and pesticide-likeness analysis. Bioorg. Med. Chem. Lett. 2020, 30, 127028. [Google Scholar] [CrossRef]
- Chen, J.X.; Chen, Y.Z.; Gan, X.H.; Song, B.J.; Hu, D.Y.; Song, B.A. Synthesis, nematicidal evaluation, and 3D-QSAR analysis of novel 1,3,4-oxadiazole-cinnamic acid hybrids. J. Agric. Food Chem. 2018, 66, 9616–9623. [Google Scholar] [CrossRef]
- Kim, S.; Yoon, K.A.; Cho, S.; Lee, J.; Lim, Y.; Lee, S.H. Molecular and kinetic properties of three acetylcholinesterases in the Varroa mite, Varroa destructor. Pestic. Biochem. Physiol. 2022, 188, 105277. [Google Scholar] [CrossRef]
- Goeb, J.; Lupi, F. Showing pesticides’ true colors: The effects of a farmer-to-farmer training program on pesticide knowledge. J. Environ. Manag. 2021, 279, 111821. [Google Scholar] [CrossRef]
- Wei, C.Q.; Huang, J.J.; Luo, Y.; Wang, S.B.; Wu, S.K.; Xing, Z.F.; Chen, J.X. Novel amide derivatives containing an imidazo[1,2-a]pyridine moiety: Design, synthesis as potential nematicidal and antibacterial agents. Pestic. Biochem. Physiol. 2021, 175, 104857. [Google Scholar] [CrossRef]
- Nagoshi, R.N.; Meagher, R.L. The Spodoptera frugiperda host strains: What they are and why they matter for understanding and controlling this global agricultural pest. J. Econ. Entomol. 2022, 115, 1729–1743. [Google Scholar] [CrossRef]
- Zhang, L.; Lecoq, M.; Latchininsky, A.; Hunter, D. Locust and Grasshopper Management. Annu. Rev. Entomol. 2019, 64, 15–34. [Google Scholar] [CrossRef]
- Wang, J.; Chen, L.; Lin, D.; Zhang, J.; Zhao, J.; Xiao, D.; Wang, R.; Wang, R.; Gao, S. Molecular cloning, characterization and functional analysis of GluCl from the oriental armyworm, Mythimna separata Walker. Pestic. Biochem. Physiol. 2019, 156, 56–62. [Google Scholar] [CrossRef] [PubMed]
- Torto, B.; Cortada, L.; Murungi, L.K.; Haukeland, S.; Coyne, D.L. Management of cyst and root knot nematodes: A chemical ecology perspective. J. Agric. Food Chem. 2018, 66, 8672–8678. [Google Scholar] [CrossRef] [PubMed]
- Meftaul, I.M.; Venkateswarlu, K.; Dharmarajan, R.; Annamalai, P.; Asaduzzaman, M.; Parven, A.; Megharaj, M. Controversies over human health and ecological impacts of glyphosate: Is it to be banned in modern agriculture? Environ. Pollut. 2020, 263, 114372. [Google Scholar] [CrossRef] [PubMed]
- Pu, J.; Wang, Z.; Chung, H. Climate change and the genetics of insecticide resistance. Pest Manag. Sci. 2020, 76, 846–852. [Google Scholar] [CrossRef]
- Chen, J.X.; Luo, Y.Q.; Wei, C.Q.; Wu, S.K.; Wu, R.; Wang, S.B.; Hu, D.Y.; Song, B.A. Novel sulfone derivatives containing a 1,3,4-oxadiazole moiety: Design and synthesis based on the 3D-QSAR model as potential antibacterial agent. Pest Manag. Sci. 2020, 76, 3188–3198. [Google Scholar] [CrossRef]
- Skrzypek, A.; Karpińska, M.; Juszczak, M.; Grabarska, A.; Wietrzyk, J.; Krajewska-Kułak, E.; Studziński, M.; Paszko, T.; Matysiak, J. Cholinesterases inhibition, anticancer and antioxidant activity of novel benzoxazole and naphthoxazole analogs. Molecules 2022, 27, 8511. [Google Scholar] [CrossRef]
- Zhang, Y.; Plattner, J.J.; Easom, E.E.; Waterson, D.; Ge, M.; Li, Z.; Li, L.; Jian, Y. An efficient synthesis for a new class antimalarial agent, 7-(2-carboxyethyl)-1,3-dihydro-1-hydroxy-2,1-benzoxaborole. Tetrahedron Lett. 2011, 52, 3909–3911. [Google Scholar] [CrossRef]
- Zhou, M.Z.; Wang, W.W.; Wang, Z.K.; Wang, Y.L.; Zhu, Y.F.; Lin, Z.Q.; Tian, S.Q.; Huang, Y.; Hu, Q.H.; Li, H. Discovery and computational studies of 2-phenyl-benzoxazole acetamide derivatives as promising P2Y14R antagonists with anti-gout potential. Eur. J. Med. Chem. 2022, 227, 113933. [Google Scholar] [CrossRef]
- Bhat, M.; Belagali, S.L. Structural activity relationship and importance of benzothiazole derivatives in medicinal chemistry: A comprehensive review. Mini Rev. Org. Chem. 2020, 17, 323–350. [Google Scholar] [CrossRef]
- Lányi, K.; Laczay, P.; Lehel, J. Effects of some naturally occurring substances on the photodegradation of herbicide methabenzthiazuron. J. Environ. Chem. Eng. 2016, 4, 123–129. [Google Scholar] [CrossRef]
- Kyung, K.S.; Ahn, K.C.; Kwon, J.W.; Lee, Y.P.; Lee, E.Y.; Kim, Y.J.; Führ, F.; Lee, J.K. Long-term fate of the herbicide mefenacet in a rice-grown lysimeter over a period of 6 consecutive years. J. Appl. Biol. Chem. 2015, 58, 35–43. [Google Scholar] [CrossRef]
- Jin, L.H.; Song, B.A.; Zhang, G.P.; Xu, R.Q.; Zhang, S.M.; Gao, X.W.; Hu, D.Y.; Yang, S. Synthesis, x-ray crystallographic analysis, and antitumor activity of N-(benzothiazole-2-yl)-1-(fluorophenyl)-O,O-dialkyl-alpha-aminophosphonates. Bioorg. Med. Chem. Lett. 2006, 16, 1537–1543. [Google Scholar] [CrossRef]
- Sondhi, S.M.; Singh, N.; Kumar, A. Synthesis, anti-inflammatory, analgesic and kinase (CDK-1, CDK-5 and GSK-3) inhibition activity evaluation of benzimidazole/benzoxazole derivatives and some Schiff’s bases. Bioorg. Med. Chem. Lett. 2006, 14, 3758–3765. [Google Scholar] [CrossRef]
- Sigmundova, I.; Zahradnik, P.; Magdolen, P.; Bujdakova, H. Synthesis and study of new antimicrobial benzothiazoles substituted on heterocyclic ring. Arkivoc 2008, 2008, 183–192. [Google Scholar] [CrossRef]
- Mortimer, C.G.; Wells, G.; Crochard, J.P.; Stone, E.L.; Bradshaw, T.D.; Stevens, M.F.G.; Westwell, A.D. Antitumor Benzothiazoles. 26. 2-(3,4-Dimethoxyphenyl)-5-fluorobenzothiazole (GW 610, NSC 721648), a Simple Fluorinated 2-Arylbenzothiazole, Shows Potent and Selective Inhibitory Activity against Lung, Colon, and Breast Cancer Cell Lines. J. Med. Chem. 2006, 949, 179–185. [Google Scholar] [CrossRef]
- Barik, S.R.; Ganguly, P.; Patra, S.; Dutta, S.K.; Goon, A.; Bhattacharyya, A. Persistence behavior of metamifop and its metabolite in rice ecosystem. Chemosphere 2018, 193, 875–882. [Google Scholar] [CrossRef]
- Zhu, W.; He, Y.; Li, L. Effects of 10%metamifop wp on gramineous weeds control in direct seeding paddy field. Weed Sci. 2011, 29, 62–64. [Google Scholar] [CrossRef]
- Smith, A.E. Persistence and transformation of the herbicides [14C] fenoxaprop-ethyl and [14C] fenthiaprop-ethyl in two prairie soils under laboratory and field conditions. J. Agric. Food Chem. 1985, 33, 483–488. [Google Scholar] [CrossRef]
- Cai, X.; Chen, J.; Wang, X.; Gao, H.; Xiang, B.; Dong, L. Mefenacet resistance in multiple herbicide-resistant Echinochloa crus-galli L. populations. Pestic. Biochem. Phys. 2022, 182, 105038. [Google Scholar] [CrossRef]
- Liu, Y.; Yang, J.; Chai, B.; Wu, Q.; Liu, C. A Novel fungicide benthiavalicarb-isopropyl. Agrochemicals 2011, 50, 756–758. [Google Scholar] [CrossRef]
- Bi, Q.; Ma, Z. Sensitivity, resistance stability, and cross-resistance of Plasmopara viticola to four different fungicides. Crop Prot. 2016, 89, 265–272. [Google Scholar] [CrossRef]
- Wang, D.; Xie, X.; Gao, D.; Chen, K.; Chen, Z.; Jin, L.; Li, X.; Song, B. Dufulin intervenes the viroplasmic proteins as the mechanism of action against southern rice black-streaked dwarf virus. J. Agric. Food Chem. 2019, 67, 11380–11387. [Google Scholar] [CrossRef] [PubMed]
- Chen, Z.; Zeng, M.; Song, B.; Hou, C.; Hu, D.; Li, X.; Wang, Z.; Fan, H.; Bi, L.; Liu, J. Dufulin activates HrBP1 to produce antiviral responses in tobacco. PLoS ONE 2012, 7, e37944. [Google Scholar] [CrossRef] [PubMed]
- Li, X.Y.; Cheng, Z.; Yang, S.; Song, B.A. Research progress of structure biology of tobacco mosaic virus coat protein as molecular targets. Chin. J. Pestic. Sci. 2010, 12, 391–401. [Google Scholar] [CrossRef]
- Ma, G.; Zhang, Y.; Li, X. Dufulin enhances salt resistance of rice. Pestic. Biochem. Physiol. 2022, 188, 105252. [Google Scholar] [CrossRef]
- Wang, X.Y.; Chen, S.H.; Zhang, J.; Gao, Y.X.; Zhang, L.X. Research progress of insecticide oxazosulfyl and its analogues. Contemp. Chem. Ind. 2022, 51, 423–430. [Google Scholar] [CrossRef]
- Suzuki, T.; Yamato, S. Oxazosulfyl, a novel sulfyl insecticide, binds to and stabilizes the voltage-gated sodium channels in the slow-inactivated state. J. Agr. Food Chem. 2021, 69, 4048–4055. [Google Scholar] [CrossRef]
- Chen, J.X.; Yi, C.F.; Wang, S.B.; Wu, S.K.; Li, S.Y.; Hu, D.Y.; Song, B.A. Novel amide derivatives containing 1,3,4-thiadiazole moiety: Design, synthesis, nematocidal and antibacterial activities. Bioorg. Med. Chem. Lett. 2019, 29, 1203–1210. [Google Scholar] [CrossRef]
- Wang, S.; Chen, J.; Shi, J.; Wang, Z.; Hu, D.; Song, B. Novel cinnamic acid derivatives containing the 1,3,4-oxadiazole moiety: Design, synthesis, antibacterial activities, and mechanisms. J. Agric. Food Chem. 2021, 69, 11804–11815. [Google Scholar] [CrossRef]
- Mou, H.; Shi, J.; Chen, J.; Hu, D. Synthesis, antibacterial activity and mechanism of new butenolides derivatives containing an amide moiety. Pestic. Biochem. Physiol. 2021, 178, 104913. [Google Scholar] [CrossRef]
- Sundin, G.W.; Wang, N. Antibiotic resistance in plant-pathogenic bacteria. Annu. Rev. Phytopathol. 2018, 56, 161–180. [Google Scholar] [CrossRef]
- Ji, Z.; Wang, C.; Zhao, K. Rice Routes of Countering Xanthomonas oryzae. Int. J. Mol. Sci. 2018, 2018 19, 3008. [Google Scholar] [CrossRef]
- Wu, S.; Shi, T.; Chen, J.; Hu, D.; Zang, L.; Song, B. Synthesis, antibacterial activity, and mechanisms of novel 6 sulfonyl-1,2,4-triazolo[3,4 b][1,3,4]thiadiazole derivatives. J. Agric. Food Chem. 2021, 69, 4645–4654. [Google Scholar] [CrossRef]
- Liu, T.; Shi, J.; Liu, D.; Zhang, D.; Song, B.; Hu, D. Discovery of novel benzo[4,5]thiazolo(oxazolo)[3,2-a]pyrimidinone mesoionic derivatives as potential antibacterial agents and mechanism research. J. Agric. Food Chem. 2022, 70, 99–110. [Google Scholar] [CrossRef]
- Tang, X.; Wang, Z.; Zhong, X.; Wang, X.; Chen, L.; He, M.; Xue, W. Synthesis and biological activities of benzothiazole derivativesbearing a 1,3,4-thiadiazole moiety. Phosphorus Sulfur Silicon Relat. Elem. 2019, 194, 241–248. [Google Scholar] [CrossRef]
- Wang, Y.; Li, P.; Jiang, S.; Chen, Y.; Su, S.; He, J.; Chen, M.; Zhang, J.; Xu, W.; He, M.; et al. Synthesis and antibacterial evaluation of novel chalcone derivatives containing a benzothiazole scaffold. Monatsh. Chem. 2019, 150, 1147–1154. [Google Scholar] [CrossRef]
- Zhang, J.; Wei, C.; Li, S.; Hu, D.; Song, B. Discovery of novel bis-sulfoxide derivatives bearing acylhydrazone and benzothiazole moieties as potential antibacterial agents. Pestic. Biochem. Physiol. 2020, 167, 104605. [Google Scholar] [CrossRef]
- Wang, Y.; Zhou, R.; Sun, N.; Sun, M.; He, M.; Wu, Y.; Xue, W. Synthesis and antibacterial activity of novel 1,4-pentadien-3-one derivatives bearing a benzothiazole moiety. J. Heterocycl. Chem. 2021, 59, 533–542. [Google Scholar] [CrossRef]
- Kang, Z.S. Current status and development strategy for research on plant fungal diseases in China. Plant Protect. 2010, 36, 9–12. [Google Scholar] [CrossRef]
- El-Baky, N.A.; Amara, A.A.A.F. Recent approaches towards control of fungal diseases in plants: An updated review. J. Fungi 2021, 7, 900. [Google Scholar] [CrossRef]
- Luo, X.; Chen, Y.F.; Wang, Y.; Xing, Z.; Peng, J.; Chen, J.X. Design, synthesis and antifungal activity of novel amide derivatives containing a pyrrolidine moiety as potential succinate dehydrogenase inhibitors. Mol. Divers. 2023. [Google Scholar] [CrossRef] [PubMed]
- Ons, L.; Bylemans, D.; Thevissen, K.; Cammue, B.P. Combining biocontrol agents with chemical fungicides for integrated plant fungal disease control. Microorganisms 2020, 8, 1930. [Google Scholar] [CrossRef] [PubMed]
- Wei, Y.; Li, S.; Hao, S. New angular oxazole-fused coumarin derivatives: Synthesis and biological activities. Nat. Prod. Res. 2018, 32, 1824–1831. [Google Scholar] [CrossRef] [PubMed]
- Xu, H.; Wei, Y.; Hao, S. 4-Methylumbelliferone fused oxazole thioether derivatives: Synthesis, characterization and antifungal activities. Nat. Prod. Res. 2022, 36, 707–713. [Google Scholar] [CrossRef] [PubMed]
- Fan, L.; Luo, Z.; Yang, C.; Guo, B.; Miao, J.; Chen, Y.; Tang, L.; Li, Y. Design and synthesis of small molecular 2-aminobenzoxazoles as potential antifungal agents against phytopathogenic fungi. Mol. Divers. 2022, 26, 981–992. [Google Scholar] [CrossRef] [PubMed]
- Ballari, M.S.; Cano, N.H.; Lopez, A.G.; Wunderlin, D.A.; Feresin, G.; Santiago, A.N. Green Synthesis of potential antifungal agents: 2-benzyl substituted thiobenzoazoles. J. Agric. Food Chem. 2017, 65, 10325–10331. [Google Scholar] [CrossRef]
- Huang, W.; Yang, G. Microwave-assisted, one-pot syntheses and fungicidal activity of polyfluorinated 2-benzylthiobenzothiazoles. Bioorg. Med. Chem. 2006, 14, 8280–8285. [Google Scholar] [CrossRef]
- Huang, W.; Zhao, P.; Liu, C.; Chen, Q.; Liu, Z.; Yang, G. Design, synthesis, and fungicidal activities of new strobilurin derivatives. J. Agric. Food Chem. 2007, 55, 3004–3010. [Google Scholar] [CrossRef]
- Zhao, P.; Wang, F.; Huang, W.; Chen, Q.; Liu, Z. Synthesis and Fungicidal Activities of Novel Thioethers Containing Benzothiazole Moiety. Chin. J. Org. Chem. 2010, 30, 1567–1573. [Google Scholar]
- Singh, R.P.; Singh, D.V.; Singh, C.R.; Tripathi, S.P.; Singh, S. Synthesis and antifungal activity of 2-azetidinones, 4-thiazolidinones and 5-imidazolidinones incorporating benzthiazole moiety. Chem. Pharm. Res. 2012, 4, 2055–2060. [Google Scholar]
- Wang, Y.; Song, H.Y.; Wang, S.; Cai, Q.F.; Zhang, Y.; Zou, Y.; Liu, X.; Chen, J.X. Discovery of quinazoline compound as a novel nematicidal scaffold. Pestic. Biochem. Physiol. 2023, 189, 105310. [Google Scholar] [CrossRef]
- Hou, X.; Wang, M.; Jing, S.; Niu, S. Synthesis and induced resistance activities of methyl 2-amidobenzothiazole-7-carboxylates. Chin. J. Pestic. Sci. 2006, 8, 5. [Google Scholar] [CrossRef]
- Zhao, J.; Zhou, Y.; Xu, X.; Lie, Z.; Zhu, G.; Jing, C. Synthesis and biological activities of N-(substituted-thiazole-2-yl)-chrysanthemumamide. Chin. J. Org. Chem. 2010, 30, 719–725. [Google Scholar]
- Sidhu, A.; Kukreja, S. Synthesis of novel fluorinated benzothiazol-2-yl-1,2,4-triazoles: Molecular docking, Antifungal evaluation and in silico evaluation for SAR. Arab. J. Chem. 2019, 12, 2118–2127. [Google Scholar] [CrossRef]
- Wang, X.; Gao, S.; Yang, J.; Gao, Y.; Wang, L.; Tang, X. Synthesis and antifungal activity evaluation of new heterocycle containing amide derivatives. Nat. Prod. Res. 2015, 30, 682–688. [Google Scholar] [CrossRef]
- Gao, Y.; Yang, J.; Gao, S.; Wang, X.; Tang, X. Synthesis of N-(benzod]thiazol-2-yl) furan-2-carboxamide and Research on Its Antifungal Activity. J. Xihua Univ. 2016, 9, 92–96. [Google Scholar] [CrossRef]
- Bondock, S.; Fadaly, W.; Metwally, M.A. Synthesis and antimicrobial activity of some new thiazole, thiophene and pyrazole derivatives containing benzothiazole moiety. Eur. J. Med. Chem. 2010, 45, 3692–3701. [Google Scholar] [CrossRef]
- Sareen, V.; Khatri, V.; Garg, U.; Jain, P.; Sharma, K. Synthesis of Some New 2-(4-Nitrobenzothiazol-2′-ylamino)-4-(2-chloro-4-trifluoromethylanilino)-6-(substituted Thioureido)-1,3,5-triazines as Antifungal Agents. Phosphorus Sulfur Silicon Relat. Elem. 2007, 182, 2943–2948. [Google Scholar] [CrossRef]
- Lv, X.; Zhang, X.; Tang, W. Synthesis and antibacterial activity of cinnamic acyl thiourea derivatives. Appl. Chem. 2010, 25, 1286–1290. [Google Scholar] [CrossRef]
- Weng, J.; Huang, H.; Ta, C.; Liu, X.; Chu, W.; Chen, J. Synthesis and antifungal activity of novel substituted-3-aryl-1,2,4-triazolo[3,4-b]benzothiazoles. Chin. J. Org. Chem. 2012, 32, 957. [Google Scholar] [CrossRef]
- Weng, J.; Tan, C.; Liu, X. Synthesis and fungicidal activity of hydrazones containing 4-methylbenzod]thiazole moiety. J. Pestic. Sci. 2012, 37, 164–168. [Google Scholar] [CrossRef]
- Xiao, H.; Wu, F.; Shi, L.; Chen, Z.W.; Su, S.H.; Tang, C.H.; Wang, H.T.; Li, Z.N.; Li, M.C.; Shi, Q.C. Cinchona alkaloid derivative-catalyzed enantioselective synthesis via a Mannich-type reaction and antifungal activity of β-amino esters bearing benzoheterocycle moieties. Molecules 2014, 19, 3955–3972. [Google Scholar] [CrossRef] [PubMed]
- Zeng, Z.; Huang, Q.; Wei, Y.; Huang, Q.; Wang, Q. Synthesis, crystal structure and antibacterial activity of thiourea derivatives with benzothiazole-ring. Chem. Reagents 2017, 39, 241–246. [Google Scholar] [CrossRef]
- Huo, X.; Li, W.; Zhang, B.; Chen, X.; Zhou, Y.; Zhang, J.; Han, X.; Dai, B. Synthesis and fungicidal evaluation of novel β-carboline benzimidazole and β-carboline-benzothiazole hybrids. Chin. J. Org. Chem. 2018, 38, 3356–3362. [Google Scholar] [CrossRef]
- Upadhyay, R.K.; Saini, K.K.; Deswal, N.; Singh, T.; Tripathi, K.P.; Kaushik, P.; Shakil, N.A.; Bharti, A.C.; Kumar, R. Synthesis of benzothiazole-appended bis-triazole-based structural isomers with promising antifungal activity against Rhizoctonia solani. RSC Adv. 2022, 12, 24412–24426. [Google Scholar] [CrossRef]
- Jones, R.A.C. Global plant virus disease pandemics and epidemics. Plants 2021, 10, 233. [Google Scholar] [CrossRef]
- Liu, Y.; Chen, J.; Xie, D.; Song, B.; Hu, D. First report on anti-TSWV activities of quinazolinone derivatives containing a dithioacetal moiety. J. Agric. Food Chem. 2021, 69, 12135–12142. [Google Scholar] [CrossRef]
- He, F.; Shi, J.; Wang, Y.; Wang, S.; Chen, J.; Gan, X.; Song, B.; Hu, D. Synthesis, Antiviral activity, and mechanisms of purine nucleoside derivatives containing a sulfonamide moiety. J. Agric. Food Chem. 2019, 67, 8459–8467. [Google Scholar] [CrossRef]
- Tatineni, S.; Hein, G.L. Plant viruses of agricultural importance: Current and future perspectives of virus disease management strategies. Phytopathology 2023, 113, 117–141. [Google Scholar] [CrossRef]
- Calil, I.P.; Fontes, E.P. Plant immunity against viruses: Antiviral immune receptors in focus. Ann. Bot. 2017, 119, 711–723. [Google Scholar] [CrossRef]
- Xiao, Q.Z.; Deng, B.; Zou, H.L.; Teng, Q.J.; Zhou, Z.C. Study progress in biological prevention of plant virus. South China Agric. 2021, 15, 64–69. [Google Scholar] [CrossRef]
- Yu, W.X.; Shen, J.Z. An overview on plant viral diseases and antiviral agents. World Pestic. 2021, 43, 17–24. [Google Scholar] [CrossRef]
- Zhang, J.; He, F.; Chen, J.; Wang, Y.; Yang, Y.; Hu, D.; Song, B. Purine nucleoside derivatives containing a sulfa ethylamine moiety: Design, synthesis, antiviral activity, and mechanism. J. Agric. Food Chem. 2021, 69, 5575–5582. [Google Scholar] [CrossRef]
- Jiang, D.; Chen, J.; Zan, N.; Li, C.; Hu, D.; Song, B. Discovery of novel chromone derivatives containing a sulfonamide moiety as anti-ToCV agents through the tomato chlorosis virus coat protein-oriented screening method. Bioorg. Med. Chem. Lett. 2021, 53, 128431. [Google Scholar] [CrossRef]
- Han, X.; Zheng, P.C.; Tang, C.P.; Xie, Y.; Wu, F.; Song, J.; Zhao, J.; Li, Z.N.; Li, M.C. Synthesis and anti-TMV activity of dialkyl/dibenzyl 2-((6-substituted-benzod]thiazol-2-ylamino)(benzofuran-2-yl)methyl) malonates. Molecules 2013, 18, 13623–13635. [Google Scholar] [CrossRef]
- Xiao, H.; Li, P.; Hu, D.; Song, B.A. Synthesis and anti-TMV activity of novel β-amino acid ester derivatives containing quinazoline and benzothiazole moieties. Bioorg. Med. Chem. Lett. 2014, 24, 3452–3454. [Google Scholar] [CrossRef]
- Yao, Y.Y.; Zhang, X.; Chen, S.X.; Xing, M.M.; Shu, H.; Tang, B.C.; Xue, W. Synthesis of benzothiazol-β-amino acid esters derivatives applied to research of anti-TMV. Molecules 2016, 32, 320–326. [Google Scholar] [CrossRef]
- Zhang, P.; Tang, C.; Chen, Z.; Wang, B.; Wang, X.; Jin, L.; Yang, S.; Hu, D. Design, synthesis, and antiviral activity of α-aminophosphonates bearing a benzothiophene moiety. Phosphorus Sulfur Silicon Relat. Elem. 2014, 189, 530–540. [Google Scholar] [CrossRef]
- Xie, D.; Zhang, A.; Liu, D.; Yin, L.; Wan, J.; Zeng, S.; Hu, D. Synthesis and antiviral activity of novel a-aminophosphonates containing 6-fluorobenzothiazole moiety. Phosphorus Sulfur Silicon Relat. Elem. 2017, 192, 1061–1067. [Google Scholar] [CrossRef]
- Tian, J.; Ji, R.; Wang, H.; Li, S.; Zhang, G. Discovery of novel α-aminophosphonates with hydrazone as potential antiviral agents combined with active fragment and molecular docking. Adv. Novel Nat. Prod. Pestic. 2022, 10, 2296–2646. [Google Scholar] [CrossRef]
- Liu, L.; Song, B.; Bhadury, P.S.; Hu, D.; Yang, S. Synthesis and bioactivities of α-aminophosphonate derivatives containing benzothiazole and thiourea moieties. Phosphorus Sulfur Silicon Relat. Elem. 2012, 187, 61–70. [Google Scholar] [CrossRef]
- Yang, S.; Song, B.; Liu, X.; Pang, L.; Jin, L.; Wang, H.; Hu, D.; Liu, G. Synthesis and anti-tmv activity of 2-(benzod]thiazol-2-ylthio)-1-(2,3,4-trimethoxyphenyl) ethanoxime ester and ether derivativies. Chin. J. Org. Chem. 2005, 25, 1116–1120. [Google Scholar] [CrossRef]
- Ouyang, G.; Song, B.; Hu, D.Y. A novel synthesis of (E)-3-methylthio-3-substituted arylamino-2-cyanoacrylates under microwave irradiation. Molecules 2005, 10, 1351–1357. [Google Scholar] [CrossRef] [PubMed]
- Xue, W.; Li, H.; Fan, H.; Xiong, Z.; He, Y.; Qi, H. Synthesis and biological activity of anthranilic diamides compounds containing fluorine and benzothiazole unites. J. Univ. Jinan Sci. Tech. 2012, 26, 353–357. [Google Scholar]
- Wang, Z.B.; Zhu, X.S.; Liu, M.; Zhang, X.; Xue, W. Synthesis and biological activity of oxime ethers of curcumin derivatives. Chin. J. Org. Chem. 2014, 34, 1662. [Google Scholar] [CrossRef]
- Sun, J.Q.; Ren, X.L.; Hu, H.Y.; Jiang, W.L.; Ma, Y.J.; Wang, D.; Song, X.P.; Ma, Y.; Ma, X.Y. The factors influencing weed community succession in the crop field. J. Weed Sci. 2019, 37, 1–9. [Google Scholar] [CrossRef]
- Zheng, Z.; Ruhai, L.; Can, Z.; Sheng, Q. Reduction in weed infestation through integrated depletion of the weed seed bank in a rice-wheat cropping system. Agron. Sustain. Dev. 2021, 41, 1–14. [Google Scholar] [CrossRef]
- Jabusch, T.; Tjeerdema, R. Chemistry and fate of triazolopyrimidine sulfonamide herbicides. Rev. Environ. Contam. Toxicol. 2008, 193, 31–52. [Google Scholar] [CrossRef]
- Chipman, D.; Duggleby, R.; Tittmann, K. Mechanisms of acetohydroxyacid synthases. Curr. Opin. Chem. Biol. 2005, 9, 475–481. [Google Scholar] [CrossRef]
- Zhou, J.; Liu, K.; Xin, F.; Ma, J.; Xu, N.; Zhang, W.; Fang, Y.; Jiang, M.; Dong, W. Recent insights into the microbial catabolism of aryloxyphenoxy-propionate herbicides: Microbial resources, metabolic pathways and catabolic enzymes. World J. Microb. Biot. 2018, 34, 1–8. [Google Scholar] [CrossRef]
- Zhang, X.; Huang, Q.; Zhao, Z.; Xu, X.; Li, S.; Yin, H.; Li, L.; Zhang, J.; Wang, R. An eco-and user-friendly herbicide. J. Agric. Food Chem. 2019, 67, 7783–7792. [Google Scholar] [CrossRef]
- Neve, P.; Vila-Aiub, M.; Roux, F. Evolutionary-thinking in agricultural weed management. New Phytol. 2009, 184, 783–793. [Google Scholar] [CrossRef]
- Beckie, H.J.; Ashworth, M.B.; Flower, K.C. Herbicide resistance management: Recent developments and trends. Plants 2019, 8, 161. [Google Scholar] [CrossRef]
- Liu, Q.; Hu, A.X.; Wang, X.G.; Lei, M.X.; OU, X.M.; Ren, Y.G.; Haung, L.; Liu, A.P. Synthesis and herbicidal activity of N-arylmethyl-2-(4-arylxoyphenoxy) propionamide. Chem. J. Chin. Univ. 2014, 35, 262–269. [Google Scholar] [CrossRef]
- Ji, Z.; Zhou, F.; Wei, S. Synthesis and herbicidal activities of benzothiazole N,O-acetals. Bioorg. Med. Chem. Lett. 2015, 25, 4065–4068. [Google Scholar] [CrossRef]
- Che, J.Y.; Meng, X.S.; Xu, X.Y.; Jiang, S.; Gu, Y.C.; Shi, D.Q. Synthesis and herbicidal evaluation of novel uracil derivatives containing benzothiazole-2-yl moiety. J. Heterocycl. Chem. 2016, 53, 1494–1498. [Google Scholar] [CrossRef]
- Zhang, Y.; Chen, Y.; Xun, X.; Chen, S.; Liu, Y.; Wang, Q. Design, synthesis, acaricidal activities, and structure–activity relationship studies of oxazolines containing ether moieties. J. Agric. Food Chem. 2022, 70, 13538–13544. [Google Scholar] [CrossRef]
- Jiang, L.L.; Ying, T.; Zhu, X.L.; Wang, Z.F.; Yang, Z.; Qiong, C.; Zhen, X.; Yang, G.F. Design, synthesis, and 3D-QSAR analysis of novel 1,3,4-Oxadiazol-2(3H)-ones as protoporphyrinogen oxidase inhibitors. J. Agric. Food Chem. 2010, 58, 2643–2651. [Google Scholar] [CrossRef]
- Rios, D.A.; Specht, A.; Roque Specht, V.F.; Sosa Gómez, D.R.; Fochezato, J.; Malaquias, J.V.; Gonçalves, G.L.; Moreira, G.R. Helicoverpa armigera and Helicoverpa zea hybridization: Constraints, heterosis, and implications for pest management. Pest Manag. Sci. 2022, 78, 955–964. [Google Scholar] [CrossRef]
- Zhou, J.; Meng, L.; Li, B. Non-reproductive effects of two parasitoid species on the oriental armyworm Mythimna separate on wheat and maize plants. BioControl 2019, 64, 115–124. [Google Scholar] [CrossRef]
- Sun, R.; Li, Y.; Maoyun, L.; Xiong, L.; Wang, Q. Synthesis, larvicidal activity, and sar studies of new benzoylphenylureas containing oxime ether and oxime ester group. Bioorg. Med. Chem. Lett. 2010, 20, 4693–4699. [Google Scholar] [CrossRef] [PubMed]
- Shi, D.; Liang, P.; Zhang, L.; Lv, H.; Gao, X.; You, H.; Li, J.; Ma, K. Susceptibility baseline of Aphis gossypii Glover (Hemiptera: Aphididae) to the novel insecticide afidopyropen in China. Crop Prot. 2022, 151, 105834. [Google Scholar] [CrossRef]
- Chen, Y.P.; Wang, Z.D.; Fu, H.T.; Liao, L.P.; Chen, Y.; Liu, X.F. Analytical methods and research progress of neonicotinoid insecticides. Fine Chem. Intermed. 2023, 53, 1–9. [Google Scholar] [CrossRef]
- Yi, C.F.; Chen, J.X.; Wei, C.Q.; Wu, S.K.; Wang, S.B.; Hu, D.Y.; Song, B.A. α-Haloacetophenone and analogues as potential antibacterial agents and nematicides. Bioorg. Med. Chem. Lett. 2020, 30, 126814. [Google Scholar] [CrossRef]
- Sword, G.; Lecoq, M.; Simpson, S. Phase polyphenism and preventative locust management. J. Insect. Physiol. 2010, 56, 949–957. [Google Scholar] [CrossRef]
- Chen, J.; Li, Q.X.; Song, B. Chemical nematicides: Recent research progress and outlook. J. Agric. Food Chem. 2020, 68, 12175–12188. [Google Scholar] [CrossRef]
- Alexzandrino, D.A.M.; Almeida, C.; Marisa, R.; Mucha, A.P.; Carvalho, M.F. Revisiting pesticide pollution: The case of fluorinated pesticides. Environ. Pollut. 2022, 292, 118315. [Google Scholar] [CrossRef]
- Lv, J.; Guo, L.; Gu, Y.; Xu, Y.; Xue, Q.; Yang, X.; Wang, Q.; Meng, X.; Xu, D. National temporal trend for organophosphate pesticide DDT exposure and associations with chronic kidney disease using age-adapted eGFR model. Environ. Int. 2022, 169, 107499. [Google Scholar] [CrossRef]
- Tian, P.Y.; Liu, D.Y.; Liu, Z.J.; Shi, J.; He, W.J.; Qi, P.Y.; Chen, J.X.; Song, B.A. Design, synthesis, and insecticidal activity evaluation of novel 4-(N,N-diarylmethylamines)furan-2(5H)-one derivatives as potential acetylcholine receptor insecticides. Pest Manag. Sci. 2019, 75, 427–437. [Google Scholar] [CrossRef]
- Mithlesh, P.K.P.H. ChemInform Abstract: Microwave synthesis of new biologically Important 1,4-Dihydropyridines containing benzothiazole moiety. Collect. Czech. Chem. 2010, 75, 275–287. [Google Scholar] [CrossRef]
- Pareek, P.; Kant, R.; Shukla, S.; Ojha, K. Rapid synthesis and biological evaluation of 1, 4-dihydropyridine derivatives containing a benzothiazolyl moiety. Open Chem. 2010, 8, 163–173. [Google Scholar] [CrossRef]
- Guan, A.; Qin, Y.; Wang, J.; Li, B. Synthesis and insecticidal activity of novel dihalopropene derivatives containing benzoxazole moiety: A structure–activity relationship study. J. Fluor. Chem. 2013, 156, 120–123. [Google Scholar] [CrossRef]
- Yang, C.; Zhi, X.; Xu, H. Synthesis of benzoxazole derivatives of honokiol as insecticidal agents against Mythimna separata Walker. Bioorg. Med. Chem. Lett. 2015, 25, 2217–2219. [Google Scholar] [CrossRef]
- Singh, T.; Srivastava, V.K.; Saxena, K.K.; Goel, S.L.; Kumar, A. Synthesis of new thiazolylthiazolidinylbenzothiazoles and thiazolylazetidinylbenzothiazoles as potential insecticidal, antifungal, and antibacterial agents. Arch. Pharm. 2006, 339, 466–472. [Google Scholar] [CrossRef]
- Pareek, D.; Chaudhary, M.; Pareek, P.K.; Kant, R.; Ojha, K.G.; Iraqi, S.; Pareek, A. Synthesis of some biologically important 2-thiobarbituric acid derivatives incorporating benzothiazole moiety. Der Pharm. Lett. 2010, 2, 274–283. [Google Scholar] [CrossRef]
- Deng, X.G.; Guo, S.X.; Wang, Y.M.; Zhou, Z.H. Synthesis and insecticidal activity of new neonicotinoid compounds. Fine Chem. Intermed. 2012, 3, 23–25. [Google Scholar] [CrossRef]
- Kalavagunta, P.K.; Pala, R.; Pathipati, U.R.; Ravirala, N. Identification of naphthol derivatives as novel antifeedants and insecticides. J. Agr. Food Chem. 2014, 62, 6571–6576. [Google Scholar] [CrossRef]
- Li, J.; Wang, Z.Y.; Wu, Q.Y.; Yang, G.F. Design, synthesis and insecticidal activity of novel 1, 1-dichloropropene derivatives. Pest Manag. Sci. 2015, 71, 694–700. [Google Scholar] [CrossRef]
- Shang, J.; Li, Y.; Yang, N.; Xiong, L.; Wang, B. Synthesis and evaluation of novel1-(((6-substitutedbenzod]thiazol-2-yl)amino)(heteroaryl) methyld) naphthalen-2-ol as pesticidal agents. J. Enzym. Inhib. Med. Ch. 2022, 37, 641–651. [Google Scholar] [CrossRef]











| Compound | Bacteria | Concentration | Antibacterial Activity | SAR/Physiology and Biochemistry |
|---|---|---|---|---|
| 1 | Xoc Xac | 47.6 a 36.8 a | The expression of SDH during oxidative phosphorylation is up-regulated. | |
| 2 | Xoo | 100 mg/L | 52.4% | |
| 3 | Rs | 100 mg/L | 71.6% | The introduction of the nitro group and trifluoromethyl group plays a key role. |
| 4 | Xoo Xac Rs | 100 mg/L | 52.40% 50.97% 36.49%, | The introduction of electron-withdrawing groups enhances the antibacterial activity of the compounds. |
| 7 | Xoo | 11.4 a | Cell morphology is altered and biofilm formation is inhibited. | |
| 10 | Xoo | 20.0 a | The introduction of the fluorine atom plays a key role. | |
| 11 | Xac | 35.7 a | The cell surface morphology is folded and damaged. | |
| 12 | Xac | 28.5 a |
| Compound | Fungus | Concentration | Antifungal Activity | SAR/Molecular Docking |
|---|---|---|---|---|
| 13 | Alternaria brassicae | 0.3 a | ||
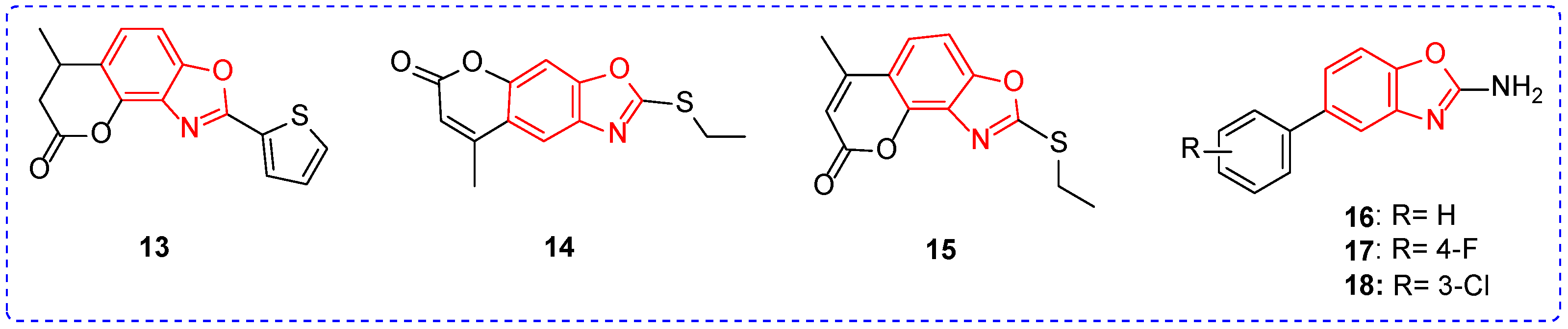
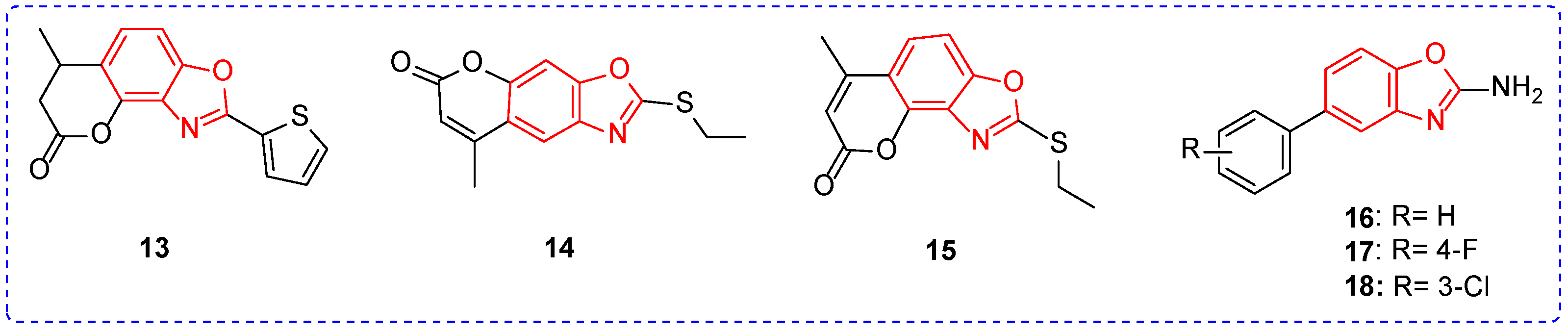
| 14 | Botrytis cinerea | 90 mg/L | >88% | |
| 16 | Botrytis cinerea | 2.40 a | Compound 16 may show fungicidal activity by binding to the active site of the sec14p target of fungi | |
| 18 | Botrytis cinerea | 1.69 a | The introduction of electron-absorbing groups is beneficial for antifungal activity. |
| Compound | Fungus | Concentration | Antifungal Activity | SAR |
|---|---|---|---|---|
| 19 | Botrytis cinerea | 1.4 a | The addition of methylene between benzothiazole and aryl increased the fungicidal activity of the compound | |
| 20 | Rhizoctonia solani, Botrytis cinereal, Dothiorella gregaria, Colletotrichum gossypii | 50 mg/L | 92% 97% 89% 78% | |
| 22 | Sphaerotheca fuliginea, Pseudoperoniospora cubensis | 6.17 b 46.32 b | ||
| 23 | Sphaerotheca fuliginea, Pseudoperoniospora cubensis | 50 mg/L | 67% 67% | The introduction of large steric groups reduces the fungicidal activity of the compound. |
| 25 27 29 | Phytophthora infestans | 100 ppm | 58% 53% 58% | The fungicidal activity improves when chlorine atoms on position-2 of the benzene ring are replaced by position-4 fluorine atoms. |
| Compound | Fungus | Concentration | Antifungal Activity | SAR |
|---|---|---|---|---|
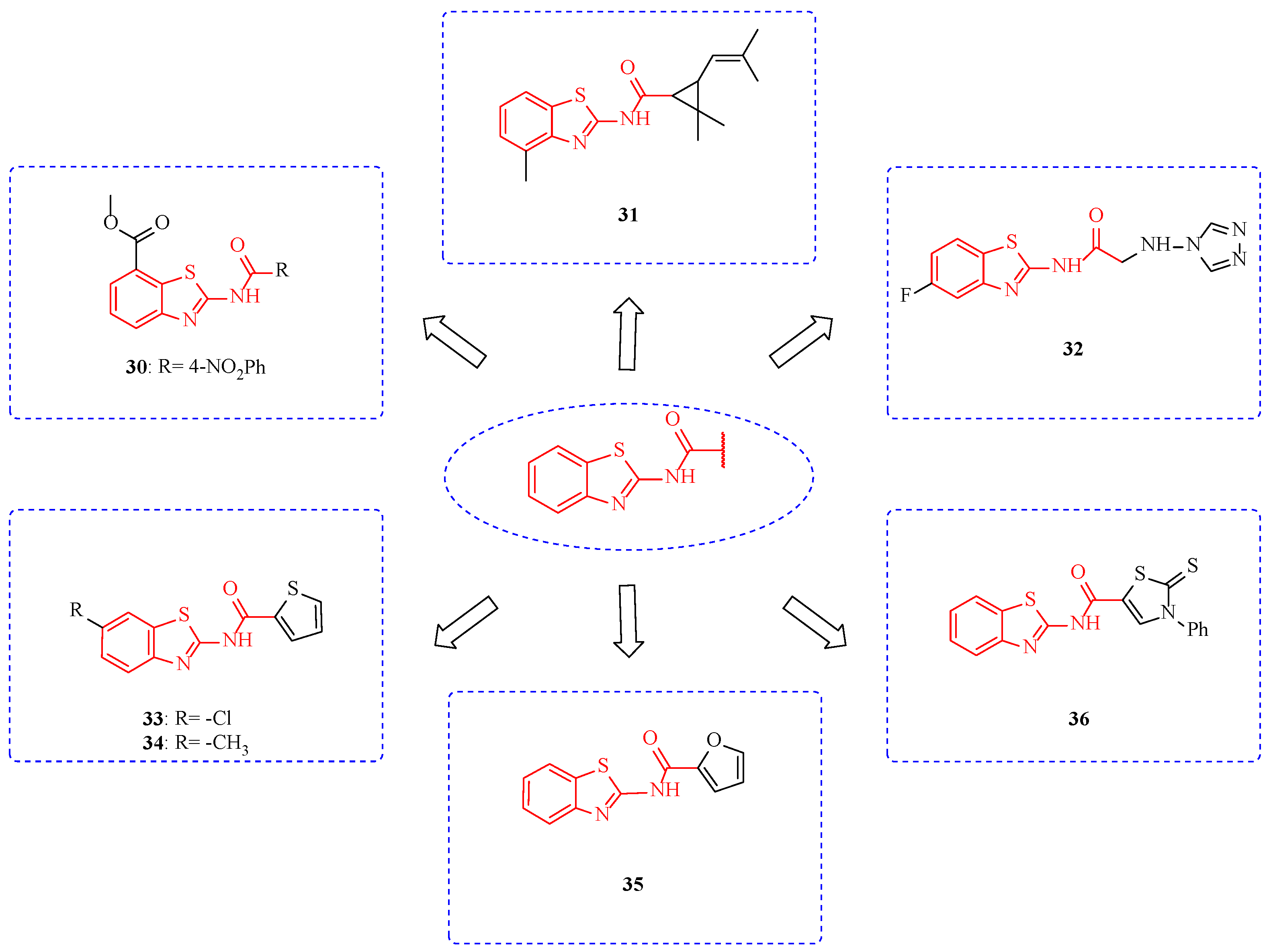
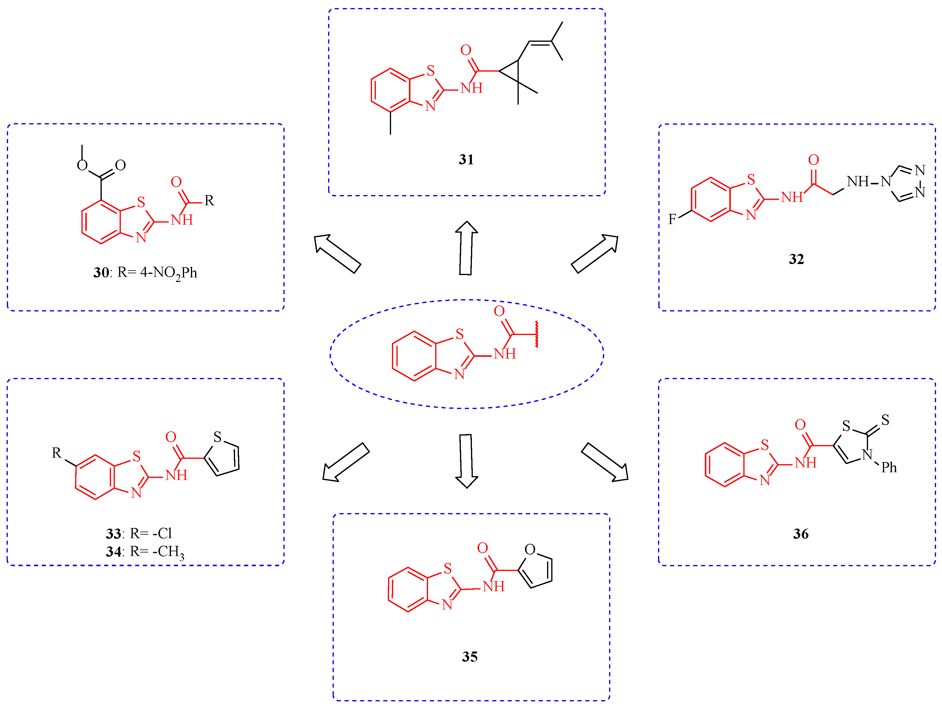
| 30 | Botrytis cinereal | 1000 mg/L | 88.9% | The introduction of the nitrophenyl group increases antifungal activity. |
| 31 | Botrytis cinereal, Gibberella zeae | 50 mg/L | 80% 75% | The introduction of permethric acid had no significant contribution to the fungicidal activity of the compound |
| 32 | Ustilago tritici, Puccinia striiformis, Puccinia triticina, Blumeria graminis, Dickeya oryzae Ustilag ohordeiare | <0.8 a | ||
| 35 | Rhizoctonia solani, Botrytis cinereal, Gibberella zeae, Helminthosporium maydis, Sclerotinia sclerotiorum | 50 mg/L | 93.8%, 94.1%, 93.4%, 94.6%, 94.5% | The introduction of oxazoles plays a key role |
| 36 | Fusarium oxysporum | 12.5 b |
| Compound | Fungus | Concentration | Antifungal Activity |
|---|---|---|---|
| 37 | Alternaria alternate, Aspergillus niger | 100 mg/L | 38% 39% |
| 38 | Gibberella zeae | 250 mg/L | 53.5% |
| 39 | Sclerotinia sclerotiorum | 100 mg/L | 87.5% |
| 41 | Rhizoctonia solani | 50 mg/L | 70.43% |
| 42 | Fusarium oxysporum | 50 mg/L | 60.53% |
| 43 | Aspergillus oryzae | 10 mg/L | 0.81 a |
| 46 | Rape sclerotinia rot | 50 mg/L | 81.61% |
| 47 | Rhizoctonia solani | 0.96 b |
| Compound | Virus | Concentration | Antiviral Activity | SAR |
|---|---|---|---|---|
| 50 | TMV | 500 mg/L | 54.41% a | The electron-donating group in the benzothiazole ring may play a key role |
| 52 | TMV | 500 mg/L | 55.96% b | The introduction of the chlorine atom plays a key role |
| 54 | TMV | 500 mg/L | 28.2% | |
| 57 | TMV | 500 mg/L | 48.1% a | |
| 58 | TMV | 500 mg/L | 48.2% a | |
| 61 | TMV | 500 mg/L | 74.3% a 78.7% b 94.3% c | The hydrazone’s structure can affect the compounds’ antiviral activity. |
| Compound | Virus | Concentration | Antiviral Activity | SAR |
|---|---|---|---|---|
| 62 | TMV | 500 mg/L | 52.9% a | Straight-chain alkane is beneficial to the antiviral activity of the compound |
| 67 | TMV | 500 mg/L | 44.0% | The introduction of the benzene ring is beneficial to the improvement of the anti-TMV activity of the compound |
| 68 | CMV | 50 mg/L | 46.3% | The growth of the alkyl chain had little effect on the antiviral activity of the compound |
| 71 | TMV | 500 mg/L | 45.1% | |
| 73 | TMV | 500 mg/L | 52% | The introduction of the thiazole ring is beneficial to the antiviral activity of the compound |
| 75 | TMV | 500 mg/L | 83.3% b,c |
| Compound | Weeds | Concentration | Herbicidal Activity | SAR/Physiology and Biochemistry |
|---|---|---|---|---|
| 76 | Digitaria sanguinalis, Setaria viridis | 75 g/ha | 90% | The compound shows good safety on the stems and leaves of rice |
| 78 | the roots of Chenopodium album, the stems of Chenopodium album | 100 μg/L | 93% 85% | The compound inhibits the growth of the taproot and stem of the Chenopodium album |
| 79 | Setaria viridis, Ditaria sanguinalis, Amaranthus retroflexus | 37.5 g/hm2 | 100% | The introduction of the alkoxy group was beneficial to increase the herbicidal activity. |
| 81 | Amaranthus retroflexus | 10 mg/L | 99% | The introduction of fluorine may have increased the herbicidal activity of the compounds |
| 84 | Abutilon theophrasti, Cyperus iria, Rumex acetasa, Eclipta prostrate | 37.5 g/hm2 | >80% |
| Compound | Pests | Concentration | Insecticidal Activity | SAR |
|---|---|---|---|---|
| 88 | Spodoptera litura | 0.07 a | The introduction of the ethoxy group may play a key role | |
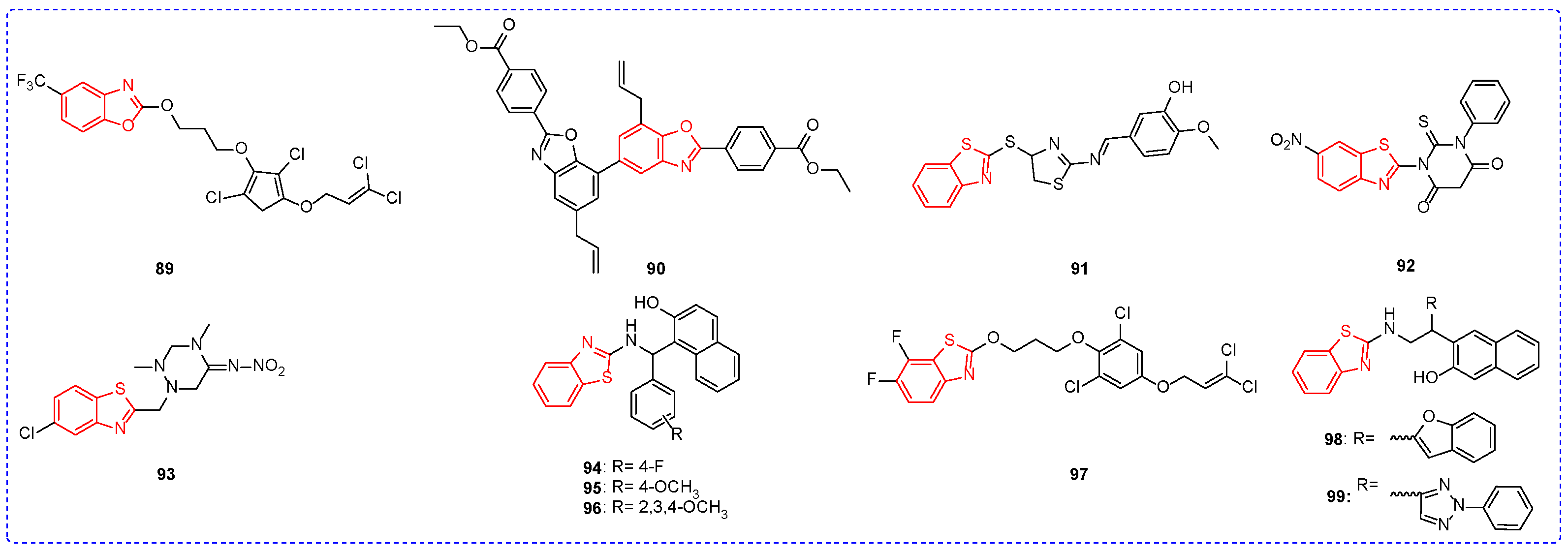
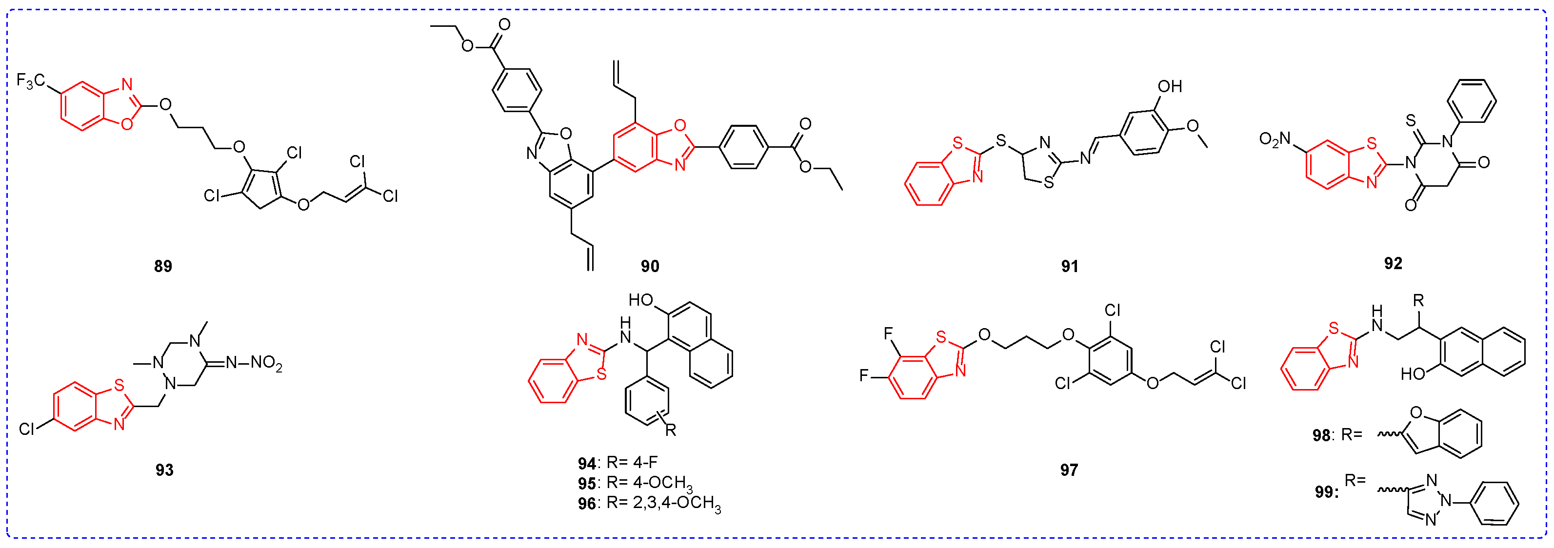
| 89 | Spodoptera exigua | 1 mg/L | 100% | The strong electron-absorbing group may play a key role |
| 90 | Mythimna separata Walker | 1 mg/L | 62.1% | |
| 91 | cockroaches | 5 g/L | 147 b | |
| 92 | Tetranychus urticae | 0.07 c | ||
| 93 | Aphis | 200 mg/mL | 54% | |
| 96 | Achaea janata | 5.2 d | Fluorine atom on the benzene ring improves the insecticidal activity of the compound | |
| 97 | Bollworm | 4.90 c | ||
| 98 | Diamondback moth | 1 mg/L | 88% |
Disclaimer/Publisher’s Note: The statements, opinions and data contained in all publications are solely those of the individual author(s) and contributor(s) and not of MDPI and/or the editor(s). MDPI and/or the editor(s) disclaim responsibility for any injury to people or property resulting from any ideas, methods, instructions or products referred to in the content. |
© 2023 by the authors. Licensee MDPI, Basel, Switzerland. This article is an open access article distributed under the terms and conditions of the Creative Commons Attribution (CC BY) license (https://creativecommons.org/licenses/by/4.0/).
Share and Cite
Zou, Y.; Zhang, Y.; Liu, X.; Song, H.; Cai, Q.; Wang, S.; Yi, C.; Chen, J. Research Progress of Benzothiazole and Benzoxazole Derivatives in the Discovery of Agricultural Chemicals. Int. J. Mol. Sci. 2023, 24, 10807. https://doi.org/10.3390/ijms241310807
Zou Y, Zhang Y, Liu X, Song H, Cai Q, Wang S, Yi C, Chen J. Research Progress of Benzothiazole and Benzoxazole Derivatives in the Discovery of Agricultural Chemicals. International Journal of Molecular Sciences. 2023; 24(13):10807. https://doi.org/10.3390/ijms241310807
Chicago/Turabian StyleZou, Yue, Yong Zhang, Xing Liu, Hongyi Song, Qingfeng Cai, Sheng Wang, Chongfen Yi, and Jixiang Chen. 2023. "Research Progress of Benzothiazole and Benzoxazole Derivatives in the Discovery of Agricultural Chemicals" International Journal of Molecular Sciences 24, no. 13: 10807. https://doi.org/10.3390/ijms241310807
APA StyleZou, Y., Zhang, Y., Liu, X., Song, H., Cai, Q., Wang, S., Yi, C., & Chen, J. (2023). Research Progress of Benzothiazole and Benzoxazole Derivatives in the Discovery of Agricultural Chemicals. International Journal of Molecular Sciences, 24(13), 10807. https://doi.org/10.3390/ijms241310807
