Extra Virgin Olive Oil-Based Formulations: A “Green” Strategy against Chlamydia trachomatis
Abstract
1. Introduction
2. Results
2.1. OOP Composition
2.2. Cytotoxicity of OOP, Oleacein and Oleocanthal
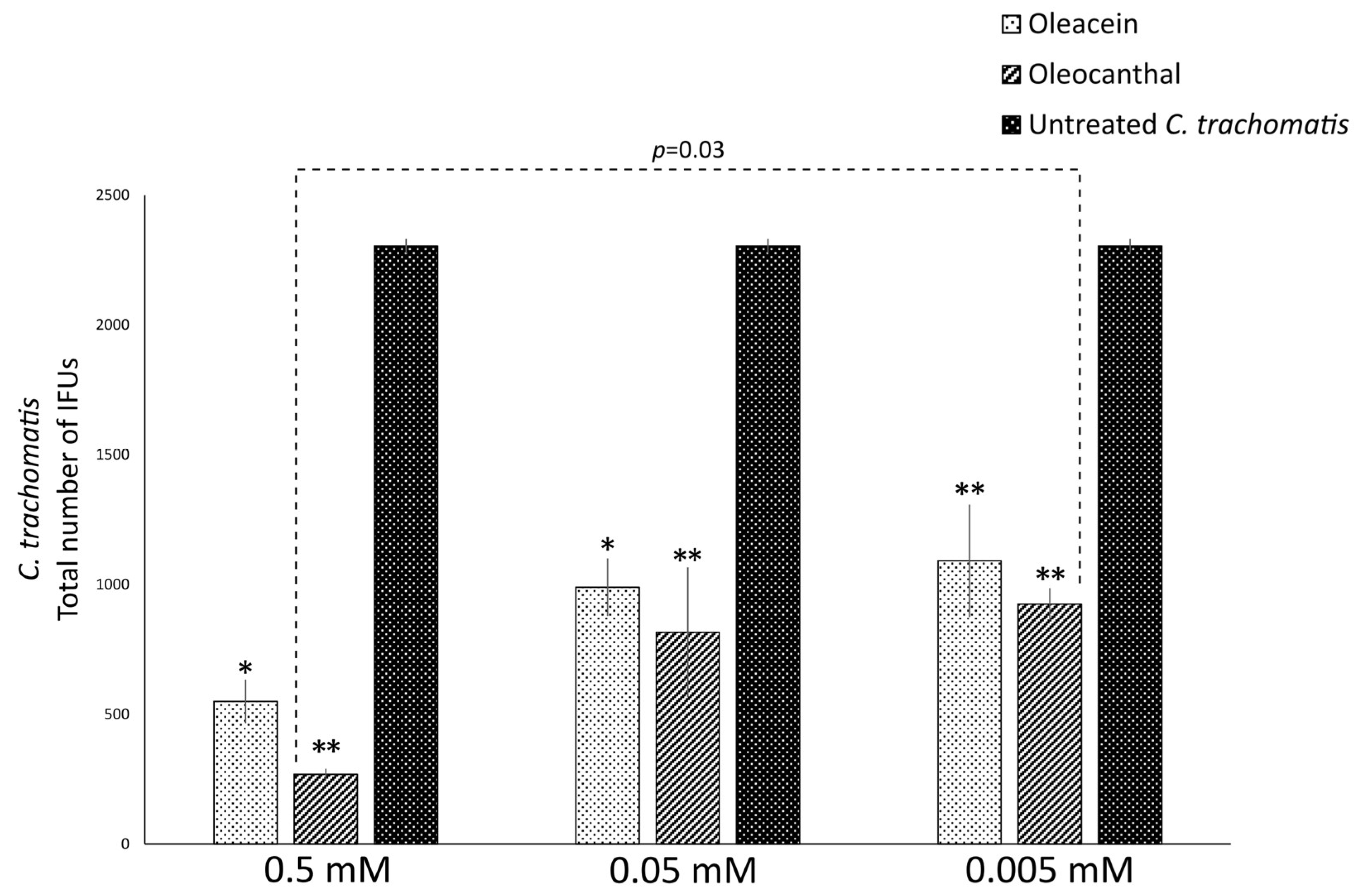
2.3. Anti-C. trachomatis Activities of OOP, Oleocanthal and Oleacein
2.4. Transmission Electron Microscopy of C. trachomatis EB Adhesion and Invasion
2.5. Scanning Electron Microscopy of OOP-Treated C. trachomatis EBs
3. Discussion
4. Materials and Methods
4.1. Preparation and Analysis of the Antimicrobial Agents
4.2. Cell Culture and Culture Conditions
4.3. Propagation and Titration of C. trachomatis
4.4. Cytotoxicity of OOP
4.5. Effects of OOP, Oleocanthal and Oleacein on the Different Phases of C. trachomatis Developmental Cycle
4.5.1. Pre-Treatment Phase
4.5.2. Pre-Incubation Phase
4.5.3. Treatment Phase
4.6. Scanning Electron Microscopy of Pre-Treated C. trachomatis EBs
4.7. Transmission Electron Microscopy of Pre-Treated C. trachomatis EBs
4.8. Statistical Analysis
Supplementary Materials
Author Contributions
Funding
Institutional Review Board Statement
Informed Consent Statement
Data Availability Statement
Conflicts of Interest
References
- Filardo, S.; Skilton, R.J.; O’Neill, C.E.; Di Pietro, M.; Sessa, R.; Clarke, I.N. Growth Kinetics of Chlamydia trachomatis in Primary Human Sertoli Cells. Sci. Rep. 2019, 9, 5847. [Google Scholar] [CrossRef] [PubMed]
- Sessa, R.; Di Pietro, M.; Filardo, S.; Bressan, A.; Mastromarino, P.; Biasucci, A.V.; Rosa, L.; Cutone, A.; Berlutti, F.; Paesano, R.; et al. Lactobacilli-Lactoferrin Interplay in Chlamydia trachomatis Infection. Pathog. Dis. 2017, 75, ftx054. [Google Scholar] [CrossRef] [PubMed]
- Skilton, R.J.; Wang, Y.; O’Neill, C.; Filardo, S.; Marsh, P.; Bénard, A.; Thomson, N.R.; Ramsey, K.H.; Clarke, I.N. The Chlamydia muridarum Plasmid Revisited: New Insights into Growth Kinetics. Wellcome Open Res. 2018, 3, 25. [Google Scholar] [CrossRef] [PubMed]
- Rowley, J.; Vander Hoorn, S.; Korenromp, E.; Low, N.; Unemo, M.; Abu-Raddad, L.J.; Chico, R.M.; Smolak, A.; Newman, L.; Gottlieb, S.; et al. Chlamydia, Gonorrhoea, Trichomoniasis and Syphilis: Global Prevalence and Incidence Estimates, 2016. Bull. World Health Organ. 2019, 97, 548–562. [Google Scholar] [CrossRef] [PubMed]
- O’Connell, C.M.; Ferone, M.E. Chlamydia trachomatis Genital Infections. Microb. Cell 2016, 3, 390–403. [Google Scholar] [CrossRef] [PubMed]
- Filardo, S.; Di Pietro, M.; Tranquilli, G.; Sessa, R. Biofilm in Genital Ecosystem: A Potential Risk Factor for Chlamydia trachomatis Infection. Can. J. Infect. Dis. Med. Microbiol. 2019, 2019, 1672109. [Google Scholar] [CrossRef] [PubMed]
- Di Pietro, M.; Filardo, S.; Romano, S.; Sessa, R. Chlamydia trachomatis and Chlamydia pneumoniae Interaction with the Host: Latest Advances and Future Prospective. Microorganisms 2019, 7, 140. [Google Scholar] [CrossRef] [PubMed]
- Geisler, W.M.; Hocking, J.S.; Darville, T.; Batteiger, B.E.; Brunham, R.C. Diagnosis and Management of Uncomplicated Chlamydia trachomatis Infections in Adolescents and Adults: Summary of Evidence Reviewed for the 2021 Centers for Disease Control and Prevention Sexually Transmitted Infections Treatment Guidelines. Clin. Infect. Dis. 2022, 74, S112–S126. [Google Scholar] [CrossRef]
- Mohammadzadeh, F.; Dolatian, M.; Jorjani, M.; Afrakhteh, M.; Majd, H.A.; Abdi, F.; Pakzad, R. Urogenital Chlamydia trachomatis Treatment Failure with Azithromycin: A Meta-Analysis. Int. J. Reprod. Biomed. 2019, 17, 603–620. [Google Scholar] [CrossRef]
- Benamri, I.; Azzouzi, M.; Sanak, K.; Moussa, A.; Radouani, F. An Overview of Genes and Mutations Associated with Chlamydiae Species’ Resistance to Antibiotics. Ann. Clin. Microbiol. Antimicrob. 2021, 20, 59. [Google Scholar] [CrossRef]
- Sessa, R.; Di Pietro, M.; De Santis, F.; Filardo, S.; Ragno, R.; Angiolella, L. Effects of Mentha Suaveolens Essential Oil on Chlamydia Trachomatis. BioMed Res. Int. 2015, 2015, 508071. [Google Scholar] [CrossRef] [PubMed]
- Di Pietro, M.; De Santis, F.; Schiavoni, G.; Filardo, S.; Sessa, R. Resveratrol in Chlamydia pneumoniae-Induced Foam Cell Formation and Interleukin-17A Synthesis. J. Biol. Regul. Homeost. Agents 2013, 27, 509–518. [Google Scholar] [PubMed]
- Mattioli, R.; Francioso, A.; Mosca, L.; Silva, P. Anthocyanins: A Comprehensive Review of Their Chemical Properties and Health Effects on Cardiovascular and Neurodegenerative Diseases. Molecules 2020, 25, 3809. [Google Scholar] [CrossRef] [PubMed]
- Sharifi-Rad, J.; Butnariu, M.; Ezzat, S.M.; Adetunji, C.O.; Imran, M.; Sobhani, S.R.; Tufail, T.; Hosseinabadi, T.; Ramírez-Alarcón, K.; Martorell, M.; et al. Mushrooms-Rich Preparations on Wound Healing: From Nutritional to Medicinal Attributes. Front. Pharmacol. 2020, 11, 567518. [Google Scholar] [CrossRef] [PubMed]
- Romani, A.; Ieri, F.; Urciuoli, S.; Noce, A.; Marrone, G.; Nediani, C.; Bernini, R. Health Effects of Phenolic Compounds Found in Extra-Virgin Olive Oil, By-Products, and Leaf of Olea europaea L. Nutrients 2019, 11, 1776. [Google Scholar] [CrossRef] [PubMed]
- Serreli, G.; Deiana, M. Extra Virgin Olive Oil Polyphenols: Modulation of Cellular Pathways Related to Oxidant Species and Inflammation in Aging. Cells 2020, 9, 478. [Google Scholar] [CrossRef]
- Nazzaro, F.; Fratianni, F.; Cozzolino, R.; Martignetti, A.; Malorni, L.; De Feo, V.; Cruz, A.G.; d’Acierno, A. Antibacterial Activity of Three Extra Virgin Olive Oils of the Campania Region, Southern Italy, Related to Their Polyphenol Content and Composition. Microorganisms 2019, 7, 321. [Google Scholar] [CrossRef]
- Di Pietro, M.; Filardo, S.; De Santis, F.; Mastromarino, P.; Sessa, R. Chlamydia pneumoniae and Oxidative Stress in Cardiovascular Disease: State of the Art and Prevention Strategies. Int. J. Mol. Sci. 2015, 16, 724–735. [Google Scholar] [CrossRef]
- Karaosmanoglu, H.; Soyer, F.; Ozen, B.; Tokatli, F. Antimicrobial and Antioxidant Activities of Turkish Extra Virgin Olive Oils. J. Agric. Food Chem. 2010, 58, 8238–8245. [Google Scholar] [CrossRef]
- Onuigbo, M.C.; Ukegbu, C.Y.; Uzoigwe, K.C. Antibacterial Activity of Chrysophyllum albidium Seed Oil Extract on Pathogenic Staphylococcus aureus. Narra X 2023, 1, e77. [Google Scholar] [CrossRef]
- Harahap, D.; Niaci, S.; Mardina, V.; Zaura, B.; Qanita, I.; Purnama, A.; Puspita, K.; Rizki, D.R.; Iqhrammullah, M. Antibacterial Activities of Seven Ethnomedicinal Plants from Family Annonaceae. J. Adv. Pharm. Technol. Res. 2022, 13, 148–153. [Google Scholar] [CrossRef] [PubMed]
- Karygianni, L.; Cecere, M.; Argyropoulou, A.; Hellwig, E.; Skaltsounis, A.L.; Wittmer, A.; Tchorz, J.P.; Al-Ahmad, A. Compounds from Olea europaea and Pistacia lentiscus Inhibit Oral Microbial Growth. BMC Complement. Altern. Med. 2019, 19, 51. [Google Scholar] [CrossRef]
- Di Pietro, M.; Filardo, S.; Mattioli, R.; Francioso, A.; Raponi, G.; Mosca, L.; Sessa, R. Extra Virgin Olive Oil-Based Green Formulations with Promising Antimicrobial Activity Against Drug-Resistant Isolates. Front. Pharmacol. 2022, 13, 885735. [Google Scholar] [CrossRef] [PubMed]
- Mallamaci, R.; Budriesi, R.; Clodoveo, M.L.; Biotti, G.; Micucci, M.; Ragusa, A.; Curci, F.; Muraglia, M.; Corbo, F.; Franchini, C. Olive Tree in Circular Economy as a Source of Secondary Metabolites Active for Human and Animal Health Beyond Oxidative Stress and Inflammation. Molecules 2021, 26, 1072. [Google Scholar] [CrossRef] [PubMed]
- AbdelRahman, Y.M.; Belland, R.J. The Chlamydial Developmental Cycle: Figure 1. FEMS Microbiol. Rev. 2005, 29, 949–959. [Google Scholar] [CrossRef] [PubMed]
- Rodrigues, R.; Marques, L.; Vieira-Baptista, P.; Sousa, C.; Vale, N. Therapeutic Options for Chlamydia trachomatis Infection: Present and Future. Antibiotics 2022, 11, 1634. [Google Scholar] [CrossRef]
- You, C.; Liao, M.; Wang, M.; Zhao, L.; Li, L.; Ye, X.; Yang, T. The Effect of Amoxicillin Pre-Exposure on Treatment Outcomes and Antimicrobial Susceptibility in Patients with Urogenital Chlamydia trachomatis Infection. Infect. Drug Resist. 2023, 16, 3575–3587. [Google Scholar] [CrossRef] [PubMed]
- Shao, L.; You, C.; Cao, J.; Jiang, Y.; Liu, Y.; Liu, Q. High Treatment Failure Rate Is Better Explained by Resistance Gene Detection than by Minimum Inhibitory Concentration in Patients with Urogenital Chlamydia trachomatis Infection. Int. J. Infect. Dis. 2020, 96, 121–127. [Google Scholar] [CrossRef] [PubMed]
- van Niekerk, J.M.; van Loo, I.H.M.; Lucchesi, M.; Morré, S.A.; Hoebe, C.J.P.A.; Dukers-Muijrers, N.H.T.M.; Wolffs, P.F.G. Direct Assessment of Possible Mutations in the 23S RRNA Gene Encoding Macrolide Resistance in Chlamydia trachomatis. PLoS ONE 2022, 17, e0265229. [Google Scholar] [CrossRef]
- Yokoi, S.; Yasuda, M.; Ito, S.; Takahashi, Y.; Ishihara, S.; Deguchi, T.; Maeda, S.; Kubota, Y.; Tamaki, M.; Fukushi, H. Uncommon Occurrence of Fluoroquinolone Resistance-Associated Alterations in GyrA and ParC in Clinical Strains of Chlamydia trachomatis. J. Infect. Chemother. 2004, 10, 262–267. [Google Scholar] [CrossRef]
- Borel, N.; Leonard, C.; Slade, J.; Schoborg, R.V. Chlamydial Antibiotic Resistance and Treatment Failure in Veterinary and Human Medicine. Curr. Clin. Microbiol. Rep. 2016, 3, 10–18. [Google Scholar] [CrossRef] [PubMed]
- Janssen, K.J.H.; Dirks, J.A.M.C.; Dukers-Muijrers, N.H.T.M.; Hoebe, C.J.P.A.; Wolffs, P.F.G. Review of Chlamydia trachomatis Viability Methods: Assessing the Clinical Diagnostic Impact of NAAT Positive Results. Expert. Rev. Mol. Diagn. 2018, 18, 739–747. [Google Scholar] [CrossRef] [PubMed]
- Wanninger, S.; Donati, M.; Di Francesco, A.; Hässig, M.; Hoffmann, K.; Seth-Smith, H.M.B.; Marti, H.; Borel, N. Selective Pressure Promotes Tetracycline Resistance of Chlamydia suis in Fattening Pigs. PLoS ONE 2016, 11, e0166917. [Google Scholar] [CrossRef][Green Version]
- Dugan, J.; Rockey, D.D.; Jones, L.; Andersen, A.A. Tetracycline Resistance in Chlamydia suis Mediated by Genomic Islands Inserted into the Chlamydial Inv-Like Gene. Antimicrob. Agents Chemother. 2004, 48, 3989–3995. [Google Scholar] [CrossRef] [PubMed]
- Marti, H.; Kim, H.; Joseph, S.J.; Dojiri, S.; Read, T.D.; Dean, D. Tet(C) Gene Transfer between Chlamydia suis Strains Occurs by Homologous Recombination after Co-Infection: Implications for Spread of Tetracycline-Resistance among Chlamydiaceae. Front. Microbiol. 2017, 8, 156. [Google Scholar] [CrossRef]
- Suchland, R.J.; Sandoz, K.M.; Jeffrey, B.M.; Stamm, W.E.; Rockey, D.D. Horizontal Transfer of Tetracycline Resistance among Chlamydia spp. In Vitro. Antimicrob. Agents Chemother. 2009, 53, 4604–4611. [Google Scholar] [CrossRef]
- Francioso, A.; Federico, R.; Maggiore, A.; Fontana, M.; Boffi, A.; D’Erme, M.; Mosca, L. Green Route for the Isolation and Purification of Hyrdoxytyrosol, Tyrosol, Oleacein and Oleocanthal from Extra Virgin Olive Oil. Molecules 2020, 25, 3654. [Google Scholar] [CrossRef]
- Singleton, V.L.; Rossi, J.A. Colorimetry of Total Phenolics with Phosphomolybdic-Phosphotungstic Acid Reagents. Am. J. Enol. Vitic. 1965, 16, 144–158. [Google Scholar] [CrossRef]
- Di Pietro, M.; Filardo, S.; Alfano, V.; Pelloni, M.; Splendiani, E.; Po, A.; Paoli, D.; Ferretti, E.; Sessa, R. Chlamydia trachomatis Elicits TLR3 Expression but Disrupts the Inflammatory Signaling Down-Modulating NFκB and IRF3 Transcription Factors in Human Sertoli Cells. J. Biol. Regul. Homeost. Agents 2020, 34, 977–986. [Google Scholar] [CrossRef]







| Total Polyphenols | Hydroxytyrosol | Tyrosol | Oleacein | Oleocanthal | |
|---|---|---|---|---|---|
| (mg/mL) | |||||
| OOP in NaDES | 16.95 ± 2.22 | 0.39 ± 0.06 | 0.99 ± 0.17 | 4.35 ± 0.21 | 9.61 ± 0.62 |
| Percentage of Inhibition | ||||
|---|---|---|---|---|
| 1:100 | 1:1000 | 1:10,000 | ||
| OOP in NaDES | 93.53 | 66.14 | 50.41 | |
| Oleacein in NaDES | 76.15 | 57.05 | 53.45 | |
| Oleocanthal in NaDES | 88.34 | 63.71 | 59.89 | |
Disclaimer/Publisher’s Note: The statements, opinions and data contained in all publications are solely those of the individual author(s) and contributor(s) and not of MDPI and/or the editor(s). MDPI and/or the editor(s) disclaim responsibility for any injury to people or property resulting from any ideas, methods, instructions or products referred to in the content. |
© 2023 by the authors. Licensee MDPI, Basel, Switzerland. This article is an open access article distributed under the terms and conditions of the Creative Commons Attribution (CC BY) license (https://creativecommons.org/licenses/by/4.0/).
Share and Cite
Di Pietro, M.; Filardo, S.; Mattioli, R.; Bozzuto, G.; Molinari, A.; Mosca, L.; Sessa, R. Extra Virgin Olive Oil-Based Formulations: A “Green” Strategy against Chlamydia trachomatis. Int. J. Mol. Sci. 2023, 24, 12701. https://doi.org/10.3390/ijms241612701
Di Pietro M, Filardo S, Mattioli R, Bozzuto G, Molinari A, Mosca L, Sessa R. Extra Virgin Olive Oil-Based Formulations: A “Green” Strategy against Chlamydia trachomatis. International Journal of Molecular Sciences. 2023; 24(16):12701. https://doi.org/10.3390/ijms241612701
Chicago/Turabian StyleDi Pietro, Marisa, Simone Filardo, Roberto Mattioli, Giuseppina Bozzuto, Agnese Molinari, Luciana Mosca, and Rosa Sessa. 2023. "Extra Virgin Olive Oil-Based Formulations: A “Green” Strategy against Chlamydia trachomatis" International Journal of Molecular Sciences 24, no. 16: 12701. https://doi.org/10.3390/ijms241612701
APA StyleDi Pietro, M., Filardo, S., Mattioli, R., Bozzuto, G., Molinari, A., Mosca, L., & Sessa, R. (2023). Extra Virgin Olive Oil-Based Formulations: A “Green” Strategy against Chlamydia trachomatis. International Journal of Molecular Sciences, 24(16), 12701. https://doi.org/10.3390/ijms241612701

