Predicting Structural Susceptibility of Proteins to Proteolytic Processing
Abstract
1. Introduction
2. Results
2.1. The Three-Dimensional Structure of a Protease Substrate Determines the Susceptibility of Protein Regions to Proteolysis
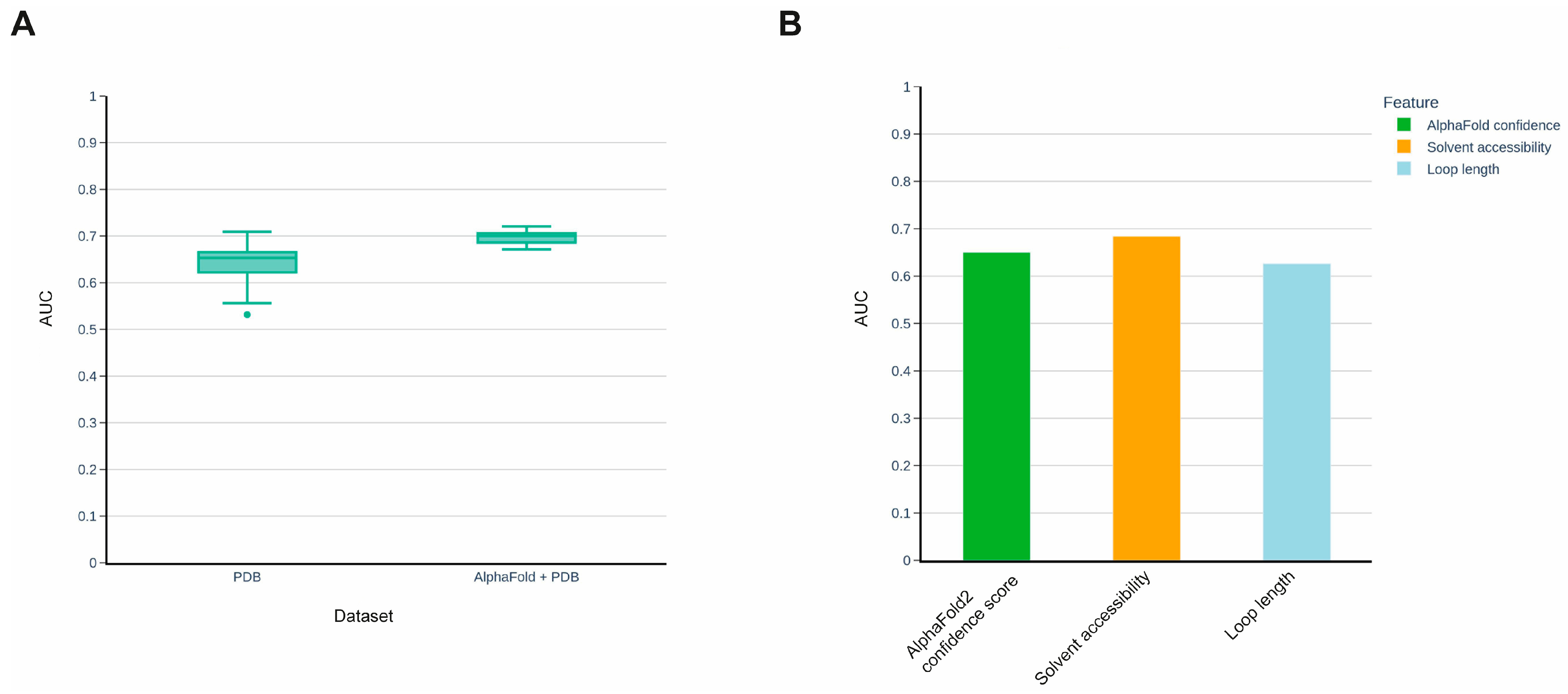
2.2. Extension of the Training Set with AlphFold Models Improves the Quality of Prediction
2.3. Comparison to Other Proteolytic Site Prediction Methods
3. Discussion
4. Materials and Methods
4.1. Data Collection and Processing
4.2. Structural Features
4.3. Training Set Processing and Selection of the Machine Learning Method
4.4. Extending Training Set with AlphaFold Models
4.5. Combining the Method with Protease Sequence Specificity Models
Supplementary Materials
Author Contributions
Funding
Institutional Review Board Statement
Informed Consent Statement
Data Availability Statement
Conflicts of Interest
References
- Barber, K.W.; Rinehart, J. The ABCs of PTMs. Nat. Chem. Biol. 2018, 14, 188–192. [Google Scholar] [CrossRef]
- Conibear, A.C. Deciphering Protein Post-Translational Modifications Using Chemical Biology Tools. Nat. Rev. Chem. 2020, 4, 674–695. [Google Scholar] [CrossRef] [PubMed]
- López-Otín, C.; Bond, J.S. Proteases: Multifunctional Enzymes in Life and Disease. J. Biol. Chem. 2008, 283, 30433–30437. [Google Scholar] [CrossRef] [PubMed]
- Turk, B. Targeting Proteases: Successes, Failures and Future Prospects. Nat. Rev. Drug Discov. 2006, 5, 785–799. [Google Scholar] [CrossRef] [PubMed]
- Ratnikov, B.I.; Cieplak, P.; Gramatikoff, K.; Pierce, J.; Eroshkin, A.; Igarashi, Y.; Kazanov, M.; Sun, Q.; Godzik, A.; Osterman, A.; et al. Basis for Substrate Recognition and Distinction by Matrix Metalloproteinases. Proc. Natl. Acad. Sci. USA 2014, 111, E4148–E4155. [Google Scholar] [CrossRef]
- Fuchs, J.E.; von Grafenstein, S.; Huber, R.G.; Margreiter, M.A.; Spitzer, G.M.; Wallnoefer, H.G.; Liedl, K.R. Cleavage Entropy as Quantitative Measure of Protease Specificity. PLoS Comput. Biol. 2013, 9, e1003007. [Google Scholar] [CrossRef]
- Neurath, H.; Walsh, K.A. Role of Proteolytic Enzymes in Biological Regulation (A Review). Proc. Natl. Acad. Sci. USA 1976, 73, 3825–3832. [Google Scholar] [CrossRef]
- Hubbard, S.J.; Beynon, R.J.; Thornton, J.M. Assessment of Conformational Parameters as Predictors of Limited Proteolytic Sites in Native Protein Structures. Protein Eng. 1998, 11, 349–359. [Google Scholar] [CrossRef]
- Hubbard, S.J.; Campbell, S.F.; Thornton, J.M. Molecular Recognition: Conformational Analysis of Limited Proteolytic Sites and Serine Proteinase Protein Inhibitors. J. Mol. Biol. 1991, 220, 507–530. [Google Scholar] [CrossRef]
- Hubbard, S.J.; Eisenmenger, F.; Thornton, J.M. Modeling Studies of the Change in Conformation Required for Cleavage of Limited Proteolytic Sites. Protein Sci. 1994, 3, 757–768. [Google Scholar] [CrossRef]
- Gasteiger, E.; Hoogland, C.; Gattiker, A.; Duvaud, S.; Wilkins, M.R.; Appel, R.D.; Bairoch, A. Protein Identification and Analysis Tools on the ExPASy Server BT. In The Proteomics Protocols Handbook; Walker, J.M., Ed.; Humana Press: Totowa, NJ, USA, 2005; pp. 571–607. ISBN 978-1-59259-890-8. [Google Scholar]
- Garay-Malpartida, H.M.; Occhiucci, J.M.; Alves, J.; Belizário, J.E. CaSPredictor: A New Computer-Based Tool for Caspase Substrate Prediction. Bioinformatics 2005, 21 (Suppl. S1), i169–i176. [Google Scholar] [CrossRef]
- Backes, C.; Kuentzer, J.; Lenhof, H.-P.; Comtesse, N.; Meese, E. GraBCas: A Bioinformatics Tool for Score-Based Prediction of Caspase- and Granzyme B-Cleavage Sites in Protein Sequences. Nucleic Acids Res. 2005, 33, W208–W213. [Google Scholar] [CrossRef]
- Wee, L.J.K.; Tan, T.W.; Ranganathan, S. CASVM: Web Server for SVM-Based Prediction of Caspase Substrates Cleavage Sites. Bioinformatics 2007, 23, 3241–3243. [Google Scholar] [CrossRef] [PubMed]
- Verspurten, J.; Gevaert, K.; Declercq, W.; Vandenabeele, P. SitePredicting the Cleavage of Proteinase Substrates. Trends Biochem. Sci. 2009, 34, 319–323. [Google Scholar] [CrossRef] [PubMed]
- Song, J.; Tan, H.; Shen, H.; Mahmood, K.; Boyd, S.E.; Webb, G.I.; Akutsu, T.; Whisstock, J.C. Cascleave: Towards More Accurate Prediction of Caspase Substrate Cleavage Sites. Bioinformatics 2010, 26, 752–760. [Google Scholar] [CrossRef]
- Barkan, D.T.; Hostetter, D.R.; Mahrus, S.; Pieper, U.; Wells, J.A.; Craik, C.S.; Sali, A. Prediction of Protease Substrates Using Sequence and Structure Features. Bioinformatics 2010, 26, 1714–1722. [Google Scholar] [CrossRef]
- Song, J.; Tan, H.; Perry, A.J.; Akutsu, T.; Webb, G.I.; Whisstock, J.C.; Pike, R.N. PROSPER: An Integrated Feature-Based Tool for Predicting Protease Substrate Cleavage Sites. PLoS ONE 2012, 7, e50300. [Google Scholar] [CrossRef] [PubMed]
- Song, J.; Li, F.; Leier, A.; Marquez-Lago, T.T.; Akutsu, T.; Haffari, G.; Chou, K.-C.; Webb, G.I.; Pike, R.N.; Hancock, J. PROSPERous: High-Throughput Prediction of Substrate Cleavage Sites for 90 Proteases with Improved Accuracy. Bioinformatics 2018, 34, 684–687. [Google Scholar] [CrossRef]
- Li, F.; Chen, J.; Leier, A.; Marquez-Lago, T.; Liu, Q.; Wang, Y.; Revote, J.; Smith, A.I.; Akutsu, T.; Webb, G.I.; et al. DeepCleave: A Deep Learning Predictor for Caspase and Matrix Metalloprotease Substrates and Cleavage Sites. Bioinformatics 2020, 36, 1057–1065. [Google Scholar] [CrossRef]
- Li, F.; Wang, Y.; Li, C.; Marquez-lago, T.T.; Leier, A.; Rawlings, N.D.; Haffari, G.; Revote, J.; Akutsu, T.; Chou, K.; et al. Twenty Years of Bioinformatics Research for Protease-Specific Substrate and Cleavage Site Prediction: A Comprehensive Revisit and Benchmarking of Existing Methods. Briefings Bioinform. 2018, 20, 2150–2166. [Google Scholar] [CrossRef]
- Kumar, S.; Ratnikov, B.I.; Kazanov, M.D.; Smith, J.W.; Cieplak, P. CleavPredict: A Platform for Reasoning about Matrix Metalloproteinases Proteolytic Events. PLoS ONE 2015, 10, e0127877. [Google Scholar] [CrossRef]
- Li, F.; Leier, A.; Liu, Q.; Wang, Y.; Xiang, D.; Akutsu, T.; Webb, G.I.; Smith, A.I.; Marquez-Lago, T.; Li, J.; et al. Procleave: Predicting Protease-Specific Substrate Cleavage Sites by Combining Sequence and Structural Information. Genom. Proteom. Bioinforma. 2020, 18, 52–64. [Google Scholar] [CrossRef] [PubMed]
- Igarashi, Y.; Eroshkin, A.; Gramatikova, S.; Gramatikoff, K.; Zhang, Y.; Smith, J.W.; Osterman, A.L.; Godzik, A. CutDB: A Proteolytic Event Database. Nucleic Acids Res. 2007, 35, D546–D549. [Google Scholar] [CrossRef] [PubMed]
- Protein Data Bank: The Single Global Archive for 3D Macromolecular Structure Data. Nucleic Acids Res. 2019, 47, D520–D528. [CrossRef] [PubMed]
- Kazanov, M.D.; Igarashi, Y.; Eroshkin, A.M.; Cieplak, P.; Ratnikov, B.; Zhang, Y.; Li, Z.; Godzik, A.; Osterman, A.L.; Smith, J.W. Structural Determinants of Limited Proteolysis. J. Proteome Res. 2011, 10, 3642–3651. [Google Scholar] [CrossRef]
- Belushkin, A.A.; Vinogradov, D.V.; Gelfand, M.S.; Osterman, A.L.; Cieplak, P.; Kazanov, M.D. Sequence-Derived Structural Features Driving Proteolytic Processing. Proteomics 2014, 14, 42–50. [Google Scholar] [CrossRef]
- Jumper, J.; Evans, R.; Pritzel, A.; Green, T.; Figurnov, M.; Ronneberger, O.; Tunyasuvunakool, K.; Bates, R.; Žídek, A.; Potapenko, A.; et al. Highly Accurate Protein Structure Prediction with AlphaFold. Nature 2021, 596, 583–589. [Google Scholar] [CrossRef]
- Varadi, M.; Anyango, S.; Deshpande, M.; Nair, S.; Natassia, C.; Yordanova, G.; Yuan, D.; Stroe, O.; Wood, G.; Laydon, A.; et al. AlphaFold Protein Structure Database: Massively Expanding the Structural Coverage of Protein-Sequence Space with High-Accuracy Models. Nucleic Acids Res. 2022, 50, D439–D444. [Google Scholar] [CrossRef]
- Fawcett, T. An Introduction to ROC Analysis. Pattern Recogn. Lett. 2006, 27, 861–874. [Google Scholar] [CrossRef]
- Wasserman, W.W.; Sandelin, A. Applied Bioinformatics for the Identification of Regulatory Elements. Nat. Rev. Genet. 2004, 5, 276–287. [Google Scholar] [CrossRef]
- Boyd, S.E.; Pike, R.N.; Rudy, G.B.; Whisstock, J.C.; de la Banda, M.G. PoPS: A Computational Tool for Modeling and Predicting Protease Specificity. J. Bioinform. Comput. Biol. 2005, 3, 551–585. [Google Scholar] [CrossRef] [PubMed]
- Rawlings, N.D.; Barrett, A.J.; Thomas, P.D.; Huang, X.; Bateman, A.; Finn, R.D. The MEROPS Database of Proteolytic Enzymes, Their Substrates and Inhibitors in 2017 and a Comparison with Peptidases in the PANTHER Database. Nucleic Acids Res. 2018, 46, D624–D632. [Google Scholar] [CrossRef] [PubMed]
- Novotný, J.; Bruccoleri, R.E. Correlation among Sites of Limited Proteolysis, Enzyme Accessibility and Segmental Mobility. FEBS Lett. 1987, 211, 185–189. [Google Scholar] [CrossRef]
- Fontana, A.; Fassina, G.; Vita, C.; Dalzoppo, D.; Zamai, M.; Zambonin, M. Correlation between Sites of Limited Proteolysis and Segmental Mobility in Thermolysin. Biochemistry 1986, 25, 1847–1851. [Google Scholar] [CrossRef] [PubMed]
- Daniel, R.M.; Cowan, D.A.; Morgan, H.W.; Curran, M.P. A Correlation between Protein Thermostability and Resistance to Proteolysis. Biochem. J. 1982, 207, 641–644. [Google Scholar] [CrossRef]
- Parsell, D.A.; Sauer, R.T. The Structural Stability of a Protein Is an Important Determinant of Its Proteolytic Susceptibility in Escherichia Coli. J. Biol. Chem. 1989, 264, 7590–7595. [Google Scholar] [CrossRef] [PubMed]
- Klein, T.; Eckhard, U.; Dufour, A.; Solis, N.; Overall, C.M. Proteolytic Cleavage—Mechanisms, Function, and “Omic” Approaches for a Near-Ubiquitous Posttranslational Modi Fi Cation. Chem. Rev. 2018, 118, 1137–1168. [Google Scholar] [CrossRef]
- Igarashi, Y.; Heureux, E.; Doctor, K.S.; Talwar, P.; Gramatikova, S.; Gramatikoff, K.; Zhang, Y.; Blinov, M.; Ibragimova, S.S.; Boyd, S.; et al. PMAP: Databases for Analyzing Proteolytic Events and Pathways. Nucleic Acids Res. 2009, 37, D611–D618. [Google Scholar] [CrossRef]
- Altschul, S.F.; Gish, W.; Miller, W.; Myers, E.W.; Lipman, D.J. Basic Local Alignment Search Tool. J. Mol. Biol. 1990, 215, 403–410. [Google Scholar] [CrossRef]
- Sievers, F.; Wilm, A.; Dineen, D.; Gibson, T.J.; Karplus, K.; Li, W.; Lopez, R.; McWilliam, H.; Remmert, M.; Söding, J.; et al. Fast, Scalable Generation of High-Quality Protein Multiple Sequence Alignments Using Clustal Omega. Mol. Syst. Biol. 2011, 7, 539. [Google Scholar] [CrossRef]
- Pettersen, E.F.; Goddard, T.D.; Huang, C.C.; Couch, G.S.; Greenblatt, D.M.; Meng, E.C.; Ferrin, T.E. UCSF Chimera—A Visualization System for Exploratory Research and Analysis. J. Comput. Chem. 2004, 25, 1605–1612. [Google Scholar] [CrossRef] [PubMed]
- Kabsch, W.; Sander, C. Dictionary of Protein Secondary Structure: Pattern Recognition of Hydrogen-Bonded and Geometrical Features. Biopolymers 1983, 22, 2577–2637. [Google Scholar] [CrossRef] [PubMed]
- Schechter, I.; Berger, A. On the Active Site of Proteases. 3. Mapping the Active Site of Papain; Specific Peptide Inhibitors of Papain. Biochem. Biophys. Res. Commun. 1968, 32, 898–902. [Google Scholar] [CrossRef] [PubMed]
- Schilling, O.; Overall, C.M. Proteome-Derived, Database-Searchable Peptide Libraries for Identifying Protease Cleavage Sites. Nat. Biotechnol. 2008, 26, 685–694. [Google Scholar] [CrossRef]
- Alves, M.F.M.; Puzer, L.; Cotrin, S.S.; Juliano, M.A.; Juliano, L.; Bromme, D.; Carmona, A.K. S3 to S3′ Subsite Specificity of Recombinant Human Cathepsin K and Development of Selective Internally Quenched Fluorescent Substrates. Biochem. J. 2003, 373, 981–986. [Google Scholar] [CrossRef]
- Debela, M.; Magdolen, V.; Schechter, N.; Valachova, M.; Lottspeich, F.; Craik, C.S.; Choe, Y.; Bode, W.; Goettig, P. Specificity Profiling of Seven Human Tissue Kallikreins Reveals Individual Subsite Preferences. J. Biol. Chem. 2006, 281, 25678–25688. [Google Scholar] [CrossRef]
- Pedregosa, F.; Varoquaux, G.; Gramfort, A.; Michel, V.; Thirion, B.; Grisel, O.; Blondel, M.; Prettenhofer, P.; Weiss, R.; Dubourg, V.; et al. Scikit-Learn: Machine Learning in Python. J. Mach. Learn. Res. 2011, 12, 2825–2830. [Google Scholar]
- Nishida, K.; Frith, M.C.; Nakai, K. Pseudocounts for Transcription Factor Binding Sites. Nucleic Acids Res. 2009, 37, 939–944. [Google Scholar] [CrossRef]



Disclaimer/Publisher’s Note: The statements, opinions and data contained in all publications are solely those of the individual author(s) and contributor(s) and not of MDPI and/or the editor(s). MDPI and/or the editor(s) disclaim responsibility for any injury to people or property resulting from any ideas, methods, instructions or products referred to in the content. |
© 2023 by the authors. Licensee MDPI, Basel, Switzerland. This article is an open access article distributed under the terms and conditions of the Creative Commons Attribution (CC BY) license (https://creativecommons.org/licenses/by/4.0/).
Share and Cite
Matveev, E.V.; Safronov, V.V.; Ponomarev, G.V.; Kazanov, M.D. Predicting Structural Susceptibility of Proteins to Proteolytic Processing. Int. J. Mol. Sci. 2023, 24, 10761. https://doi.org/10.3390/ijms241310761
Matveev EV, Safronov VV, Ponomarev GV, Kazanov MD. Predicting Structural Susceptibility of Proteins to Proteolytic Processing. International Journal of Molecular Sciences. 2023; 24(13):10761. https://doi.org/10.3390/ijms241310761
Chicago/Turabian StyleMatveev, Evgenii V., Vyacheslav V. Safronov, Gennady V. Ponomarev, and Marat D. Kazanov. 2023. "Predicting Structural Susceptibility of Proteins to Proteolytic Processing" International Journal of Molecular Sciences 24, no. 13: 10761. https://doi.org/10.3390/ijms241310761
APA StyleMatveev, E. V., Safronov, V. V., Ponomarev, G. V., & Kazanov, M. D. (2023). Predicting Structural Susceptibility of Proteins to Proteolytic Processing. International Journal of Molecular Sciences, 24(13), 10761. https://doi.org/10.3390/ijms241310761

