N-Methyl Costaricine and Costaricine, Two Potent Butyrylcholinesterase Inhibitors from Alseodaphne pendulifolia Gamb.
Abstract
1. Introduction
2. Results and Discussion
2.1. Screening of Extracts for Cholinesterase Inhibitory Activities
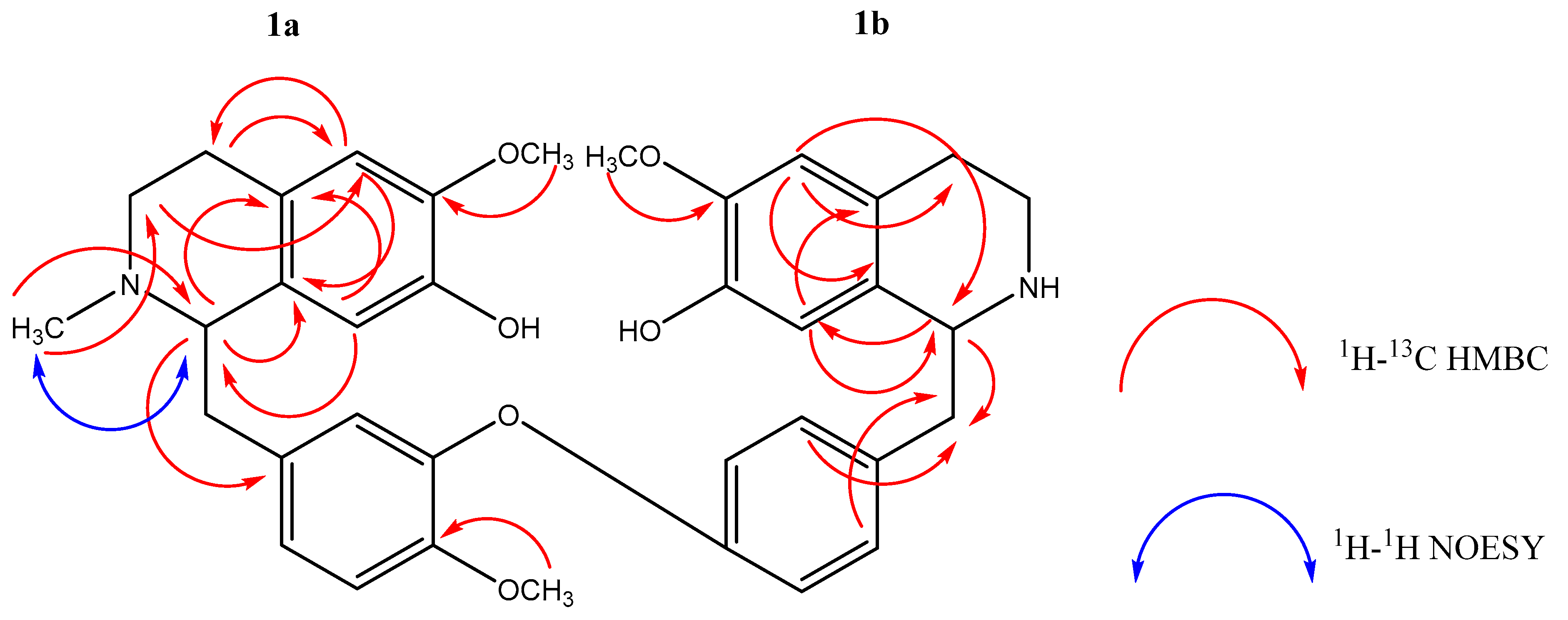
2.2. Isolation, Purification, and Structural Elucidation of Compounds
2.3. Cholinesterase Inhibitory Activities of Compounds
2.4. Enzyme Kinetic Study
3. Materials and Methods
3.1. General Experimental Procedures
3.2. Plant Material
3.3. Extraction and Isolation of Compounds 1–6
N-Methyl Costaricine (1)
3.4. In Vitro Cholinesterase Enzyme Inhibitory Activity
3.5. Enzyme Kinetic Studies
4. Conclusions
Supplementary Materials
Author Contributions
Funding
Institutional Review Board Statement
Informed Consent Statement
Data Availability Statement
Acknowledgments
Conflicts of Interest
References
- Da Silva Barbosa, D.C.; Holanda, V.N.; de Assis, C.R.D.; de Oliveira Farias de Aguiar, J.C.R.; doNascimento, P.H.; da Silva, W.V.; do Amaral Ferraz Navarro, D.M.; Silva, M.V.d.; de Menezes Lima, V.L.; dos Santos Correia, M.T. Chemical composition and acetylcholinesterase inhibitory potential, in silico, of Myrciaria floribunda (H. West ex Willd.) O. Berg fruit peel essential oil. Ind. Crops Prod. 2020, 151, 112372. [Google Scholar] [CrossRef]
- Marzouk, M.M.; Ibrahim, L.F.; El-Hagrassi, A.M.; Fayed, D.B.; Elkhateeb, A.; Abdel-Hameed, E.-S.S.; Hussein, S.R. Phenolic profiling and anti-Alzheimer’s evaluation of Eremobium aegyptiacum. Adv. Trad. Med. 2020, 20, 233–241. [Google Scholar] [CrossRef]
- Mishra, P.; Kumar, A.; Panda, G. Anti-cholinesterase hybrids as multi-target-directed ligands against Alzheimer’s disease (1998–2018). Bioorg. Med. Chem. 2019, 27, 895–930. [Google Scholar] [CrossRef]
- Masondo, N.A.; Stafford, G.I.; Aremu, A.O.; Makunga, N.P. Acetylcholinesterase inhibitors from southern African plants: An overview of ethnobotanical, pharmacological potential and phytochemical research including and beyond Alzheimer’s disease treatment. S. Afr. J. Bot. 2019, 120, 39–64. [Google Scholar] [CrossRef]
- Dizdar, M.; Vidic, D.; Požgan, F.; Štefane, B.; Maksimović, M. Acetylcholinesterase Inhibition and Antioxidant Activity of N-trans-Caffeoyldopamine and N-trans-Feruloyldopamine. Sci. Pharm. 2018, 86, 11. [Google Scholar] [CrossRef]
- Santos, M.A.; Chand, K.; Chaves, S. Recent progress in multifunctional metal chelators as potential drugs for Alzheimer’s disease. Coord. Chem. Rev. 2016, 327–328, 287–303. [Google Scholar] [CrossRef]
- Zhao, T.; Ding, K.; Zhang, L.; Cheng, X.; Wang, C.; Wang, Z. Acetylcholinesterase and Butyrylcholinesterase Inhibitory Activities of β-Carboline and Quinoline Alkaloids Derivatives from the Plants of Genus Peganum. J. Chem. 2013, 2013, 717232. [Google Scholar] [CrossRef]
- Agatonovic-Kustrin, S.; Kustrin, E.; Morton, D.W. Essential oils and functional herbs for healthy aging. Neural Regen. Res. 2019, 14, 441–445. [Google Scholar] [CrossRef] [PubMed]
- Konrath, E.L.; Passos Cdos, S.; Klein, L.C., Jr.; Henriques, A.T. Alkaloids as a source of potential anticholinesterase inhibitors for the treatment of Alzheimer’s disease. J. Pharm. Pharmacol. 2013, 65, 1701–1725. [Google Scholar] [CrossRef] [PubMed]
- Dall’Acqua, S. Plant-derived acetylcholinesterase inhibitory alkaloids for the treatment of Alzheimer’s disease. Bot. Targets Ther. 2013, 3, 19–28. [Google Scholar] [CrossRef]
- Wan Othman, W.N.N.; Liew, S.Y.; Khaw, K.Y.; Murugaiyah, V.; Litaudon, M.; Awang, K. Cholinesterase inhibitory activity of isoquinoline alkaloids from three Cryptocarya species (Lauraceae). Bioorg. Med. Chem. 2016, 24, 4464–4469. [Google Scholar] [CrossRef]
- Wan Othman, W.N.N.; Sivasothy, Y.; Liew, S.Y.; Mohamad, J.; Nafiah, M.A.; Ahmad, K.; Litaudon, M.; Awang, K. Alkaloids from Cryptocarya densiflora Blume (Lauraceae) and their cholinesterase inhibitory activity. Phytochem. Lett. 2017, 21, 230–236. [Google Scholar] [CrossRef]
- Mollataghi, A.; Coudiere, E.; Hadi, A.H.A.; Mukhtar, M.R.; Awang, K.; Litaudon, M.; Ata, A. Anti-acetylcholinesterase, anti-α-glucosidase, anti-leishmanial and anti-fungal activities of chemical constituents of Beilschmiedia species. Fitoterapia 2012, 83, 298–302. [Google Scholar] [CrossRef] [PubMed]
- Liew, S.Y.; Khaw, K.Y.; Murugaiyah, V.; Looi, C.Y.; Wong, Y.L.; Mustafa, M.R.; Litaudon, M.; Awang, K. Natural indole butyrylcholinesterase inhibitors from Nauclea officinalis. Phytomedicine 2015, 22, 45–48. [Google Scholar] [CrossRef] [PubMed]
- Thakur, K.B.; Anthwal, A.; Rawat, S.D.; Rawat, B.; Rashmi; Rawat, M.S.M. A Review on Genus Alseodaphne: Phytochemistry and Pharmacology. Mini-Rev. Org. Chem. 2012, 9, 433–445. [Google Scholar] [CrossRef]
- Nafiah, M.A. Alkaloids Isolated From Alseodaphne Species (Lauraceae) and Their Bioactivities. Ph.D. Thesis, Unversity of Malaya, Kuala Lumpur, Malaysia, 2009. [Google Scholar]
- Rachmatiah, T.; Mukhtar, M.R.; Nafiah, M.A.; Hanafi, M.; Kosela, S.; Morita, H.; Litaudon, M.; Awang, K.; Omar, H.; Hadi, A.H. (+)-N-(2-hydroxypropyl)lindcarpine: A new cytotoxic aporphine isolated from Actinodaphne pruinosa Nees. Molecules 2009, 14, 2850–2856. [Google Scholar] [CrossRef]
- Böhlke, M.; Guinaudeau, H.; Angerhofer, C.K.; Wongpanich, V.; Soejarto, D.D.; Farnsworth, N.R.; Mora, G.A.; Poveda, L.J. Costaricine, a New Antiplasmodial Bisbenzylisoquinoline Alkaloid from Nectandra salicifolia Trunk Bark. J. Nat. Prod. 1996, 59, 576–580. [Google Scholar] [CrossRef] [PubMed]
- Phan, B.H.; Seguin, E.; Tillequin, F.; Koch, M. Aporphine alkaloids from Lindera myrrha. Phytochemistry 1994, 35, 1363–1365. [Google Scholar] [CrossRef]
- Yakushijin, K.; Sugiyama, S.; Mori, Y.; Murata, H.; Furukawa, H. Hernagine, a new aporphine alkaloid, and 3-cyano-4-methoxypyridine from Hernandia nymphaefolia. Phytochemistry 1980, 19, 161–162. [Google Scholar] [CrossRef]
- Nazimuddin, M.M.; Husna Hasnan, M.H.; Ahmad, K.; Awang, K.; Nafiah, M.A. Hernagine type of Aporphine Alkaloids from Alseodaphne perakensis. EJSMT 2014, 1, 1–7. [Google Scholar]
- Lin, W.-h.; Fu, H.-z.; Li, J.; Cheng, G.; Barnes, R.A. The Alkaloids from Leaves of Croton hemiargyerius var. gymnodiscus. J. Chin. Pharm. Sci. 2003, 12, 117–122. [Google Scholar]
- Zahari, A.; Ablat, A.; Sivasothy, Y.; Mohamad, J.; Choudhary, M.I.; Awang, K. In vitro antiplasmodial and antioxidant activities of bisbenzylisoquinoline alkaloids from Alseodaphne corneri Kosterm. Asian Pac. J. Trop. Med. 2016, 9, 328–332. [Google Scholar] [CrossRef]
- Mukhtar, M.R.; Zahari, A.; Nafiah, M.A.; Hadi, A.H.; Thomas, N.F.; Arai, H.; Morita, H.; Litaudon, M.; Awang, K. 3′,4′-Dihydronorstephasubine, a New Bisbenzylisoquinoline from the Bark of Alseodaphne corneri. Heterocycles 2009, 78, 2571–2578. [Google Scholar] [CrossRef]
- Mukhtar, M.R.; Nafiah, M.A.; Awang, K.; Thomas, N.F.; Zaima, K.; Morita, H.; Litaudon, M.; Hadi, H.A. α’-Oxoperakensimines A-C, new bisbenzylisoquinoline alkaloids from Alseodaphne perakensis (Gamble) Kosterm. Heterocycles 2009, 78, 2085–2092. [Google Scholar]
- Wang, R.; Liu, Y.; Shi, G.; Zhou, J.; Li, J.; Li, L.; Yuan, J.; Li, X.; Yu, D. Bioactive bisbenzylisoquinoline alkaloids from the roots of Stephania tetrandra. Bioorg. Chem. 2020, 98, 103697. [Google Scholar] [CrossRef]
- Gan, L.; Zhao, X.; Yao, W.; Wu, L.; Li, L.; Zhou, C. A Novel Bisbenzylisoquinoline Alkaloid from Lindera Aggregata. J. Chem. Res. 2008, 2008, 285–286. [Google Scholar] [CrossRef]
- Kozuka, M.; Inada, A.; Konoshima, T. Aporphine Alkaloids from Parabenzoin praecox (SIEB. et ZUCC.) NAKAI. Chem. Pharm. Bull. 1984, 32, 5055–5058. [Google Scholar] [CrossRef]
- Wei, J.; Wang, Y.; Zhang, Y.; Zheng, Y.; Shao, J.; Cheng, W.; Li, Y. Rapid identification of chemical components in vitro and in vivo of Menispermi Rhizoma by integrating UPLC-Q-TOF-MS with data post-processing strategy. Phytochem. Anal. 2023, 34, 347–362. [Google Scholar] [CrossRef]
- Eric, D.J.M.; Siomenan, C.; Prévost, K.B.K.F.; Claude, K.A.L.; Charles, K.; Doumade, Z.; Aminata, A.; Marcelline, A.; Sandrine, A.A.-G.; Jean-François, K.R.; et al. A new natural indole and three aporphine alkaloids from Monodora bevipes Benth. (Annonaceae). Int. Curr. Pharm. J. 2017, 6, 40–43. [Google Scholar] [CrossRef]
- Jossang, A.; Leboeuf, M.; Cave, A.; Sevenet, T. Alkaloids of the Annonaceae. Part 66. Alkaloids of Popowia pisocarpa, part 2. New bisaporphinoids. J. Nat. Prod. 1986, 49, 1028–1036. [Google Scholar] [CrossRef]
- Adsersen, A.; Kjølbye, A.; Dall, O.; Jäger, A.K. Acetylcholinesterase and butyrylcholinesterase inhibitory compounds from Corydalis cava Schweigg. & Kort. J. Ethnopharmacol. 2007, 113, 179–182. [Google Scholar] [CrossRef] [PubMed]
- Gadamer, J.Z.; Wagner, H. Corydalis alkaloids. Archiv. Pharmazie 1902, 240, 19–52. [Google Scholar] [CrossRef]
- Manske, R.H.F. The alkaloids of fumaraceous plants. VII. Dicentra eximia (KER) TORR. Can. J. Res. 1933, 8, 592–599. [Google Scholar]
- Desai, H.K.J.; Balawant, S.; Pelletier, S.W.; Sener, B.; Bingol, F.; Baykal, T. New alkaloids from Consolida hellespontica. Heterocycles 1993, 36, 1081–1089. [Google Scholar]
- Hu, Z.-X.; Tang, H.-Y.; Yan, X.-H.; Zeng, Y.-R.; Aisa, H.A.; Zhang, Y.; Hao, X.-J. Five new alkaloids from Aconitum apetalum (Ranunculaceae). Phytochem. Lett. 2019, 29, 6–11. [Google Scholar] [CrossRef]
- Rong, L.; Hu, D.; Wang, W.; Zhao, R.; Xu, X.; Jing, W. Alkaloids from root tubers of Stephania kwangsiensis HS Lo and their effects on proliferation and apoptosis of lung NCI-H446 cells. Biomed. Res. 2016, 27, 893–896. [Google Scholar]
- Kashiwaba, N.; Morooka, S.; Kimura, M.; Murakoshi, Y.; Ono, M.; Toda, J.; Suzuki, H.; Sano, T. Alkaloidal constituents of the tubers of Stephania cepharantha cultivated in Japan: Structure of 3, 4-dehydrocycleanine, a new bisbenzylisoquinoline alkaloid. Chem. Pharm. Bull. 1997, 45, 470–475. [Google Scholar] [CrossRef]
- Nazimuddin, M.M.; Hasnan, M.H.H.; Ahmad, K.; Awang, K.; Hadi, A.H.A.; Nafiah, M.A. Phytochemical Study on Alkaloids From Bark of Alseodaphne Perakensis (Lauraceae) and their Bioactivity. In Proceedings of the International Conference on Natural Products (ICNP), Shah Alam Convention Centre, Selangor, Malaysia, 4–6 March 2013; p. 218. [Google Scholar]
- Abdul Wahab, S.M.; Sivasothy, Y.; Liew, S.Y.; Litaudon, M.; Mohamad, J.; Awang, K. Natural cholinesterase inhibitors from Myristica cinnamomea King. Bioorganic Med. Chem. Lett. 2016, 26, 3785–3792. [Google Scholar] [CrossRef]
- Loo, K.Y.; Leong, K.H.; Sivasothy, Y.; Ibrahim, H.; Awang, K. Molecular Insight and Mode of Inhibition of α-Glucosidase and α-Amylase by Pahangensin A from Alpinia pahangensis Ridl. Chem. Biodivers. 2019, 16, e1900032. [Google Scholar] [CrossRef]
- Liew, S.Y.; Mak, W.Q.; Thew, H.Y.; Khaw, K.Y.; Hazni, H.; Litaudon, M.; Awang, K. Neuroprotective Activities of New Monoterpenoid Indole Alkaloid from Nauclea officinalis. Processes 2023, 11, 646. [Google Scholar] [CrossRef]
- Williams, A.; Zhou, S.; Zhan, C.G. Discovery of potent and selective butyrylcholinesterase inhibitors through the use of pharmacophore-based screening. Bioorg. Med. Chem. Lett. 2019, 29, 126754. [Google Scholar] [CrossRef] [PubMed]
- Greig, N.H.; Utsuki, T.; Ingram, D.K.; Wang, Y.; Pepeu, G.; Scali, C.; Yu, Q.S.; Mamczarz, J.; Holloway, H.W.; Giordano, T.; et al. Selective butyrylcholinesterase inhibition elevates brain acetylcholine, augments learning and lowers Alzheimer beta-amyloid peptide in rodent. Proc. Natl. Acad. Sci. USA 2005, 102, 17213–17218. [Google Scholar] [CrossRef] [PubMed]



| Position | δH a | δC | COSY | HMBC |
|---|---|---|---|---|
| 1 | 3.71 t (5.2) | 64.7 | H-αa, H-αb | C-3, C-4a, C-8, C-8a, C-9, C-α |
| 3 | α, 2.69–2.76 m b β, 3.05–3.13 m c | 47.7 | H-3β, H-4α, H-4β H-3α, H-4α, H-4β | C-1, C-4, C-4a, C-5, C-α C-1, C-4, C-4a, C-8a, C-α |
| 4 | α, 2.53–2.57 m β, 2.69–2.76 m b | 25.4 | H-3α, H-3β, H-4β H-3α, H-3β, H-4α | C-1, C-4a, C-5 C-1, C-3, C-4a, C-5 |
| 4a | 124.9 | |||
| 5 | 6.46 s | 110.8 | C-4, C-6, C-7, C-8, C-8a | |
| 6 | 145.9 e | |||
| 7 | 144.2 | |||
| 8 | 6.30 s | 114.1 | C-1, C-4a, C-5, C-6, C-7 | |
| 8a | 128.4 | |||
| α | a, 2.84–2.90 m d b, 3.05–3.13 m c | 40.1 | H-αb, H-1 H-αa, H-1 | C-1, C-4a, C-8a, C-9, C-10, C-14 C-1, C-4a, C-8a, C-9, C-10, C-14 |
| 9 | 131.9 | |||
| 10 | 6.58 d (1.9) | 121.6 | C-12, C-14, C-α | |
| 11 | 145.3 | |||
| 12 | 149.4 | |||
| 13 | 6.85 d (8.5) | 112.6 | H-14 | C-9, C-11 |
| 14 | 6.89 dd (8.5, 1.9) | 125.6 | H-13 | C-10, C-12, C-α |
| 2-N-CH3 | 2.51 s | 42.5 | C-1, C-3 | |
| 6-OCH3 | 3.80 s | 55.9 | C-6 | |
| 12-OCH3 | 3.82 s | 56.2 | C-12, C-13 | |
| 1′ | 4.18 dd (9.4, 3.8) | 56.8 | H-αa’, H-αb’ | C-8a’, C-α’ |
| 3′ | α, 2.98 m β, 3.27 m | 40.8 | H-3β’, H-4α’, H-4β’ H-3α’, H-4α’ | C-1′, C-4′, C-4a’, C-α’ C-1′, C-4′, C-4a’ |
| 4′ | α, 2.69–2.76 m b β, 2.84–2.90 m d | 28.6 | H-3α’, H-3β’, H-4β’ H-3α’, H-4α’ | C-3′, C-4a’, C-5′ C-1′, C-3′, C-4a’ |
| 4a’ | 125.8 | |||
| 5′ | 6.55 s | 111.3 | C-1′, C-4′, C-6′, C-7′, C-8′, C-8a’ | |
| 6′ | 145.8 e | |||
| 7′ | 144.1 | |||
| 8′ | 6.73 s | 112.5 | C-1′, C-4a’, C-6′ | |
| 8a’ | 129.5 | |||
| α’ | a, 2.84–2.90 m d b, 3.17 dd (14.0, 3.8) | 41.5 | H-αb’, H-1′ H-αa’, H-1′ | C-1′, C-3′, C-4a’, C-9′ C-9′, C-10′, C-14′ |
| 9′ | 132.4 | |||
| 10′ | 7.15 d (8.5) | 130.6 | H-11′ | C-11′, C-12′, C-13′, C-14′, C-α’ |
| 11′ | 6.83 d (8.5) | 118.3 | H-10′ | C-9′, C-12′, C-13′ |
| 12′ | 156.4 | |||
| 13′ | 6.83 d (8.5) | 118.3 | H-14′ | C-9′, C-11′, C-12′ |
| 14′ | 7.15 d (8.5) | 130.6 | H-13′ | C-10′, C-11′, C-12′, C-13′, C-α’ |
| 6′-OCH3 | 3.81 s | 56.0 | C-6′ |
| Compounds | Percentage Inhibition at 100 µM a | IC50 (µM) a | Selectivity Index | |||
|---|---|---|---|---|---|---|
| AChE | BChE | AChE | BChE | AChE b | BChE c | |
| 1 | 88.86 ± 1.34 | 96.02 ± 1.13 | 22.76 ± 1.25 | 3.51 ± 0.80 | 0.15 | 6.48 |
| 2 | 88.33 ± 0.25 | 96.26 ± 0.41 | 17.50 ± 2.16 | 2.90 ± 0.56 | 0.17 | 6.03 |
| 3 | <10 | 88.87 ± 0.56 | NT | 32.92 ± 0.99 | - | - |
| 4 | 23.14 ± 8.39 | 77.76 ± 3.73 | NT | 49.67 ± 3.95 | - | - |
| 5 | 29.73 ± 1.85 | 77.87 ± 1.73 | NT | 52.95 ± 4.11 | - | - |
| Galantamine | NT | NT | 2.78 ± 0.03 | 6.97 ± 0.05 | 2.51 | 0.40 |
Disclaimer/Publisher’s Note: The statements, opinions and data contained in all publications are solely those of the individual author(s) and contributor(s) and not of MDPI and/or the editor(s). MDPI and/or the editor(s) disclaim responsibility for any injury to people or property resulting from any ideas, methods, instructions or products referred to in the content. |
© 2023 by the authors. Licensee MDPI, Basel, Switzerland. This article is an open access article distributed under the terms and conditions of the Creative Commons Attribution (CC BY) license (https://creativecommons.org/licenses/by/4.0/).
Share and Cite
Husna Hasnan, M.H.; Sivasothy, Y.; Khaw, K.Y.; Nafiah, M.A.; Hazni, H.; Litaudon, M.; Wan Ruzali, W.A.; Liew, S.Y.; Awang, K. N-Methyl Costaricine and Costaricine, Two Potent Butyrylcholinesterase Inhibitors from Alseodaphne pendulifolia Gamb. Int. J. Mol. Sci. 2023, 24, 10699. https://doi.org/10.3390/ijms241310699
Husna Hasnan MH, Sivasothy Y, Khaw KY, Nafiah MA, Hazni H, Litaudon M, Wan Ruzali WA, Liew SY, Awang K. N-Methyl Costaricine and Costaricine, Two Potent Butyrylcholinesterase Inhibitors from Alseodaphne pendulifolia Gamb. International Journal of Molecular Sciences. 2023; 24(13):10699. https://doi.org/10.3390/ijms241310699
Chicago/Turabian StyleHusna Hasnan, Muhammad Hafiz, Yasodha Sivasothy, Kooi Yeong Khaw, Mohd Azlan Nafiah, Hazrina Hazni, Marc Litaudon, Wan Adriyani Wan Ruzali, Sook Yee Liew, and Khalijah Awang. 2023. "N-Methyl Costaricine and Costaricine, Two Potent Butyrylcholinesterase Inhibitors from Alseodaphne pendulifolia Gamb." International Journal of Molecular Sciences 24, no. 13: 10699. https://doi.org/10.3390/ijms241310699
APA StyleHusna Hasnan, M. H., Sivasothy, Y., Khaw, K. Y., Nafiah, M. A., Hazni, H., Litaudon, M., Wan Ruzali, W. A., Liew, S. Y., & Awang, K. (2023). N-Methyl Costaricine and Costaricine, Two Potent Butyrylcholinesterase Inhibitors from Alseodaphne pendulifolia Gamb. International Journal of Molecular Sciences, 24(13), 10699. https://doi.org/10.3390/ijms241310699

