Antiproliferative Activity and Impact on Human Gut Microbiota of New O-Alkyl Derivatives of Naringenin and Their Oximes
Abstract
1. Introduction
2. Results and Discussion
2.1. Chemistry
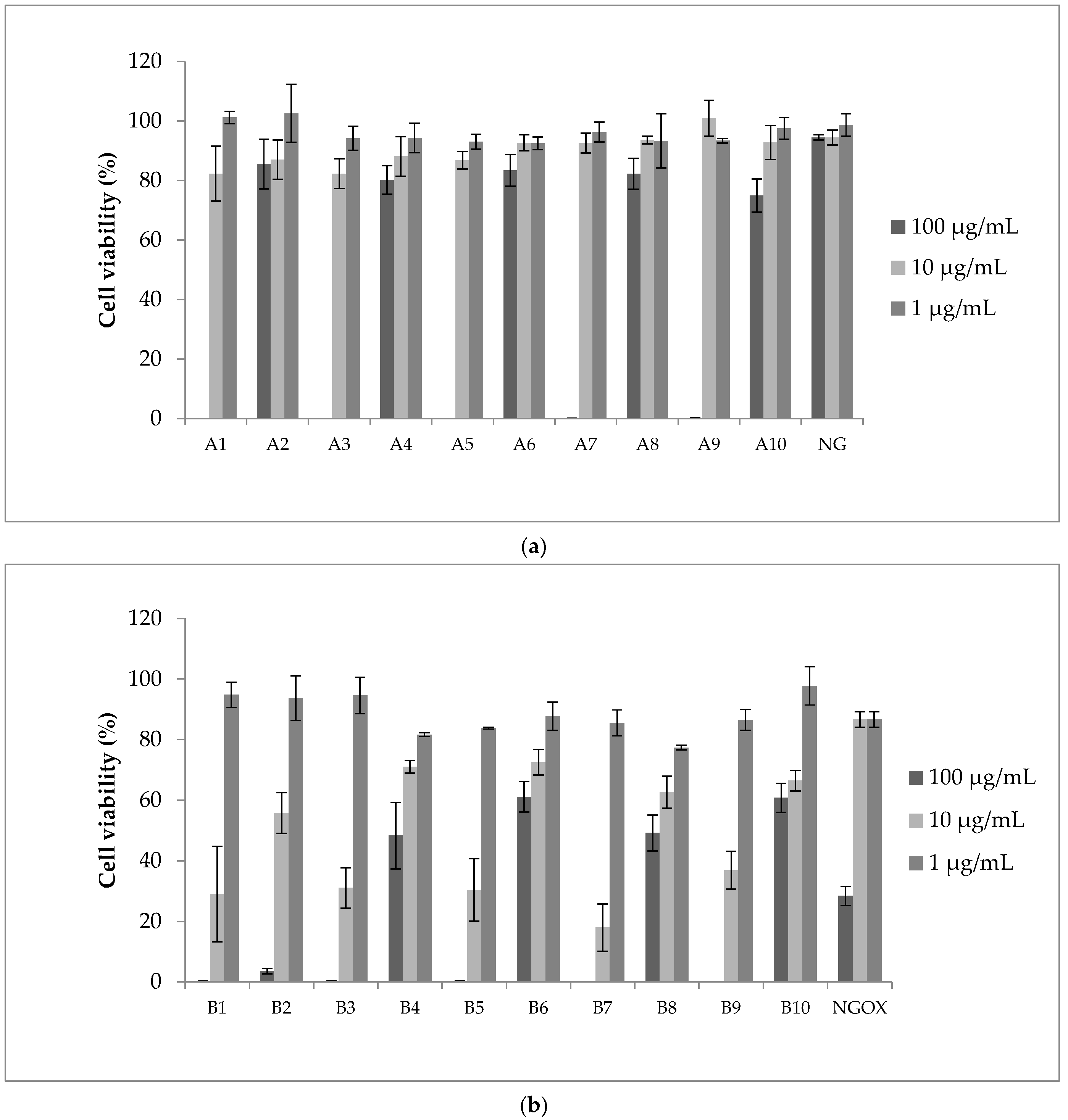
2.2. Influence of O-Alkyl Derivatives of Naringenin and Their Oximes on Human Microbiota
2.3. Anticancer Activity
2.3.1. Antiproliferative Activity (SRB and MTT Assays)
2.3.2. Apoptosis
3. Materials and Methods
3.1. Chemistry
3.1.1. Chemicals
3.1.2. Analytical Methods
3.1.3. Synthesis of Ether Naringenin Derivatives A3–A10
- 7-O-Heptylnaringenin (A3), white powder, 1H NMR (600 MHz, chloroform-d) δ 12.01 (s, 1H, OH-5), 7.35–7.30 (m, 2H, AA’BB’, H-2′, H-6′), 6.91–6.85 (m, 2H, AA’BB’, H-3′, H-5′), 6.06 (d, J = 2.3 Hz, 1H, H-6), 6.03 (d, J = 2.3 Hz, 1H, H-8), 5.38–5.30 (m, 2H, H-2 and OH-4′), 3.96 (t, J = 6.6 Hz, 2H, -CH2-), 3.08 (dd, J = 17.1, 13.0 Hz, 1H, H-3a), 2.78 (dd, J = 17.1, 3.0 Hz, 1H, H-3b), 1.80–1.73 (m, 2H, -CH2-), 1.44–1.38 (m, 2H, -CH2-), 1.36–1.27 (m, 6H, 3x-CH2-), 0.89 (t, J = 6.9 Hz, 3H, -CH3); 13C NMR (150 MHz, chloroform-d) δ 196.17 (C=O), 167.85, 164.19, 163.02, 156.28, 130.70, 128.09, 115.81, 103.13, 95.73, 94.78, 79.05, 68.74, 43.30, 31.86, 29.08, 29.02, 25.98, 22.72, 14.21; HRMS (m/z): [M + H]+ calculated for C22H27O5, 371.1853; found 371.1854.
- 7,4′-Di-O-heptylnaringenin (A4), pale yellow powder, 1H NMR (600 MHz, chloroform-d) δ 12.02 (s, 1H, OH-5), 7.39–7.32 (m, 2H, AA’BB’, H-2′, H-6′), 6.96–6.91 (m, 2H, AA’BB’, H-3′, H-5′), 6.05 (d, J = 2.3 Hz, 1H, H-6), 6.03 (d, J = 2.3 Hz, 1H, H-8), 5.35 (dd, J = 13.0, 3.0 Hz, 1H, H-2), 3.99–3.94 (m, 4H, 2x-CH2-), 3.09 (dd, J = 17.1, 13.0 Hz, 1H, H-3a), 2.78 (dd, J = 17.1, 3.0 Hz, 1H, H-3b), 1.82–1.73 (m, 4H, 2x-CH2-), 1.49–1.28 (m, 16H, 8x-CH2-), 0.92–0.87 (m, 6H, 2x-CH3); 13C NMR (150 MHz, chloroform-d) δ 196.11 (C=O), 167.74, 164.23, 163.04, 159.77, 130.33, 127.83, 114.91, 103.16, 95.67, 94.71, 79.16, 68.70, 68.29, 43.35, 31.93, 31.87, 29.36, 29.20, 29.10, 29.04, 26.14, 26.00, 22.76, 22.73, 14.24, 14.22; HRMS (m/z): [M + H]+ calculated for C29H41O5, 469.2949; found 469.2947.
- 7-O-Octylnaringenin (A5), white powder, 1H NMR (600 MHz, chloroform-d) δ 12.01 (s, 1H, OH-5), 7.36–7.30 (m, 2H, AA’BB’, H-2′, H-6′), 6.91–6.85 (m, 2H, AA’BB’, H-3′, H-5′), 6.06 (d, J = 2.3 Hz, 1H, H-6), 6.03 (d, J = 2.3 Hz, 1H, H-8), 5.35 (dd, J = 13.0, 3.0 Hz, 1H, H-2), 5.16 (s, 1H, OH-4′), 3.96 (t, J = 6.6 Hz, 2H, -CH2-), 3.08 (dd, J = 17.2, 13.0 Hz, 1H, H-3a), 2.78 (dd, J = 17.2, 3.0 Hz, 1H, H-3b), 1.76 (p, J = 6.6 Hz, 2H, -CH2-), 1.45–1.38 (m, 2H, -CH2-), 1.36–1.26 (m, 8H, 4x-CH2-), 0.88 (t, J = 6.9 Hz, 3H, -CH3); 13C NMR (150 MHz, chloroform-d) δ 196.12 (C=O), 167.82, 164.21, 163.01, 156.23, 130.77, 128.10, 115.81, 103.14, 95.73, 94.77, 79.05, 68.74, 43.33, 31.92, 29.39, 29.33, 29.03, 26.03, 22.78, 14.24; HRMS (m/z): [M + H]+ calculated for C23H29O5, 385.2010; found 385.2005.
- 7,4′-Di-O-octylnaringenin (A6), pale yellow powder, 1H NMR (600 MHz, chloroform-d) δ 12.02 (s, 1H, OH-5), 7.38–7.34 (m, 2H, AA’BB’, H-2′, H-6′), 6.96–6.92 (m, 2H, AA’BB’, H-3′, H-5′), 6.05 (d, J = 2.3 Hz, 1H, H-6), 6.02 (d, J = 2.3 Hz, 1H, H-8), 5.35 (dd, J = 13.0, 3.0 Hz, 1H, H-2), 3.99–3.94 (m, 4H, 2x-CH2-), 3.09 (dd, J = 17.1, 13.0 Hz, 1H, H-3a), 2.78 (dd, J = 17.1, 3.0 Hz, 1H, H-3b), 1.81–1.73 (m, 4H, 2x-CH2-), 1.48–1.39 (m, 4H, 2x-CH2-), 1.37–1.26 (m, 16H, 8x-CH2-), 0.92–0.86 (m, 6H, 2x-CH3); 13C NMR (150 MHz, chloroform-d) δ 196.11 (C=O), 167.73, 164.23, 163.04, 159.76, 130.33, 127.82, 114.90, 103.15, 95.67, 94.71, 79.15, 68.70, 68.29, 43.35, 31.96, 31.93, 29.49, 29.39, 29.36, 29.33, 29.04, 26.18, 26.04, 22.81, 22.79, 14.25, 14.24; HRMS (m/z): [M + H]+ calculated for C31H45O5, 497.3262; found 497.3255.
- 7-O-Nonylnaringenin (A7), white powder, 1H NMR (600 MHz, chloroform-d) δ 12.01 (s, 1H, OH-5), 7.33 (d, J = 8.1 Hz, 2H, H-2′, H-6′), 6.88 (d, J = 8.1 Hz, 2H, H-3′, H-5′), 6.06 (d, J = 2.2 Hz, 1H, H-6), 6.03 (d, J = 2.2 Hz, 1H, H-8), 5.35 (dd, J = 13.1, 2.9 Hz, 1H, H-2), 5.03 (s, 1H, OH-4′), 3.96 (t, J = 6.6 Hz, 2H, -CH2-), 3.08 (dd, J = 17.2, 13.1 Hz, 1H, H-3a), 2.78 (dd, J = 17.2, 2.9 Hz, 1H, H-3b), 1.76 (p, J = 6.6 Hz, 2H, -CH2-), 1.45–1.38 (m, 2H, -CH2-), 1.35–1.25 (m, 10H, 5x-CH2-), 0.88 (t, J = 6.9 Hz, 3H, -CH3); 13C NMR (150 MHz, chloroform-d) δ 196.07 (C=O), 167.80, 164.23, 162.99, 156.20, 130.84, 128.10, 115.81, 103.14, 95.72, 94.76, 79.05, 68.74, 43.36, 32.00, 29.63, 29.43, 29.38, 29.03, 26.03, 22.81, 14.25; HRMS (m/z): [M + H]+ calculated for C24H31O5, 399.2166; found 399.2162.
- 7,4′-Di-O-nonylnaringenin (A8), pale yellow powder, 1H NMR (600MHz, chloroform-d) δ 12.02 (s, 1H, OH-5), 7.38–7.33 (m, 2H, AA’BB’, H-2′, H-6′), 6.97–6.91 (m, 2H, AA’BB’, H-3′, H-5′), 6.05 (d, J = 2.3 Hz, 1H, H-6), 6.02 (d, J = 2.3 Hz, 1H, H-8), 5.35 (dd, J = 13.1, 3.0 Hz, 1H, H-2), 3.99–3.94 (m, 4H, 2x-CH2-), 3.09 (dd, J = 17.1, 13.1 Hz, 1H, H-3a), 2.78 (dd, J = 17.1, 3.0 Hz, 1H, H-3b), 1.83–1.72 (m, 4H, 2x-CH2-), 1.48–1.38 (m, 4H, 2x-CH2-), 1.37–1.25 (m, 20H, 10x-CH2-), 0.91–0.86 (m, 6H, 2x-CH3); 13C NMR (150 MHz, chloroform-d) δ 196.11 (C=O), 167.74, 164.23, 163.05, 159.76, 130.33, 127.83, 114.91, 103.16, 95.68, 94.72, 79.16, 68.71, 68.30, 43.36, 32.03, 32.00, 29.69, 29.63, 29.54, 29.44, 29.41, 29.38, 29.36, 29.05, 26.18, 26.04, 22.82, 14.26; HRMS (m/z): [M + H]+ calculated for C33H49O5, 525.3575; found 525.3568.
- 7-O-Undecylnaringenin (A9), white powder, 1H NMR (600 MHz, chloroform-d) δ 12.01 (s, 1H, OH-5), 7.35–7.30 (m, 2H, AA’BB’, H-2′, H-6′), 6.91–6.86 (m, 2H, AA’BB’, H-3′, H-5′), 6.06 (d, J = 2.2 Hz, 1H, H-6), 6.03 (d, J = 2.2 Hz, 1H, H-8), 5.37 (s, 1H, OH-4′), 5.34 (dd, J = 13.0, 3.0 Hz, 1H, H-2), 3.95 (t, J = 6.6 Hz, 2H, -CH2-), 3.08 (dd, J = 17.1, 13.0 Hz, 1H, H-3a), 2.78 (dd, J = 17.1, 3.0 Hz, 1H, H-3b), 1.78–1.73 (m, 2H, -CH2-), 1.44–1.38 (m, 2H, -CH2-), 1.36–1.25 (m, 14H, 7x-CH2-), 0.88 (t, J = 7.0 Hz, 3H, -CH3); 13C NMR (150 MHz, chloroform-d) δ 196.17 (C=O), 167.85, 164.19, 163.02, 156.29, 130.69, 128.09, 115.81, 103.13, 95.72, 94.78, 79.05, 68.75, 43.30, 32.04, 29.74, 29.71, 29.66, 29.47, 29.42, 29.02, 26.02, 22.82, 14.26; HRMS (m/z): [M + H]+ calculated for C26H35O5, 427.2479; found 427.2472.
- 7,4′-Di-O-undecylnaringenin (A10), pale yellow powder, 1H NMR (600 MHz, chloroform-d) δ 12.02 (s, 1H, OH-5), 7.38–7.34 (m, 2H, AA’BB’, H-2′, H-6′), 6.96–6.92 (m, 2H, AA’BB’, H-3′, H-5′), 6.05 (d, J = 2.3 Hz, 1H, H-6), 6.02 (d, J = 2.3 Hz, 1H, H-8), 5.35 (dd, J = 13.0, 3.0 Hz, 1H, H-2), 3.99–3.94 (m, 4H, 2x-CH2-), 3.09 (dd, J = 17.1, 13.0 Hz, 1H, H-3a), 2.78 (dd, J = 17.1, 3.0 Hz, 1H, H-3b), 1.82–1.73 (m, 4H, 2x-CH2-), 1.48–1.39 (m, 4H, 2x-CH2-), 1.37–1.25 (m, 28H, 14x-CH2-), 0.91–0.86 (m, 6H, 2x-CH3); 13C NMR (150 MHz, chloroform-d) δ 196.10 (C=O), 167.73, 164.23, 163.04, 159.76, 130.33, 127.82, 114.90, 103.15, 95.67, 94.71, 79.16, 68.70, 68.29, 43.35, 32.06, 29.77, 29.75, 29.72, 29.67, 29.54, 29.49, 29.48, 29.43, 29.36, 29.04, 26.18, 26.03, 22.84, 14.27; HRMS (m/z): [M + H]+ calculated for C37H57O5, 581.4201; found 581.4187.
3.1.4. Synthesis of Oximes B3–B10
- 7-O-Heptylnaringenin oxime (B3), white powder, 1H NMR (600 MHz, acetone-d6) δ 11.01 (s, 1H, NOH), 10.40 (s, 1H, OH-5), 8.49 (s, 1H, OH-4′), 7.40–7.36 (m, 2H, AA’BB’, H-2′, H-6′), 6.92–6.86 (m, 2H, AA’BB’, H-3′, H-5′), 6.05 (d, J = 2.4 Hz, 1H, H-6), 6.03 (d, J = 2.4 Hz, 1H, H-8), 5.07 (dd, J = 12.0, 3.2 Hz, 1H, H-2), 3.96 (t, J = 6.6 Hz, 2H, -CH2-), 3.46 (dd, J = 17.1, 3.2 Hz, 1H, H-3a), 2.79 (dd, J = 17.1, 12.0 Hz, 1H, H-3b), 1.78–1.70 (m, 2H, -CH2-), 1.49–1.43 (m, 2H, -CH2-), 1.39–1.29 (m, 6H, 3x-CH2-), 0.89 (t, J = 6.9 Hz, 3H, -CH3); 13C NMR (150 MHz, acetone-d6) δ 162.95, 160.62, 159.41, 158.46, 154.85 (C=NOH), 131.75, 128.79, 116.12, 99.14, 96.58, 95.11, 77.37, 68.66, 32.53, 30.30, 29.74, 26.67, 23.26, 14.33; HRMS (m/z): [M + H]+ calculated for C22H28NO5, 386.1962; found 386.1958.
- 7,4′-Di-O-heptylnaringenin oxime (B4), white powder, 1H NMR (600 MHz, acetone-d6) δ 11.01 (s, 1H, NOH), 10.38 (s, 1H, OH-5), 7.47–7.44 (m, 2H, AA’BB’, H-2′, H-6′), 7.00–6.96 (m, 2H, AA’BB’, H-3′, H-5′), 6.05 (d, J = 2.4 Hz, 1H, H-6), 6.04 (d, J = 2.4 Hz, 1H, H-8), 5.11 (dd, J = 11.9, 3.2 Hz, 1H, H-2), 4.02 (t, J = 6.5 Hz, 2H, -CH2-), 3.97 (t, J = 6.5 Hz, 2H, -CH2-), 3.47 (dd, J = 17.1, 3.2 Hz, 1H, H-3a), 2.81 (dd, J = 17.1, 11.9 Hz, 1H, H-3b), 1.81–1.72 (m, 4H, 2x-CH2-), 1.52–1.42 (m, 4H, 2x-CH2-), 1.41–1.30 (m, 12H, 6x-CH2-), 0.92–0.86 (m, 6H, 2x-CH3); 13C NMR (150 MHz, acetone-d6) δ 162.08, 159.75, 159.35, 158.44, 153.88 (C=NOH), 131.84, 127.77, 114.38, 98.26, 95.73, 94.25, 76.34, 67.78, 67.71, 31.68, 31.66, 29.39, 29.14, 28.91, 28.86, 25.86, 25.79, 22.40, 22.38, 13.45; HRMS (m/z): [M + H]+ calculated for C29H42NO5, 484.3057; found 484.3046.
- 7-O-Octylnaringenin oxime (B5), white powder, 1H NMR (600 MHz, acetone-d6) δ 11.01 (s, 1H, NOH), 10.39 (s, 1H, OH-5), 8.49 (s, 1H, OH-4′), 7.41–7.36 (m, 2H, AA’BB’, H-2′, H-6′), 6.92–6.87 (m, 2H, AA’BB’, H-3′, H-5′), 6.05 (d, J = 2.4 Hz, 1H, H-6), 6.03 (d, J = 2.4 Hz, 1H, H-8), 5.07 (dd, J = 12.0, 3.2 Hz, 1H, H-2), 3.97 (t, J = 6.5 Hz, 2H, -CH2-), 3.46 (dd, J = 17.1, 3.2 Hz, 1H, H-3a), 2.79 (dd, J = 17.1, 12.0 Hz, 1H, H-3b), 1.77–1.71 (m, 2H, -CH2-), 1.48–1.42 (m, 2H, -CH2-), 1.39–1.28 (m, 8H, 4x-CH2-), 0.88 (t, J = 7.0 Hz, 3H, -CH3); 13C NMR (150 MHz, acetone-d6) δ 162.95, 160.62, 159.41, 158.46, 154.85 (C=NOH), 131.75, 128.79, 116.12, 99.14, 96.59, 95.11, 77.37, 68.66, 32.55, 30.30, 30.03, 26.71, 23.30, 14.35; HRMS (m/z): [M + H]+ calculated for C23H30NO5, 400.2118; found 400.2114.
- 7,4′-Di-O-octylnaringenin oxime (B6), white powder, 1H NMR (600 MHz, acetone-d6) δ 11.01 (s, 1H, N=OH), 10.42 (s, 1H, OH-5), 7.48–7.43 (m, 2H, AA’BB’, H-2′, H-6′), 7.00–6.95 (m, 2H, AA’BB’, H-3′, H-5′), 6.05 (d, J = 2.4 Hz, 1H, H-6), 6.04 (d, J = 2.4 Hz, 1H, H-8), 5.11 (dd, J = 11.9, 3.2 Hz, 1H, H-2), 4.02 (t, J = 6.5 Hz, 2H, -CH2-), 3.97 (t, J = 6.5 Hz, 2H, -CH2-), 3.47 (dd, J = 17.1, 3.2 Hz, 1H, H-3a), 2.80 (dd, J = 17.1, 11.9 Hz, 1H, H-3b), 1.82–1.70 (m, 4H, 2x-CH2-), 1.53–1.41 (m, 4H, 2x-CH2-), 1.40–1.28 (m, 16H, 8x-CH2-), 0.91–0.86 (m, 6H, 2x-CH3); 13C NMR (150 MHz, acetone-d6) δ 162.96, 160.63, 160.23, 159.32, 154.73 (C=NOH), 132.72, 128.66, 115.27, 99.15, 96.61, 95.14, 77.22, 68.67, 68.60, 32.57, 32.56, 30.28, 30.03, 30.02, 26.79, 26.71, 23.32, 23.31, 14.36; HRMS (m/z): [M + H]+ calculated for C31H46NO5, 512.3370; found 512.3359.
- 7-O-Nonylnaringenin oxime (B7), white powder, 1H NMR (600 MHz, acetone-d6) δ 11.01 (s, 1H, NOH), 10.37 (s, 1H, OH-5), 8.46 (s, 1H, OH-4′), 7.41–7.36 (m, 2H, AA’BB’, H-2′, H-6′), 6.92–6.87 (m, 2H, AA’BB’, H-3′, H-5′), 6.05 (d, J = 2.4 Hz, 1H, H-6), 6.03 (d, J = 2.4 Hz, 1H, H-8), 5.07 (dd, J = 12.0, 3.1 Hz, 1H, H-2), 3.97 (t, J = 6.6 Hz, 2H, -CH2-), 3.46 (dd, J = 17.1, 3.1 Hz, 1H, H-3a), 2.79 (dd, J = 17.1, 12.0 Hz, 1H, H-3b), 1.77–1.71 (m, 2H, -CH2-), 1.48–1.42 (m, 2H, -CH2-), 1.40–1.27 (m, 10H, 5x-CH2-), 0.88 (t, J = 7.0 Hz, 3H, -CH3); 13C NMR (150 MHz, acetone-d6) δ 162.96, 160.63, 159.42, 158.46, 154.88 (C=NOH), 131.77, 128.79, 116.12, 99.13, 96.60, 95.12, 77.38, 68.66, 32.60, 30.31, 30.28, 30.07, 30.00, 26.70, 23.32, 14.35; HRMS (m/z): [M + H]+ calculated for C24H32NO5, 414.2275; found 414.2268.
- 7,4′-Di-O-nonylnaringenin oxime (B8), white powder, 1H NMR (600 MHz, acetone-d6) δ 11.01 (s, 1H, NOH), 10.42 (s, 1H, OH-5), 7.47–7.44 (m, 2H, AA’BB’, H-2′, H-6′), 6.99–6.96 (m, 2H, AA’BB’, H-3′, H-5′), 6.05 (d, J = 2.4 Hz, 1H, H-6), 6.04 (d, J = 2.4 Hz, 1H, H-8), 5.11 (dd, J = 11.9, 3.2 Hz, 1H, H-2), 4.02 (t, J = 6.6 Hz, 2H, -CH2-), 3.97 (t, J = 6.6 Hz, 2H, -CH2-), 3.47 (dd, J = 17.1, 3.2 Hz, 1H, H-3a), 2.80 (dd, J = 17.1, 11.9 Hz, 1H, H-3b), 1.81–1.72 (m, 4H, 2x-CH2-), 1.51–1.43 (m, 4H, 2x-CH2-), 1.40–1.27 (m, 20H, 10x-CH2-), 0.91–0.85 (m, 6H, 2x-CH3); 13C NMR (150 MHz, acetone-d6) δ 162.96, 160.63, 160.23, 159.32, 154.73 (C=NOH), 132.72, 128.65, 115.27, 99.15, 96.62, 95.14, 77.22, 68.67, 68.60, 32.62, 32.61, 30.31, 30.28, 30.13, 30.07, 30.01, 30.00, 26.78, 26.71, 23.33, 14.36; HRMS (m/z): [M + H]+ calculated for C33H50NO5, 540.3684; found 540.3667.
- 7-O-Undecylnaringenin oxime (B9), white powder, 1H NMR (600 MHz, acetone-d6) δ 11.01 (s, 1H, NOH), 10.36 (s, 1H, OH-5), 8.46 (s, 1H, OH-4′), 7.40–7.36 (m, 2H, AA’BB’, H-2′, H-6′), 6.92–6.87 (m, 2H, AA’BB’, H-3′, H-5′), 6.05 (d, J = 2.4 Hz, 1H, H-6), 6.03 (d, J = 2.4 Hz, 1H, H-8), 5.07 (dd, J = 12.0, 3.2 Hz, 1H, H-2), 3.96 (t, J = 6.6 Hz, 2H, -CH2-), 3.46 (dd, J = 17.1, 3.2 Hz, 1H, H-3a), 2.79 (dd, J = 17.1, 12.0 Hz, 1H, H-3b), 1.78–1.70 (m, 2H, -CH2-), 1.48–1.41 (m, 2H, -CH2-), 1.41–1.26 (m, 14H, 7x-CH2-), 0.87 (t, J = 7.0 Hz, 3H, -CH3); 13C NMR (150 MHz, acetone-d6) δ 162.94, 160.62, 159.40, 158.44, 154.86 (C=NOH), 131.76, 128.77, 116.12, 99.13, 96.59, 95.11, 77.36, 68.65, 32.63, 30.33, 30.31, 30.06, 26.70, 23.32, 14.36; HRMS (m/z): [M + H]+ calculated for C26H36NO5, 442.2588; found 442.2572.
- 7,4′-Di-O-undecylnaringenin oxime (B10), white powder, 1H NMR (600 MHz, acetone-d6) δ 11.00 (s, 1H, NOH), 10.38 (s, 1H, OH-5), 7.49–7.43 (m, 2H, AA’BB’, H-2′, H-6′), 7.00–6.96 (m, 2H, AA’BB’, H-3′, H-5′), 6.05 (d, J = 2.4 Hz, 1H, H-6), 6.04 (d, J = 2.4 Hz, 1H, H-8), 5.11 (dd, J = 11.9, 3.2 Hz, 1H, H-2), 4.02 (t, J = 6.5 Hz, 2H, -CH2-), 3.97 (t, J = 6.5 Hz, 2H, -CH2-), 3.47 (dd, J = 17.1, 3.2 Hz, 1H, H-3a), 2.81 (dd, J = 17.1, 11.9 Hz, 1H, H-3b), 1.81–1.72 (m, 4H, 2x-CH2-), 1.51–1.43 (m, 4H, 2x-CH2-), 1.40–1.27 (m, 28H, 14x-CH2-), 0.90–0.85 (m, 6H, 2x-CH3); 13C NMR (150 MHz, acetone-d6) δ 162.97, 160.64, 160.24, 159.33, 154.76 (C=NOH), 132.73, 128.65, 115.28, 99.15, 96.63, 95.15, 77.23, 68.67, 68.60, 32.64, 30.35, 30.33, 30.29, 30.08, 30.02, 26.79, 26.71, 23.34, 14.37; HRMS (m/z): [M + H]+ calculated for C37H58NO5, 596.4310; found 596.4286.
3.2. Antimicrobial Activity
3.2.1. Bacterial Strains and Culture Conditions
3.2.2. Minimal Inhibitory Concentration (MIC) and Minimal Bactericidal Concentration (MBC) Assays
3.3. Anticancer Activity
3.3.1. Cell Culture Condition
3.3.2. SRB Assay
3.3.3. MTT Assay
3.3.4. Apoptosis Assay
3.3.5. Caspase 3/7 Activity Assay
4. Conclusions
Supplementary Materials
Author Contributions
Funding
Institutional Review Board Statement
Informed Consent Statement
Data Availability Statement
Conflicts of Interest
References
- Siegel, R.L.; Miller, K.D.; Wagle, N.S.; Jemal, A. Cancer statistics, 2023. CA Cancer J. Clin. 2023, 73, 17–48. [Google Scholar] [CrossRef]
- Sarojamma, V.; Vadde, R. Naringenin in the Prevention of Colon Cancer: An Updated Review. Onco Ther. 2022, 9, 25–41. [Google Scholar] [CrossRef]
- Quiñonero, F.; Mesas, C.; Peña, M.; Cabeza, L.; Perazzoli, G.; Melguizo, C.; Ortiz, R.; Prados, J. Vegetal-Derived Bioactive Compounds as Multidrug Resistance Modulators in Colorectal Cancer. Appl. Sci. 2023, 13, 2667. [Google Scholar] [CrossRef]
- Sawicki, T.; Ruszkowska, M.; Danielewicz, A.; Niedźwiedzka, E.; Arłukowicz, T.; Przybyłowicz, K.E. A review of colorectal cancer in terms of epidemiology, risk factors, development, symptoms and diagnosis. Cancers 2021, 13, 2025. [Google Scholar] [CrossRef] [PubMed]
- Triarico, S.; Maurizi, P.; Mastrangelo, S.; Attinà, G.; Capozza, M.A.; Ruggiero, A. Improving the brain delivery of chemotherapeutic drugs in childhood brain tumors. Cancers 2019, 11, 824. [Google Scholar] [CrossRef] [PubMed]
- Sanchez-Diaz, M.; Quiñones-Vico, M.I.; de la Torre, R.S.; Montero-Vílchez, T.; Sierra-Sánchez, A.; Molina-Leyva, A.; Arias-Santiago, S. Biodistribution of mesenchymal stromal cells after administration in animal models and humans: A systematic review. J. Clin. Med. 2021, 10, 2925. [Google Scholar] [CrossRef] [PubMed]
- Brianna; Lee, S.H. Chemotherapy: How to reduce its adverse effects while maintaining the potency? Med. Oncol. 2023, 40, 88. [Google Scholar] [CrossRef] [PubMed]
- Szklener, K.; Szklener, S.; Michalski, A.; Żak, K.; Kuryło, W.; Rejdak, K.; Mańdziuk, S. Dietary Supplements in Chemotherapy-Induced Peripheral. Nutrients 2022, 14, 625. [Google Scholar] [CrossRef]
- Agrawal, M.Y.; Gaikwad, S.; Srivastava, S.; Srivastava, S.K. Research Trend and Detailed Insights into the Molecular Mechanisms of Food Bioactive Compounds against Cancer: A Comprehensive Review with Special Emphasis on Probiotics. Cancers 2022, 14, 5482. [Google Scholar] [CrossRef]
- Soltana, H.; Pinon, A.; Limami, Y.; Zaid, Y.; Khalki, L.; Zaid, N.; Salah, D.; Sabitaliyevich, U.Y.; Simon, A.; Liagre, B.; et al. Antitumoral activity of Ficus carica L. on colorectal cancer cell lines. Cell. Mol. Biol. 2019, 65, 6–11. [Google Scholar] [CrossRef]
- Samiry, I.; Pinon, A.; Limami, Y.; Rais, S.; Zaid, Y.; Oudghiri, M.; Liagre, B.; Mtairag, E.M. Antitumoral activity of Caralluma europaea on colorectal and prostate cancer cell lines. J. Toxicol. Environ. Health-Part A Curr. Issues 2023, 86, 230–240. [Google Scholar] [CrossRef] [PubMed]
- Wang, M.; Yu, F.; Zhang, Y.; Chang, W.; Zhou, M. The Effects and Mechanisms of Flavonoids on Cancer Prevention and Therapy: Focus on Gut Microbiota. Int. J. Biol. Sci. 2022, 18, 1451–1475. [Google Scholar] [CrossRef] [PubMed]
- Singh, S.; Sharma, A.; Monga, V.; Bhatia, R. Compendium of naringenin: Potential sources, analytical aspects, chemistry, nutraceutical potentials and pharmacological profile. Crit. Rev. Food Sci. Nutr. 2022, 1–32. [Google Scholar] [CrossRef]
- Picos-Salas, M.A.; Cabanillas-Bojórquez, L.Á.; Elizalde-Romero, C.A.; Leyva-López, N.; Montoya-Inzunza, L.A.; Heredia, J.B.; Gutiérrez-Grijalva, E.P. Naringenin as a Natural Agent Against Oxidative Stress and Inflammation, and Its Bioavailability. Food Rev. Int. 2022, 1–39. [Google Scholar] [CrossRef]
- Duda-Madej, A.; Stecko, J.; Sobieraj, J.; Szymańska, N.; Kozłowska, J. Naringenin and Its Derivatives—Health-Promoting Phytobiotic against Resistant Bacteria and Fungi in Humans. Antibiotics 2022, 11, 1628. [Google Scholar] [CrossRef] [PubMed]
- Morimoto, R.; Matsubara, C.; Hanada, A.; Omoe, Y.; Ogata, T.; Isegawa, Y. Effect of Structural Differences in Naringenin, Prenylated Naringenin, and Their Derivatives on the Anti-Influenza Virus Activity and Cellular Uptake of Their Flavanones. Pharmaceuticals 2022, 15, 1480. [Google Scholar] [CrossRef] [PubMed]
- Tutunchi, H.; Naeini, F.; Ostadrahimi, A.; Hosseinzadeh-Attar, M.J. Naringenin, a flavanone with antiviral and anti-inflammatory effects: A promising treatment strategy against COVID-19. Phyther. Res. 2020, 34, 3137–3147. [Google Scholar] [CrossRef]
- Stabrauskiene, J.; Kopustinskiene, D.M.; Lazauskas, R.; Bernatoniene, J. Naringin and Naringenin: Their Mechanisms of Action and the Potential Anticancer Activities. Biomedicines 2022, 10, 1686. [Google Scholar] [CrossRef]
- Potaniec, B.; Grabarczyk, M.; Stompor, M.; Szumny, A.; Zieliński, P.; Zołnierczyk, A.K.; Anioł, M. Antioxidant activity and spectroscopic data of isoxanthohomol oxime and related compounds. Spectrochim. Acta-Part A Mol. Biomol. Spectrosc. 2014, 118, 716–723. [Google Scholar] [CrossRef]
- Kozłowska, J.; Potaniec, B.; Żarowska, B.; Anioł, M. Synthesis and biological activity of novel O-alkyl derivatives of naringenin and their oximes. Molecules 2017, 22, 1485. [Google Scholar] [CrossRef]
- Kozłowska, J.; Grela, E.; Baczyńska, D.; Grabowiecka, A.; Anioł, M. Novel O-alkyl Derivatives of Naringenin and Their Oximes with Antimicrobial and Anticancer Activity. Molecules 2019, 24, 679. [Google Scholar] [CrossRef] [PubMed]
- Stec, K.; Kozłowska, J.; Wróblewska-Kurdyk, A.; Kordan, B.; Anioł, M.; Gabryś, B. Effect of naringenin and its derivatives on the probing behavior of Myzus persicae (Sulz.). Molecules 2020, 25, 3185. [Google Scholar] [CrossRef] [PubMed]
- Lehmann, F.; Wennerberg, J. Evolution of Nitrogen-Based Alkylating Anticancer Agents. Processes 2021, 9, 377. [Google Scholar] [CrossRef]
- Wesolowska, O.; Wisniewski, J.; Duarte, N.; Ferreira, M.J.U.; Michalak, K. Inhibition of MRP1 transport activity by phenolic and terpenic compounds isolated from Euphorbia species. Anticancer Res. 2007, 27, 4127–4133. [Google Scholar] [PubMed]
- Dhuguru, J.; Zviagin, E.; Skouta, R. FDA-Approved Oximes and Their Significance in Medicinal Chemistry. Pharmaceuticals 2022, 15, 66. [Google Scholar] [CrossRef]
- Albuquerque de Oliveira Mendes, L.; Ponciano, C.S.; Depieri Cataneo, A.H.; Wowk, P.F.; Bordignon, J.; Silva, H.; Vieira de Almeida, M.; Ávila, E.P. The anti-Zika virus and anti-tumoral activity of the citrus flavanone lipophilic naringenin-based compounds. Chem. Biol. Interact. 2020, 331, 109218. [Google Scholar] [CrossRef]
- Lee, E.R.; Kang, Y.J.; Kim, H.J.; Choi, H.Y.; Kang, G.H.; Kim, J.H.; Kim, B.W.; Jeong, H.S.; Park, Y.S.; Cho, S.G. Regulation of apoptosis by modified naringenin derivatives in human colorectal carcinoma RKO cells. J. Cell. Biochem. 2008, 104, 259–273. [Google Scholar] [CrossRef]
- Zhang, S.; Wang, Y.; Sun, Y.; Zhao, G.; Wang, J.; Liu, L.; Liu, F.; Wang, P.; Xu, X. 4′,7-Di-O-methylnaringenin (DMNG), a naringenin derivative, activates p53 signal pathway through down-regulating MDM2. J. Funct. Foods 2022, 89, 104962. [Google Scholar] [CrossRef]
- Kocyigit, A.; Koyuncu, I.; Dikilitas, M.; Bahadori, F.; Turkkan, B. Cytotoxic, genotoxic and apoptotic effects of naringenin-oxime relative to naringenin on normal and cancer cell lines. Asian Pac. J. Trop. Biomed. 2016, 6, 872–880. [Google Scholar] [CrossRef]
- Latif, A.D.; Gonda, T.; Vágvölgyi, M.; Kúsz, N.; Kulmány, Á.; Ocsovszki, I.; Zomborszki, Z.P.; Zupkó, I.; Hunyadi, A. Synthesis and in vitro antitumor activity of naringenin oxime and oxime ether derivatives. Int. J. Mol. Sci. 2019, 20, 2184. [Google Scholar] [CrossRef]
- Ferreira, R.J.; Gajdács, M.; Kincses, A.; Spengler, G.; dos Santos, D.J.V.A.; Ferreira, M.J.U. Nitrogen-containing naringenin derivatives for reversing multidrug resistance in cancer. Bioorg. Med. Chem. 2020, 28, 115798. [Google Scholar] [CrossRef] [PubMed]
- Duda-Madej, A.; Kozłowska, J.; Krzyzek, P.; Anioł, M.; Seniuk, A.; Jermakow, K.; Dworniczek, E. Antimicrobial O-alkyl derivatives of naringenin and their oximes against multidrug-resistant bacteria. Molecules 2020, 25, 3642. [Google Scholar] [CrossRef] [PubMed]
- Motallebi, M.; Bhia, M.; Rajani, H.F.; Bhia, I.; Tabarraei, H.; Mohammadkhani, N.; Pereira-Silva, M.; Kasaii, M.S.; Nouri-Majd, S.; Mueller, A.L.; et al. Naringenin: A potential flavonoid phytochemical for cancer therapy. Life Sci. 2022, 305, 120752. [Google Scholar] [CrossRef] [PubMed]
- Dayarathne, L.A.; Ranaweera, S.S.; Natraj, P.; Rajan, P.; Lee, Y.J.; Han, C.H. Restoration of the adipogenic gene expression by naringenin and naringin in 3T3-L1 adipocytes. J. Vet. Sci. 2021, 22, e55. [Google Scholar] [CrossRef]
- Kumar, S.P.; Birundha, K.; Kaveri, K.; Devi, K.T.R. Antioxidant studies of chitosan nanoparticles containing naringenin and their cytotoxicity effects in lung cancer cells. Int. J. Biol. Macromol. 2015, 78, 87–95. [Google Scholar] [CrossRef]
- Radewicz, T.A.; Edwards, J.L.; Katula, K.S. Effects of various polyphenolics on hydrogen peroxide-induced p53 activity in NIH3T3 cells. J. Med. Food 2010, 13, 123–130. [Google Scholar] [CrossRef]
- Harmon, A.W.; Patel, Y.M. Naringenin inhibits phosphoinositide 3-kinase activity and glucose uptake in 3T3-L1 adipocytes. Biochem. Biophys. Res. Commun. 2003, 305, 229–234. [Google Scholar] [CrossRef]
- Richard, A.J.; Amini-Vaughan, Z.; Ribnicky, D.M.; Stephens, J.M. Naringenin inhibits adipogenesis and reduces insulin sensitivity and adiponectin expression in adipocytes. Evid.-Based Complement. Altern. Med. 2013, 2013, 549750. [Google Scholar] [CrossRef]
- Zitvogel, L.; Galluzzi, L.; Viaud, S.; Vétizou, M.; Daillère, R.; Merad, M.; Kroemer, G. Cancer and the gut microbiota: An unexpected link. Sci. Transl. Med. 2015, 7, 5–8. [Google Scholar] [CrossRef]
- Shen, S.C.; Ko, C.H.; Tseng, S.W.; Tsai, S.H.; Chen, Y.C. Structurally related antitumor effects of flavanones in vitro and in vivo: Involvement of caspase 3 activation, p21 gene expression, and reactive oxygen species production. Toxicol. Appl. Pharmacol. 2004, 197, 84–95. [Google Scholar] [CrossRef]
- Lozano-Herrera, S.J.; Luna-Bárcenas, G.; Guevara-González, R.G.; Campos-Vega, R.; Solís-Sáinz, J.C.; Hernández-Puga, A.G.; Vergara-Castañeda, H.A. Fermentation Extract of Naringenin Increases the Expression of Estrogenic Receptor β and Modulates Genes Related to the p53 Signalling Pathway, miR-200c and miR-141 in Human Colon Cancer Cells Exposed to BPA. Molecules 2022, 27, 6588. [Google Scholar] [CrossRef] [PubMed]
- Totta, P.; Acconcia, F.; Leone, S.; Cardillo, I.; Marino, M. Mechanisms of naringenin-induced apoptotic cascade in cancer cells: Involvement of estrogen receptor α and β signalling. IUBMB Life 2004, 56, 491–499. [Google Scholar] [CrossRef] [PubMed]
- Lakhani, S.A.; Masud, A.; Kuida, K.; Porter, G.A.; Booth, C.J.; Mehal, W.Z.; Inayat, I.; Flavell, R.A. Caspases 3 and 7: Key mediators of mitochondrial events of apoptosis. Science 2006, 311, 847–851. [Google Scholar] [CrossRef] [PubMed]
- The European Committee on Antimicrobial Susceptibility Testing Clinical Breakpoints—Bacteria (v 10.0). 2020. Available online: https://www.eucast.org/fileadmin/src/media/PDFs/EUCAST_files/Breakpoint_tables/v_10.0_Breakpoint_Tables.pdf (accessed on 10 November 2020).






| Compound | Yield | m.p. | Compound | Yield | m.p. |
|---|---|---|---|---|---|
| A3 | 71.5% | 114–115 °C | B3 | 90.3% | 186–187 °C |
| A4 | 10.0% | 74–75 °C | B4 | 78.4% | 82–83 °C |
| A5 | 66.4% | 111–113 °C | B5 | 94.3% | 183–185 °C |
| A6 | 10.8% | 60–61 °C | B6 | 72.2% | 85–86 °C |
| A7 | 64.7% | 115–116 °C | B7 | 93.2% | 176–178 °C |
| A8 | 11.2% | 70–71 °C | B8 | 88.0% | 87–88 °C |
| A9 | 63.2% | 103–104 °C | B9 | 91.6% | 171–173 °C |
| A10 | 9.9% | 63–64 °C | B10 | 77.5% | 95–96 °C |
| Compound | MIC (MBC) [µg/mL] | ||
|---|---|---|---|
| S. aureus ATCC 25923 | E. faecalis ATCC 29212 | E. coli K12 | |
| A1 | 16 (>512) | 16 (>512) | >512 (>512) |
| A2 | >512 (>512) | 64 (>512) | >512 (>512) |
| A3 | 16 (>512) | 32 (>512) | >512 (>512) |
| A4 | >512 (>512) | 32 (>512) | >512 (>512) |
| A5 | 8 (>512) | 16 (>512) | >512 (>512) |
| A6 | >512 (>512) | 32 (>512) | >512 (>512) |
| A7 | 16 (>512) | 16 (>512) | >512 (>512) |
| A8 | 512 (>512) | 512 (>512) | >512 (>512) |
| A9 | >512 (>512) | 512 (>512) | >512 (>512) |
| A10 | 256 (>512) | 32 (>512) | >512 (>512) |
| NG | 512 (>512) | >512 (>512) | 512 (>512) |
| B1 | 8 (32) | 16 (256) | >512 (>512) |
| B2 | >512 (>512) | >512 (>512) | >512 (>512) |
| B3 | 64 (128) | 16 (512) | >512 (>512) |
| B4 | >512 (>512) | >512 (>512) | >512 (>512) |
| B5 | 256 (>512) | 16 (256) | >512 (>512) |
| B6 | >512 (>512) | >512 (>512) | >512 (>512) |
| B7 | 128 (>512) | 8 (>512) | >512 (>512) |
| B8 | >512 (>512) | >512 (>512) | >512 (>512) |
| B9 | >512 (>512) | 256 (>512) | >512 (>512) |
| B10 | >512 (>512) | >512 (>512) | >512 (>512) |
| NGOX | >512 (>512) | 512 (>512) | 512 (>512) |
| Compound | Cytotoxicity (IC50 [µg/mL] ± SD) | |
|---|---|---|
| HT-29 | 3T3-L1 | |
| A1 | 14.31 ± 0.84 | 10.83 ± 1.10 |
| A2 | >100 | >100 |
| A3 | 14.19 ± 0.56 | 7.61 ± 1.20 |
| A4 | >100 | >100 |
| A5 | 14.63 ± 0.13 | 8.86 ± 0.67 |
| A6 | >100 | >100 |
| A7 | 15.02 ± 0.41 | 8.65 ± 0.71 |
| A8 | >100 | >100 |
| A9 | 17.85 ± 0.65 | 10.17 ± 0.20 |
| A10 | >100 | >100 |
| NG | >100 | >100 |
| B1 | 11.32 ± 1.63 | 8.30 ± 0.72 |
| B2 | 49.76 ± 1.63 | 10.08 ± 6.49 |
| B3 | 11.30 ± 0.81 | 7.77 ± 1.11 |
| B4 | >100 | >100 |
| B5 | 9.96 ± 1.13 | 7.1 ± 1.57 |
| B6 | >100 | >100 |
| B7 | 11.23 ± 1.27 | 6.08 ± 0.64 |
| B8 | >100 | >100 |
| B9 | 11.42 ± 1.17 | 6.74 ± 0.84 |
| B10 | >100 | >100 |
| NGOX | >100 | 29.18 ± 2.00 |
Disclaimer/Publisher’s Note: The statements, opinions and data contained in all publications are solely those of the individual author(s) and contributor(s) and not of MDPI and/or the editor(s). MDPI and/or the editor(s) disclaim responsibility for any injury to people or property resulting from any ideas, methods, instructions or products referred to in the content. |
© 2023 by the authors. Licensee MDPI, Basel, Switzerland. This article is an open access article distributed under the terms and conditions of the Creative Commons Attribution (CC BY) license (https://creativecommons.org/licenses/by/4.0/).
Share and Cite
Kozłowska, J.; Duda-Madej, A.; Baczyńska, D. Antiproliferative Activity and Impact on Human Gut Microbiota of New O-Alkyl Derivatives of Naringenin and Their Oximes. Int. J. Mol. Sci. 2023, 24, 9856. https://doi.org/10.3390/ijms24129856
Kozłowska J, Duda-Madej A, Baczyńska D. Antiproliferative Activity and Impact on Human Gut Microbiota of New O-Alkyl Derivatives of Naringenin and Their Oximes. International Journal of Molecular Sciences. 2023; 24(12):9856. https://doi.org/10.3390/ijms24129856
Chicago/Turabian StyleKozłowska, Joanna, Anna Duda-Madej, and Dagmara Baczyńska. 2023. "Antiproliferative Activity and Impact on Human Gut Microbiota of New O-Alkyl Derivatives of Naringenin and Their Oximes" International Journal of Molecular Sciences 24, no. 12: 9856. https://doi.org/10.3390/ijms24129856
APA StyleKozłowska, J., Duda-Madej, A., & Baczyńska, D. (2023). Antiproliferative Activity and Impact on Human Gut Microbiota of New O-Alkyl Derivatives of Naringenin and Their Oximes. International Journal of Molecular Sciences, 24(12), 9856. https://doi.org/10.3390/ijms24129856

