Superparamagnetic Spinel-Ferrite Nano-Adsorbents Adapted for Hg2+, Dy3+, Tb3+ Removal/Recycling: Synthesis, Characterization, and Assessment of Toxicity
Abstract
1. Introduction
2. Results and Discussion
2.1. Synthesis and Characterization of MNPs
2.2. Adsorption and Desorption Tests
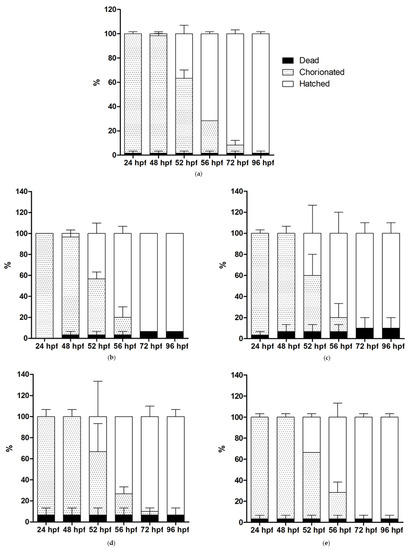
2.3. Cytotoxicity Study
3. Materials and Methods
3.1. Synthesis of Magnetic Nanoparticles (MNPs)
3.1.1. γ-Fe2O3 NPs
3.1.2. CoFe2O4 NPs
3.1.3. γ-Fe2O3@SiO2-NH2 and CoFe2O4@SiO2-NH2 NPs
3.2. Characterization of MNPs
3.2.1. X-ray Diffractometry (XRD)
3.2.2. Transmission-Electron Microscopy (TEM) with Energy-Dispersive X-ray Spectroscopy (EDXS)
3.2.3. Fourier-Transform Infrared Spectroscopy (FT-IR)
3.2.4. Brunauer–Emmet–Teller Method (BET)
3.2.5. Thermogravimetric Analysis (TGA)
3.2.6. Electro-Kinetic (ξ)-Potential Measurements
3.2.7. Potentiometric Titration
3.2.8. Vibrating-Sample Magnetometry (VSM)
3.3. Adsorption and Desorption Tests for Dy3+, Tb3+ and Hg2+ Ions
3.4. Toxicity Study of MNPs
3.4.1. Cell Cultures
3.4.2. Cytotoxicity Study
3.4.3. In Vitro Hemolytic Studies
3.4.4. Toxicity in Zebrafish Embryos
4. Conclusions
Supplementary Materials
Author Contributions
Funding
Institutional Review Board Statement
Informed Consent Statement
Data Availability Statement
Acknowledgments
Conflicts of Interest
References
- European Commission. COM(2020) 474 COM(2020) 474: Critical Raw Materials Resilience: Charting a Path towards Greater Security and Sustainability. 2020. Available online: https://eur-lex.europa.eu/legal-content/EN/TXT/?uri=CELEX:52020DC0474 (accessed on 31 March 2023).
- Valko, M.; Morris, H.; Cronin, M.T.D. Metals, Toxicity and Oxidative Stress. Curr. Med. Chem. 2005, 12, 1161–1208. [Google Scholar] [CrossRef] [PubMed]
- Crans, D.C.; Kostenkova, K. Open questions on the biological roles of first-row transition metals. Commun. Chem. 2020, 3, 1–4. [Google Scholar] [CrossRef] [PubMed]
- De Granda-Orive, J.I.; García-Quero, C. E-waste: Rare earth elements, new toxic substances in cigarettes and electronic cigarettes. Arch. Bronconeumol. 2020, 56, 477–478. [Google Scholar] [CrossRef] [PubMed]
- Tchounwou, P.B.; Yedjou, C.G.; Patlolla, A.K.; Sutton, D.J. Heavy Metals Toxicity and the Environment. EXS 2012, 101, 133–164. [Google Scholar] [CrossRef] [PubMed]
- Jaishankar, M.; Tseten, T.; Anbalagan, N.; Mathew, B.B.; Beeregowda, K.N. Toxicity, mechanism and health effects of some heavy metals. Interdiscip. Toxicol. 2014, 7, 60–72. [Google Scholar] [CrossRef]
- Baughman, T.A. Elemental mercury spills. Environ. Health Perspect. 2006, 114, 147–152. [Google Scholar] [CrossRef]
- Blengini, G.A.; Nuss, P.; Dewulf, J.; Nita, V.; Talens Peiró, L.; Vidal-Legaz, B.; Latunussa, C.; Mancini, L.; Blagoeva, D.; Pennington, D.; et al. EU methodology for critical raw materials assessment: Policy needs and proposed solutions for incremental improvements. Resour. Policy 2017, 53, 12–19. [Google Scholar] [CrossRef]
- Gislev, M.; Grohol, M. European Commission: Report on Critical Raw Materials and the Circular Economy; Publications Office of the European Union: Luxembourg, 2018. [Google Scholar] [CrossRef]
- Azimi, G.; Forsberg, K.; Ouchi, T.; Kim, H.; Alam, S.; Baba, A.A. Rare Metal Technology 2020; Springer International Publishing: Cham, Switzerland, 2020. [Google Scholar] [CrossRef]
- Cui, J.; Forssberg, E. Mechanical recycling of waste electric and electronic equipment: A review. J. Hazard. Mater. 2003, 99, 243–263. [Google Scholar] [CrossRef]
- Cui, J.; Zhang, L. Metallurgical recovery of metals from electronic waste: A review. J. Hazard. Mater. 2008, 158, 228–256. [Google Scholar] [CrossRef]
- Birloaga, I.; Veglió, F. Simulation and economic analysis of a hydrometallurgical approach developed for the treatment of waste printed circuit boards (WPCB). Glob. Nest J. 2018, 20, 695–699. [Google Scholar] [CrossRef]
- Cui, J.; Roven, H.J. Electronic Waste; Elsevier Inc.: Amsterdam, The Netherlands, 2011. [Google Scholar] [CrossRef]
- Ebin, B.; Isik, M.I. Pyrometallurgical Processes for the Recovery of Metals from WEEE; Elsevier Inc.: Amsterdam, The Netherlands, 2016. [Google Scholar] [CrossRef]
- Zhang, J.; Anawati, J.; Yao, Y.; Azimi, G. Aeriometallurgical Extraction of Rare Earth Elements from a NdFeB Magnet Utilizing Supercritical Fluids. ACS Sustain. Chem. Eng. 2018, 6, 16713–16725. [Google Scholar] [CrossRef]
- Gupta, C.K. Chemical Metallurgy: Principles and Practice; Wiley-VCH: Weinheim, Germany, 2003. [Google Scholar]
- Tan, Q.; Li, J. Rare earth metal recovery from typical e-waste. In Waste Electrical and Electronic Equipment (WEEE) Handbook; Elsevier: Amsterdam, The Netherlands, 2019; pp. 393–421. [Google Scholar] [CrossRef]
- Jowitt, S.M.; Werner, T.T.; Weng, Z.; Mudd, G.M. Recycling of the rare earth elements. Curr. Opin. Green Sustain. Chem. 2018, 13, 1–7. [Google Scholar] [CrossRef]
- Mezy, A.; Vardanyan, A.; Garcia, A.; Schmitt, C.; Lakić, M.; Krajnc, S.; Daniel, G.; Košak, A.; Lobnik, A.; Seisenbaeva, G.A. Long-chain ligand design in creating magnetic nano adsorbents for separation of REE from LTM. Sep. Purif. Technol. 2021, 276, 119340. [Google Scholar] [CrossRef]
- Eldridge, D.S.; Crawford, R.J.; Harding, I.H. The role of metal ion-ligand interactions during divalent metal ion adsorption. J. Colloid Interface Sci. 2015, 454, 20–26. [Google Scholar] [CrossRef] [PubMed]
- Kampalanonwat, P.; Supaphol, P. The study of competitive adsorption of heavy metal ions from aqueous solution by aminated polyacrylonitrile nanofiber mats. In Energy Procedia; Elsevier Ltd.: Amsterdam, The Netherlands, 2014; pp. 142–151. [Google Scholar] [CrossRef]
- Das, R.; Vecitis, C.D.; Schulze, A.; Cao, B.; Ismail, A.F.; Lu, X.; Chen, J.; Ramakrishna, S. Recent advances in nanomaterials for water protection and monitoring. Chem. Soc. Rev. 2017, 46, 6946–7020. [Google Scholar] [CrossRef]
- Simeonidis, K.; Mourdikoudis, S.; Kaprara, E.; Mitrakas, M.; Polavarapu, L. Inorganic engineered nanoparticles in drinking water treatment: A critical review. Environ. Sci. Water Res. Technol. 2016, 2, 43–70. [Google Scholar] [CrossRef]
- Leonel, A.G.; Mansur, A.A.P.; Mansur, H.S. Advanced Functional Nanostructures based on Magnetic Iron Oxide Nanomaterials for Water Remediation: A Review. Water Res. 2021, 190. [Google Scholar] [CrossRef]
- Hao, L.; Liu, M.; Wang, N.; Li, G. A critical review on arsenic removal from water using iron-based adsorbents. RSC Adv. 2018, 8, 39545–39560. [Google Scholar] [CrossRef]
- Reddy, L.H.; Arias, J.L.; Nicolas, J.; Couvreur, P. Magnetic nanoparticles: Design and characterization, toxicity and biocompatibility, pharmaceutical and biomedical applications. Chem. Rev. 2012, 112, 5818–5878. [Google Scholar] [CrossRef]
- Laurent, S.; Forge, D.; Port, M.; Roch, A.; Robic, C.; Vander Elst, L.; Muller, R.N. Magnetic iron oxide nanoparticles: Synthesis, stabilization, vectorization, physicochemical characterizations and biological applications. Chem. Rev. 2008, 108, 2064–2110. [Google Scholar] [CrossRef]
- Durán, J.D.G.; Arias, J.L.; Gallardo, V.; Delgado, A.V. Magnetic colloids as drug vehicles. J. Pharm. Sci. 2008, 97, 2948–2983. [Google Scholar] [CrossRef]
- Rehman, A.U.; Nazir, S.; Irshad, R.; Tahir, K.; ur Rehman, K.; Islam, R.U.; Wahab, Z. Toxicity of heavy metals in plants and animals and their uptake by magnetic iron oxide nanoparticles. J. Mol. Liq. 2021, 321, 114455. [Google Scholar] [CrossRef]
- Hadela, A.; Lakić, M.; Potočnik, M.; Košak, A.; Gutmaher, A.; Lobnik, A. Novel reusable functionalized magnetic cobalt ferrite nanoparticles as oil adsorbents. Adsorpt. Sci. Technol. 2020, 38, 168–190. [Google Scholar] [CrossRef]
- Li, F.; Gong, A.; Qiu, L.; Zhang, W.; Li, J.; Liu, Z. Diglycolamide-grafted Fe3O4/polydopamine nanomaterial as a novel magnetic adsorbent for preconcentration of rare earth elements in water samples prior to inductively coupled plasma optical emission spectrometry determination. Chem. Eng. J. 2019, 361, 1098–1109. [Google Scholar] [CrossRef]
- Sumit, W.A. Superparamagnetic iron oxide nanoparticles: Magnetic nanoplatforms as drug carriers. Int. J. Nanomed. 2012, 7, 3445–3471. [Google Scholar] [CrossRef]
- Liu, X.M.; Yang, G.; Fu, S.Y. Mass synthesis of nanocrystalline spinel ferrites by a polymer-pyrolysis route. Mater. Sci. Eng. C 2007, 27, 750–755. [Google Scholar] [CrossRef]
- Koroteev, P.S.; Dobrokhotova, Z.V.; Grechnikov, F.V.; Novotortsev, V.M. Heterometallic Carboxylate Complexes as Precursors for Mixed Oxides: II. d–d Carboxylates. Russ. J. Gen. Chem. 2018, 88, 1290–1305. [Google Scholar] [CrossRef]
- Sajjia, M.; Baroutaji, A.; Olabi, A.G. The Introduction of Cobalt Ferrite Nanoparticles as a Solution for Magnetostrictive Applications. In Reference Module in Materials Science and Materials Engineering; Elsevier: Amsterdam, The Netherlands, 2017. [Google Scholar] [CrossRef]
- Saddeler, S.; Bendt, G.; Salamon, S.; Haase, F.T.; Landers, J.; Timoshenko, J.; Rettenmaier, C.; Jeon, H.S.; Bergmann, A.; Wende, H.; et al. Influence of the cobalt content in cobalt iron oxides on the electrocatalytic OER activity. J. Mater. Chem. A 2021, 9, 25381–25390. [Google Scholar] [CrossRef]
- Mozaffari, M.; Hadadian, Y.; Aftabi, A.; Oveisy Moakhar, M. The effect of cobalt substitution on magnetic hardening of magnetite. J. Magn. Magn. Mater. 2014, 354, 119–124. [Google Scholar] [CrossRef]
- Slonczewski, J.C. Origin of Magnetic Anisotropy in Cobalt-Substituted Magnetite*. Phys. Rev. 1958, 110, 1341–1348. [Google Scholar] [CrossRef]
- Prado, Y.; Daffé, N.; Michel, A.; Georgelin, T.; Yaacoub, N.; Grenèche, J.M.; Choueikani, F.; Otero, E.; Ohresser, P.; Arrio, M.A.; et al. Enhancing the magnetic anisotropy of maghemite nanoparticles via the surface coordination of molecular complexes. Nat. Commun. 2015, 6, 10139. [Google Scholar] [CrossRef] [PubMed]
- Cypriyana, P.J.J.; Saigeetha, S.; Angalene, J.L.A.; Samrot, A.V.; Kumar, S.S.; Ponniah, P.; Chakravarthi, S. Overview on toxicity of nanoparticles, it’s mechanism, models used in toxicity studies and disposal methods—A review. Biocatal. Agric. Biotechnol. 2021, 36, 102117. [Google Scholar] [CrossRef]
- Khanna, R.; Mukherjee, P.S.; Park, M. A critical assessment on resource recovery from electronic waste: Impact of mechanical pre-treatment. J. Clean. Prod. 2020, 268, 122319. [Google Scholar] [CrossRef]
- Devasena, T.; Iffath, B.; Renjith Kumar, R.; Muninathan, N.; Baskaran, K.; Srinivasan, T.; John, S.T. Insights on the Dynamics and Toxicity of Nanoparticles in Environmental Matrices. Bioinorg. Chem. Appl. 2022, 2022, 1–21. [Google Scholar] [CrossRef] [PubMed]
- Singh, N.; Jenkins, G.J.S.; Asadi, R.; Doak, S.H. Potential toxicity of superparamagnetic iron oxide nanoparticles (SPION). Nano Rev. 2010, 1, 5358. [Google Scholar] [CrossRef]
- Zhu, X.; Tian, S.; Cai, Z. Toxicity Assessment of Iron Oxide Nanoparticles in Zebrafish (Danio rerio) Early Life Stages. PLoS ONE 2012, 7, e46286. [Google Scholar] [CrossRef]
- Seisenbaeva, G.A.; Ali, L.M.A.; Vardanyan, A.; Gary-Bobo, M.; Budnyak, T.M.; Kessler, V.G.; Durand, J.O. Mesoporous silica adsorbents modified with amino polycarboxylate ligands—Functional characteristics, health and environmental effects. J. Hazard. Mater. 2021, 406, 124698. [Google Scholar] [CrossRef]
- Kim, J.S.; Yoon, T.J.; Yu, K.N.; Kim, B.G.; Park, S.J.; Kim, H.W.; Lee, K.H.; Park, S.B.; Lee, J.K.; Cho, M.H. Toxicity and tissue distribution of magnetic nanoparticles in mice. Toxicol. Sci. 2006, 89, 338–347. [Google Scholar] [CrossRef]
- Hussain, S.M.; Hess, K.L.; Gearhart, J.M.; Geiss, K.T.; Schlager, J.J. In vitro toxicity of nanoparticles in BRL 3A rat liver cells. Toxicol. In Vitro 2005, 19, 975–983. [Google Scholar] [CrossRef]
- Karlsson, H.L.; Gustafsson, J.; Cronholm, P.; Möller, L. Size-dependent toxicity of metal oxide particles-A comparison between nano- and micrometer size. Toxicol. Lett. 2009, 188, 112–118. [Google Scholar] [CrossRef]
- Veranth, J.M.; Kaser, E.G.; Veranth, M.M.; Koch, M.; Yost, G.S. Cytokine responses of human lung cells (BEAS-2B) treated with micron-sized and nanoparticles of metal oxides compared to soil dusts. Part. Fibre Toxicol. 2007, 4, 2. [Google Scholar] [CrossRef] [PubMed]
- Häfeli, U.O.; Riffle, J.S.; Harris-Shekhawat, L.; Carmichael-Baranauskas, A.; Mark, F.; Dailey, J.P.; Bardenstein, D. Cell uptake and in vitro toxicity of magnetic nanoparticles suitable for drug delivery. Mol. Pharm. 2009, 6, 1417–1428. [Google Scholar] [CrossRef] [PubMed]
- Jeng, H.A.; Swanson, J. Toxicity of metal oxide nanoparticles in mammalian cells. J. Environ. Sci. Health Part A Toxic/Hazardous Subst. Environ. Eng. 2006, 41, 2699–2711. [Google Scholar] [CrossRef] [PubMed]
- Stroh, A.; Zimmer, C.; Gutzeit, C.; Jakstadt, M.; Marschinke, F.; Jung, T.; Pilgrimm, H.; Grune, T. Iron oxide particles for molecular magnetic resonance imaging cause transient oxidative stress in rat macrophages. Free Radic. Biol. Med. 2004, 36, 976–984. [Google Scholar] [CrossRef] [PubMed]
- Sadeghiani, N.; Barbosa, L.S.; Silva, L.P.; Azevedo, R.B.; Morais, P.C.; Lacava, Z.G.M. Genotoxicity and inflammatory investigation in mice treated with magnetite nanoparticles surface coated with polyaspartic acid. J. Magn. Magn. Mater. 2005, 289, 466–468. [Google Scholar] [CrossRef]
- Volatron, J.; Kolosnjaj-Tabi, J.; Javed, Y.; Vuong, Q.L.; Gossuin, Y.; Neveu, S.; Luciani, N.; Hémadi, M.; Carn, F.; Alloyeau, D.; et al. Physiological Remediation of Cobalt Ferrite Nanoparticles by Ferritin. Sci. Rep. 2017, 7, 40075. [Google Scholar] [CrossRef] [PubMed]
- Ahmad, F.; Liu, X.; Zhou, Y.; Yao, H. An in vivo evaluation of acute toxicity of cobalt ferrite (CoFe2O4) nanoparticles in larval-embryo Zebrafish (Danio rerio). Aquat. Toxicol. 2015, 166, 21–28. [Google Scholar] [CrossRef]
- Ahmad, F.; Yao, H.; Zhou, Y.; Liu, X. Toxicity of cobalt ferrite (CoFe2O4) nanobeads in Chlorella vulgaris: Interaction, adaptation and oxidative stress. Chemosphere 2015, 139, 479–485. [Google Scholar] [CrossRef]
- Horev-Azaria, L.; Baldi, G.; Beno, D.; Bonacchi, D.; Golla-Schindler, U.; Kirkpatrick, J.C.; Kolle, S.; Landsiedel, R.; Maimon, O.; Marche, P.N.; et al. Predictive Toxicology of cobalt ferrite nanoparticles: Comparative in-vitro study of different cellular models using methods of knowledge discovery from data. Part. Fibre Toxicol. 2013, 10, 32. [Google Scholar] [CrossRef]
- Romih, T.; Drašler, B.; Jemec, A.; Drobne, D.; Novak, S.; Golobič, M.; Makovec, D.; Susič, R.; Kogej, K. Bioavailability of cobalt and iron from citric-acid-adsorbed CoFe2O4 nanoparticles in the terrestrial isopod Porcellio scaber. Sci. Total Environ. 2015, 508, 76–84. [Google Scholar] [CrossRef]
- López-Moreno, M.L.; Avilés, L.L.; Pérez, N.G.; Irizarry, B.Á.; Perales, O.; Cedeno-Mattei, Y.; Román, F. Effect of cobalt ferrite (CoFe2O4) nanoparticles on the growth and development of Lycopersicon lycopersicum (tomato plants). Sci. Total Environ. 2016, 550, 45–52. [Google Scholar] [CrossRef] [PubMed]
- Haneda, K.; Morrish, A.; Morrish, A.H. Magnetite to Maghemite Transformation in Ultrafine Particles. J. Phys. Colloq. 1977, 38, 321–323. [Google Scholar] [CrossRef]
- Li, Z.; Chanéac, C.; Berger, G.; Delaunay, S.; Graff, A.; Lefèvre, G. Mechanism and kinetics of magnetite oxidation under hydrothermal conditions. RSC Adv. 2019, 9, 33633–33642. [Google Scholar] [CrossRef]
- Malvindi, M.A.; Brunetti, V.; Vecchio, G.; Galeone, A.; Cingolani, R.; Pompa, P.P. SiO2 nanoparticles biocompatibility and their potential for gene delivery and silencing. Nanoscale 2012, 4, 486–495. [Google Scholar] [CrossRef] [PubMed]
- Bardi, G.; Malvindi, M.A.; Gherardini, L.; Costa, M.; Pompa, P.P.; Cingolani, R.; Pizzorusso, T. The biocompatibility of amino functionalized CdSe/ZnS quantum-dot-Doped SiO2 nanoparticles with primary neural cells and their gene carrying performance. Biomaterials 2010, 31, 6555–6566. [Google Scholar] [CrossRef]
- Malvindi, M.A.; De Matteis, V.; Galeone, A.; Brunetti, V.; Anyfantis, G.C.; Athanassiou, A.; Cingolani, R.; Pompa, P.P. Toxicity assessment of silica coated iron oxide nanoparticles and biocompatibility improvement by surface engineering. PLoS ONE 2014, 9, e85835. [Google Scholar] [CrossRef]
- Juang, J.H.; Wang, J.J.; Shen, C.R.; Kuo, C.H.; Chien, Y.W.; Kuo, H.Y.; Tsai, Z.T.; Yen, T.C. Magnetic resonance imaging of transplanted mouse islets labeled with chitosan-coated superparamagnetic iron oxide nanoparticles. Transplant. Proc. 2010, 42, 2104–2108. [Google Scholar] [CrossRef]
- Kyle, P.B. Toxicology: GCMS. In Mass Spectrometry for the Clinical Laboratory; Elsevier Inc.: Amsterdam, The Netherlands, 2017; pp. 131–163. [Google Scholar] [CrossRef]
- Dupont, D.; Brullot, W.; Bloemen, M.; Verbiest, T.; Binnemans, K. Selective uptake of rare earths from aqueous solutions by EDTA-functionalized magnetic and nonmagnetic nanoparticles. ACS Appl. Mater. Interfaces 2014, 6, 4980–4988. [Google Scholar] [CrossRef]
- Košak, A.; Bauman, M.; Padežnik-Gomilšek, J.; Lobnik, A. Lead (II) complexation with 3-mercaptopropyl-groups in the surface layer of silica nanoparticles: Sorption, kinetics and EXAFS/XANES study. J. Mol. Liq. 2017, 229, 371–379. [Google Scholar] [CrossRef]
- Topel, S.D.; Legaria, E.P.; Tiseanu, C.; Rocha, J.; Nedelec, J.M.; Kessler, V.G.; Seisenbaeva, G.A. Hybrid silica nanoparticles for sequestration and luminescence detection of trivalent rare-earth ions (Dy3+ and Nd3+) in solution. J. Nanoparticle Res. 2014, 16, 1–17. [Google Scholar] [CrossRef]
- Fröhlich, E. The role of surface charge in cellular uptake and cytotoxicity of medical nanoparticles. Int. J. Nanomed. 2012, 7, 5577–5591. [Google Scholar] [CrossRef]
- Zhu, X.M.; Wang, Y.X.J.; Leung, K.C.F.; Lee, S.F.; Zhao, F.; Wang, D.W.; Lai, J.M.Y.; Wan, C.; Cheng, C.H.K.; Ahuja, A.T. Enhanced cellular uptake of aminosilane-coated superparamagnetic iron oxide nanoparticles in mammalian cell lines. Int. J. Nanomed. 2012, 7, 953–964. [Google Scholar] [CrossRef]
- Sun, Z.; Yathindranath, V.; Worden, M.; Thliveris, J.A.; Chu, S.; Parkinson, F.E.; Hegmann, T.; Miller, D.W. Characterization of cellular uptake and toxicity of aminosilane-coated iron oxide nanoparticles with different charges in central nervous system-relevant cell culture models. Int. J. Nanomed. 2013, 8, 961–970. [Google Scholar] [CrossRef] [PubMed]
- Berry, C.C.; Wells, S.; Charles, S.; Curtis, A.S.G. Dextran and albumin derivatised iron oxide nanoparticles: Influence on fibroblasts in vitro. Biomaterials 2003, 24, 4551–4557. [Google Scholar] [CrossRef] [PubMed]
- Berry, C.C.; Wells, S.; Charles, S.; Aitchison, G.; Curtis, A.S.G. Cell response to dextran-derivatised iron oxide nanoparticles post internalisation. Biomaterials 2004, 25, 5405–5413. [Google Scholar] [CrossRef] [PubMed]
- Wu, X.; Tan, Y.; Mao, H.; Zhang, M. Toxic effects of iron oxide nanoparticles on human umbilical vein endothelial cells. Int. J. Nanomed. 2010, 5, 385–399. [Google Scholar] [CrossRef]
- Chen, B.A.; Jin, N.; Wang, J.; Ding, J.; Gao, C.; Cheng, J.; Xia, G.; Gao, F.; Zhou, Y.; Chen, Y.; et al. The effect of magnetic nanoparticles of Fe3O4 on immune function in normal ICR mice. Int. J. Nanomed. 2010, 5, 593–599. [Google Scholar] [CrossRef]
- Patterson, A.L. The scherrer formula for X-ray particle size determination. Phys. Rev. 1939, 56, 978–982. [Google Scholar] [CrossRef]
- Holzwarth, U.; Gibson, N. The Scherrer equation versus the “Debye-Scherrer equation”. Nat. Nanotechnol. 2011, 6, 534. [Google Scholar] [CrossRef]
- Viltužnik, B.; Lobnik, A.; Košak, A. The removal of Hg(II) ions from aqueous solutions by using thiol-functionalized cobalt ferrite magnetic nanoparticles. J. Sol-Gel Sci. Technol. 2015, 74, 199–207. [Google Scholar] [CrossRef]
- Spencer, M.P.; Lee, W.; Alsaati, A.; Breznak, C.M.; Braga Nogueira Branco, R.; Dai, J.; Gomez, E.D.; Marconnet, A.; Lockette, P.; Yamamoto, N. Cold sintering to form bulk maghemite for characterization beyond magnetic properties. Int. J. Ceram. Eng. Sci. 2019, 1, 119–124. [Google Scholar] [CrossRef]
- Rajput, A.B.; Hazra, S.; Ghosh, N.N. Synthesis and characterisation of pure single-phase CoFe2O4 nanopowder via a simple aqueous solution-based EDTA-precursor route. J. Exp. Nanosci. 2013, 8, 629–639. [Google Scholar] [CrossRef]
- Košak, A.; Makovec, D.; Drofenik, M. Microemulsion synthesis of MnZn-ferrite nanoparticles. Mater. Sci. Forum 2004, 453–454, 219–224. [Google Scholar] [CrossRef]
- Kegl, T.; Ban, I.; Lobnik, A.; Košak, A. Synthesis and characterization of novel Γ-Fe2O3-NH4OH@SiO2(APTMS) nanoparticles for dysprosium adsorption. J. Hazard. Mater. 2019, 378, 120764. [Google Scholar] [CrossRef]
- Wang, Q.Z.; Chen, X.G.; Liu, N.; Wang, S.X.; Liu, C.S.; Meng, X.H.; Liu, C.G. Protonation constants of chitosan with different molecular weight and degree of deacetylation. Carbohydr. Polym. 2006, 65, 194–201. [Google Scholar] [CrossRef]
- Al-Zebari, N.; Best, S.M.; Cameron, R.E. Effects of reaction pH on self-crosslinked chitosan-carrageenan polyelectrolyte complex gels and sponges. J. Phys Mater. 2019, 2, 15003. [Google Scholar] [CrossRef]
- Jiang, J.; Oberdörster, G.; Biswas, P. Characterization of size, surface charge, and agglomeration state of nanoparticle dispersions for toxicological studies. J. Nanoparticle Res. 2009, 11, 77–89. [Google Scholar] [CrossRef]
- Amornkitbamrung, L.; Mohan, T.; Hribernik, S.; Reichel, V.; Faivre, D.; Gregorova, A.; Engel, P.; Kargl, R.; Ribitsch, V. Polysaccharide stabilized nanoparticles for deacidification and strengthening of paper. RSC Adv. 2015, 5, 32950–32961. [Google Scholar] [CrossRef]
- Elzey, S.; Grassian, V.H. Agglomeration, isolation and dissolution of commercially manufactured silver nanoparticles in aqueous environments. J. Nanoparticle Res. 2010, 12, 1945–1958. [Google Scholar] [CrossRef]
- Bračič, M.; Mohan, T.; Griesser, T.; Stana-Kleinschek, K.; Strnad, S.; Fras-Zemljič, L. One-Step Noncovalent Surface Functionalization of PDMS with Chitosan-Based Bioparticles and Their Protein-Repellent Properties. Adv. Mater. Interfaces 2017, 4, 1700416. [Google Scholar] [CrossRef]
- Pearson, R.G. The HSAB Principle—More quantitative aspects. Inorg. Chim. Acta 1995, 240, 93–98. [Google Scholar] [CrossRef]
- Parr, R.G.; Pearson, R.G. Absolute Hardness: Companion Parameter to Absolute Electronegativity. J. Am. Chem. Soc. 1983, 105, 7512–7516. [Google Scholar] [CrossRef]
- Pearson, R.G. Absolute Electronegativity and Hardness: Application to Inorganic Chemistry. Inorg. Chem. 1988, 27, 734–740. [Google Scholar] [CrossRef]
- Moore, C.E. Ionization Potentials and Ionization Limits Derived from the Analyses of Optical Spectra; U.S. Government Printing Office: Washington, DC, USA, 1970. [Google Scholar] [CrossRef]
- Allred, A.L.; Rochow, E.G. A Scale of Electronegativity Based on Electrostatic Force. J. Lnorg. Nucl. Chem. 1958, 5, 246–268. [Google Scholar] [CrossRef]
- Gaffney, J.; Marley, N. In-depth review of atmospheric mercury: Sources, transformations, and potential sinks. Energy Emiss. Control Technol. 2014, 2, 1–21. [Google Scholar] [CrossRef]
- Huang, C. Rare Earth Coordination Chemistry: Fundamentals and Applications; John Wiley & Sons: Singapore, 2010. [Google Scholar]
- Li, K.; Xue, D. Estimation of electronegativity values of elements in different valence states. J. Phys. Chem. A 2006, 110, 11332–11337. [Google Scholar] [CrossRef]
- Košak, A.; Lobnik, A.; Bauman, M. Adsorption of mercury(II), lead(II), cadmium(II) and zinc(II) from aqueous solutions using mercapto-modified silica particles. Int. J. Appl. Ceram. Technol. 2015, 12, 461–472. [Google Scholar] [CrossRef]
- Zhao, F.; Repo, E.; Song, Y.; Yin, D.; Hammouda, S.B.; Chen, L.; Kalliola, S.; Tang, J.; Tam, K.C.; Sillanpää, M. Polyethylenimine-cross-linked cellulose nanocrystals for highly efficient recovery of rare earth elements from water and a mechanism study. Green Chem. 2017, 19, 4816–4828. [Google Scholar] [CrossRef]
- Smith, D.W. Ionic Hydration Enthalpies. J. Chem. Educ. 1977, 54, 540–542. [Google Scholar] [CrossRef]
- Sparks, D.L. Environmental Soil Chemistry, 2nd ed.; Academic Press Inc.: San Diego, CA, USA, 2003. [Google Scholar]
- Bjerrum, J. Metal Ammine Formation in Aqueous Solution: Theory of the Reversiblestep Reactions; P. Haase and Son: Copenhagen, Denmark, 1941. [Google Scholar]
- Hübener, S. Actinide Elements, Encyclopedia of Physical Science and Technology, 3rd ed.; Academic Press: Cambridge, MA, USA, 2003. [Google Scholar] [CrossRef]
- Muthaiah, S.; Bhatia, A.; Kannan, M. Stability of Metal Complexes. In Stability and Applications of Coordination Compounds; Intechopen: London, UK, 2020; pp. 1–18. [Google Scholar] [CrossRef]
- Karroker, D.G. Coordination of Trivalent Lanthanide Ions. J. Chem. Educ. 1970, 47, 424–430. [Google Scholar] [CrossRef]
- Beattie, J.K.; Best, S.P.; Skelton, B.W.; White, A.H. Structural studies on the caesium alums, CsMIII[SO4]2·12H2O. J. Chem. Soc. Dalt. Trans. 1981, 2105–2111. [Google Scholar] [CrossRef]
- Buzko, V.; Sukhno, I.; Buzko, M. Ab initio and DFT study of Lu3+ hydration. J. Mol. Struct. Theocem. 2009, 894, 75–79. [Google Scholar] [CrossRef]
- Persson, I. Hydrated metal ions in aqueous solution: How regular are their structures? Pure Appl. Chem. 2010, 82, 1901–1917. [Google Scholar] [CrossRef]
- Rudolph, W.W.; Irmer, G. On the Hydration of the Rare Earth Ions in Aqueous Solution. J. Solut. Chem. 2020, 49, 316–331. [Google Scholar] [CrossRef]
- Zhang, J.; Heinz, N.; Dolg, M. Understanding lanthanoid(III) hydration structure and kinetics by insights from energies and wave functions. Inorg. Chem. 2014, 53, 7700–7708. [Google Scholar] [CrossRef]
- Helm, L.; Merbach, A.E. Inorganic and bioinorganic solvent exchange mechanisms. Chem. Rev. 2005, 105, 1923–1959. [Google Scholar] [CrossRef]
- Dangelo, P.; Zitolo, A.; Migliorati, V.; Chillemi, G.; Duvail, M.; Vitorge, P.; Abadie, S.; Spezia, R. Revised ionic radii of lanthanoid(III) ions in aqueous solution. Inorg. Chem. 2011, 50, 4572–4579. [Google Scholar] [CrossRef]
- Housecroft, C.E.; Sharpe, A.G. Inorganic Chemistry, 4th ed.; Pearson Education Limited: London, UK, 2012. [Google Scholar]
- Atwood, D.A. The Rare Earth Elements: Fundamentals and Applications; John Wiley & Sons Ltd.: Chichester, UK, 2012. [Google Scholar]
- Huheey, J.E. Inorganic Chemistry, Principles of Structure and Reactivity, 2nd ed.; Harper & Row: New York, NY, USA, 1978. [Google Scholar]
- Partana, C.F.; Suwardi; Salim, A. Structure and dynamics of Hg2+ in aqueous solution: An Ab Initio QM/MM molecular dynamics study. J. Phys. Conf. Ser. 2019, 1156, 12012. [Google Scholar] [CrossRef]
- Persson, I. Structures of Hydrated Metal Ions in Solid State and Aqueous Solution. Liquids 2022, 2, 210–242. [Google Scholar] [CrossRef]
- Meyer, G.; Nockemann, P. Affinity of divalent mercury towards nitrogen donor ligands. Zeitschrift Anorg. Allg. Chem. 2003, 629, 1447–1461. [Google Scholar] [CrossRef]
- Chen, H.; Shi, R.; Ow, H. Predicting Stability Constants for Terbium(III) Complexes with Dipicolinic Acid and 4-Substituted Dipicolinic Acid Analogues using Density Functional Theory. ACS Omega 2019, 4, 20665–20671. [Google Scholar] [CrossRef] [PubMed]
- Patel, H. Review on solvent desorption study from exhausted adsorbent. J. Saudi Chem. Soc. 2021, 25, 101302–101313. [Google Scholar] [CrossRef]
- Allwin Mabes Raj, A.F.P.; Bauman, M.; Lakić, M.; Dimitrušev, N.; Lobnik, A.; Košak, A. Removal of Pb2+, CrT, and Hg2+ Ions from Aqueous Solutions Using Amino-Functionalized Magnetic Nanoparticles. Int. J. Mol. Sci. 2022, 23, 16186. [Google Scholar] [CrossRef]
- Raj, A.F.P.A.M.; Krajnc, S.; Bauman, M.; Lakić, M.; Gutmaher, A.; Lobnik, A.; Košak, A. Removal of Pb2+, Cr3+ and Hg2+ ions from aqueous solutions using SiO2 and amino-functionalized SiO2 particles. J. Sol-Gel Sci. Technol. 2022, 103, 290–308. [Google Scholar] [CrossRef]
- Liu, C.; Liang, X.; Liu, J.; Yuan, W. Desorption of copper ions from the polyamine-functionalized adsorbents: Behaviors and mechanisms. Adsorpt. Sci. Technol. 2016, 34, 455–468. [Google Scholar] [CrossRef]
- Su, S.; Chen, B.; He, M.; Hu, B.; Xiao, Z. Determination of trace/ultratrace rare earth elements in environmental samples by ICP-MS after magnetic solid phase extraction with Fe3O4@SiO2@polyaniline-graphene oxide composite. Talanta 2014, 119, 458–466. [Google Scholar] [CrossRef]
- Liu, E.; Zheng, X.; Xu, X.; Zhang, F.; Liu, E.; Wang, Y.; Li, C.; Yan, Y. Preparation of diethylenetriamine-modified magnetic chitosan nanoparticles for adsorption of rare-earth metal ions. New J. Chem. 2017, 41, 7739–7750. [Google Scholar] [CrossRef]
- Javadian, H.; Taghavi, M.; Ruiz, M.; Tyagi, I.; Farsadrooh, M.; Sastre, A.M. Adsorption of neodymium, terbium and dysprosium using a synthetic polymer-based magnetic adsorbent. J. Rare Earths, 2022; in press. [Google Scholar] [CrossRef]
- Shinozaki, T.; Ogata, T.; Kakinuma, R.; Narita, H.; Tokoro, C.; Tanaka, M. Preparation of Polymeric Adsorbents Bearing Diglycolamic Acid Ligands for Rare Earth Elements. Ind. Eng. Chem. Res. 2018, 57, 11424–11430. [Google Scholar] [CrossRef]
- Alcaraz, L.; Escudero, M.E.; Alguacil, F.J.; Llorente, I.; Urbieta, A.; Fernández, P.; López, F.A. Dysprosium removal fromwater using active carbons obtained from spent coffee ground. Nanomaterials 2019, 9, 1372. [Google Scholar] [CrossRef]
- Viana, T.; Henriques, B.; Ferreira, N.; Lopes, C.; Tavares, D.; Fabre, E.; Carvalho, L.; Pinheiro-Torres, J.; Pereira, E. Sustainable recovery of neodymium and dysprosium from waters through seaweeds: Influence of operational parameters. Chemosphere 2021, 280, 130600–130612. [Google Scholar] [CrossRef] [PubMed]
- Zhang, H.; Mcdowell, R.G.; Martin, L.R.; Qiang, Y. Selective Extraction of Heavy and Light Lanthanides from Aqueous Solution by Advanced Magnetic Nanosorbents. ACS Appl. Mater. Interfaces 2016, 8, 9523–9531. [Google Scholar] [CrossRef] [PubMed]
- Barros, Ó.; Costa, L.; Costa, F.; Lago, A.; Rocha, V.; Vipotnik, Z.; Silva, B.; Tavares, T. Recovery of rare earth elements from wastewater towards a circular economy. Molecules 2019, 24, 1005. [Google Scholar] [CrossRef]
- Tong, S.; Zhao, S.; Zhou, W.; Li, R.; Jia, Q. Modification of multi-walled carbon nanotubes with tannic acid for the adsorption of La, Tb and Lu ions. Microchim. Acta 2011, 174, 257–264. [Google Scholar] [CrossRef]
- Kegl, T.; Košak, A.; Lobnik, A.; Ban, I. Terbium ion adsorption from aqueous solution by using magneticγ-Fe2O3-NH4OH@SiO2 nanoparticles functionalized with amino groups. Materials 2019, 12, 1294. [Google Scholar] [CrossRef] [PubMed]
- Zhang, Y.; Yan, T.; Yan, L.; Guo, X.; Cui, L.; Wei, Q.; Du, B. Preparation of novel cobalt ferrite/chitosan grafted with graphene composite as effective adsorbents for mercury ions. J. Mol. Liq. 2014, 198, 381–387. [Google Scholar] [CrossRef]
- Lin, Z.; Pan, Z.; Zhao, Y.; Qian, L.; Shen, J.; Xia, K.; Guo, Y.; Qu, Z. Removal of Hg2+ with polypyrrole-functionalized Fe3O4/kaolin: Synthesis, performance and optimization with response surface methodology. Nanomaterials 2020, 10, 1370. [Google Scholar] [CrossRef]
- Wang, X.; Zhang, Z.; Zhao, Y.; Xia, K.; Guo, Y.; Qu, Z.; Bai, R. A mild and facile synthesis of amino functionalized CoFe2O4 @SiO2 for Hg(II) removal. Nanomaterials 2018, 8, 673. [Google Scholar] [CrossRef]
- Xia, K.; Guo, Y.; Shao, Q.; Zan, Q.; Bai, R. Removal of mercury (II) by EDTA-functionalized magnetic CoFe2O4@SiO2 nanomaterial with core-shell structure. Nanomaterials 2019, 9, 1532. [Google Scholar] [CrossRef]
- Inglezakis, V.J.; Kurbanova, A.; Molkenova, A.; Zorpas, A.A.; Atabaev, T.S. Magnetic Fe3O4-Ag0 nanocomposites for effective mercury removal from water. Sustainability 2020, 12, 5489. [Google Scholar] [CrossRef]
- Liu, Z.; Sun, Y.; Xu, X.; Qu, J.; Qu, B. Adsorption of Hg(II) in an Aqueous Solution by Activated Carbon Prepared from Rice Husk Using KOH Activation. ACS Omega 2020, 5, 29231–29242. [Google Scholar] [CrossRef] [PubMed]
- Denizli, A.; Dem Arpa, I.V.; Bektas, S.; Genç, Ö. Adsorption of Mercury(II) Ions on Procion Blue MX-3G-attached Magnetic Poly(vinyl alcohol) Gel Beads. Adsorpt. Sci. Technol. 2002, 20, 91–106. [Google Scholar] [CrossRef]
- Solis, K.L.; Nam, G.U.; Hong, Y. Effectiveness of gold nanoparticle-coated silica in the removal of inorganic mercury in aqueous systems: Equilibrium and kinetic studies. Environ. Eng. Res. 2016, 21, 99–107. [Google Scholar] [CrossRef]
- Shim, W.; Paik, M.J.; Nguyen, D.T.; Lee, J.K.; Lee, Y.; Kim, J.H.; Shin, E.H.; Kang, J.S.; Jung, H.S.; Choi, S.; et al. Analysis of changes in gene expression and metabolic profiles induced by silica-coated magnetic nanoparticles. ACS Nano 2012, 6, 7665–7680. [Google Scholar] [CrossRef] [PubMed]
- Pisani, C.; Gaillard, J.C.; Nouvel, V.; Odorico, M.; Armengaud, J.; Prat, O. High-throughput, quantitative assessment of the effects of low-dose silica nanoparticles on lung cells: Grasping complex toxicity with a great depth of field. BMC Genom. 2015, 16, 315. [Google Scholar] [CrossRef]
- Ellinger-Ziegelbauer, H.; Pauluhn, J. Pulmonary toxicity of multi-walled carbon nanotubes (Baytubes®) relative to α-quartz following a single 6 h inhalation exposure of rats and a 3 months post-exposure period. Toxicology 2009, 266, 16–29. [Google Scholar] [CrossRef]
- Jovanović, B.; Ji, T.; Palić, D. Gene expression of zebrafish embryos exposed to titanium dioxide nanoparticles and hydroxylated fullerenes. Ecotoxicol. Environ. Saf. 2011, 74, 1518–1525. [Google Scholar] [CrossRef]
- Böhmert, L.; Niemann, B.; Lichtenstein, D.; Juling, S.; Lampen, A. Molecular mechanism of silver nanoparticles in human intestinal cells. Nanotoxicology 2015, 9, 852–860. [Google Scholar] [CrossRef]
- Conde, J.; Larguinho, M.; Cordeiro, A.; Raposo, L.R.; Costa, P.M.; Santos, S.; Diniz, M.S.; Fernandes, A.R.; Baptista, P.V. Gold-nanobeacons for gene therapy: Evaluation of genotoxicity, cell toxicity and proteome profiling analysis. Nanotoxicology 2014, 8, 521–532. [Google Scholar] [CrossRef]
- Schikorr, V.G. Uber Eisen(l1)-hydroxyd und ein lferromagnetisches Eisen(ll1)-hydroxyd. Z. Anorg. Allg. Chem. 1931, 35, 33–39. [Google Scholar]
- Čakara, D.; Fras, L.; Bračič, M.; Kleinschek, K.S. Protonation behavior of cotton fabric with irreversibly adsorbed chitosan: A potentiometric titration study. Carbohydr. Polym. 2009, 78, 36–40. [Google Scholar] [CrossRef]
- Dobaj Štiglic, A.; Kargl, R.; Beaumont, M.; Strauss, C.; Makuc, D.; Egger, D.; Plavec, J.; Rojas, O.J.; Stana Kleinschek, K.; Mohan, T. Influence of Charge and Heat on the Mechanical Properties of Scaffolds from Ionic Complexation of Chitosan and Carboxymethyl Cellulose. ACS Biomater. Sci. Eng. 2021, 7, 3618–3632. [Google Scholar] [CrossRef] [PubMed]














| NPs | Adsorption Efficiency qads,% (%) | Adsorption Capacity qads (mg/g) | Desorption Efficiency qdes (%) | ||||||
|---|---|---|---|---|---|---|---|---|---|
| Dy3+ | Tb3+ | Hg2+ | Dy3+ | Tb3+ | Hg2+ | Dy3+ | Tb3+ | Hg2+ | |
| γ-Fe2O3@SiO2–NH2 | 83.1 | 89.3 | 94.3 | 4.0 | 4.7 | 2.1 | 100 | 100 | 100 |
| CoFe2O4@SiO2–NH2 | 97.9 | 98.4 | 92.1 | 4.7 | 6.2 | 1.2 | 100 | 100 | 100 |
| Adsorbent (NPs) | Adsorbate | Adsorption Conditions | Adsorption/Desorption Characteristics | Ref. | ||||||
|---|---|---|---|---|---|---|---|---|---|---|
| cads,0 (mg/L) | γads,NPs (g/L) | tads (min) | Tads (°C) | pH | qads (mg/g) | qads,% (%) | qdes,% (%) | |||
| Dysprosium (Dy3+) | ||||||||||
| Fe3O4@SiO2@polyaniline–graphene oxide | Dy3+ | 0.01 | 0.4 | 2 | 25 | 4 | 16.0 | 98 | 95 | [125] |
| Fe3O4–C18–chitosan–DETA | Dy3+ | 50 | 1.0 | 720 | 25 | 7 | 28.3 | >80 | >95 | [126] |
| γ-Fe2O3-NH4OH@SiO2 (APTMS) | Dy3+ | 8.125 | 3.0 | 120 | 25 | 7 | 23.2 | 94 | N/A | [84] |
| Synthetic-polymer-based magnetic adsorbent (M-PPTA) | Dy3+ | 50 | 3.0 | 130 | 25 | 5.5 | 24.0 | 98.4 | >84 | [127] |
| Polymeric adsorbents modified with ethylenediamine (EDA) and diglycolamic acid (DGA) | Dy3+ | 162.5 | 10.0 | 4320 | 25 | 1 | 18.4 | 30 | N/A | [128] |
| Chemically activated carbons from spent-coffee waste | Dy3+ | 5.0 | 0.3 | 120 | 25 | 4 | 31.26 | 96 | N/A | [129] |
| Physically activated carbons from spent-coffee waste | 33.52 | 99 | ||||||||
| Ulva lactuca—Chlorophyta (green) | Dy3+ | 0.5 | 3.0 | 4320 | 25 | N/A (1) | 0.570 | 89 | N/A | [130] |
| Gracilaria sp.—Rhodophyta (red) | 0.526 | 84 | ||||||||
| Fe0–SiO2–PA/SiO2–DTPA | Dy3+ | 1.5 | 0.5 | 30 | 21 | 3 | 1.85 | N/A | N/A | [131] |
| γFe2O3@SiO2–NH2 | Dy3+ | 32 | 2.5 | 120 | 25 | 4 | 4.0 | 83.1 | 100 | This work |
| CoFe2O4@SiO2–NH2 | Dy3+ | 32 | 2.5 | 120 | 25 | 4 | 4.7 | 97.9 | 100 | This work |
| Terbium (Tb3+) | ||||||||||
| Fe3O4@SiO2@polyaniline-graphene oxide | Tb3+ | 0.01 | 0.4 | 2 | 25 | 4 | 11.8 | 98 | 95 | [125] |
| Fe0–SiO2–PA/SiO2–DTPA | Tb3+ | 1.5 | 0.5 | 30 | 21 | 3 | 1.4 | N/A | N/A | [131] |
| Molecular-sieve zeolite | Tb3+ | 20 | 0.5 | 2880 | 25 | 5 | 2.59 | 80 | >60 | [132] |
| B. cereus biomass-supported zeolite | 5.07 | |||||||||
| Multi-walled carbon nanotubes with tannic acid (TA-MWCNTs) | Tb3+ | 40 | 5 | 60 | 20 | 5 | 8.55 | N/A | >95 | [133] |
| γ-Fe2O3–NH4OH@SiO2 (APTMS) | Tb3+ | 0.32 | 1.5 | 120 | 25 | 7 | 0.204 | 93 | N/A | [134] |
| γFe2O3@SiO2–NH2 | Tb3+ | 32 | 2.5 | 120 | 25 | 4 | 4.7 | 89.3 | 100 | This work |
| CoFe2O4@SiO2–NH2 | Tb3+ | 32 | 2.5 | 120 | 25 | 4 | 6.2 | 98.4 | 100 | This work |
| Mercury (Hg2+) | ||||||||||
| CoFe2O4–chitosan–graphene | Hg2+ | 20 | 0.12 | 230 | 50 | 7 | 361.0 | 90 | <5 | [135] |
| Polypyrrole-functionalized magnetic Kaolin (Ppy-Fe3O4/kaolin) | Hg2+ | 50 | 0.05 | 420 | 42 | 7.2 | 317.1 | N/A | >90 | [136] |
| CoFe2O4@SiO2–NH2 | Hg2+ | 20 | 0.1 | 720 | 25 | 7 | 149.3 | N/A | 75 | [137] |
| CoFe2O4@SiO2–EDTA | Hg2+ | 20 | 0.1 | 720 | 25 | 7 | 103.3 | >90 | >90 | [138] |
| γ-Fe2O3@NH2 | Hg2+ | 200 | 2.25 | 30 | 25 | 7 | 85.6 | 84 | 100 | [122] |
| Fe3O4 | Hg2+ | 100 | 2.5 | 720 | 23 | N/A (2) | 28.0 | <40 | N/A | [139] |
| Fe3O4–Ag0 | 71.3 | >80 | ||||||||
| Rice-husk-activated carbon (RHAC) | Hg2+ | 20 | 0.2 | 60 | 25 | 5 | 55.87 | N/A | N/A | [140] |
| Magnetic poly(vinyl alcohol)—procion blue MX-3G | Hg2+ | 400 | 5.0 | 10 | 20 | 6 | 69.2 | >94 | 95 | [141] |
| Magnetic poly(vinyl alcohol) (mPVAL) | 0.57 | |||||||||
| Amino-functionalized SiO2 particles (NH2@SiO2) | Hg2+ | 100 | 2.25 | 60 | 25 | 4 | 3.75 | 88 | 100 | [123] |
| Activated carbon | Hg2+ | 0.1–300 | 2.3 | 1440 | 22 | 7.4 | 2.5 | 95 | N/A | [142] |
| Gold-NP-coated silica | 1.4 | 96 | ||||||||
| γFe2O3@SiO2–NH2 | Hg2+ | 40 | 2.5 | 120 | 25 | 4 | 2.1 | 94.3 | 100 | This work |
| CoFe2O4@SiO2–NH2 | Hg2+ | 40 | 2.5 | 120 | 25 | 4 | 1.2 | 92.1 | 100 | This work |
Disclaimer/Publisher’s Note: The statements, opinions and data contained in all publications are solely those of the individual author(s) and contributor(s) and not of MDPI and/or the editor(s). MDPI and/or the editor(s) disclaim responsibility for any injury to people or property resulting from any ideas, methods, instructions or products referred to in the content. |
© 2023 by the authors. Licensee MDPI, Basel, Switzerland. This article is an open access article distributed under the terms and conditions of the Creative Commons Attribution (CC BY) license (https://creativecommons.org/licenses/by/4.0/).
Share and Cite
Allwin Mabes Raj, A.F.P.; Bauman, M.; Dimitrušev, N.; Ali, L.M.A.; Onofre, M.; Gary-Bobo, M.; Durand, J.-O.; Lobnik, A.; Košak, A. Superparamagnetic Spinel-Ferrite Nano-Adsorbents Adapted for Hg2+, Dy3+, Tb3+ Removal/Recycling: Synthesis, Characterization, and Assessment of Toxicity. Int. J. Mol. Sci. 2023, 24, 10072. https://doi.org/10.3390/ijms241210072
Allwin Mabes Raj AFP, Bauman M, Dimitrušev N, Ali LMA, Onofre M, Gary-Bobo M, Durand J-O, Lobnik A, Košak A. Superparamagnetic Spinel-Ferrite Nano-Adsorbents Adapted for Hg2+, Dy3+, Tb3+ Removal/Recycling: Synthesis, Characterization, and Assessment of Toxicity. International Journal of Molecular Sciences. 2023; 24(12):10072. https://doi.org/10.3390/ijms241210072
Chicago/Turabian StyleAllwin Mabes Raj, A. F. P., Maja Bauman, Nena Dimitrušev, Lamiaa M. A. Ali, Mélanie Onofre, Magali Gary-Bobo, Jean-Olivier Durand, Aleksandra Lobnik, and Aljoša Košak. 2023. "Superparamagnetic Spinel-Ferrite Nano-Adsorbents Adapted for Hg2+, Dy3+, Tb3+ Removal/Recycling: Synthesis, Characterization, and Assessment of Toxicity" International Journal of Molecular Sciences 24, no. 12: 10072. https://doi.org/10.3390/ijms241210072
APA StyleAllwin Mabes Raj, A. F. P., Bauman, M., Dimitrušev, N., Ali, L. M. A., Onofre, M., Gary-Bobo, M., Durand, J.-O., Lobnik, A., & Košak, A. (2023). Superparamagnetic Spinel-Ferrite Nano-Adsorbents Adapted for Hg2+, Dy3+, Tb3+ Removal/Recycling: Synthesis, Characterization, and Assessment of Toxicity. International Journal of Molecular Sciences, 24(12), 10072. https://doi.org/10.3390/ijms241210072

