Peroxidase-Mimicking Activity of Nanoceria for Label-Free Colorimetric Assay for Exonuclease III Activity
Abstract
1. Introduction
2. Results and Discussion
2.1. Exo III Detection Based on Nanoceria
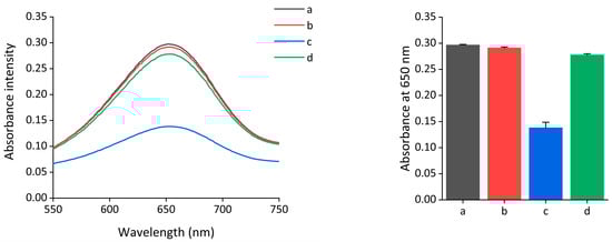
2.2. Feasibility of Exo III Detection
2.3. Determination of the Exo III Detection System
2.4. Evaluation of the Exo III Detection System Performance
2.5. Real-Sample Test of the Exo III Detection System
3. Materials and Methods
3.1. Materials
3.2. Nanoceria-Based Exonuclease III Assay
3.3. Confirmation of DNA-Induced Aggregation of Nanoceria
3.4. Gel Electrophoresis Analysis of the Nuclease Reactant
3.5. Real-Sample Test of the Exonuclease III Detection System
4. Conclusions
Supplementary Materials
Author Contributions
Funding
Institutional Review Board Statement
Informed Consent Statement
Data Availability Statement
Conflicts of Interest
References
- Fraser, M.J. Endo-Exonucleases: Enzymes Involved in DNA Repair and Cell Death? Bioessays 1994, 16, 761–766. [Google Scholar] [CrossRef]
- Zuo, Y.; Deutscher, M.P. Exoribonuclease Superfamilies: Structural Analysis and Phylogenetic Distribution. Nucleic Acids Res. 2001, 29, 1017–1026. [Google Scholar] [CrossRef]
- Mol, C.D.; Kuo, C.F.; Thayer, M.M.; Cunningham, R.P.; Tainer, J.A. Structure and Function of the Multifunctional DNA-Repair Enzyme Exonuclease III. Nature 1995, 374, 381–386. [Google Scholar] [CrossRef]
- Paull, T.T.; Gellert, M. The 3′ to 5′ Exonuclease Activity of Mre11 Facilitates Repair of DNA Double-Strand Breaks. Mol. Cell 1998, 1, 969–979. [Google Scholar] [CrossRef]
- Song, L.; Chaudhuri, M.; Knopf, C.W.; Parris, D.S. Contribution of the 3′- to 5′-Exonuclease Activity of Herpes Simplex Virus Type 1 DNA Polymerase to the Fidelity of DNA Synthesis. J. Biol. Chem. 2004, 279, 18535–18543. [Google Scholar] [CrossRef]
- Gammon, D.B.; Evans, D.H. The 3′-to-5′ Exonuclease Activity of Vaccinia Virus DNA Polymerase Is Essential and Plays a Role in Promoting Virus Genetic Recombination. J. Virol. 2009, 83, 4236–4250. [Google Scholar] [CrossRef]
- Loeb, L.A. Mutator Phenotype May Be Required for Multistage Carcinogenesis. Cancer Res. 1991, 51, 3075–3079. [Google Scholar]
- Wang, C.J.; Lam, W.; Bussom, S.; Chang, H.M.; Cheng, Y.C. TREX1 Acts in Degrading Damaged DNA from Drug-Treated Tumor Cells. DNA Repair 2009, 8, 1179–1189. [Google Scholar] [CrossRef]
- Jeltsch, A.; Fritz, A.; Alves, J.; Wolfes, H.; Pingoud, A. A Fast and Accurate Enzyme-Linked Immunosorbent Assay for the Determination of the DNA Cleavage Activity of Restriction Endonucleases. Anal. Biochem. 1993, 213, 234–240. [Google Scholar] [CrossRef]
- Alves, J.; Rüter, T.; Geiger, R.; Fliess, A.; Maass, G.; Pingoud, A. Changing the Hydrogen-Bonding Potential in the DNA Binding Site of EcoRl by Site-Directed Mutagenesis Drastically Reduces the Enzymatic Activity, Not, However, the Preference of This Restriction Endonuclease for Cleavage within the Site -GAATTC-. Biochemistry 1989, 28, 2678–2684. [Google Scholar] [CrossRef]
- Leung, C.; Chan, D.S.; Man, B.Y.; Wang, C.; Lam, W.; Cheng, Y.; Fong, W.; Hsiao, W.W.; Ma, D. Simple and Convenient G-Quadruplex-Based Turn-on Fluorescence Assay for 3′ → 5′ Exonuclease Activity. Anal. Chem. 2011, 83, 463–466. [Google Scholar] [CrossRef]
- He, H.Z.; Chan, W.I.; Mak, T.Y.; Liu, L.J.; Wang, M.; Chan, D.S.H.; Ma, D.L.; Leung, C.H. Detection of 3′→5′ Exonuclease Activity Using a Metal-Based Luminescent Switch-on Probe. Methods 2013, 64, 218–223. [Google Scholar] [CrossRef] [PubMed]
- Jiang, X.; Liu, H.; Khusbu, F.Y.; Ma, C.; Ping, A.; Zhang, Q.; Wu, K.; Chen, M. Label-Free Detection of Exonuclease III Activity and Its Inhibition Based on DNA Hairpin Probe. Anal. Biochem. 2018, 555, 55–58. [Google Scholar] [CrossRef] [PubMed]
- Burkin, K.M.; Bodulev, O.L.; Gribas, A.V.; Sakharov, I.Y. One-Step Label-Free Chemiluminescent Assay for Determination of Exonuclease III Activity towards Hairpin Oligonucleotides. Enzyme Microb. Technol. 2019, 131, 109419. [Google Scholar] [CrossRef] [PubMed]
- Yang, W.; Ruan, Y.; Wu, W.; Chen, P.; Xu, L.; Fu, F. A “Turn-on” and Label-Free Fluorescent Assay for the Rapid Detection of Exonuclease III Activity Based on Tb3+-Induced G-Quadruplex Conjugates. Anal. Bioanal. Chem. 2014, 406, 4535–4540. [Google Scholar] [CrossRef] [PubMed]
- Zhang, X.; Bai, Y.; Jiang, Y.; Wang, N.; Yang, F.; Zhan, L.; Huang, C. Homo-FRET Enhanced Ratiometric Fluorescence Strategy for Exonuclease III Activity Detection. Anal. Methods 2021, 13, 1489–1494. [Google Scholar] [CrossRef]
- Lee, J.; Min, D.-H. A Simple Fluorometric Assay for DNA Exonuclease Activity Based on Graphene Oxide. Analyst 2012, 137, 2024–2026. [Google Scholar] [CrossRef]
- Qin, Y.; Yang, Y.; He, R.; Zhou, L.; Zhang, L. Self-Assembled Nanosheets of Perylene Monoamide Derivative as Sensitive Fluorescent Biosensor for Exonuclease III Activity. Chem. Res. Chin. Univ. 2022, 38, 1497–1503. [Google Scholar] [CrossRef]
- Liu, X.; Wu, Y.; Wu, X.; Zhao, J.X. A Graphene Oxide-Based Fluorescence Assay for the Sensitive Detection of DNA Exonuclease Enzymatic Activity. Analyst 2019, 144, 6231–6239. [Google Scholar] [CrossRef]
- Zhang, H.; Lin, Z.; Su, X. Label-Free Detection of Exonuclease III by Using DsDNA-Templated Copper Nanoparticles as Fluorescent Probe. Talanta 2015, 131, 59–63. [Google Scholar] [CrossRef]
- Lee, C.; Gang, J. Label-Free Rapid and Simple Detection of Exonuclease III Activity with DNA-Templated Copper Nanoclusters. J. Microbiol. Biotechnol. 2018, 28, 1467–1472. [Google Scholar] [CrossRef]
- Gao, L.; Zhuang, J.; Nie, L.; Zhang, J.; Zhang, Y.; Gu, N.; Wang, T.; Feng, J.; Yang, D.; Perrett, S.; et al. Intrinsic Peroxidase-like Activity of Ferromagnetic Nanoparticles. Nat. Nanotechnol. 2007, 2, 577–583. [Google Scholar] [CrossRef]
- Jv, Y.; Li, B.; Cao, R. Positively-Charged Gold Nanoparticles as Peroxidiase Mimic and Their Application in Hydrogen Peroxide and Glucose Detection. Chem. Commun. 2010, 46, 8017–8019. [Google Scholar] [CrossRef]
- Wang, S.; Chen, W.; Liu, A.-L.; Hong, L.; Deng, H.-H.; Lin, X.-H. Comparison of the Peroxidase-like Activity of Unmodified, Amino-Modified, and Citrate-Capped Gold Nanoparticles. ChemPhysChem 2012, 13, 1199–1204. [Google Scholar] [CrossRef]
- Gao, Z.; Xu, M.; Hou, L.; Chen, G.; Tang, D. Irregular-Shaped Platinum Nanoparticles as Peroxidase Mimics for Highly Efficient Colorimetric Immunoassay. Anal. Chim. Acta 2013, 776, 79–86. [Google Scholar] [CrossRef]
- Park, J.M.; Jung, H.W.; Chang, Y.W.; Kim, H.S.; Kang, M.J.; Pyun, J.C. Chemiluminescence Lateral Flow Immunoassay Based on Pt Nanoparticle with Peroxidase Activity. Anal. Chim. Acta 2015, 853, 360–367. [Google Scholar] [CrossRef]
- Park, K.S.; Kim, M.I.; Cho, D.Y.; Park, H.G. Label-Free Colorimetric Detection of Nucleic Acids Based on Target-Induced Shielding against the Peroxidase-Mimicking Activity of Magnetic Nanoparticles. Small 2011, 7, 1521–1525. [Google Scholar] [CrossRef]
- Yang, Y.C.; Wang, Y.T.; Tseng, W.L. Amplified Peroxidase-Like Activity in Iron Oxide Nanoparticles Using Adenosine Monophosphate: Application to Urinary Protein Sensing. ACS Appl. Mater. Interfaces 2017, 9, 10069–10077. [Google Scholar] [CrossRef]
- Chen, W.; Chen, J.; Feng, Y.-B.; Hong, L.; Chen, Q.-Y.; Wu, L.-F.; Lin, X.-H.; Xia, X.-H. Peroxidase-like Activity of Water-Soluble Cupric Oxide Nanoparticles and Its Analytical Application for Detection of Hydrogen Peroxide and Glucose. Analyst 2012, 137, 1706–1712. [Google Scholar] [CrossRef]
- Asati, A.; Santra, S.; Kaittanis, C.; Nath, S.; Perez, J.M. Oxidase-like Activity of Polymer-Coated Cerium Oxide Nanopartieles. Angew. Chem. Int. Ed. 2009, 48, 2308–2312. [Google Scholar] [CrossRef]
- Asati, A.; Kaittanis, C.; Santra, S.; Perez, J.M. PH-Tunable Oxidase-like Activity of Cerium Oxide Nanoparticles Achieving Sensitive Fluorigenic Detection of Cancer Biomarkers at Neutral PH. Anal. Chem. 2011, 83, 2547–2553. [Google Scholar] [CrossRef]
- Liu, B.; Sun, Z.; Huang, P.J.J.; Liu, J. Hydrogen Peroxide Displacing DNA from Nanoceria: Mechanism and Detection of Glucose in Serum. J. Am. Chem. Soc. 2015, 137, 1290–1295. [Google Scholar] [CrossRef]
- Kim, M.I.; Park, K.S.; Park, H.G. Ultrafast Colorimetric Detection of Nucleic Acids Based on the Inhibition of the Oxidase Activity of Cerium Oxide Nanoparticles. Chem. Commun. 2014, 50, 9577–9580. [Google Scholar] [CrossRef]
- Kim, H.Y.; Ahn, J.K.; Kim, M.I.; Park, K.S.; Park, H.G. Rapid and Label-Free, Electrochemical DNA Detection Utilizing the Oxidase-Mimicking Activity of Cerium Oxide Nanoparticles. Electrochem. Commun. 2019, 99, 5–10. [Google Scholar] [CrossRef]
- Kim, H.Y.; Park, K.S.; Park, H.G. Glucose Oxidase-like Activity of Cerium Oxide Nanoparticles: Use for Personal Glucose Meter-Based Label-Free Target DNA Detection. Theranostics 2020, 10, 4507–4514. [Google Scholar] [CrossRef]
- Liu, H.; Liu, J. Self-Limited Phosphatase-Mimicking CeO2 Nanozymes. ChemNanoMat 2020, 6, 947–952. [Google Scholar] [CrossRef]
- Xu, M.; Li, B. Label-Free Fluorescence Strategy for Sensitive Detection of Exonuclease Activity Using SYBR Green i as Probe. Spectrochim. Acta Part A Mol. Biomol. Spectrosc. 2015, 151, 22–26. [Google Scholar] [CrossRef]






| Method | Limit Detection (units/mL) | Linear Range (units/mL) | Ref. |
|---|---|---|---|
| Tb3+ | 0.8 | 5–100 | [15] |
| CuNPs | 0.02 | 0.05–2 | [20] |
| ThT | 0.5 | 0–10 | [13] |
| SYBR Green I | 0.7 | 1–200 | [37] |
| Homo-FRET | 0.17 | 0.25–8 | [16] |
| Luminescent | 1 | 0–25 | [12] |
| Graphene oxide | 0.001 | 0.01–0.5 | [19] |
| Nanoceria | 0.263 | 3.1–400 | This work |
| Added Exo III (units/mL) | Measured Exo III (μg/mL) a | SD b | CV (%) c | Recovery (%) d |
|---|---|---|---|---|
| 100 | 98.74 | 3.784 | 3.832 | 98.74 |
| 50 | 53.76 | 0.226 | 0.420 | 107.53 |
Disclaimer/Publisher’s Note: The statements, opinions and data contained in all publications are solely those of the individual author(s) and contributor(s) and not of MDPI and/or the editor(s). MDPI and/or the editor(s) disclaim responsibility for any injury to people or property resulting from any ideas, methods, instructions or products referred to in the content. |
© 2023 by the authors. Licensee MDPI, Basel, Switzerland. This article is an open access article distributed under the terms and conditions of the Creative Commons Attribution (CC BY) license (https://creativecommons.org/licenses/by/4.0/).
Share and Cite
Han, H.; Jeung, J.H.; Jang, S.H.; Lee, C.Y.; Ahn, J.K. Peroxidase-Mimicking Activity of Nanoceria for Label-Free Colorimetric Assay for Exonuclease III Activity. Int. J. Mol. Sci. 2023, 24, 12330. https://doi.org/10.3390/ijms241512330
Han H, Jeung JH, Jang SH, Lee CY, Ahn JK. Peroxidase-Mimicking Activity of Nanoceria for Label-Free Colorimetric Assay for Exonuclease III Activity. International Journal of Molecular Sciences. 2023; 24(15):12330. https://doi.org/10.3390/ijms241512330
Chicago/Turabian StyleHan, Hyogu, Jae Hoon Jeung, Se Hee Jang, Chang Yeol Lee, and Jun Ki Ahn. 2023. "Peroxidase-Mimicking Activity of Nanoceria for Label-Free Colorimetric Assay for Exonuclease III Activity" International Journal of Molecular Sciences 24, no. 15: 12330. https://doi.org/10.3390/ijms241512330
APA StyleHan, H., Jeung, J. H., Jang, S. H., Lee, C. Y., & Ahn, J. K. (2023). Peroxidase-Mimicking Activity of Nanoceria for Label-Free Colorimetric Assay for Exonuclease III Activity. International Journal of Molecular Sciences, 24(15), 12330. https://doi.org/10.3390/ijms241512330

