Exploring the Potential of Sulfonamide-Dihydropyridine Hybrids as Multitargeted Ligands for Alzheimer’s Disease Treatment
Abstract
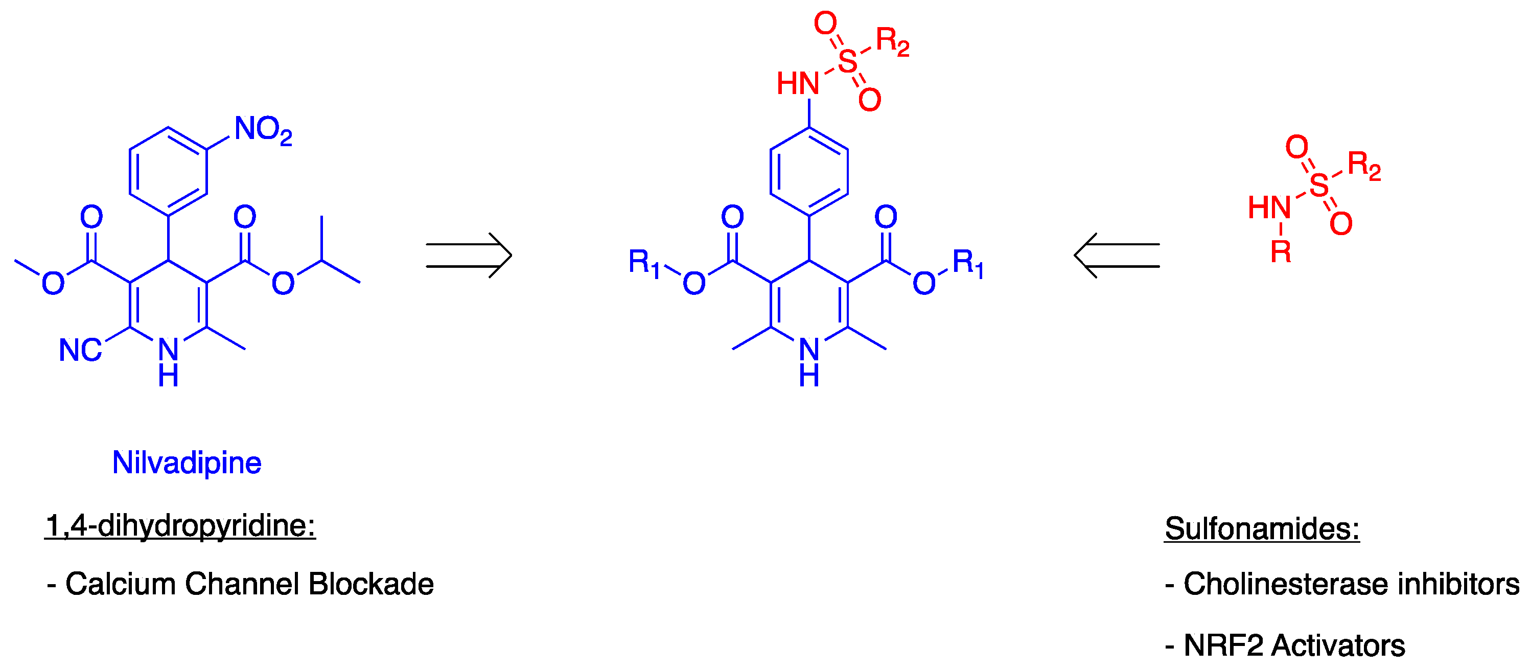
1. Introduction
2. Results
2.1. Synthesis
2.2. Biological Assesment
2.2.1. Cholinesterases Inhibition
2.2.2. Calcium Channel Inhibition
2.2.3. Antioxidant Assay
2.2.4. Nrf2 Transcriptional Activation Potencies of MTDLs 4a, 4d and 4f
2.3. Molecular Docking Studies of Compounds 4a and 4f
3. Discussion
4. Materials and Methods
4.1. General Synthesis of Compounds 2a–c
4.1.1. Dimethyl 2,6-Dimethyl-4-(4-nitrophenyl)-1,4-dihydropyridine-3,5-dicarboxylate (2a)
4.1.2. Diethyl 2,6-Dimethyl-4-(4-nitrophenyl)-1,4-dihydropyridine-3,5-dicarboxylate (2b)
4.1.3. Diisopropyl 2,6-Dimethyl-4-(4-nitrophenyl)-1,4-dihydropyridine-3,5-dicarboxylate (2c)
4.2. General Synthesis of Compounds 3a–c
4.2.1. Dimethyl 4-(4-Aminophenyl)-2,6-dimethyl-1,4-dihydropyridine-3,5-dicarboxylate (3a)
4.2.2. Diethyl 4-(4-Aminophenyl)-2,6-dimethyl-1,4-dihydropyridine-3,5-dicarboxylate (3b)
4.2.3. Diisopropyl 4-(4-Aminophenyl)-2,6-dimethyl-1,4-dihydropyridine-3,5-dicarboxylate (3c)
4.3. General Synthesis of Compounds 4a–i
4.3.1. Dimethyl 2,6-Dimethyl-4-(4-(phenylsulfonamido)phenyl)-1,4-dihydropyridine-3,5-dicarboxylate (4a)
4.3.2. Dimethyl 2,6-Dimethyl-4-(4-((4-methylphenyl)sulfonamido)phenyl)-1,4-dihydropyridine-3,5-dicarboxylate (4b)
4.3.3. Dimethyl 2,6-Dimethyl-4-(4-(methylsulfonamido)phenyl)-1,4-dihydropyridine-3,5-dicarboxylate (4c)
4.3.4. Diethyl 2,6-Dimethyl-4-(4-(phenylsulfonamido)phenyl)-1,4-dihydropyridine-3,5-dicarboxylate (4d)
4.3.5. Diethyl 2,6-Dimethyl-4-(4-((4-methylphenyl)sulfonamido)phenyl)-1,4-dihydropyridine-3,5-dicarboxylate (4e)
4.3.6. Diethyl 2,6-Dimethyl-4-(4-(methylsulfonamido)phenyl)-1,4-dihydropyridine-3,5-dicarboxylate (4f)
4.3.7. Diisopropyl 2,6-Dimethyl-4-(4-(phenylsulfonamido)phenyl)-1,4-dihydropyridine-3,5-dicarboxylate (4g)
4.3.8. Diisopropyl 2,6-Dimethyl-4-(4-((4-methylphenyl)sulfonamido)phenyl)-1,4-dihydropyridine-3,5-dicarboxylate (4h)
4.3.9. Diisopropyl 2,6-Dimethyl-4-(4-(methylsulfonamido)phenyl)-1,4-dihydropyridine-3,5-dicarboxylate (4i)
4.4. Biological Evaluation
4.4.1. EeAChE and eqBChE
4.4.2. Calcium Channel Inhibition
4.4.3. Oxygen Radical Absorbance Capacity Assay
4.4.4. Nrf2 Transcriptional Activation Potencies of MTDLs 4a, 4d and 4f
4.4.5. Molecular Docking of Compounds 4a and 4f into EeAChE and eqBChE
Supplementary Materials
Author Contributions
Funding
Institutional Review Board Statement
Informed Consent Statement
Data Availability Statement
Conflicts of Interest
References
- Querfurth, H.W.; LaFerla, F.M. Alzheimer’s Disease. N. Engl. J. Med. 2010, 362, 329–344. [Google Scholar] [CrossRef]
- Bartus, R.T.; Dean, R.L., 3rd; Beer, B.; Lippa, A.S. The Cholinergic Hypothesis of Geriatric Memory Dysfunction. Science 1982, 217, 408–414. [Google Scholar] [CrossRef]
- Benilova, I.; Karran, E.; De Strooper, B. The Toxic Aβ Oligomer and Alzheimer’s Disease: An Emperor in Need of Clothes. Nat. Neurosci. 2012, 15, 349–357. [Google Scholar] [CrossRef] [PubMed]
- Hamley, I.W. The Amyloid Beta Peptide: A Chemist’s Perspective. Role in Alzheimer’s and Fibrillization. Chem. Rev. 2012, 112, 5147–5192. [Google Scholar] [CrossRef]
- Murphy, M.P.; LeVine, H., 3rd. Alzheimer’s Disease and the Amyloid-β Peptide. J. Alzheimers Dis. 2010, 19, 311–323. [Google Scholar] [CrossRef]
- L’Episcopo, F.; Drouin-Ouellet, J.; Tirolo, C.; Pulvirenti, A.; Giugno, R.; Testa, N.; Caniglia, S.; Serapide, M.F.; Cisbani, G.; Barker, R.A.; et al. GSK-3β-Induced Tau Pathology Drives Hippocampal Neuronal Cell Death in Huntington’s Disease: Involvement of Astrocyte-Neuron Interactions. Cell Death Dis. 2016, 7, e2206. [Google Scholar] [CrossRef]
- Liu, M.; Dexheimer, T.; Sui, D.; Hovde, S.; Deng, X.; Kwok, R.; Bochar, D.A.; Kuo, M.-H. Hyperphosphorylated Tau Aggregation and Cytotoxicity Modulators Screen Identified Prescription Drugs Linked to Alzheimer’s Disease and Cognitive Functions. Sci. Rep. 2020, 10, 16551. [Google Scholar] [CrossRef] [PubMed]
- Gandini, A.; Bartolini, M.; Tedesco, D.; Martinez-Gonzalez, L.; Roca, C.; Campillo, N.E.; Zaldivar-Diez, J.; Perez, C.; Zuccheri, G.; Miti, A.; et al. Tau-Centric Multitarget Approach for Alzheimer’s Disease: Development of First-in-Class Dual Glycogen Synthase Kinase 3β and Tau-Aggregation Inhibitors. J. Med. Chem. 2018, 61, 7640–7656. [Google Scholar] [CrossRef] [PubMed]
- Gómez-Isla, T.; Hollister, R.; West, H.; Mui, S.; Growdon, J.H.; Petersen, R.C.; Parisi, J.E.; Hyman, B.T. Neuronal Loss Correlates with but Exceeds Neurofibrillary Tangles in Alzheimer’s Disease. Ann. Neurol. 1997, 41, 17–24. [Google Scholar] [CrossRef]
- Rodda, J.; Carter, J. Cholinesterase Inhibitors and Memantine for Symptomatic Treatment of Dementia. BMJ 2012, 344, e2986. [Google Scholar] [CrossRef]
- Magar, P.; Parravicini, O.; Štěpánková, Š.; Svrčková, K.; Garro, A.D.; Jendrzejewska, I.; Pauk, K.; Hošek, J.; Jampílek, J.; Enriz, R.D.; et al. Novel Sulfonamide-Based Carbamates as Selective Inhibitors of BChE. Int. J. Mol. Sci. 2021, 22, 9447. [Google Scholar] [CrossRef] [PubMed]
- Colovic, M.B.; Krstic, D.Z.; Lazarevic-Pasti, T.D.; Bondzic, A.M.; Vasic, V.M. Acetylcholinesterase Inhibitors: Pharmacology and Toxicology. Curr. Neuropharmacol. 2013, 11, 315–335. [Google Scholar] [CrossRef]
- Darvesh, S. Butyrylcholinesterase as a Diagnostic and Therapeutic Target for Alzheimer’s Disease. Curr. Alzheimer Res. 2016, 13, 1173–1177. [Google Scholar] [CrossRef] [PubMed]
- Masters, C.L.; Bateman, R.; Blennow, K.; Rowe, C.C.; Sperling, R.A.; Cummings, J.L. Alzheimer’s Disease. Nat. Rev. Dis. Prim. 2015, 1, 15056. [Google Scholar] [CrossRef] [PubMed]
- Coyle, J.T.; Puttafarcken, P. Oxidative Stress, Glutamate, and Neurodegenerative Disorders. Sciences 1993, 262, 689–695. [Google Scholar] [CrossRef]
- Danysz, W.; Parsons, C.G.; Möbius, H.-J.; Stöffler, M.A.; Quack, G. Neuroprotective and Symptomatological Action of Memantine Relevant for Alzheimer’s Disease—A Unified Glutamatergic Hypothesis on the Mechanism of Action. Neurotox. Res. 2000, 2, 85–97. [Google Scholar] [CrossRef]
- Lipton, S.A. The Molecular Basis of Memantine Action in Alzheimer’s Disease and Other Neurologic Disorders: Low-Affinity, Uncompetitive Antagonism. Curr. Alzheimer Res. 2005, 2, 155–165. [Google Scholar] [CrossRef]
- Heneka, M.T.; Carson, M.J.; El Khoury, J.; Landreth, G.E.; Brosseron, F.; Feinstein, D.L.; Jacobs, A.H.; Wyss-Coray, T.; Vitorica, J.; Ransohoff, R.M.; et al. Neuroinflammation in Alzheimer’s Disease. Lancet Neurol. 2015, 14, 388–405. [Google Scholar] [CrossRef]
- Praticò, D.; Sung, S. Lipid Peroxidation and Oxidative Imbalance: Early Functional Events in Alzheimer’s Disease. J. Alzheimers Dis. 2004, 6, 171–175. [Google Scholar] [CrossRef]
- Yan, M.H.; Wang, X.; Zhu, X. Mitochondrial Defects and Oxidative Stress in Alzheimer Disease and Parkinson Disease. Free Radic. Biol. Med. 2013, 62, 90–101. [Google Scholar] [CrossRef]
- Greenough, M.A.; Camakaris, J.; Bush, A.I. Metal Dyshomeostasis and Oxidative Stress in Alzheimer’s Disease. Neurochem. Int. 2013, 62, 540–555. [Google Scholar] [CrossRef]
- Candore, G.; Bulati, M.; Caruso, C.; Castiglia, L.; Colonna-Romano, G.; Di Bona, D.; Duro, G.; Lio, D.; Matranga, D.; Pellicanò, M.; et al. Inflammation, Cytokines, Immune Response, Apolipoprotein E, Cholesterol, and Oxidative Stress in Alzheimer Disease: Therapeutic Implications. Rejuvenation Res. 2010, 13, 301–313. [Google Scholar] [CrossRef] [PubMed]
- Lee, Y.-J.; Han, S.B.; Nam, S.-Y.; Oh, K.-W.; Hong, J.T. Inflammation and Alzheimer’s Disease. Arch. Pharmacal Res. 2010, 33, 1539–1556. [Google Scholar] [CrossRef]
- Rosini, M.; Simoni, E.; Milelli, A.; Minarini, A.; Melchiorre, C. Oxidative Stress in Alzheimer’s Disease: Are We Connecting the Dots? J. Med. Chem. 2014, 57, 2821–2831. [Google Scholar] [CrossRef]
- Vriend, J.; Reiter, R.J. The Keap1-Nrf2-Antioxidant Response Element Pathway: A Review of Its Regulation by Melatonin and the Proteasome. Mol. Cell. Endocrinol. 2015, 401, 213–220. [Google Scholar] [CrossRef]
- van Muiswinkel, F.L.; Kuiperij, H.B. The Nrf2-ARE Signalling Pathway: Promising Drug Target to Combat Oxidative Stress in Neurodegenerative Disorders. Curr. Drug Targets—CNS Neurol. Disord. 2005, 4, 267–281. [Google Scholar] [CrossRef] [PubMed]
- Ma, Q. Role of Nrf2 in Oxidative Stress and Toxicity. Annu. Rev. Pharmacol. Toxicol. 2013, 53, 401–426. [Google Scholar] [CrossRef] [PubMed]
- Calkins, M.J.; Johnson, D.A.; Townsend, J.A.; Vargas, M.R.; Dowell, J.A.; Williamson, T.P.; Kraft, A.D.; Lee, J.-M.; Li, J.; Johnson, J.A. The Nrf2/ARE Pathway as a Potential Therapeutic Target in Neurodegenerative Disease. Antioxid. Redox Signal. 2009, 11, 497–508. [Google Scholar] [CrossRef] [PubMed]
- Wang, X.J.; Hayes, J.D.; Wolf, C.R. Generation of a Stable Antioxidant Response Element–Driven Reporter Gene Cell Line and Its Use to Show Redox-Dependent Activation of Nrf2 by Cancer Chemotherapeutic Agents. Cancer Res. 2006, 66, 10983–10994. [Google Scholar] [CrossRef]
- Chakroborty, S.; Stutzmann, G.E. Calcium Channelopathies and Alzheimer’s Disease: Insight into Therapeutic Success and Failures. Eur. J. Pharmacol. 2014, 739, 83–95. [Google Scholar] [CrossRef]
- Ismaili, L.; Bernard, P.J.; Refouvelet, B. Latest Progress in the Development of Multitarget Ligands for Alzheimer’s Disease Based on the Hantzsch Reaction. Future Med. Chem. 2022, 14, 943–946. [Google Scholar] [CrossRef] [PubMed]
- Chen, C.-H.; Zhou, W.; Liu, S.; Deng, Y.; Cai, F.; Tone, M.; Tone, Y.; Tong, Y.; Song, W. Increased NF-ΚB Signalling up-Regulates BACE1 Expression and Its Therapeutic Potential in Alzheimer’s Disease. Int. J. Neuropsychopharmacol. 2012, 15, 77–90. [Google Scholar] [CrossRef] [PubMed]
- Oulès, B.; Del Prete, D.; Greco, B.; Zhang, X.; Lauritzen, I.; Sevalle, J.; Moreno, S.; Paterlini-Bréchot, P.; Trebak, M.; Checler, F.; et al. Ryanodine Receptor Blockade Reduces Amyloid-β Load and Memory Impairments in Tg2576 Mouse Model of Alzheimer Disease. J. Neurosci. 2012, 32, 11820–11834. [Google Scholar] [CrossRef]
- Avila, J.; Pérez, M.; Lim, F.; Gómez-Ramos, A.; Hernández, F.; Lucas, J.J. Tau in Neurodegenerative Diseases: Tau Phosphorylation and Assembly. Neurotox. Res. 2004, 6, 477–482. [Google Scholar] [CrossRef]
- Cavalli, A.; Bolognesi, M.L.; Minarini, A.; Rosini, M.; Tumiatti, V.; Recanatini, M.; Melchiorre, C. Multi-Target-Directed Ligands to Combat Neurodegenerative Diseases. J. Med. Chem. 2008, 51, 347–372. [Google Scholar] [CrossRef]
- Albertini, C.; Salerno, A.; de Sena Murteira Pinheiro, P.; Bolognesi, M.L. From Combinations to Multitarget-Directed Ligands: A Continuum in Alzheimer’s Disease Polypharmacology. Med. Res. Rev. 2021, 41, 2606–2633. [Google Scholar] [CrossRef]
- Prati, F.; Cavalli, A.; Bolognesi, M.L. Navigating the Chemical Space of Multitarget-Directed Ligands: From Hybrids to Fragments in Alzheimer’s Disease. Molecules 2016, 21, 466. [Google Scholar] [CrossRef]
- Guzior, N.; Wieckowska, A.; Panek, D.; Malawska, B. Recent Development of Multifunctional Agents as Potential Drug Candidates for the Treatment of Alzheimer’s Disease. Curr. Med. Chem. 2014, 22, 373–404. [Google Scholar] [CrossRef]
- Codony, S.; Pont, C.; Griñán-Ferré, C.; Di Pede-Mattatelli, A.; Calvó-Tusell, C.; Feixas, F.; Osuna, S.; Jarné-Ferrer, J.; Naldi, M.; Bartolini, M.; et al. Discovery and In Vivo Proof of Concept of a Highly Potent Dual Inhibitor of Soluble Epoxide Hydrolase and Acetylcholinesterase for the Treatment of Alzheimer’s Disease. J. Med. Chem. 2022, 65, 4909–4925. [Google Scholar] [CrossRef]
- Ismaili, L.; do Carmo Carreiras, M. Multicomponent Reactions for Multitargeted Compounds for Alzheimer‘s Disease. Curr. Top. Med. Chem. 2018, 17, 3319–3327. [Google Scholar] [CrossRef] [PubMed]
- Ismaili, L.; Monnin, J.; Etievant, A.; Arribas, R.L.; Viejo, L.; Refouvelet, B.; Soukup, O.; Janockova, J.; Hepnarova, V.; Korabecny, J.; et al. (±)-BIGI-3h: Pentatarget-Directed Ligand Combining Cholinesterase, Monoamine Oxidase, and Glycogen Synthase Kinase 3β Inhibition with Calcium Channel Antagonism and Antiaggregating Properties for Alzheimer’s Disease. ACS Chem. Neurosci. 2021, 12, 1328–1342. [Google Scholar] [CrossRef]
- Dgachi, Y.; Martin, H.; Malek, R.; Jun, D.; Janockova, J.; Sepsova, V.; Soukup, O.; Iriepa, I.; Moraleda, I.; Maalej, E.; et al. Synthesis and Biological Assessment of KojoTacrines as New Agents for Alzheimer’s Disease Therapy. J. Enzyme Inhib. Med. Chem. 2019, 34, 163–170. [Google Scholar] [CrossRef] [PubMed]
- Malek, R.; Arribas, R.L.; Palomino-Antolin, A.; Totoson, P.; Demougeot, C.; Kobrlova, T.; Soukup, O.; Iriepa, I.; Moraleda, I.; Diez-Iriepa, D.; et al. New Dual Small Molecules for Alzheimer’s Disease Therapy Combining Histamine H3 Receptor (H3R) Antagonism and Calcium Channels Blockade with Additional Cholinesterase Inhibition. J. Med. Chem. 2019, 62, 11416–11422. [Google Scholar] [CrossRef]
- Godyń, J.; Jończyk, J.; Panek, D.; Malawska, B. Therapeutic Strategies for Alzheimer’s Disease in Clinical Trials. Pharmacol. Rep. 2016, 68, 127–138. [Google Scholar] [CrossRef] [PubMed]
- Anekonda, T.S.; Quinn, J.F. Calcium Channel Blocking as a Therapeutic Strategy for Alzheimer’s Disease: The Case for Isradipine. Biochim. Biophys. Acta (BBA)—Mol. Basis Dis. 2011, 1812, 1584–1590. [Google Scholar] [CrossRef]
- Apaydın, S.; Török, M. Sulfonamide Derivatives as Multi-Target Agents for Complex Diseases. Bioorg. Med. Chem. Lett. 2019, 29, 2042–2050. [Google Scholar] [CrossRef]
- Ganeshpurkar, A.; Singh, R.; Kumar, D.; Gore, P.; Shivhare, S.; Sardana, D.; Rayala, S.; Kumar, A.; Singh, S.K. Identification of Sulfonamide Based Butyrylcholinesterase Inhibitors through Scaffold Hopping Approach. Int. J. Biol. Macromol. 2022, 203, 195–211. [Google Scholar] [CrossRef]
- Yamali, C.; Gul, H.I.; Kazaz, C.; Levent, S.; Gulcin, I. Synthesis, Structure Elucidation, and in Vitro Pharmacological Evaluation of Novel Polyfluoro Substituted Pyrazoline Type Sulfonamides as Multi-Target Agents for Inhibition of Acetylcholinesterase and Carbonic Anhydrase I and II Enzymes. Bioorg. Chem. 2020, 96, 103627. [Google Scholar] [CrossRef]
- Choi, J.W.; Shin, S.J.; Kim, H.J.; Park, J.-H.; Kim, H.J.; Lee, E.H.; Pae, A.N.; Bahn, Y.S.; Park, K.D. Antioxidant, Anti-Inflammatory, and Neuroprotective Effects of Novel Vinyl Sulfonate Compounds as Nrf2 Activator. ACS Med. Chem. Lett. 2019, 10, 1061–1067. [Google Scholar] [CrossRef] [PubMed]
- Georgakopoulos, N.; Talapatra, S.; Dikovskaya, D.; Dayalan Naidu, S.; Higgins, M.; Gatliff, J.; Ayhan, A.; Nikoloudaki, R.; Schaap, M.; Valko, K.; et al. Phenyl Bis-Sulfonamide Keap1-Nrf2 Protein–Protein Interaction Inhibitors with an Alternative Binding Mode. J. Med. Chem. 2022, 65, 7380–7398. [Google Scholar] [CrossRef]
- Egbujor, M.C.; Buttari, B.; Profumo, E.; Telkoparan-Akillilar, P.; Saso, L. An Overview of NRF2-Activating Compounds Bearing α,β-Unsaturated Moiety and Their Antioxidant Effects. Int. J. Mol. Sci. 2022, 23, 8466. [Google Scholar] [CrossRef] [PubMed]
- Dávalos, A.; Gómez-Cordovés, C.; Bartolomé, B. Extending Applicability of the Oxygen Radical Absorbance Capacity (ORAC−Fluorescein) Assay. J. Agric. Food Chem. 2004, 52, 48–54. [Google Scholar] [CrossRef] [PubMed]
- Benchekroun, M.; Ismaili, L.; Pudlo, M.; Luzet, V.; Gharbi, T.; Refouvelet, B.; Marco-Contelles, J. Donepezil–Ferulic Acid Hybrids as Anti-Alzheimer Drugs. Future Med. Chem. 2015, 7, 15–21. [Google Scholar] [CrossRef]
- Benchekroun, M.; Romero, A.; Egea, J.; León, R.; Michalska, P.; Buendía, I.; Jimeno, M.L.; Jun, D.; Janockova, J.; Sepsova, V.; et al. The Antioxidant Additive Approach for Alzheimer’s Disease Therapy: New Ferulic (Lipoic) Acid Plus Melatonin Modified Tacrines as Cholinesterases Inhibitors, Direct Antioxidants, and Nuclear Factor (Erythroid-Derived 2)-Like 2 Activators. J. Med. Chem. 2016, 59, 9967–9973. [Google Scholar] [CrossRef]
- Parada, E.; Buendia, I.; León, R.; Negredo, P.; Romero, A.; Cuadrado, A.; López, M.G.; Egea, J. Neuroprotective Effect of Melatonin against Ischemia Is Partially Mediated by Alpha-7 Nicotinic Receptor Modulation and HO-1 Overexpression. J. Pineal Res. 2014, 56, 204–212. [Google Scholar] [CrossRef] [PubMed]
- Trott, O.; Olson, A.J. AutoDock Vina: Improving the Speed and Accuracy of Docking with a New Scoring Function, Efficient Optimization, and Multithreading. J. Comput. Chem. 2010, 31, 455–461. [Google Scholar] [CrossRef]
- Bienert, S.; Waterhouse, A.; de Beer, T.A.P.; Tauriello, G.; Studer, G.; Bordoli, L.; Schwede, T. The SWISS-MODEL Repository-New Features and Functionality. Nucleic Acids Res. 2017, 45, D313–D319. [Google Scholar] [CrossRef]
- Ellman, G.L.; Courtney, K.D.; Andres, V., Jr.; Featherstone, R.M. A New and Rapid Colorimetric Determination of Acetylcholinesterase Activity. Biochem. Pharmacol. 1961, 7, 88–95. [Google Scholar] [CrossRef]
- Pachòn Angona, I.; Daniel, S.; Martin, H.; Bonet, A.; Wnorowski, A.; Maj, M.; Jóźwiak, K.; Silva, T.B.; Refouvelet, B.; Borges, F.; et al. Design, Synthesis and Biological Evaluation of New Antioxidant and Neuroprotective Multitarget Directed Ligands Able to Block Calcium Channels. Molecules 2020, 25, 1329. [Google Scholar] [CrossRef]
- Pachón-Angona, I.; Martin, H.; Chhor, S.; Oset-Gasque, M.-J.; Refouvelet, B.; Marco-Contelles, J.; Ismaili, L. Synthesis of New Ferulic/Lipoic/Comenic Acid-Melatonin Hybrids as Antioxidants and Nrf2 Activators via Ugi Reaction. Future Med. Chem. 2019, 11, 3097–3108. [Google Scholar] [CrossRef]
- Brooks, B.R.; Bruccoleri, R.E.; Olafson, B.D.; States, D.J.; Swaminathan, S.; Karplus, M. CHARMM: A Program for Macromolecular Energy, Minimization, and Dynamics Calculations. J. Comput. Chem. 1983, 4, 187–217. [Google Scholar] [CrossRef]
- Morreale, A.; Maseras, F.; Iriepa, I.; Gálvez, E. Ligand-Receptor Interaction at the Neural Nicotinic Acetylcholine Binding Site: A Theoretical Model. J. Mol. Graph. Model. 2002, 21, 111–118. [Google Scholar] [CrossRef] [PubMed]







| Compounds | EeAChE IC50 (μM) ± SEM a | eqBChE IC50 (μM) ± SEM a | Calcium Antagonism (% Inhibition at 10 μM) ± SEM | ORAC b |
|---|---|---|---|---|
| 4a | - c | 5.0 ± 0.4 | 32 ± 5.1 | 1.59 ± 0.2 |
| 4b | - c | - c | 37 ± 5.1 | 1.96 ± 0.1 |
| 4c | - c | - c | na | 3.01 ± 0.1 |
| 4d | - c | 0.30 ± 0.1 | 22 ± 4.7 | 1.67 ± 0.0 |
| 4e | - c | - c | 26 ± 4.1 | 2.07 ± 0.3 |
| 4f | 12.6 ± 1.2 | 8.7 ± 0.6 | 27 ± 3.5 | 1.30 ± 0.1 |
| 4g | - c | - c | 50 ± 4.1 | 0.86 ± 0.1 |
| 4h | - c | - c | 51 ± 5.3 | 1.59 ± 0.1 |
| 4i | - c | - c | 25 ± 5.1 | 1.11 ± 0.3 |
| donepezil | 20.8 ± 2.1 nM | 8.2 ± 0.2 | nd | nd |
| tacrine | 0.04 ± 0.00 | 2.2 ± 0.1 nM | nd | nd |
| nimodipine | nd | nd | 52 ± 4.1 | nd |
| melatonin | nd | nd | nd | 2.45 ± 0.1 |
| Compounds | CD (μM) |
|---|---|
| 4a | 19.3 ± 6.7 |
| 4d | >50 |
| 4f | 44.3 ± 4.7 |
| TBHQ | 1.2 ± 0.2 |
Disclaimer/Publisher’s Note: The statements, opinions and data contained in all publications are solely those of the individual author(s) and contributor(s) and not of MDPI and/or the editor(s). MDPI and/or the editor(s) disclaim responsibility for any injury to people or property resulting from any ideas, methods, instructions or products referred to in the content. |
© 2023 by the authors. Licensee MDPI, Basel, Switzerland. This article is an open access article distributed under the terms and conditions of the Creative Commons Attribution (CC BY) license (https://creativecommons.org/licenses/by/4.0/).
Share and Cite
Dakhlaoui, I.; Bernard, P.J.; Pietrzak, D.; Simakov, A.; Maj, M.; Refouvelet, B.; Béduneau, A.; Cornu, R.; Jozwiak, K.; Chabchoub, F.; et al. Exploring the Potential of Sulfonamide-Dihydropyridine Hybrids as Multitargeted Ligands for Alzheimer’s Disease Treatment. Int. J. Mol. Sci. 2023, 24, 9742. https://doi.org/10.3390/ijms24119742
Dakhlaoui I, Bernard PJ, Pietrzak D, Simakov A, Maj M, Refouvelet B, Béduneau A, Cornu R, Jozwiak K, Chabchoub F, et al. Exploring the Potential of Sulfonamide-Dihydropyridine Hybrids as Multitargeted Ligands for Alzheimer’s Disease Treatment. International Journal of Molecular Sciences. 2023; 24(11):9742. https://doi.org/10.3390/ijms24119742
Chicago/Turabian StyleDakhlaoui, Imen, Paul J. Bernard, Diana Pietrzak, Alexey Simakov, Maciej Maj, Bernard Refouvelet, Arnaud Béduneau, Raphaël Cornu, Krzysztof Jozwiak, Fakher Chabchoub, and et al. 2023. "Exploring the Potential of Sulfonamide-Dihydropyridine Hybrids as Multitargeted Ligands for Alzheimer’s Disease Treatment" International Journal of Molecular Sciences 24, no. 11: 9742. https://doi.org/10.3390/ijms24119742
APA StyleDakhlaoui, I., Bernard, P. J., Pietrzak, D., Simakov, A., Maj, M., Refouvelet, B., Béduneau, A., Cornu, R., Jozwiak, K., Chabchoub, F., Iriepa, I., Martin, H., Marco-Contelles, J., & Ismaili, L. (2023). Exploring the Potential of Sulfonamide-Dihydropyridine Hybrids as Multitargeted Ligands for Alzheimer’s Disease Treatment. International Journal of Molecular Sciences, 24(11), 9742. https://doi.org/10.3390/ijms24119742

