Parthenolide Induces ROS-Mediated Apoptosis in Lymphoid Malignancies
Abstract
1. Introduction
2. Results
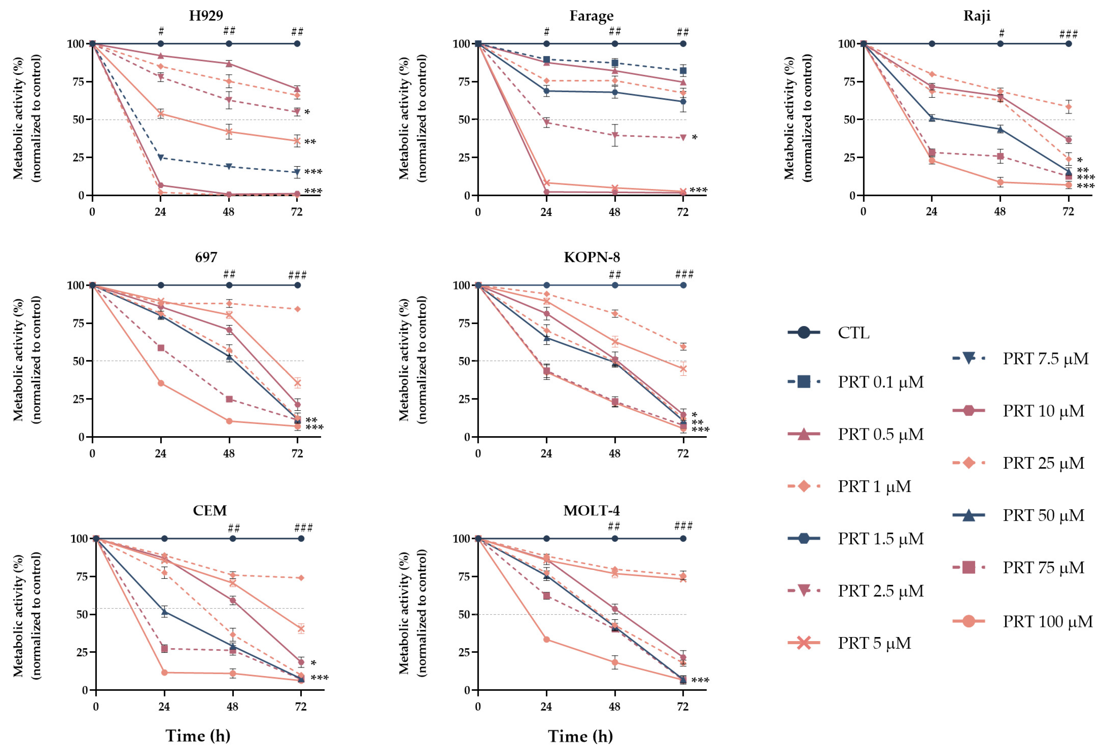
2.1. Parthenolide Induces a Dose-, Time-, and Cell Line-Dependent Reduction on Lymphoid Neoplastic Cell Line Metabolic Activity
2.2. Parthenolide Does Not Induce Cell Cycle Arrest in Lymphoid Neoplastic Cell Lines
2.3. Parthenolide Induces Caspase-Mediated Cellular Apoptosis in All Lymphoid Neoplastic Cell Lines
2.4. Parthenolide Induces Oxidative Stress Imbalance in Lymphoid Malignancies
2.5. pNF-κB Suppression by Parthenolide Is Dose- and Cell Line-Dependent
2.6. Parthenolide Modulates Gene Expression Levels
3. Discussion
4. Materials and Methods
4.1. Cell Lines and Culture Conditions
4.2. Metabolic Activity Assay
4.3. Cell Cycle Analysis
4.4. Assessment of Cell Death
4.4.1. Annexin V and 7-Aminoactinomycin D Double Staining
4.4.2. Morphological Analysis
4.4.3. Expression of Apoptosis-Related Proteins using Flow Cytometry
4.4.4. Mitochondrial Membrane Potential Assessment
4.5. Oxidative Stress Evaluation/Reactive Oxygen Species Detection
4.6. pNF-κB Expression by Flow Cytometry
4.7. Gene Expression Analysis
4.8. Statistical Analysis
5. Conclusions
Author Contributions
Funding
Institutional Review Board Statement
Informed Consent Statement
Data Availability Statement
Conflicts of Interest
References
- Pla, C.; Solans, M.; Ameijide, A.; Sanvisens, A.; Carulla, M.; Rojas, M.D.; Alemán, M.A.; Sáez-Lloret, I.; Díaz-del-Campo, C.; Marcos-Navarro, A.I.; et al. Incidence and survival of lymphoid neoplasms in Spain, 2002–2013: A population-based study from the Spanish Network of Cancer Registries (REDECAN). Front. Oncol. 2022, 12, 6386. [Google Scholar] [CrossRef] [PubMed]
- Alaggio, R.; Amador, C.; Anagnostopoulos, I.; Attygalle, A.D.; Araujo, I.B.d.O.; Berti, E.; Bhagat, G.; Borges, A.M.; Boyer, D.; Calaminici, M.; et al. The 5th edition of the World Health Organization Classification of Haematolymphoid Tumours: Lymphoid Neoplasms. Leukemia 2022, 36, 1720–1748. [Google Scholar] [CrossRef]
- Chaganti, S.; Illidge, T.; Barrington, S.; Mckay, P.; Linton, K.; Cwynarski, K.; McMillan, A.; Davies, A.; Stern, S.; Peggs, K.; et al. Guidelines for the management of diffuse large B-cell lymphoma. Br. J. Haematol. 2016, 174, 43–56. [Google Scholar] [CrossRef] [PubMed]
- Chang, J.H.-C.; Poppe, M.M.; Hua, C.-H.; Marcus, K.J.; Esiashvili, N. Acute lymphoblastic leukemia. Pediatr. Blood Cancer 2021, 68, e28371. [Google Scholar] [CrossRef]
- Ghandili, S.; Weisel, K.C.; Bokemeyer, C.; Leypoldt, L.B. Current Treatment Approaches to Newly Diagnosed Multiple Myeloma. Oncol. Res. Treat. 2021, 44, 690–699. [Google Scholar] [CrossRef] [PubMed]
- Yu, H.; Lin, L.; Zhang, Z.; Zhang, H.; Hu, H. Targeting NF-κB pathway for the therapy of diseases: Mechanism and clinical study. Signal Transduct. Target. Ther. 2020, 5, 209. [Google Scholar] [CrossRef]
- Kaileh, M.; Sen, R. NF-κB function in B lymphocytes. Immunol. Rev. 2012, 246, 254–271. [Google Scholar] [CrossRef]
- Visekruna, A.; Volkov, A.; Steinhoff, U. A Key Role for NF-κB Transcription Factor c-Rel in T-Lymphocyte-Differentiation and Effector Functions. Clin. Dev. Immunol. 2012, 2012, 239368. [Google Scholar] [CrossRef]
- Grondona, P.; Bucher, P.; Schulze-Osthoff, K.; Hailfinger, S.; Schmitt, A. NF-κB Activation in Lymphoid Malignancies: Genetics, Signaling, and Targeted Therapy. Biomedicines 2018, 6, 38. [Google Scholar] [CrossRef]
- LoBianco, F.V.; Krager, K.J.; Johnson, E.; Godwin, C.O.; Allen, A.R.; Crooks, P.A.; Compadre, C.M.; Borrelli, M.J.; Aykin-Burns, N. Parthenolide induces rapid thiol oxidation that leads to ferroptosis in hepatocellular carcinoma cells. Front. Toxicol. 2022, 4, 936149. [Google Scholar] [CrossRef]
- Liu, X.; Gao, Z.; Wang, X.; Shen, Y. Parthenolide targets NF-κB (P50) to inhibit HIF-1α-mediated metabolic reprogramming of HCC. Aging 2022, 14, 8346–8356. [Google Scholar] [CrossRef] [PubMed]
- Sufian, H.B.; Santos, J.M.; Khan, Z.S.; Halim, S.A.; Khan, A.; Munir, M.T.; Zahid, M.D.K.; Al-Harrasi, A.; Gollahon, L.S.; Hussain, F.; et al. Parthenolide reverses the epithelial to mesenchymal transition process in breast cancer by targeting TGFbeta1: In vitro and in silico studies. Life Sci. 2022, 301, 120610. [Google Scholar] [CrossRef]
- Berdan, C.A.; Ho, R.; Lehtola, H.S.; To, M.; Hu, X.; Huffman, T.R.; Petri, Y.; Altobelli, C.R.; Demeulenaere, S.G.; Olzmann, J.A.; et al. Parthenolide Covalently Targets and Inhibits Focal Adhesion Kinase in Breast Cancer Cells. Cell Chem. Biol. 2019, 26, 1027–1035.e1022. [Google Scholar] [CrossRef]
- Darwish, N.H.E.; Sudha, T.; Godugu, K.; Bharali, D.J.; Elbaz, O.; El-ghaffar, H.A.A.; Azmy, E.; Anber, N.; Mousa, S.A. Novel Targeted Nano-Parthenolide Molecule against NF-kB in Acute Myeloid Leukemia. Molecules 2019, 24, 2103. [Google Scholar] [CrossRef] [PubMed]
- Yi, J.; Wang, L.; Wang, X.-Y.; Sun, J.; Yin, X.-Y.; Hou, J.-X.; Chen, J.; Xie, B.; Wei, H.-L. Suppression Of Aberrant Activation Of NF-κB Pathway In Drug-resistant Leukemia Stem Cells Contributes To Parthenolide-potentiated Reversal Of Drug Resistance In Leukemia. J. Cancer 2021, 12, 5519–5529. [Google Scholar] [CrossRef]
- Li, X.; Payne, D.T.; Ampolu, B.; Bland, N.; Brown, J.T.; Dutton, M.J.; Fitton, C.A.; Gulliver, A.; Hale, L.; Hamza, D.; et al. Derivatisation of parthenolide to address chemoresistant chronic lymphocytic leukaemia. MedChemComm 2019, 10, 1379–1390. [Google Scholar] [CrossRef] [PubMed]
- Freund, R.R.A.; Gobrecht, P.; Fischer, D.; Arndt, H.-D. Advances in chemistry and bioactivity of parthenolide. Nat. Prod. Rep. 2020, 37, 541–565. [Google Scholar] [CrossRef]
- Kwok, B.H.B.; Koh, B.; Ndubuisi, M.I.; Elofsson, M.; Crews, C.M. The anti-inflammatory natural product parthenolide from the medicinal herb Feverfew directly binds to and inhibits IκB kinase. Chem. Biol. 2001, 8, 759–766. [Google Scholar] [CrossRef] [PubMed]
- García-Piñeres, A.J.; Lindenmeyer, M.T.; Merfort, I. Role of cysteine residues of p65/NF-κB on the inhibition by the sesquiterpene lactone parthenolide and N-ethyl maleimide, and on its transactivating potential. Life Sci. 2004, 75, 841–856. [Google Scholar] [CrossRef]
- Sun, L.; Yuan, W.; Wen, G.; Yu, B.; Xu, F.; Gan, X.; Tang, J.; Zeng, Q.; Zhu, L.; Chen, C.; et al. Parthenolide inhibits human lung cancer cell growth by modulating the IGF-1R/PI3K/Akt signaling pathway. Oncol. Rep. 2020, 44, 1184–1193. [Google Scholar] [CrossRef]
- Lin, M.; Bi, H.; Yan, Y.; Huang, W.; Zhang, G.; Zhang, G.; Tang, S.; Liu, Y.; Zhang, L.; Ma, J.; et al. Parthenolide suppresses non-small cell lung cancer GLC-82 cells growth via B-Raf/MAPK/Erk pathway. Oncotarget 2017, 8, 23436. [Google Scholar] [CrossRef] [PubMed]
- Guzman, M.L.; Rossi, R.M.; Karnischky, L.; Li, X.; Peterson, D.R.; Howard, D.S.; Jordan, C.T. The sesquiterpene lactone parthenolide induces apoptosis of human acute myelogenous leukemia stem and progenitor cells. Blood 2005, 105, 4163–4169. [Google Scholar] [CrossRef] [PubMed]
- Sun, Y.; St. Clair, D.K.; Xu, Y.; Crooks, P.A.; St. Clair, W.H. A NADPH Oxidase–Dependent Redox Signaling Pathway Mediates the Selective Radiosensitization Effect of Parthenolide in Prostate Cancer Cells. Cancer Res. 2010, 70, 2880–2890. [Google Scholar] [CrossRef] [PubMed]
- Gunn, E.J.; Williams, J.T.; Huynh, D.T.; Iannotti, M.J.; Han, C.; Barrios, F.J.; Kendall, S.; Glackin, C.A.; Colby, D.A.; Kirshner, J. The natural products parthenolide and andrographolide exhibit anticancer stem cell activity in multiple myeloma. Leuk. Lymphoma 2011, 52, 1085–1097. [Google Scholar] [CrossRef]
- Benjamin, C.E.; Rafal, R.A.; John, P.M.; Paraskevi, D.; Allison, B. Investigating chemoresistance to improve sensitivity of childhood T-cell acute lymphoblastic leukemia to parthenolide. Haematologica 2018, 103, 1493–1501. [Google Scholar] [CrossRef]
- Cui, M.; Wang, Z.; Huang, L.-T.; Wang, J.-H. Parthenolide leads to proteomic differences in thyroid cancer cells and promotes apoptosis. BMC Complement. Med. Ther. 2022, 22, 99. [Google Scholar] [CrossRef]
- Wen, J.; You, K.-R.; Lee, S.-Y.; Song, C.-H.; Kim, D.-G. Oxidative Stress-mediated Apoptosis: The anticancer effect of the sesquiterpene lactone parthenolide*. J. Biol. Chem. 2002, 277, 38954–38964. [Google Scholar] [CrossRef]
- D’Anneo, A.; Carlisi, D.; Lauricella, M.; Puleio, R.; Martinez, R.; Di Bella, S.; Di Marco, P.; Emanuele, S.; Di Fiore, R.; Guercio, A.; et al. Parthenolide generates reactive oxygen species and autophagy in MDA-MB231 cells. A soluble parthenolide analogue inhibits tumour growth and metastasis in a xenograft model of breast cancer. Cell Death Dis. 2013, 4, e891. [Google Scholar] [CrossRef]
- Liu, W.; Wang, X.; Sun, J.; Yang, Y.; Li, W.; Song, J. Parthenolide suppresses pancreatic cell growth by autophagy-mediated apoptosis. Onco Targets Therapy 2017, 10, 453–461. [Google Scholar] [CrossRef]
- Cippitelli, M.; Stabile, H.; Kosta, A.; Petillo, S.; Lucantonio, L.; Gismondi, A.; Santoni, A.; Fionda, C. Role of NF-κB Signaling in the Interplay between Multiple Myeloma and Mesenchymal Stromal Cells. Int. J. Mol. Sci. 2023, 24, 1823. [Google Scholar]
- Kong, F.; Chen, Z.; Li, Q.; Tian, X.; Zhao, J.; Yu, K.; You, Y.; Zou, P. Inhibitory effects of parthenolide on the angiogenesis induced by human multiple myeloma cells and the mechanism. J. Huazhong Univ. Sci. Technol. [Med. Sci.] 2008, 28, 525–530. [Google Scholar] [CrossRef] [PubMed]
- Yeo, A.T.; Porco, J.A.; Gilmore, T.D. Bcl-XL, but not Bcl-2, can protect human B-lymphoma cell lines from parthenolide-induced apoptosis. Cancer Lett. 2012, 318, 53–60. [Google Scholar] [CrossRef] [PubMed]
- Compagno, M.; Lim, W.K.; Grunn, A.; Nandula, S.V.; Brahmachary, M.; Shen, Q.; Bertoni, F.; Ponzoni, M.; Scandurra, M.; Califano, A.; et al. Mutations of multiple genes cause deregulation of NF-κB in diffuse large B-cell lymphoma. Nature 2009, 459, 717–721. [Google Scholar] [CrossRef] [PubMed]
- Zunino, S.J.; Storms, D.H.; Ducore, J.M. Parthenolide treatment activates stress signaling proteins in high-risk acute lymphoblastic leukemia cells with chromosomal translocation t(4;11). Int. J. Oncol. 2010, 37, 1307–1313. [Google Scholar] [CrossRef] [PubMed]
- Diamanti, P.; Cox, C.V.; Moppett, J.P.; Blair, A. Parthenolide eliminates leukemia-initiating cell populations and improves survival in xenografts of childhood acute lymphoblastic leukemia. Blood 2013, 121, 1384–1393. [Google Scholar] [CrossRef]
- Alves, R.; Gonçalves, A.C.; Jorge, J.; Almeida, A.M.; Sarmento-Ribeiro, A.B. Combination of Elacridar with Imatinib Modulates Resistance Associated with Drug Efflux Transporters in Chronic Myeloid Leukemia. Biomedicines 2022, 10, 1158. [Google Scholar] [CrossRef]
- Lapa, B.; Gonçalves, A.C.; Jorge, J.; Alves, R.; Pires, A.S.; Abrantes, A.M.; Coucelo, M.; Abrunhosa, A.; Botelho, M.F.; Nascimento-Costa, J.M.; et al. Acute myeloid leukemia sensitivity to metabolic inhibitors: Glycolysis showed to be a better therapeutic target. Med. Oncol. 2020, 37, 72. [Google Scholar] [CrossRef]
- Jorge, J.; Magalhães, N.; Alves, R.; Lapa, B.; Gonçalves, A.C.; Sarmento-Ribeiro, A.B. Antitumor Effect of Brusatol in Acute Lymphoblastic Leukemia Models Is Triggered by Reactive Oxygen Species Accumulation. Biomedicines 2022, 10, 2207. [Google Scholar] [CrossRef]
- Jorge, J.; Petronilho, S.; Alves, R.; Coucelo, M.; Gonçalves, A.C.; Nascimento Costa, J.M.; Sarmento-Ribeiro, A.B. Apoptosis induction and cell cycle arrest of pladienolide B in erythroleukemia cell lines. Investig. New Drugs 2020, 38, 369–377. [Google Scholar] [CrossRef]





| G0/G1 (%) | S (%) | G2/M (%) | ||
|---|---|---|---|---|
| H929 (MM) | Control | 54.4 ± 0.9 | 40.4 ± 1.4 | 5.2 ± 1.2 |
| PRT 1 µM | 54.0 ± 1.2 | 40.4 ± 2.3 | 5.6 ± 1.3 | |
| PRT 5 µM | 54.0 ± 1.1 | 37.0 ± 1.0 | 9.0 ± 0.7 | |
| Farage (DLBCL) | Control | 51.8 ± 1.7 | 37.6 ± 2.0 | 10.6 ± 0.5 |
| PRT 1 µM | 51.6 ± 1.2 | 38.6 ± 1.2 | 9.8 ± 0.3 | |
| PRT 1.5 µM | 52.2 ± 1.5 | 37.2 ± 1.6 | 10.6 ± 0.5 | |
| Raji (BL) | Control | 45.7 ± 1.7 | 42.3 ± 2.0 | 12.0 ± 1.2 |
| PRT 1 µM | 47.7 ± 2.2 | 46.0 ± 0.7 | 9.7 ± 0.8 | |
| PRT 10 µM | 37.7 ± 1.8 * | 41.7 ± 0.3 | 20.7 ± 1.7 ** | |
| 697 (B-ALL) | Control | 68.7 ± 5.5 | 19.7 ± 6.9 | 11.7 ± 2.9 |
| PRT 1 µM | 72.7 ± 2.3 | 19.7 ± 6.0 | 7.7 ± 3.7 | |
| PRT 2.5 µM | 72.3 ± 1.3 | 19.0 ± 5.5 | 8.7 ± 4.2 | |
| KOPN-8 (B-ALL) | Control | 69.0 ± 4.4 | 23.0 ± 4.4 | 8.0 ± 1.0 |
| PRT 1 µM | 74.7 ± 2.9 | 18.3 ± 2.8 | 7.0 ± 1.5 | |
| PRT 2.5 µM | 77.7 ± 1.2 ** | 14.0 ± 1.5 | 8.3 ± 0.9 | |
| CEM (T-ALL) | Control | 53.7 ± 2.3 | 35.0 ± 2.9 | 11.3 ± 2.3 |
| PRT 1 µM | 51.3 ± 2.4 | 35.3 ± 2.9 | 13.3 ± 1.7 | |
| PRT 5 µM | 43.7 ± 5.5 | 41.0 ± 4.3 | 15.3 ± 1.3 | |
| MOLT-4 (T-ALL) | Control | 59.3 ± 0.3 | 35.3 ± 0.8 | 3.3 ± 1.3 |
| PRT 1 µM | 56.3 ± 2.6 | 37.3 ± 1.3 | 3.7 ± 0.7 | |
| PRT 7.5 µM | 44.7 ±0.7 ** | 42.0 ± 0.6 ** | 13.7 ± 0.8 *** |
| Peroxides (DCFH2-DA MFI) | Superoxide Anion (DHE MFI) | Reduced Glutathione (MO MFI) | ||
|---|---|---|---|---|
| H929 (MM) | Control | 100.0 ± 0.0 | 100.0 ± 0.0 | 100.0 ± 0.0 |
| PRT 1 µM | 112.5 ± 9.4 | 134.3 ± 11.6 | 80.3 ± 4.8 | |
| PRT 5 µM | 139.9 ± 20.5 | 131.5 ± 15.0 | 74.4 ± 3.1 * | |
| Farage (DLBCL) | Control | 100.0 ± 0.0 | 100.0 ± 0.0 | 100.0 ± 0.0 |
| PRT 1 µM | 83.9 ± 9.2 | 114.8 ± 7.7 | 78.7 ± 2.7 ** | |
| PRT 1.5 µM | 105.1 ± 12.7 | 123.0 ± 7.6 | 80.0 ± 6.3 * | |
| Raji (BL) | Control | 100.0 ± 0.0 | 100.0 ± 0.0 | 100.0 ± 0.0 |
| PRT 1 µM | 101.5 ± 3.6 | 105.3 ± 2.8 | 69.2 ± 7.3 *** | |
| PRT 10 µM | 107.6 ± 1.6 * | 133.0 ± 9.9 * | 23.7 ± 1.4 *** | |
| 697 (B-ALL) | Control | 100.0 ± 0.0 | 100.0 ± 0.0 | 100.0 ± 0.0 |
| PRT 1 µM | 107.2 ± 1.9 | 104.7 ± 1.3 | 84.5 ± 8.5 | |
| PRT 2.5 µM | 142.7 ± 18.4 * | 112.3 ± 3.4 ** | 74.2 ± 5.0 * | |
| KOPN-8 (B-ALL) | Control | 100.0 ± 0.0 | 100.0 ± 0.0 | 100.0 ± 0.0 |
| PRT 1 µM | 109.4 ± 2.3 | 123.1 ± 7.9 | 97.0 ± 2.4 | |
| PRT 2.5 µM | 125.5 ± 7.4 ** | 148.3 ± 17.8 * | 71.1 ± 5.6 *** | |
| CEM (T-ALL) | Control | 100.0 ± 0.0 | 100.0 ± 0.0 | 100.0 ± 0.0 |
| PRT 1 µM | 105.6 ± 2.5 * | 103.4 ± 1.3 | 90.4 ± 3.4 | |
| PRT 5 µM | 117.1 ± 1.4 *** | 112.4 ± 1.4 *** | 75.3 ± 4.9 *** | |
| MOLT-4 (T-AL0 /2L) | Control | 100.0 ± 0.0 | 100.0 ± 0.0 | 100.0 ± 0.0 |
| PRT 1 µM | 120.8 ± 10.9 | 104.5 ± 2.4 | 68.4 ± 6.6 ** | |
| PRT 7.5 µM | 170.9 ± 11.8 *** | 139.6 ± 7.3 *** | 52.3 ± 9.3 *** |
Disclaimer/Publisher’s Note: The statements, opinions and data contained in all publications are solely those of the individual author(s) and contributor(s) and not of MDPI and/or the editor(s). MDPI and/or the editor(s) disclaim responsibility for any injury to people or property resulting from any ideas, methods, instructions or products referred to in the content. |
© 2023 by the authors. Licensee MDPI, Basel, Switzerland. This article is an open access article distributed under the terms and conditions of the Creative Commons Attribution (CC BY) license (https://creativecommons.org/licenses/by/4.0/).
Share and Cite
Jorge, J.; Neves, J.; Alves, R.; Geraldes, C.; Gonçalves, A.C.; Sarmento-Ribeiro, A.B. Parthenolide Induces ROS-Mediated Apoptosis in Lymphoid Malignancies. Int. J. Mol. Sci. 2023, 24, 9167. https://doi.org/10.3390/ijms24119167
Jorge J, Neves J, Alves R, Geraldes C, Gonçalves AC, Sarmento-Ribeiro AB. Parthenolide Induces ROS-Mediated Apoptosis in Lymphoid Malignancies. International Journal of Molecular Sciences. 2023; 24(11):9167. https://doi.org/10.3390/ijms24119167
Chicago/Turabian StyleJorge, Joana, Joana Neves, Raquel Alves, Catarina Geraldes, Ana Cristina Gonçalves, and Ana Bela Sarmento-Ribeiro. 2023. "Parthenolide Induces ROS-Mediated Apoptosis in Lymphoid Malignancies" International Journal of Molecular Sciences 24, no. 11: 9167. https://doi.org/10.3390/ijms24119167
APA StyleJorge, J., Neves, J., Alves, R., Geraldes, C., Gonçalves, A. C., & Sarmento-Ribeiro, A. B. (2023). Parthenolide Induces ROS-Mediated Apoptosis in Lymphoid Malignancies. International Journal of Molecular Sciences, 24(11), 9167. https://doi.org/10.3390/ijms24119167

