The Effect of Ethanol Treatment on the Quality of a New Table Grape Cultivar It 681–30 Stored at Low Temperature and after a 7-Day Shelf-Life Period at 20 °C: A Molecular Approach
Abstract
:1. Introduction
2. Results and Discussion
2.1. The Effect of an Ethanol Treatment on Quality of It 681–30 Bunches Stored at Low Temperature and during the Shelf-Life Period at 20 °C
2.2. The Effect of Storage at 0 °C and the Shelf-Life Period at 20 °C on the Phenylpropanoid Gene Expression in the Skin of Non-Treated and Ethanol-Treated It 681–30 Table Grapes
2.2.1. Expression of VviPAL, VviCHS, and VviSTS7
2.2.2. Expression of VviMYB13, VviMYB14, and VviMYB137
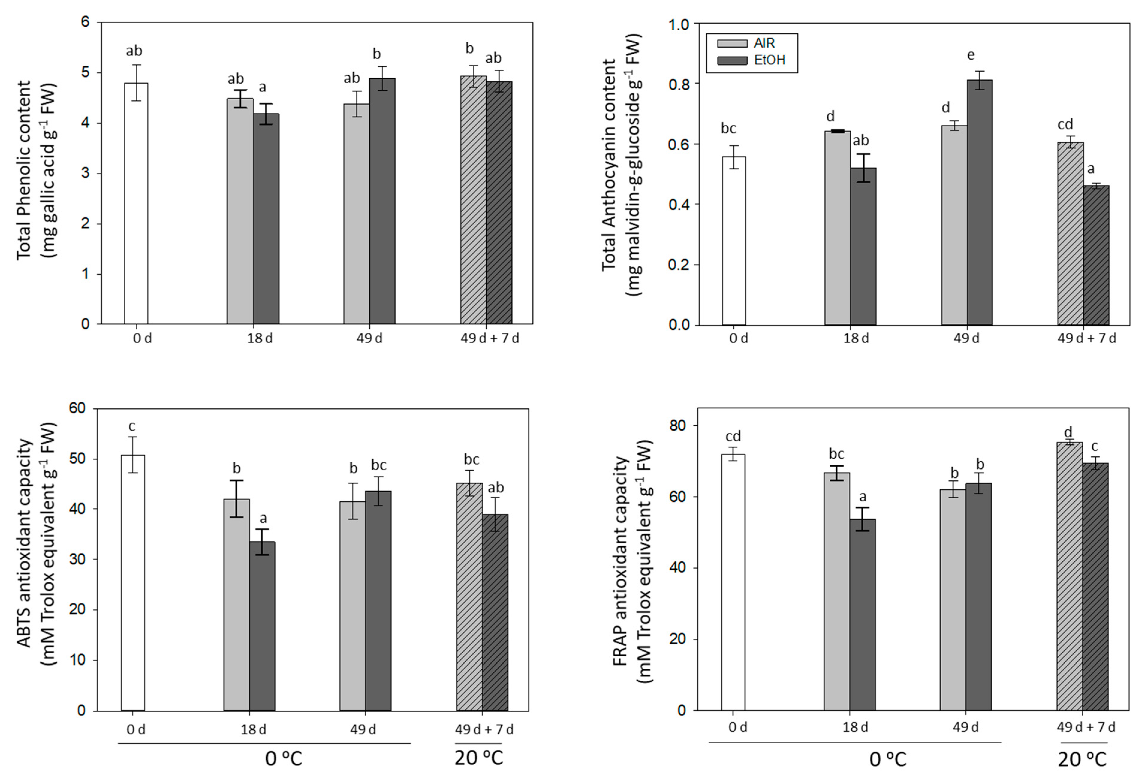
2.3. The Effect of Storage at 0 °C and the Shelf-Life Period at 20 °C on the Total Phenolic and Anthocyanin Content and the Antioxidant Capacity in the Skin of Non-Treated and Ethanol-Treated It 681–30 Table Grapes
2.4. The Effect of Storage at 0 °C and the Shelf-Life Period at 20 °C on PRs Gene Expression in the Skin and Pulp of Non-Treated and Ethanol-Treated It 681–30 Table Grapes
2.5. The Effect of Storage at 0 °C and the Shelf-Life Period at 20 °C on Aquaporins Gene Expression in the Skin and Pulp of Non-Treated and Ethanol-Treated It 681–30 Table Grapes
3. Material and Methods
3.1. Plant Material and Storage Conditions
3.2. Quality Assessments
3.3. Relative Gene Expression by Quantitative Real-Time RT-PCR (RT-qPCR)
3.4. Analysis of Total Anthocyanin Content
3.5. Analysis of Total Phenolic Content by Folin-Ciocalteu Method
3.6. Antioxidant Activities Measured by 2,2-Azino-Bis-3-Ethylbenzothiazoline-6-Sulfonic Acid (ABTS) and Ferric Reducing Antioxidant Power (FRAP) Methods
3.7. Statistical Analysis
4. Conclusions
Supplementary Materials
Author Contributions
Funding
Institutional Review Board Statement
Informed Consent Statement
Data Availability Statement
Conflicts of Interest
References
- Romero, I.; Vazquez-Hernandez, M.; Maestro-Gaitan, I.; Escribano, M.I.; Merodio, C.; Sanchez-Ballesta, M.T. Table Grapes during Postharvest Storage: A Review of the Mechanisms Implicated in the Beneficial Effects of Treatments Applied for Quality Retention. Int. J. Mol. Sci. 2020, 21, 9320. [Google Scholar] [CrossRef] [PubMed]
- Artés-Hernández, F.; Aguayo, E.; Artés, F. Alternative atmosphere treatments for keeping quality of ‘Autumn seedless’ table grapes during long-term cold storage. Postharvest Biol. Technol. 2004, 31, 59–67. [Google Scholar] [CrossRef]
- Sanchez-Ballesta, M.T.; Jiménez, J.B.; Romero, I.; Orea, J.M.; Maldonado, R.; Ureña, G.; Escribano, M.I.; Merodio, C. Effect of high CO2 pretreatment on quality, fungal decay and molecular regulation of stilbene phytoalexin biosynthesis in stored table grapes. Postharvest Biol. Technol. 2006, 42, 209–216. [Google Scholar] [CrossRef]
- Chen, X.; Zhu, Z.; Zhang, X.; Antoce, A.O.; Mu, W. Modeling the Microbiological Shelf Life of Table Grapes and Evaluating the Effects of Constant Concentrations of Sulfur Dioxide. J. Food Process. Preserv. 2016, 41, e13058. [Google Scholar] [CrossRef]
- Wu, Z.; Yuan, X.; Li, H.; Liu, F.; Wang, Y.; Li, J.; Cai, H.; Wang, Y. Heat acclimation reduces postharvest loss of table grapes during cold storage—Analysis of possible mechanisms involved through a proteomic approach. Postharvest Biol. Technol. 2015, 105, 26–33. [Google Scholar] [CrossRef]
- Lu, S.L.; Yang, X.Z.; Li, X.H.; Shen, L.M.; Ma, H.Y. Effect of Sulfur Dioxide Treatment on Storage Quality and SO2 Residue of Victoria Grape. Adv. Mater. Res. 2013, 798–799, 1033–1036. [Google Scholar] [CrossRef]
- Ni, Z.-J.; Hu, K.-D.; Song, C.-B.; Ma, R.-H.; Li, Z.-R.; Zheng, J.-L.; Fu, L.-H.; Wei, Z.-J.; Zhang, H. Hydrogen Sulfide Alleviates Postharvest Senescence of Grape by Modulating the Antioxidant Defenses. Oxidative Med. Cell. Longev. 2016, 2016, 1–14. [Google Scholar] [CrossRef] [PubMed] [Green Version]
- Maoz, I.; De Rosso, M.; Kaplunov, T.; Vedova, A.D.; Sela, N.; Flamini, R.; Lewinsohn, E.; Lichter, A. Metabolomic and transcriptomic changes underlying cold and anaerobic stresses after storage of table grapes. Sci. Rep. 2019, 9, 1–14. [Google Scholar] [CrossRef] [Green Version]
- Dao, T.; Dantigny, P. Control of food spoilage fungi by ethanol. Food Control. 2011, 22, 360–368. [Google Scholar] [CrossRef]
- Pesis, E. The role of the anaerobic metabolites, acetaldehyde and ethanol, in fruit ripening, enhancement of fruit quality and fruit deterioration. Postharvest Biol. Technol. 2005, 37, 1–19. [Google Scholar] [CrossRef]
- Mori, T.; Terai, H.; Yamauchi, N.; Suzuki, Y. Effects of postharvest ethanol vapor treatment on the ascorbate–glutathione cycle in broccoli florets. Postharvest Biol. Technol. 2009, 52, 134–136. [Google Scholar] [CrossRef]
- Gutiérrez-Martínez, P.; Osuna-López, S.; Calderón-Santoyo, M.; Cruz-Hernández, A.; Bautista-Baños, S. Influence of ethanol and heat on disease control and quality in stored mango fruits. LWT 2012, 45, 20–27. [Google Scholar] [CrossRef]
- Ponzo, F.S.; Benato, E.A.; Da Silva, B.M.P.; Cia, P. Ethanol on the postharvest control of anthracnose in ‘Kumagai’ guava. Bragantia 2017, 77, 160–167. [Google Scholar] [CrossRef] [Green Version]
- Ji, Y.; Hu, W.; Jiang, A.; Xiu, Z.; Liao, J.; Yang, X.; Guan, Y.; Saren, G.; Feng, K. Effect of ethanol treatment on the quality and volatiles production of blueberries after harvest. J. Sci. Food Agric. 2019, 99, 6296–6306. [Google Scholar] [CrossRef]
- Karabulut, O.A.; Gabler, F.M.; Mansour, M.; Smilanick, J.L. Postharvest ethanol and hot water treatments of table grapes to control gray mold. Postharvest Biol. Technol. 2004, 34, 169–177. [Google Scholar] [CrossRef]
- Chervin, C.; Westercamp, P.; Monteils, G. Ethanol vapours limit Botrytis development over the postharvest life of table grapes. Postharvest Biol. Technol. 2005, 36, 319–322. [Google Scholar] [CrossRef] [Green Version]
- Lurie, S.; Pesis, E.; Gadiyeva, O.; Feygenberg, O.; Ben-Arie, R.; Kaplunov, T.; Zutahy, Y.; Lichter, A. Modified ethanol atmosphere to control decay of table grapes during storage. Postharvest Biol. Technol. 2006, 42, 222–227. [Google Scholar] [CrossRef]
- Candir, E.; Ozdemir, A.E.; Kamiloglu, O.; Soylu, E.M.; Dilbaz, R.; Ustun, D. Modified atmosphere packaging and ethanol vapor to control decay of ‘Red Globe’ table grapes during storage. Postharvest Biol. Technol. 2012, 63, 98–106. [Google Scholar] [CrossRef]
- Ustun, D.; Candir, E.; Ozdemir, A.E.; Kamiloglu, O.; Soylu, E.M.; Dilbaz, R. Effects of modified atmosphere packaging and ethanol vapor treatment on the chemical composition of ‘Red Globe’ table grapes during storage. Postharvest Biol. Technol. 2012, 68, 8–15. [Google Scholar] [CrossRef]
- Sharma, A.; Shahzad, B.; Rehman, A.; Bhardwaj, R.; Landi, M.; Zheng, B. Response of Phenylpropanoid Pathway and the Role of Polyphenols in Plants under Abiotic Stress. Molecules 2019, 24, 2452. [Google Scholar] [CrossRef] [PubMed] [Green Version]
- Yadav, V.; Wang, Z.; Wei, C.; Amo, A.; Ahmed, B.; Yang, X.; Zhang, X. Phenylpropanoid Pathway Engineering: An Emerging Approach towards Plant Defense. Pathogens 2020, 9, 312. [Google Scholar] [CrossRef] [Green Version]
- Romero, I.; Domínguez, I.; Morales-Diaz, N.; Escribano, M.I.; Merodio, C.; Sanchez-Ballesta, M.T. Regulation of flavonoid biosynthesis pathway by a single or dual short-term CO2 treatment in black table grapes stored at low temperature. Plant Physiol. Biochem. 2020, 156, 30–38. [Google Scholar] [CrossRef]
- Sanchez-Ballesta, M.T.; Alvarez, I.; Escribano, M.I.; Merodio, C.; Romero, I. Effect of high CO2 levels and low temperature on stilbene biosynthesis pathway gene expression and stilbenes production in white, red and black table grape cultivars during postharvest storage. Plant Physiol. Biochem. 2020, 151, 334–341. [Google Scholar] [CrossRef]
- Duarte-Sierra, A.; Aispuro-Hernandez, E.; Vargas-Arispuro, I.; Islas-Osuna, M.A.; González-Aguilar, G.A.; Martinez-Tellez, M.A. Quality and PR gene expression of table grapes treated with ozone and sulfur dioxide to control fungal decay. J. Sci. Food Agric. 2015, 96, 2018–2024. [Google Scholar] [CrossRef] [PubMed]
- Romero, I.; Fernandez-Caballero, C.; Goñi, O.; Escribano, M.I.; Merodio, C.; Sanchez-Ballesta, M.T. Functionality of a class I beta-1,3-glucanase from skin of table grapes berries. Plant Sci. 2008, 174, 641–648. [Google Scholar] [CrossRef]
- Fernandez-Caballero, C.; Romero, I.; Goñi, O.; Escribano, M.I.; Merodio, C.; Sanchez-Ballesta, M.T. Characterization of an Antifungal and Cryoprotective Class I Chitinase from Table Grape Berries (Vitis vinifera Cv. Cardinal). J. Agric. Food Chem. 2009, 57, 8893–8900. [Google Scholar] [CrossRef] [PubMed]
- Dhekney, S.A.; Li, Z.T.; Gray, D.J. Grapevines engineered to express cisgenic Vitis vinifera thaumatin-like protein exhibit fungal disease resistance. Vitr. Cell. Dev. Biol. 2011, 47, 458–466. [Google Scholar] [CrossRef]
- Nookaraju, A.; Agrawal, D.C. Enhanced tolerance of transgenic grapevines expressing chitinase and β-1,3-glucanase genes to downy mildew. Plant Cell Tissue Organ Cult. (PCTOC) 2012, 111, 15–28. [Google Scholar] [CrossRef]
- Maurel, C.; Verdoucq, L.; Luu, D.-T.; Santoni, V. Plant Aquaporins: Membrane Channels with Multiple Integrated Functions. Annu. Rev. Plant Biol. 2008, 59, 595–624. [Google Scholar] [CrossRef] [Green Version]
- Grimplet, J.; Deluc, L.G.; Tillett, R.L.; Wheatley, M.D.; Schlauch, K.A.; Cramer, G.R.; Cushman, J.C. Tissue-specific mRNA expression profiling in grape berry tissues. BMC Genom. 2007, 8, 187. [Google Scholar] [CrossRef] [Green Version]
- Jang, J.Y.; Kim, D.G.; Kim, Y.O.; Kim, J.S.; Kang, H. An Expression Analysis of a Gene Family Encoding Plasma Membrane Aquaporins in Response to Abiotic Stresses in Arabidopsis thaliana. Plant Mol. Biol. 2004, 54, 713–725. [Google Scholar] [CrossRef]
- Xu, Y.; Hu, W.; Liu, J.; Zhang, J.; Jia, C.; Miao, H.; Xu, B.; Jin, Z. A banana aquaporin gene, MaPIP1;1, is involved in tolerance to drought and salt stresses. BMC Plant Biol. 2014, 14, 59. [Google Scholar] [CrossRef] [PubMed] [Green Version]
- Candir, E.; Kamiloglu, O.; Erhan Ozdemir, A.; Celebi, S.; Coskun, H.; Ars, M.; Alkan, S. Alternative postharvest treatments to control decay of table grapes during storage. J. Appl. Bot. Food Qual. 2011, 84, 72–75. [Google Scholar]
- Cantos-Villar, E.; Espín, J.C.; Tomás-Barberán, F.A. Postharvest Induction Modeling Method Using UV Irradiation Pulses for Obtaining Resveratrol-Enriched Table Grapes: A New “Functional” Fruit? J. Agric. Food Chem. 2001, 49, 5052–5058. [Google Scholar] [CrossRef]
- El Kereamy, A.; Chervin, C.; Souquet, J.-M.; Moutounet, M.; Monje, M.-C.; Nepveu, F.; Mondies, H.; Ford, C.M.; Van Heeswijck, R.; Roustan, J.-P. Ethanol triggers grape gene expression leading to anthocyanin accumulation during berry ripening. Plant Sci. 2002, 163, 449–454. [Google Scholar] [CrossRef] [Green Version]
- Yan, S.; Yang, T.; Luo, Y. The mechanism of ethanol treatment on inhibiting lettuce enzymatic browning and microbial growth. LWT 2015, 63, 383–390. [Google Scholar] [CrossRef]
- Sheng, K.; Zheng, H.; Shui, S.; Yan, L.; Liu, C.; Zheng, L. Comparison of postharvest UV-B and UV-C treatments on table grape: Changes in phenolic compounds and their transcription of biosynthetic genes during storage. Postharvest Biol. Technol. 2018, 138, 74–81. [Google Scholar] [CrossRef]
- Zhu, Y.J.; Agbayani, R.; Jackson, M.C.; Tang, C.S.; Moore, P.H. Expression of the grapevine stilbene synthase gene VST1 in papaya provides increased resistance against diseases caused by Phytophthora palmivora. Planta 2004, 220, 241–250. [Google Scholar] [CrossRef] [PubMed]
- Kiselev, K.V.; Aleynova, O.A. Influence of overexpression of stilbene synthase VaSTS7 gene on resveratrol production in transgenic cell cultures of grape Vitis amurensis Rupr. Appl. Biochem. Microbiol. 2016, 52, 56–60. [Google Scholar] [CrossRef]
- Cao, Y.; Li, K.; Li, Y.; Zhao, X.; Wang, L. MYB Transcription Factors as Regulators of Secondary Metabolism in Plants. Biology 2020, 9, 61. [Google Scholar] [CrossRef] [Green Version]
- Rosales, R.; Romero, I.; Fernandez-Caballero, C.; Escribano, M.I.; Merodio, C.; Sanchez-Ballesta, M.T. Low Temperature and Short-Term High-CO2 Treatment in Postharvest Storage of Table Grapes at Two Maturity Stages: Effects on Transcriptome Profiling. Front. Plant Sci. 2016, 7, 1020. [Google Scholar] [CrossRef] [Green Version]
- Vannozzi, A.; Wong, D.C.J.; Höll, J.; Hmmam, I.; Matus, J.T.; Bogs, J.; Ziegler, T.; Dry, I.; Barcaccia, G.; Lucchin, M. Combinatorial Regulation of Stilbene Synthase Genes by WRKY and MYB Transcription Factors in Grapevine (Vitis vinifera L.). Plant Cell Physiol. 2018, 59, 1043–1059. [Google Scholar] [CrossRef]
- Tyagi, K.; Maoz, I.; Kochanek, B.; Sela, N.; Lerno, L.; Ebeler, S.E.; Lichter, A. Cytokinin but not gibberellin application had major impact on the phenylpropanoid pathway in grape. Hortic. Res. 2021, 8, 1–15. [Google Scholar] [CrossRef]
- Artés-Hernández, F.; Artés, F.; Tomas-Barberan, F. Quality and Enhancement of Bioactive Phenolics in Cv. Napoleon Table Grapes Exposed to Different Postharvest Gaseous Treatments. J. Agric. Food Chem. 2003, 51, 5290–5295. [Google Scholar] [CrossRef] [PubMed]
- Valero, D.; Valverde, J.; Martínez-Romero, D.; Guillen, F.; Castillo, S.; Serrano, M. The combination of modified atmosphere packaging with eugenol or thymol to maintain quality, safety and functional properties of table grapes. Postharvest Biol. Technol. 2006, 41, 317–327. [Google Scholar] [CrossRef]
- Romero, I.; Domínguez, I.; Doménech-Carbó, A.; Gavara, R.; Escribano, M.I.; Merodio, C.; Sanchez-Ballesta, M.T. Effect of high levels of CO2 on the electrochemical behavior and the enzymatic and non-enzymatic antioxidant systems in black and white table grapes stored at 0 °C. J. Sci. Food Agric. 2019, 99, 6859–6867. [Google Scholar] [CrossRef] [PubMed]
- Xu, C.; Zhang, Y.; Cao, L.; Lu, J. Phenolic compounds and antioxidant properties of different grape cultivars grown in China. Food Chem. 2010, 119, 1557–1565. [Google Scholar] [CrossRef]
- Awad, M.A.; Al-Qurashi, A.D.; Mohamed, S.A. Postharvest trans -resveratrol and glycine betaine treatments affect quality, antioxidant capacity, antioxidant compounds and enzymes activities of ‘El-Bayadi’ table grapes after storage and shelf life. Sci. Hortic. 2015, 197, 350–356. [Google Scholar] [CrossRef]
- Van Loon, L.C.; Rep, M.; Pieterse, C.M.J. Significance of Inducible Defense-related Proteins in Infected Plants. Annu. Rev. Phytopathol. 2006, 44, 135–162. [Google Scholar] [CrossRef] [Green Version]
- Wang, K.; Cao, S.; Di, Y.; Liao, Y.; Zheng, Y. Effect of ethanol treatment on disease resistance against anthracnose rot in postharvest loquat fruit. Sci. Hortic. 2015, 188, 115–121. [Google Scholar] [CrossRef]
- Tzortzakis, N.G. Ethanol, vinegar and Origanum vulgare oil vapour suppress the development of anthracnose rot in tomato fruit. Int. J. Food Microbiol. 2010, 142, 14–18. [Google Scholar] [CrossRef]
- Chen, Y.-H.; Khanal, B.P.; Linde, M.; Debener, T.; Alkio, M.; Knoche, M. Expression of putative aquaporin genes in sweet cherry is higher in flesh than skin and most are downregulated during development. Sci. Hortic. 2019, 244, 304–314. [Google Scholar] [CrossRef]
- Sun, Q.; Zhang, N.; Wang, J.; Zhang, H.; Li, D.; Shi, J.; Li, R.; Weeda, S.; Zhao, B.; Ren, S.; et al. Melatonin promotes ripening and improves quality of tomato fruit during postharvest life. J. Exp. Bot. 2014, 66, 657–668. [Google Scholar] [CrossRef] [Green Version]
- Alleva, K.; Marquez, M.; Villarreal, N.; Mut, P.; Bustamante, C.; Bellati, J.; Martínez, G.; Civello, M.; Amodeo, G. Cloning, functional characterization, and co-expression studies of a novel aquaporin (FaPIP2;1) of strawberry fruit. J. Exp. Bot. 2010, 61, 3935–3945. [Google Scholar] [CrossRef] [PubMed] [Green Version]
- Miranda, S.; Vilches, P.; Suazo, M.; Pavez, L.; García, K.; Méndez, M.A.; González, M.; Meisel, L.A.; Defilippi, B.G.; del Pozo, T. Melatonin triggers metabolic and gene expression changes leading to improved quality traits of two sweet cherry cultivars during cold storage. Food Chem. 2020, 319, 126360. [Google Scholar] [CrossRef] [PubMed]
- Vázquez-Hernández, M.; Romero, I.; Escribano, M.I.; Merodio, C.; Sanchez-Ballesta, M.T. Deciphering the Role of CBF/DREB Transcription Factors and Dehydrins in Maintaining the Quality of Table Grapes cv. Autumn Royal Treated with High CO2 Levels and Stored at 0 °C. Front. Plant Sci. 2017, 8, 1591. [Google Scholar] [CrossRef] [PubMed]
- Romero, I.; Vázquez-Hernández, M.; Escribano, M.I.; Merodio, C.; Sanchez-Ballesta, M.T. Expression Profiles and DNA-Binding Affinity of Five ERF Genes in Bunches of Vitis vinifera cv. Cardinal Treated with High Levels of CO2 at Low Temperature. Front. Plant Sci. 2016, 7, 1748. [Google Scholar] [CrossRef]
- Rosales, R.; Fernandez-Caballero, C.; Romero, I.; Escribano, M.I.; Merodio, C.; Sanchez-Ballesta, M.T. Molecular analysis of the improvement in rachis quality by high CO2 levels in table grapes stored at low temperature. Postharvest Biol. Technol. 2013, 77, 50–58. [Google Scholar] [CrossRef] [Green Version]
- Untergasser, A.; Cutcutache, I.; Koressaar, T.; Ye, J.; Faircloth, B.; Remm, M.; Rozen, S.G. Primer3—New capabilities and interfaces. Nucleic Acids Res. 2012, 40, e115. [Google Scholar] [CrossRef] [Green Version]
- Sanchez-Ballesta, M.T.; Romero, I.M.; Jiménez, J.B.; Orea, J.M.; Ureña, A.G.; Escribano, M.I.; Merodio, C. Involvement of the phenylpropanoid pathway in the response of table grapes to low temperature and high CO2 levels. Postharvest Biol. Technol. 2007, 46, 29–35. [Google Scholar] [CrossRef] [Green Version]
- Singleton, V.; Rossi, J. Colorimetry of total phenolics with phosphomolybdic-phosphotungstic acid reagents. Am. J. Enol. Vitic. 1965, 16, 144–158. [Google Scholar]






| Air | Ethanol | ||||
|---|---|---|---|---|---|
| Freshly-Harvested | 49 d 0 °C | 49 d Air + 7 d 20 °C | 49 d 0 °C | 49 d + 7 d 20 °C | |
| SSC (%) | 19.2 ± 0.2 a | 20.8 ± 0.1 b | 21.4 ± 0.3 b | 20.8 ± 0.4 b | 20.5 ± 0.7 b |
| TA (% Tartaric Acid) | 0.37 ± 0.04 a | 0.41 ± 0.00 a | 0.40 ± 0.00 a | 0.41 ± 0.00 a | 0.40 ± 0.00 a |
| Maturity Index (SSC/TA) | 51.89 | 50.48 | 53.15 | 50.43 | 51.04 |
| pH | 3.82 ± 0.03 a | 3.84 ± 0.01 a | 3.84 ± 0.01 a | 3.84 ± 0.01 a | 3.80 ± 0.02 a |
| Weight Loss (%) | - | 4.29 ± 0.32 b | 7.89 ± 0.01 d | 3.24 ± 0.09 a | 6.61 ± 0.10 c |
| Total Decay (%) | - | 11.8 ± 0.2 b | 59.9 ± 0.6 d | 4.0 ± 0.5 a | 32.7 ± 0.7 c |
| Rachis Browning Index | - | 3.50 ± 0.50 b | 4.00 ± 0.00 b | 2.50 ± 0.50 a | 3.50 ± 0.57 b |
| VviPAL | VviCHS | VviSTS7 | VviMYB13 | VviMYB14 | VviMYB137 | |
|---|---|---|---|---|---|---|
| VviPAL | 1 | 0.451 * | −0.577 ** | 0.030 | 0.073 | −0.338 |
| VviCHS | 0.451 * | 1 | −0.440 * | 0.250 | −0.361 | −0.107 |
| VviSTS7 | −0.577 ** | −0.440 * | 1 | 0.300 | 0.056 | 0.607 ** |
| VviMYB13 | 0.030 | 0.250 | 0.300 | 1 | 0.584 ** | −0.339 |
| VviMYB14 | 0.073 | −0.361 | 0.056 | 0.584 ** | 1 | −0.701 ** |
| VviMYB137 | −0.338 | −0.107 | 0.607 ** | −0.339 | −0.701 ** | 1 |
| Vcgns1 | Vcchit1b | VviOsmo | VviTL1 | ||
|---|---|---|---|---|---|
| Vcgns1 | S | 1 | 0.834 ** | 0.762 ** | 0.638 ** |
| P | 1 | 0.827 ** | 0.834 ** | 0.790 ** | |
| Vcchit1b | S | 0.834 ** | 1 | 0.878 ** | 0.648 ** |
| P | 0.827 ** | 1 | 0.721 ** | 0.671 ** | |
| VviOsmo | S | 0.762 ** | 0.878 ** | 1 | 0.634 ** |
| P | 0.834 ** | 0.721 ** | 1 | 0.834 ** | |
| VviTL1 | S | 0.638 ** | 0.648 ** | 0.634 ** | 1 |
| P | 0.790 ** | 0.671 ** | 0.834 ** | 1 |
| VviPIP12 | VviPIP13 | VviPIP21 | VviPIP22 | ||
|---|---|---|---|---|---|
| VviPIP12 | S | 1 | 0.579 ** | 0.554 ** | 0.406 |
| P | 1 | 0.810 ** | 0.170 | 0.053 | |
| VviPIP13 | S | 0.579 ** | 1 | 0.497 * | 0.580 ** |
| P | 0.810 ** | 1 | 0.109 | 0.255 | |
| VviPIP21 | S | 0.554 ** | 0.497 * | 1 | 0.451 * |
| P | 0.170 | 0.109 | 1 | 0.264 | |
| VviPIP22 | S | 0.406 | 0.580 ** | 0.451 * | 1 |
| P | 0.053 | 0.255 | 0.264 | 1 |
Publisher’s Note: MDPI stays neutral with regard to jurisdictional claims in published maps and institutional affiliations. |
© 2021 by the authors. Licensee MDPI, Basel, Switzerland. This article is an open access article distributed under the terms and conditions of the Creative Commons Attribution (CC BY) license (https://creativecommons.org/licenses/by/4.0/).
Share and Cite
Romero, I.; Vazquez-Hernandez, M.; Tornel, M.; Escribano, M.I.; Merodio, C.; Sanchez-Ballesta, M.T. The Effect of Ethanol Treatment on the Quality of a New Table Grape Cultivar It 681–30 Stored at Low Temperature and after a 7-Day Shelf-Life Period at 20 °C: A Molecular Approach. Int. J. Mol. Sci. 2021, 22, 8138. https://doi.org/10.3390/ijms22158138
Romero I, Vazquez-Hernandez M, Tornel M, Escribano MI, Merodio C, Sanchez-Ballesta MT. The Effect of Ethanol Treatment on the Quality of a New Table Grape Cultivar It 681–30 Stored at Low Temperature and after a 7-Day Shelf-Life Period at 20 °C: A Molecular Approach. International Journal of Molecular Sciences. 2021; 22(15):8138. https://doi.org/10.3390/ijms22158138
Chicago/Turabian StyleRomero, Irene, Maria Vazquez-Hernandez, Manuel Tornel, M. Isabel Escribano, Carmen Merodio, and M. Teresa Sanchez-Ballesta. 2021. "The Effect of Ethanol Treatment on the Quality of a New Table Grape Cultivar It 681–30 Stored at Low Temperature and after a 7-Day Shelf-Life Period at 20 °C: A Molecular Approach" International Journal of Molecular Sciences 22, no. 15: 8138. https://doi.org/10.3390/ijms22158138
APA StyleRomero, I., Vazquez-Hernandez, M., Tornel, M., Escribano, M. I., Merodio, C., & Sanchez-Ballesta, M. T. (2021). The Effect of Ethanol Treatment on the Quality of a New Table Grape Cultivar It 681–30 Stored at Low Temperature and after a 7-Day Shelf-Life Period at 20 °C: A Molecular Approach. International Journal of Molecular Sciences, 22(15), 8138. https://doi.org/10.3390/ijms22158138

