Transcriptome Analysis of Pre-Storage 1-MCP and High CO2-Treated ‘Madoka’ Peach Fruit Explains the Reduction in Chilling Injury and Improvement of Storage Period by Delaying Ripening
Abstract
1. Introduction
2. Results
2.1. Assembly and Annotation
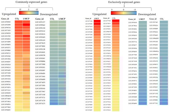
2.2. DEGs in the Comparison of CS, 1-MCP+CS, and CO2+CS vs. Control Peach Fruit
2.3. CI, Firmness, Total Pectin, PG Activity, and Related Genes
2.4. Weight Loss, Respiration and Ethylene Production Rates, and Related Genes
2.5. Stress-Related Genes Due to 1-MCP+CS, and CO2+CS Treatments
2.6. Color and Other Changes and the Related Genes
2.7. Verification of DEGs by qRT-PCR
3. Discussion
4. Materials and Methods
4.1. Plant Material and Treatments
4.2. RNA Extraction and Sequencing Using Illumina Truseq Stranded mRNA Library Prep Kit
4.3. Mapping Reads on a Reference Genome and Calculating Expression between Samples
4.4. Identification of DEGs and Functional Enrichment Analysis
4.5. Verification of DEGs by RT-qPCR
4.6. CI, Firmness, Pectin Content, and Polygalacturonase (PG) Activity
4.7. Measurement of Weight loss, Respiration Rate, and Ethylene Production Rate
4.8. Overall Sensory Evaluation
4.9. Statistical Analysis of Quality Parameters
5. Conclusions
Supplementary Materials
Author Contributions
Funding
Institutional Review Board Statement
Informed Consent Statement
Data Availability Statement
Conflicts of Interest
References
- Verde, I.; Abbott, A.G.; Scalabrin, S.; Jung, S.; Shu, S.; Marroni, F.; Zhebentyayeva, T.; Dettori, M.T.; Grimwood, J.; Cattonaro, F.; et al. The high-quality draft genome of peach (Prunus persica) identifies unique patterns of genetic diversity, domestication and genome evolution. Nat. Genet. 2013, 45, 487–494. [Google Scholar] [CrossRef]
- FAOSTAT. Food and Agriculture Organization of the United Nations Cropping Database. 2018. Available online: http://faostat3.fao.org/home/index.html (accessed on 20 December 2020).
- Byrne, D.H.; Noratto, G.; Cisneros-Zevallos, L.; Porter, W.; Vizzotto, M. Health benefits of peach, nectarine and plums. Acta Hortic. 2009, 841, 267–273. [Google Scholar] [CrossRef]
- Cevallos-Casals, B.A.; Byrne, D.; Okie, W.R.; Cisneros-Zevallos, L. Selecting new peach and plum genotypes rich in phenolic compounds and enhanced functional properties. Food Chem. 2006, 96, 273–280. [Google Scholar] [CrossRef]
- Gil, M.I.; Tomás-Barberán, F.A.; Hess-Pierce, B.; Kader, A.A. Antioxidant capacities, phenolic compounds, carotenoids, and vitamin C contents of nectarine, peach, and plum cultivars from California. J. Agric. Food Chem. 2002, 50, 4976–4982. [Google Scholar] [CrossRef] [PubMed]
- Vizzotto, M.; Cisneros-Zevallos, L.; Byrne, D.H.; Ramming, D.W.; Okie, W.R. Total phenolic, carotenoid, and anthocyanin content and antioxidant activity of peach and plum genotypes. Acta Hortic. 2006, 713, 453–455. [Google Scholar] [CrossRef]
- Lee, D.B.; Lee, G.J.; Kim, S.H.; Kang, I.K.; Choi, S.J.; Yun, H.K. Changes in fruit characteristics and expression of ripening-related genes in ‘madoka’ peaches treated with 1-methylcyclopropene and aminoethoxyvinylglycine. Hortic. Sci. Technol. 2020, 38, 32–43. [Google Scholar] [CrossRef]
- Taye, A.M.; Tilahun, S.; Seo, M.H.; Park, D.S.; Jeong, C.S. Effects of 1-MCP on quality and storability of cherry tomato (Solanum lycopersicum L.). Horticulturae 2019, 5, 29. [Google Scholar] [CrossRef]
- Rasori, A.; Ruperti, B.; Bonghi, C.; Tonutti, P.; Ramina, A. Characterization of two putative ethylene receptor genes expressed during peach fruit development and abscission. J. Exp. Bot. 2002, 53, 2333–2339. [Google Scholar] [CrossRef]
- Lee, E.J. Chilling injury and phytochemical composition of peach fruits as affected by high carbon dioxide treatment before cold storage. Hortic. Environ. Biotechnol. 2014, 55, 190–195. [Google Scholar] [CrossRef]
- Lee, G.; Lee, D.; Kim, S.; Choi, S.; Yun, H. Extended shelf-life of ‘Kumhong’ nectarine and ‘Madoka’ peach fruits by treating the trees with calcium compounds and chitosan. Korean J. Agric. Sci. 2019, 46, 737–754. [Google Scholar]
- Lurie, S.; Crisosto, C.H. Chilling injury in peach and nectarine. Postharvest Biol. Technol. 2005, 37, 195–208. [Google Scholar] [CrossRef]
- Dhanapal, A.P.; Crisosto, C.H. Association genetics of chilling injury susceptibility in peach (Prunus persica (L.) Batsch) across multiple years. 3 Biotech. 2013, 3, 481–490. [Google Scholar] [CrossRef]
- Lara, M.V.; Borsani, J.; Budde, C.O.; Lauxmann, M.A.; Lombardo, V.A.; Murray, R.; Andreo, C.S.; Drincovich, M.F. Biochemical and proteomic analysis of “Dixiland” peach fruit (Prunus persica) upon heat treatment. J. Exp. Bot. 2009, 60, 4315–4333. [Google Scholar] [CrossRef]
- Vizoso, P.; Meisel, L.A.; Tittarelli, A.; Latorre, M.; Saba, J.; Caroca, R.; Maldonado, J.; Cambiazo, V.; Campos-Vargas, R.; Gonzalez, M.; et al. Comparative EST transcript profiling of peach fruits under different post-harvest conditions reveals candidate genes associated with peach fruit quality. BMC Genom. 2009, 10, 423. [Google Scholar] [CrossRef]
- Jin, P.; Wang, K.; Shang, H.; Tong, J.; Zheng, Y. Low-temperature conditioning combined with methyl jasmonate treatment reduces chilling injury of peach fruit. J. Sci. Food Agric. 2009, 89, 1690–1696. [Google Scholar] [CrossRef]
- Jin, P.; Shang, H.; Chen, J.; Zhu, H.; Zhao, Y.; Zheng, Y. Effect of 1-Methylcyclopropene on Chilling Injury and Quality of Peach Fruit during Cold Storage. J. Food Sci. 2011, 76, S485–S491. [Google Scholar] [CrossRef]
- Maruyama, K.; Takeda, M.; Kidokoro, S.; Yamada, K.; Sakuma, Y.; Urano, K.; Fujita, M.; Yoshiwara, K.; Matsukura, S.; Morishita, Y.; et al. Metabolic pathways involved in cold acclimation identified by integrated analysis of metabolites and transcripts regulated by DREB1A and DREB2A. Plant Physiol. 2009, 150, 1972–1980. [Google Scholar] [CrossRef]
- Lurie, S.; Zhou, H.W.; Lers, A.; Sonego, L.; Alexandrov, S.; Shomer, I. Study of pectin esterase and changes in pectin methylation during normal and abnormal peach ripening. Physiol. Plant. 2003, 119, 287–294. [Google Scholar] [CrossRef]
- Zhang, L.; Chen, F.; Yang, H.; Sun, X.; Liu, H.; Gong, X.; Jiang, C.; Ding, C. Changes in firmness, pectin content and nanostructure of two crisp peach cultivars after storage. LWT-Food Sci. Technol. 2010, 43, 26–32. [Google Scholar] [CrossRef]
- Tilahun, S.; Choi, H.R.; Kwon, H.; Park, S.M.; Park, D.S.; Jeong, C.S. Transcriptome analysis of ‘Haegeum’gold kiwifruit following ethylene treatment to improve postharvest ripening quality. Agronomy 2020, 10, 487. [Google Scholar] [CrossRef]
- Wieczorek, K.; Golecki, B.; Gerdes, L.; Heinen, P.; Szakasits, D.; Durachko, D.M.; Cosgrove, D.J.; Kreil, D.P.; Puzio, P.S.; Bohlmann, H.; et al. Expansins are involved in the formation of nematode-induced syncytia in roots of Arabidopsis thaliana. Plant J. 2006, 48, 98–112. [Google Scholar] [CrossRef] [PubMed]
- Adair, W.S.; Apt, K.E. Cell wall regeneration in Chlamydomonas: Accumulation of mRNAs encoding cell wall hydroxyproline-rich glycoproteins. Proc. Natl. Acad. Sci. USA 1990, 87, 7355–7359. [Google Scholar] [CrossRef] [PubMed]
- Vajpai, M.; Mukherjee, M.; Sankararamakrishnan, R. Cooperativity in Plant Plasma Membrane Intrinsic Proteins (PIPs): Mechanism of Increased Water Transport in Maize PIP1 Channels in Hetero-tetramers. Sci. Rep. 2018, 8, 1–17. [Google Scholar] [CrossRef]
- Park, D.S.; Tilahun, S.; Park, K.C.; Choi, I.Y.; Jeong, C.S. Transcriptome analysis of astringent ‘Cheongdo-Bansi’ persimmon fruit treated with ethylene for removal of astringency. Postharvest Biol. Technol. 2019, 150, 52–59. [Google Scholar] [CrossRef]
- Müller, M.; Munné-Bosch, S. Ethylene response factors: A key regulatory hub in hormone and stress signaling. Plant Physiol. 2015, 169, 32–41. [Google Scholar] [CrossRef]
- Shin, D.; Moon, S.J.; Han, S.; Kim, B.G.; Park, S.R.; Lee, S.K.; Yoon, H.J.; Lee, H.E.; Kwon, H.B.; Baek, D.; et al. Expression of StMYB1R-1, a novel potato single MYB-like domain transcription factor, increases drought tolerance. Plant Physiol. 2011, 155, 421–432. [Google Scholar] [CrossRef] [PubMed]
- Sakamoto, H.; Maruyama, K.; Sakuma, Y.; Meshi, T.; Iwabuchi, M.; Shinozaki, K.; Yamaguchi-Shinozaki, K. Arabidopsis Cys2/His2-type zinc-finger proteins function as transcription repressors under drought, cold, and high-salinity stress conditions. Plant Physiol. 2004, 136, 2734–2746. [Google Scholar] [CrossRef]
- Iwata, Y.; Fedoroff, N.V.; Koizumi, N. Arabidopsis bZIP60 is a proteolysis-activated transcription factor involved in the endoplasmic reticulum stress response. Plant Cell 2008, 20, 3107–3121. [Google Scholar] [CrossRef]
- Sasaki, K.; Imai, R. Pleiotropic roles of cold shock domain proteins in plants. Front. Plant Sci. 2012, 2, 1–6. [Google Scholar] [CrossRef]
- Shao, H.; Wang, H.; Tang, X. NAC transcription factors in plant multiple abiotic stress responses: Progress and prospects. Front. Plant Sci. 2015, 6, 1–8. [Google Scholar] [CrossRef]
- Maynard, D.; Kumar, V.; Sproß, J.; Dietz, K.-J. 12-oxophytodienoic acid reductase 3 (OPR3) functions as NADPH-dependent α, β-ketoalkene reductase in detoxification and monodehydroascorbate reductase in redox homeostasis. Plant Cell Physiol. 2020, 61, 584–595. [Google Scholar] [CrossRef]
- Wang, J.; Song, L.; Gong, X.; Xu, J.; Li, M. Functions of jasmonic acid in plant regulation and response to abiotic stress. Int. J. Mol. Sci. 2020, 21, 1446. [Google Scholar] [CrossRef]
- Zeng, L.; Deng, R.; Guo, Z.; Yang, S.; Deng, X. Genome-wide identification and characterization of Glyceraldehyde-3-phosphate dehydrogenase genes family in wheat (Triticum aestivum). BMC Genom. 2016, 17, 1–10. [Google Scholar] [CrossRef]
- Kobayashi, S.; Ishimaru, M.; Ding, C.K.; Yakushiji, H.; Goto, N. Comparison of UDP-glucose: Flavonoid 3-O-glucosyltransferase (UFGT) gene sequences between white grapes (Vitis vinifera) and their sports with red skin. Plant Sci. 2001, 160, 543–550. [Google Scholar] [CrossRef]
- Li, X.; Gao, P.; Cui, D.; Wu, L.; Parkin, I.; Saberianfar, R.; Menassa, R.; Pan, H.; Westcott, N.; Gruber, M.Y. The Arabidopsis tt19-4 mutant differentially accumulates proanthocyanidin and anthocyanin through a 3’ amino acid substitution in glutathione S-transferase. Plant Cell Environ. 2011, 34, 374–388. [Google Scholar] [CrossRef]
- Nieto, B.; Forés, O.; Arró, M.; Ferrer, A. Arabidopsis 3-hydroxy-3-methylglutaryl-CoA reductase is regulated at the post-translational level in response to alterations of the sphingolipid and the sterol biosynthetic pathways. Phytochemistry 2009, 70, 53–59. [Google Scholar] [CrossRef]
- Sass-Kiss, A.; Kiss, J.; Milotay, P.; Kerek, M.M.; Toth-Markus, M. Differences in anthocyanin and carotenoid content of fruits and vegetables. Food Res. Int. 2005, 38, 1023–1029. [Google Scholar] [CrossRef]
- Wang, J.; Luca, V. De The biosynthesis and regulation of biosynthesis of Concord grape fruit esters, including “foxy” methylanthranilate. Plant J. 2005, 44, 606–619. [Google Scholar] [CrossRef]
- Fischer, T.C.; Halbwirth, H.; Meisel, B.; Stich, K.; Forkmann, G. Molecular cloning, substrate specificity of the functionally expressed dihydroflavonol 4-reductases from Malus domestica and Pyrus communis cultivars and the consequences for flavonoid metabolism. Arch. Biochem. Biophys. 2003, 412, 223–230. [Google Scholar] [CrossRef]
- Shirley, B.W.; Hanley, S.; Goodman, H.M. Effects of ionizing radiation on a plant genome: Analysis of two Arabidopsis transparent testa mutations. Plant Cell 1992, 4, 333–347. [Google Scholar]
- Menniti, A.M.; Gregori, R.; Donati, I. 1-Methylcyclopropene retards postharvest softening of plums. Postharvest Biol. Technol. 2004, 31, 269–275. [Google Scholar] [CrossRef]
- Park, D.S.; Tilahun, S.; Heo, J.Y.; Jeong, C.S. Quality and expression of ethylene response genes of ‘Daebong’ persimmon fruit during ripening at different temperatures. Postharvest Biol. Technol. 2017, 133. [Google Scholar] [CrossRef]
- Johnson, M.T.J.; Carpenter, E.J.; Tian, Z.; Bruskiewich, R.; Burris, J.N.; Carrigan, C.T.; Chase, M.W.; Clarke, N.D.; Covshoff, S.; dePamphilis, C.W.; et al. Evaluating Methods for Isolating Total RNA and Predicting the Success of Sequencing Phylogenetically Diverse Plant Transcriptomes. PLoS ONE 2012, 7. [Google Scholar] [CrossRef] [PubMed]
- Kim, S.H. Study on CEACAM1 Mediated Cell Death and Antitumor Effects of Metformin in 5-Fluorouracil Resistant Gastrointestinal Cancer Cells. Ph.D. Thesis, Seoul National University, Seoul, Korea, 2017. [Google Scholar]
- Tilahun, S.; Park, D.S.; Solomon, T.; Choi, H.R.; Jeong, C.S. Maturity stages affect nutritional quality and storability of tomato cultivars. CyTA-J. Food 2019. [Google Scholar] [CrossRef]
- Tilahun, S.; Choi, H.R.; Kim, S.H.; Park, D.S.; Lee, Y.M.; Solomon, T.; Jeong, C.S. Fruit Size and Placement in Packaging Affect Firmness-Related Quality Attributes of Muskmelon (Cucumis melo L.) Fruit. Korean J. Hortic. Sci. 2019, 37, 246–255. [Google Scholar]
- Tilahun, S.; Choi, H.R.; Park, D.S.; Lee, Y.M.; Choi, J.H.; Baek, M.W.; Hyok, K.; Park, S.M.; Jeong, C.S. Ripening quality of kiwifruit cultivars is affected by harvest time. Sci. Hortic. 2020, 261. [Google Scholar] [CrossRef]
- Belew, D.; Park, D.S.; Tilahun, S.; Jeong, C.S. The effects of treatment with ethylene-producing tablets on the quality and storability of Banana (Musa sp.). Hortic. Sci. Technol. 2016, 34, 746–754. [Google Scholar] [CrossRef]
- Seo, M.H.; Tilahun, S.; Jeong, C.S. Effect of ripening conditions on the quality and storability of muskmelon (Cucumis melo L.) fruits. Hortic. Sci. Technol. 2018, 36, 741–755. [Google Scholar]






| Sample Name | Total Reads | Mapped Reads | Mapping Rate |
|---|---|---|---|
| Control | 44,051,176 | 41,516,721 | 94.25 |
| CS | 62,460,608 | 59,571,061 | 95.37 |
| 1-MCP+CS | 60,048,660 | 58,007,008 | 96.60 |
| CO2+CS | 62,411,254 | 59,837,852 | 95.88 |
| Average | 57,242,925 | 54,733,161 | 95.53 |
| Sample Name | Total Bases | Q30 Bases | Read Count | % ≥Q30 Bases | Mean Quality Score (PF) |
|---|---|---|---|---|---|
| Control | 2,492,398,917 | 2,350,084,087 | 24,677,217 | 94.29 | 35.94 |
| CS | 3,575,251,126 | 3,410,220,666 | 35,398,526 | 95.38 | 36.20 |
| 1-MCP+CS | 3,269,381,110 | 3,135,881,737 | 32,370,110 | 95.91 | 36.31 |
| CO2+CS | 3,592,272,151 | 3,442,927,010 | 35,567,051 | 95.84 | 36.29 |
| Gene_Id | Gene Descriptions | Primer Sequence 5’–3’-Forward | Reverse |
|---|---|---|---|
| LOC18790383 | ethylene-responsive transcription factor ERF113 (ERF113) | GGCTAGTGCATCTCCTCATTAC | CAGTGCCTGGCTTCGATAAA |
| LOC18781898 | thaumatin-like protein 1 (TLP1) | GGGATCTGATGGAAGCGTAAT | GTCTCCGGCTTGTCGTTAG |
| LOC18777635 | beta-amylase 3, chloroplastic (BAM3) | ACTCATGCAGCATTCCTCTAC | GGATTCCTCCTGCCTGATTT |
| LOC18767585 | ethylene-responsive transcription factor ERF071 (ERF071) | TGGGATTCACTGGCACTATG | GTTGGTAGGTAACCGTCTCTATG |
| LOC18792372 | zinc finger protein ZAT10 (ZAT10) | CGAGACCTTTGACCTGAACAT | CGTCAATATCCTGGGCTTCTT |
| LOC18776076 | bZIP transcription factor 60 (BZIP60) | CGTTGCTCTGCCTCTAATTCT | CTCTTGGCCTTAGATCCACATT |
| LOC18776275 | endoglucanase 6 (At1g64390) | CTGCAAGTGGTGAGCTTAGT | GTAGTGGTCAGTGTTCCCATC |
| LOC18774729 | expansin-A6 (EXPA6) | CGAGTACAGAGCTGGAATTGT | AGTAACGGAAGCCGTTGATAG |
| LOC18773967 | expansin-A4 (EXPA4) | CTCCTCTCCAGCACTTTGATT | TTCTTCATACAGGGCACTCTTC |
| LOC18785045 | anthocyanidin 3-O-glucosyltransferase 2 (3GT) | CGCCTCACCTGCTTGATTA | ATTAAGTCCGGAGAGCCAAAG |
| LOC18775995 | methanol O-anthraniloyltransferase (AMAT) | CCCAAGGAGCAGATTCACTATC | TCGTAATGCCAACGTGTAACT |
| LOC18775065 | pectin acetylesterase 12 (PAE12) | TGGTGGGTTGGCATTGTAATA | TCTCCATAGGCCTCCAAGAA |
| LOC18782821 | glutathione S-transferase F12 (GSTF12) | CCAGCAGTAGAAGATGGTGATT | CTCCAGGGTTGTTCCCAATAG |
| LOC18788884 | dihydroflavonol 4-reductase (DFR) | CGAAGAGCACCAGAAGTCATAC | CTAGAGTCTTGGAGGCGAAGTA |
| LOC18789799 | 1-aminocyclopropane-1-carboxylate oxidase (ACO1) | GGAGACCAACTCTTCGGATTG | GGATAGTAGTGGCACACAAAGG |
Publisher’s Note: MDPI stays neutral with regard to jurisdictional claims in published maps and institutional affiliations. |
© 2021 by the authors. Licensee MDPI, Basel, Switzerland. This article is an open access article distributed under the terms and conditions of the Creative Commons Attribution (CC BY) license (https://creativecommons.org/licenses/by/4.0/).
Share and Cite
Choi, H.R.; Jeong, M.J.; Baek, M.W.; Choi, J.H.; Lee, H.C.; Jeong, C.S.; Tilahun, S. Transcriptome Analysis of Pre-Storage 1-MCP and High CO2-Treated ‘Madoka’ Peach Fruit Explains the Reduction in Chilling Injury and Improvement of Storage Period by Delaying Ripening. Int. J. Mol. Sci. 2021, 22, 4437. https://doi.org/10.3390/ijms22094437
Choi HR, Jeong MJ, Baek MW, Choi JH, Lee HC, Jeong CS, Tilahun S. Transcriptome Analysis of Pre-Storage 1-MCP and High CO2-Treated ‘Madoka’ Peach Fruit Explains the Reduction in Chilling Injury and Improvement of Storage Period by Delaying Ripening. International Journal of Molecular Sciences. 2021; 22(9):4437. https://doi.org/10.3390/ijms22094437
Chicago/Turabian StyleChoi, Han Ryul, Min Jae Jeong, Min Woo Baek, Jong Hang Choi, Hee Cheol Lee, Cheon Soon Jeong, and Shimeles Tilahun. 2021. "Transcriptome Analysis of Pre-Storage 1-MCP and High CO2-Treated ‘Madoka’ Peach Fruit Explains the Reduction in Chilling Injury and Improvement of Storage Period by Delaying Ripening" International Journal of Molecular Sciences 22, no. 9: 4437. https://doi.org/10.3390/ijms22094437
APA StyleChoi, H. R., Jeong, M. J., Baek, M. W., Choi, J. H., Lee, H. C., Jeong, C. S., & Tilahun, S. (2021). Transcriptome Analysis of Pre-Storage 1-MCP and High CO2-Treated ‘Madoka’ Peach Fruit Explains the Reduction in Chilling Injury and Improvement of Storage Period by Delaying Ripening. International Journal of Molecular Sciences, 22(9), 4437. https://doi.org/10.3390/ijms22094437

