Nanoparticles Functionalised with Re(I) Tricarbonyl Complexes for Cancer Theranostics
Abstract
1. Introduction
2. Magnetic Nanoparticles
2.1. Iron Oxide NPs for Biomedical Applications
2.2. Magnetic Resonance Imaging (MRI)
2.3. Clinical Applications of SPIONs
3. Multimodal Cancer Theranostics
4. Phosphorescence Transition Metal Complexes for Tumor Diagnosis
4.1. Luminescent Rhenium(I) Tricarbonyl Complexes
4.2. Chemo-Theranostic
4.3. Cellular Imaging
5. Biological Studies
6. Concluding Remarks
Funding
Institutional Review Board Statement
Informed Consent Statement
Data Availability Statement
Acknowledgments
Conflicts of Interest
Abbreviations
| NP(s) | Nanoparticle(s) |
| Fe3O4 | Ferric Oxide or Magnetite |
| Fe2O3 | Ferrous oxide or Hematite |
| DNA | Deoxyribonucleic Acid |
| DMSO | Dimethylsulfoxide |
| MCF-7 | Michigan Cancer Foundation-7 |
| Ag | Silver |
| Ru | Ruthenium |
| Ir | Iridium |
| 99mTc | Technetium-99m |
| MRI | Magnetic Resonance Imaging |
| FM | Fluorescence Microscopy |
| Mm | Mega-meter |
| W | Watt |
| 186Re | Rhenium(I) 186 |
| 188Re | Rhenium(I) 188 |
| α | Alpha particle |
| β | Beta particle |
| γ | Gamma-ray |
| t1/2 | Half-life |
| Emax | Maximum Energy |
| MeV | Mega Electron Volt |
| KeV | Kilo Electron Volt |
| 1O2 | Singlet Oxygen |
| CO | Carbon monoxide |
| HeLa | Henrietta Lacks |
| N | Nitrogen |
| LED | Light Emission Diode |
| O | Oxygen |
| M | Metals |
| XRD | X-ray Diffraction |
| SLN | Sentinel Lymph Node |
| TEM | Transmission Electron Microscopy |
| L | Ligand |
| OI | Optical Imaging |
| T1 | Longitudinal Relation Time |
| T2 | Transverse Relation Time |
| SPION | Superparamagnetic Iron Oxide Nanoparticles |
| OI | Optical Imaging |
| Br− | Bromide |
| Cl− | Chloride |
| H2O | Dihydrogen Monoxide |
| ILCT | Intraligand-Charge-Transfer |
| MLCT | Metal-to-Ligand-Charge-Transfer |
| LLCT | Ligand-to-Ligand-Charge-Transfer |
| H | Hour(s) |
| PTMCs | Phosphorescent Transition Metal Complexes |
References
- Bray, F.; Ferlay, J.; Soerjomataram, I.; Siegel, R.L.; Torre, L.A.; Jemal, A. Global cancer statistics 2018: GLOBOCAN estimates of incidence and mortality worldwide for 36 cancers in 185 countries. CA Cancer J. Clin. 2018, 68, 394–424. [Google Scholar] [CrossRef]
- Xu, J.; Kochanek, K.D.; Murphy, S.L.; Tejada-Vera, B. Deaths: Final data for 2007. Natl. Vital Stat. Rep. Cent. Dis. Control Prev. Natl. Cent. Health Stat. Natl. Vital Stat. Syst. 2010, 58, 1–19. [Google Scholar]
- Chen, Q.; Chen, J.; Yang, Z.; Xu, J.; Xu, L.; Liang, C.; Han, X.; Liu, Z. Nanoparticle-enhanced radiotherapy to trigger robust cancer immunotherapy. Adv. Mater. 2019, 31, e1802228–e1802240. [Google Scholar] [CrossRef] [PubMed]
- Ge, J.; Zhang, Q.; Zeng, J.; Gu, Z.; Gao, M. Radiolabeling nanomaterials for multimodality imaging: New insights into nuclear medicine and cancer diagnosis. Biomaterials 2020, 228, 119553. [Google Scholar] [CrossRef] [PubMed]
- Ballinger, J.R. Theranostic radiopharmaceuticals: Established agents in current use. Br. J. Radiol. 2018, 91, 20170969. [Google Scholar] [CrossRef] [PubMed]
- Siafaka, P.I.; Üstündağ Okur, N.; Karavas, E.; Bikiaris, D.N. Surface modified multifunctional and stimuli responsive nanoparticles for drug targeting: Current status and uses. Int. J. Mol. Sci. 2016, 17, 1440. [Google Scholar] [CrossRef] [PubMed]
- Pandey, N.; Menon, J.U.; Takahashi, M.; Hsieh, J.T.; Yang, J.; Nguyen, K.T.; Wadajkar, A.S. Thermo-responsive fluorescent nanoparticles for multimodal imaging and treatment of cancers. Nanotheranostics 2020, 4, 1–13. [Google Scholar] [CrossRef] [PubMed]
- Han, N.; Yan Yang, Y.; Wang, S.; Zheng, S.; Fan, W. Polymer-based cancer nanotheranostics: Retrospectives of multi-functionalities and pharmacokinetics. Curr. Drug Metab. 2013, 14, 661–674. [Google Scholar] [CrossRef]
- Jia, H.-R.; Jiang, Y.-W.; Zhu, Y.-X.; Li, Y.-H.; Wang, H.-Y.; Han, X.; Yu, Z.-W.; Gu, N.; Liu, P.; Chen, Z.; et al. Plasma membrane activatable polymeric nanotheranostics with self-enhanced light-triggered photosensitizer cellular influx for photodynamic cancer therapy. J. Control. Release 2017, 255, 231–241. [Google Scholar] [CrossRef]
- Lamb, J.R.; Holland, J.P. Advanced methods for radiolabeling multimodality nanomedicines for SPECT/MRI and PET/MRI. J. Nucl. Med. 2018, 59, 382–389. [Google Scholar] [CrossRef]
- Man, F.; Gawne, P.; de Rosales, R.T. Nuclear imaging of liposomal drug delivery systems: A critical review of radiolabelling methods and applications in nanomedicine. Adv. Drug Deliv. Rev. 2019, 143, 134–160. [Google Scholar] [CrossRef]
- Chinen, A.B.; Guan, C.M.; Ferrer, J.R.; Barnaby, S.N.; Merkel, T.J.; Mirkin, C.A. Nanoparticle probes for the detection of cancer biomarkers, cells, and tissues by fluorescence. Chem. Rev. 2015, 115, 10530–10574. [Google Scholar] [CrossRef] [PubMed]
- Mura, S.; Nicolas, J.; Couvreur, P. Stimuli-responsive nanocarriers for drug delivery. Nat. Mater. 2013, 12, 991–1003. [Google Scholar] [CrossRef] [PubMed]
- Siafaka, P.I.; Okur, N.Ü.; Karantas, I.D.; Okur, M.E.; Gündoğdu, E.A. Current update on nanoplatforms as therapeutic and diagnostic tools. Asian J. Pharm. Sci. 2020, 16, 24–46. [Google Scholar] [CrossRef]
- Edmonds, S.; Volpe, A.; Shmeeda, H.; Parente-Pereira, A.C.; Radia, R.; Baguña-Torres, J.; Szanda, I.; Severin, G.; Livieratos, L.; Blower, P.J.; et al. Exploiting the metal-chelating properties of the drug cargo for in vivo positron emission tomography imaging of liposomal nanomedicines. ACS Nano 2016, 10, 10294–10307. [Google Scholar] [CrossRef]
- Alberto, R.; Schibli, R.; Egli, A.; Schubiger, A.P.; Abram, U.; Kaden, T.A. A novel organometallic aqua complex of technetium for the labeling of biomolecules: Synthesis of [99mTc(CO)3(H2O)3]+ from [99mTcO4]- in aqueous solution and its reaction with a bifunctional ligand. J. Am. Chem. Soc. 1998, 120, 7987–7988. [Google Scholar] [CrossRef]
- Top, S.; El Hafa, H.; Vessieres, A.; Quivy, J.; Vaissermann, J.; Hughes, D.W.; McGlinchey, M.J.; Mornon, J.P.; Thoreau, E.; Jaouen, G. Rhenium Carbonyl Complexes of. beta.-Estradiol Derivatives with High Affinity for the Estradiol Receptor: An Approach to Selective Organometallic Radiopharmaceuticals. J. Am. Chem. Soc. 1995, 117, 8372–8380. [Google Scholar] [CrossRef]
- Schutte, M.; Kemp, G.; Visser, H.G.; Roodt, A. Tuning the reactivity in classic low-spin d6 rhenium (I) tricarbonyl radiopharmaceutical synthon by selective bidentate ligand variation (L, L′-Bid; L, L′ = N, N′, N, O, and O, O′ donor atom sets) in fac-[Re(CO)3(L, L′-Bid)(MeOH)] n complexes. Inorg. Chem. 2011, 50, 12486–12498. [Google Scholar] [CrossRef] [PubMed]
- Venkateswarlu, K.; Ganji, N.; Daravath, S.; Kanneboina, K.; Rangan, K. Crystal structure, DNA interactions, antioxidant and antitumor activity of thermally stable Cu (II), Ni (II) and Co (III) complexes of an N, O donor Schiff base ligand. Polyhedron 2019, 171, 86–97. [Google Scholar] [CrossRef]
- Juergens, S.; Herrmann, W.A.; Kuehn, F.E. Rhenium and technetium based radiopharmaceuticals: Development and recent advances. J. Organ. Chem. 2014, 751, 83–89. [Google Scholar] [CrossRef]
- Yip, A.M.H.; Lo, K.K.W. Luminescent rhenium (I), ruthenium (II), and iridium (III) polypyridine complexes containing a poly (ethylene glycol) pendant or bioorthogonal reaction group as biological probes and photocytotoxic agents. Coord. Chem. Rev. 2018, 361, 138–163. [Google Scholar] [CrossRef]
- Carron, S.; Bloemen, M.; Vander Elst, L.; Laurent, S.; Verbiest, T.; Parac-Vogt, T.N. Potential theranostic and multimodal iron oxide nanoparticles decorated with rhenium–bipyridine and–phenanthroline complexes. J. Mater. Chem. B 2015, 3, 4370–4376. [Google Scholar] [CrossRef]
- Tenzer, S.; Docter, D.; Kuharev, J.; Musyanovych, A.; Fetz, V.; Hecht, R.; Schlenk, F.; Fischer, D.; Kiouptsi, K.; Reinhardt, C.; et al. Rapid formation of plasma protein corona critically affects nanoparticle pathophysiology. Nat. Nanotechnol. 2013, 8, 772–781. [Google Scholar] [CrossRef]
- Del Pino, P.; Pelaz, B.; Zhang, Q.; Maffre, P.; Nienhaus, G.U.; Parak, W.J. Protein corona formation around nanoparticles–from the past to the future. Mater. Horiz. 2014, 1, 301–313. [Google Scholar] [CrossRef]
- Torres-Díaz, I.; Rinaldi, C. Recent progress in ferrofluids research: Novel applications of magnetically controllable and tunable fluids. Soft Matter 2014, 10, 8584–8602. [Google Scholar] [CrossRef] [PubMed]
- Wu, W.; Wu, Z.; Yu, T.; Jiang, C.; Kim, W.-S. Recent progress on magnetic iron oxide nanoparticles: Synthesis, surface functional strategies and biomedical applications. Sci. Technol. Adv. Mater. 2015, 16, 023501. [Google Scholar] [CrossRef] [PubMed]
- Lewinski, N.; Colvin, V.; Drezek, R. Cytotoxicity of Nanoparticles. Small 2008, 4, 26–49. [Google Scholar] [CrossRef] [PubMed]
- Kong, B.; Seog, J.H.; Graham, L.M.; Lee, S.B. Experimental considerations on the cytotoxicity of nanoparticles. Nanomedicine 2011, 6, 929–941. [Google Scholar] [CrossRef]
- Srinivasan, S.Y.; Paknikar, K.M.; Bodas, D.; Gajbhiye, V. Applications of cobalt ferrite nanoparticles in biomedical nanotechnology. Nanomedicine 2018, 13, 1221–1238. [Google Scholar] [CrossRef] [PubMed]
- Sharifi, I.; Shokrollahi, H.; Amiri, S. Ferrite-based magnetic nanofluids used in hyperthermia applications. J. Magn. Magn. Mater. 2012, 324, 903–915. [Google Scholar] [CrossRef]
- Hentze, M.W.; Muckenthaler, M.U.; Andrews, N.C. Molecular control of mammalian iron metabolism. Cell 2004, 117, 285–297. [Google Scholar] [CrossRef]
- Gropper, S.S.; Smith, J.L. Advanced Nutrition and Human Metabolism, 6th ed.; Cengage Learning: Belmont, MA, USA, 2012; pp. 1–586. [Google Scholar]
- Johannsen, M.; Thiesen, B.; Jordan, A.; Taymoorian, K.; Gneveckow, U.; Waldöfner, N.; Scholz, R.; Koch, M.; Lein, M.; Jung, K.; et al. Magnetic fluid hyperthermia (MFH) reduces prostate cancer growth in the orthotopic Dunning R3327 rat model. Prostate 2005, 64, 283–292. [Google Scholar] [CrossRef]
- Maier-Hauff, K.; Ulrich, F.; Nestler, D.; Niehoff, H.; Wust, P.; Thiesen, B.; Orawa, H.; Budach, V.; Jordan, A. Efficacy and safety of intratumoral thermotherapy using magnetic iron-oxide nanoparticles combined with external beam radiotherapy on patients with recurrent glioblastoma multiforme. J. Neuro Oncol. 2011, 103, 317–324. [Google Scholar] [CrossRef] [PubMed]
- Zhou, Z.; Chen, H.; Lipowska, M.; Wang, L.; Yu, Q.; Yang, X.; Tiwari, D.; Yang, L.; Mao, H. A dual-modal magnetic nanoparticle probe for preoperative and intraoperative mapping of sentinel lymph nodes by magnetic resonance and near infrared fluorescence imaging. J. Biomater. Appl. 2013, 28, 100–111. [Google Scholar] [CrossRef] [PubMed]
- Gillis, P.; Koenig, S.H. Transverse relaxation of solvent protons induced by magnetized spheres: Application to ferritin, erythrocytes, and magnetite. Magn. Reson. Med. 1987, 5, 323–345. [Google Scholar] [CrossRef] [PubMed]
- Zhou, Z.; Yang, L.; Gao, J.; Chen, X. Structure–relaxivity relationships of magnetic nanoparticles for magnetic resonance imaging. Adv. Mater. 2019, 31, 1804567. [Google Scholar] [CrossRef]
- Singh, N.; Jenkins, G.; Asadi, R.; Doak, S.H. Potential toxicity of superparamagnetic iron oxide nanoparticles (SPION). Nano Rev. 2010, 1, 5358–5374. [Google Scholar] [CrossRef]
- Krishnan, K.M. A spin through possibilities in imaging, diagnostics, and therapy. IEEE Trans. Magn. 2010, 46, 2523–2558. [Google Scholar] [CrossRef] [PubMed]
- Arami, H.; Khandhar, A.; Liggitt, D.; Krishnan, K.M. In vivo delivery, pharmacokinetics, biodistribution and toxicity of iron oxide nanoparticles. Chem. Soc. Rev. 2015, 44, 8576–8607. [Google Scholar] [CrossRef]
- Berman, S.C.; Galpoththawela, C.; Gilad, A.A.; Bulte, J.W.M.; Walczak, P. Long-term MR cell tracking of neural stem cells grafted in immunocompetent versus immunodeficient mice reveals distinct differences in contrast between live and dead cells. Magn. Reson. Med. 2011, 65, 564–574. [Google Scholar] [CrossRef] [PubMed]
- Maier-Hauff, K.; Rothe, R.; Scholz, R.; Gneveckow, U.; Wust, P.; Thiesen, B.; Feussner, A.; von Deimling, A.; Waldoefner, N.; Felix, R.; et al. Intracranial thermotherapy using magnetic nanoparticles combined with external beam radiotherapy: Results of a feasibility study on patients with glioblastoma multiforme. J. Neuro Oncol. 2007, 81, 53–60. [Google Scholar] [CrossRef]
- Ibrahim, M.A.; Abdellatif, A.A. Applications of nanopharmaceuticals in delivery and targeting. In Nanopharmaceuticals: Principles and Applications; Springer: Cham, Switzerland, 2021; Volume 1, pp. 73–114. [Google Scholar]
- Lu, M.; Cohen, M.H.; Rieves, D.; Pazdur, R. FDA report: Ferumoxytol for intravenous iron therapy in adult patients with chronic kidney disease. Am. J. Hematol. 2010, 85, 315–319. [Google Scholar] [CrossRef]
- Fishbane, S.; Bolton, W.K.; Winkelmayer, W.C.; Strauss, W.; Li, Z.; Pereira, B.J. Factors affecting response and tolerability to ferumoxytol in nondialysis chronic kidney disease patients. Clin. Nephrol. 2012, 78, 181–188. [Google Scholar] [CrossRef]
- Spencer, S.S.; Theodore, W.H.; Berkovic, S. Clinical applications: MRI, SPECT, and PET. Magn. Reson. Imaging 1995, 13, 1119–1124. [Google Scholar] [CrossRef]
- Thorek, D.L.; Chen, A.K.; Czupryna, J.; Tsourkas, A. Superparamagnetic iron oxide nanoparticle probes for molecular imaging. Ann. Biomed. Eng. 2006, 34, 23–38. [Google Scholar] [CrossRef]
- Bertini, I.; Kowalewski, J.; Luchinat, C.; Parigi, G. Cross Correlation between the Dipole–Dipole Interaction and the Curie Spin Relaxation: The Effect of Anisotropic Magnetic Susceptibility. J. Magn. Reson. 2001, 152, 103–108. [Google Scholar] [CrossRef] [PubMed]
- Hamoudeh, M.; Kamleh, M.A.; Diab, R.; Fessi, H. Radionuclides delivery systems for nuclear imaging and radiotherapy of cancer. Adv. Drug Deliv. Rev. 2008, 60, 1329–1346. [Google Scholar] [CrossRef] [PubMed]
- Hong, H.; Zhang, Y.; Sun, J.; Cai, W. Molecular imaging and therapy of cancer with radiolabeled nanoparticles. Nano Today 2009, 4, 399–413. [Google Scholar] [CrossRef] [PubMed]
- Zhang, C.; Cao, J.; Yin, D.; Wang, Y.; Feng, Y.; Tan, J. Preparation and radiolabeling of human serum albumin (HSA)-coated magnetite nanoparticles for magnetically targeted therapy. Appl. Radiat. Isot. 2004, 61, 1255–1259. [Google Scholar] [CrossRef]
- Häfeli, U.O. Magnetically modulated therapeutic systems. Int. J. Pharm. 2004, 277, 19–24. [Google Scholar] [CrossRef] [PubMed]
- Liang, S.; Wang, Y.; Yu, J.; Zhang, C.; Xia, J.; Yin, D. Surface modified superparamagnetic iron oxide nanoparticles: As a new carrier for bio-magnetically targeted therapy. J. Mater. Sci. Mater. Electron. 2007, 18, 2297–2302. [Google Scholar] [CrossRef] [PubMed]
- Bruce, I.J.; Sen, T. Surface modification of magnetic nanoparticles with alkoxysilanes and their application in magnetic bioseparations. Langmuir 2005, 21, 7029–7035. [Google Scholar] [CrossRef]
- Bloemen, M.; Brullot, W.; Luong, T.T.; Geukens, N.; Gils, A.; Verbiest, T. Improved functionalization of oleic acid-coated iron oxide nanoparticles for biomedical applications. J. Nanopart. Res. 2012, 14, 1–10. [Google Scholar] [CrossRef]
- Wrighton, M.; Morse, D.L. Nature of the lowest excited state in tricarbonylchloro-1,10-phenanthrolinerhenium(I) and related complexes. J. Am. Chem. Soc. 1974, 96, 998–1003. [Google Scholar] [CrossRef]
- Ko, C.C.; Ng, C.O.; Yiu, S.M. Luminescent rhenium (I) phenanthroline complexes with a benzoxazol-2-ylidene ligand: Synthesis, characterization, and photophysical study. Organometallics 2012, 31, 7074–7084. [Google Scholar] [CrossRef]
- Huang, W.-Y.; Davis, J.J. Multimodality and nanoparticles in medical imaging. Dalton Trans. 2011, 40, 6087–6103. [Google Scholar] [CrossRef]
- Kellar, K.E.; Fujii, D.K.; Gunther, W.H.; Briley-Sæbø, K.; Bjørnerud, A.; Spiller, M.; Koenig, S.H. NC100150 injection, a preparation of optimized iron oxide nanoparticles for positive-contrast MR angiography. J. Magn. Reson. Imaging 2000, 11, 488–494. [Google Scholar] [CrossRef]
- Jańczewski, D.; Zhang, Y.; Das, G.K.; Yi, D.K.; Padmanabhan, P.; Bhakoo, K.K.; Tan, T.T.Y.; Selvan, S.T. Bimodal magnetic-fluorescent probes for bioimaging. Microsc. Res. Tech. 2010, 74, 563–576. [Google Scholar] [CrossRef]
- Zhao, Q.; Li, F.; Huang, C. Phosphorescent chemosensors based on heavy-metal complexes. Chem. Soc. Rev. 2010, 39, 3007–3030. [Google Scholar] [CrossRef] [PubMed]
- Thorp-Greenwood, F.L.; Balasingham, R.G.; Coogan, M.P. Organometallic complexes of transition metals in luminescent cell imaging applications. J. Organ. Chem. 2012, 714, 12–21. [Google Scholar] [CrossRef]
- Ko, C.-N.; Li, G.; Leung, C.-H.; Ma, D.-L. Dual function luminescent transition metal complexes for cancer theranostics: The combination of diagnosis and therapy. Coord. Chem. Rev. 2019, 381, 79–103. [Google Scholar] [CrossRef]
- Smith, A.M.; Mancini, M.C.; Nie, S. Second window for in vivo imaging. Nat. Nanotechnol. 2009, 4, 710–711. [Google Scholar] [CrossRef]
- Wu, C.; Li, G.; Han, Q.-B.; Pei, R.-J.; Liu, J.-B.; Ma, D.-L.; Leung, C.-H. Real-time detection of oxalyl chloride based on a long-lived iridium (III) probe. Dalton Trans. 2017, 46, 17074–17079. [Google Scholar] [CrossRef] [PubMed]
- Wang, W.; Dong, Z.Z.; Yang, C.; Li, G.; Tse, Y.C.; Leung, C.H.; Ma, D.L. An iridium (III) complex-based chemosensor for the detection of thiourea in living cells. Sens. Actuators B Chem. 2017, 251, 374–379. [Google Scholar] [CrossRef]
- Liu, J.-B.; Yang, C.; Ko, C.-N.; Vellaisamy, K.; Yang, B.; Lee, M.-Y.; Leung, C.-H.; Ma, D.-L. A long lifetime iridium(III) complex as a sensitive luminescent probe for bisulfite detection in living zebrafish. Sens. Actuators B Chem. 2017, 243, 971–976. [Google Scholar] [CrossRef]
- Wrighton, M.S.; Morse, D.L.; Pdungsap, L. Intraligand lowest excited states in tricarbonylhalobis(styrylpyridine)rhenium(I) complexes. J. Am. Chem. Soc. 1975, 97, 2073–2079. [Google Scholar] [CrossRef]
- Alberto, R.; Schibli, R.; Waibel, R.; Abram, U.; Schubiger, A.P. Basic aqueous chemistry of [M(OH2)3(CO)3]+ (M=Re, Tc) directed towards radiopharmaceutical application. Coord. Chem. Rev. 1999, 190, 901–919. [Google Scholar] [CrossRef]
- Balakrishnan, G.; Rajendran, T.; Murugan, K.S.; Kumar, M.S.; Sivasubramanian, V.K.; Ganesan, M.; Mahesh, A.; Thirunalasundari, T.; Rajagopal, S. Interaction of rhenium(I) complex carrying long alkyl chain with Calf Thymus DNA: Cytotoxic and cell imaging studies. Inorg. Chim. Acta 2015, 434, 51–59. [Google Scholar] [CrossRef]
- Chen, Y.; Liu, W.; Jin, J.S.; Liu, B.; Zou, Z.G.; Zuo, J.L.; You, X.Z. Rhenium (I) tricarbonyl complexes with bispyridine ligands attached to sulfur-rich core: Syntheses, structures and properties. J. Organomet. Chem. 2009, 694, 763–770. [Google Scholar] [CrossRef]
- Wallin, S.; Davidsson, J.; Modin, J.; Hammarström, L. Femtosecond transient absorption anisotropy study on [Ru (bpy) 3] 2+ and [Ru (bpy)(py) 4] 2+. Ultrafast interligand randomization of the MLCT state. J. Phys. Chem. A 2005, 109, 4697–4704. [Google Scholar] [CrossRef] [PubMed]
- Villegas, J.M.; Stoyanov, S.R.; Huang, W.; Rillema, D.P. Photophysical, spectroscopic, and computational studies of a series of Re (I) tricarbonyl complexes containing 2, 6-dimethylphenylisocyanide and 5-and 6-derivatized phenanthroline ligands. Inorg. Chem. 2005, 44, 2297–2309. [Google Scholar] [CrossRef] [PubMed]
- Striplin, D.R.; Crosby, G.A. Photophysical investigations of rhenium(I)Cl(CO)3(phenanthroline) complexes. Coord. Chem. Rev. 2001, 211, 163–175. [Google Scholar] [CrossRef]
- Raszeja, L.J.; Siegmund, D.; Cordes, A.L.; Güldenhaupt, J.; Gerwert, K.; Hahn, S.; Metzler-Nolte, N. Asymmetric rhenium tricarbonyl complexes show superior luminescence properties in live cell imaging. Chem. Commun. 2016, 53, 905–908. [Google Scholar] [CrossRef] [PubMed]
- Murphy, B.L.; Marker, S.C.; Lambert, V.J.; Woods, J.; MacMillan, S.N.; Wilson, J.J. Synthesis, characterization, and biological properties of rhenium(I) tricarbonyl complexes bearing nitrogen-donor ligands. J. Organomet. Chem. 2020, 907, 121064. [Google Scholar] [CrossRef]
- Bonello, R.O.; Morgan, I.R.; Yeo, B.R.; Jones, L.E.; Kariuki, B.M.; Fallis, I.A.; Pope, S.J. Luminescent rhenium(I) complexes of substituted imidazole[4,5-f]-1,10-phenanthroline derivatives. J. Organomet. Chem. 2014, 749, 150–156. [Google Scholar] [CrossRef]
- Marker, S.C.; MacMillan, S.N.; Zipfel, W.R.; Li, Z.; Ford, P.C.; Wilson, J.J. Photoactivated in vitro anticancer activity of rhenium(i) tricarbonyl complexes bearing water-soluble phosphines. Inorg. Chem. 2018, 57, 1311–1331. [Google Scholar] [CrossRef]
- Gill, M.R.; Thomas, J.A. Ruthenium (II) polypyridyl complexes and DNA—from structural probes to cellular imaging and therapeutics. Chem. Soc. Rev. 2012, 41, 3179–3192. [Google Scholar] [CrossRef] [PubMed]
- Balasingham, R.G.; Coogan, M.P.; Thorp-Greenwood, F.L. Complexes in context: Attempting to control the cellular uptake and localisation of rhenium fac-tricarbonyl polypyridyl complexes. Dalton Trans. 2011, 40, 11663–11674. [Google Scholar] [CrossRef]
- Amoroso, A.J.; Arthur, R.J.; Coogan, M.P.; Fernández-Moreira, V.; Hayes, A.J.; Lloyd, D.; Millet, C.; Pope, S.J. 3-Chloromethylpyridyl bipyridine fac-tricarbonyl rhenium: A thiol-reactive luminophore for fluorescence microscopy accumulates in mitochondria. New J. Chem. 2008, 32, 1097–1102. [Google Scholar] [CrossRef]
- Lo, K.K.W.; Hui, W.K.; Chung, C.K.; Tsang, K.H.K.; Ng, D.C.M.; Zhu, N.; Cheung, K.K. Biological labelling reagents and probes derived from luminescent transition metal polypyridine complexes. Coord. Chem. Rev. 2005, 249, 1434–1450. [Google Scholar] [CrossRef]
- Záliš, S.; Consani, C.; El Nahhas, A.; Cannizzo, A.; Chergui, M.; Hartl, F.; Vlček, A., Jr. Origin of electronic absorption spectra of MLCT-excited and one-electron reduced 2, 2′-bipyridine and 1, 10-phenanthroline complexes. Inorg. Chim. Acta 2011, 374, 578–585. [Google Scholar] [CrossRef]
- El Nahhas, A.; Cannizzo, A.; van Mourik, F.; Blanco-Rodríguez, A.M.; Záliš, S.; Vlček, A., Jr.; Chergui, M. Ultrafast excited-state dynamics of [Re (L)(CO) 3 (bpy)] n complexes: Involvement of the solvent. J. Phys. Chem. A 2010, 114, 6361–6369. [Google Scholar] [CrossRef] [PubMed]
- Caspar, J.V.; Sullivan, B.P.; Meyer, T.J. Synthetic routes to luminescent 2, 2′-bipyridyl complexes of rhenium: Preparation and spectral and redox properties of mono (bipyridyl) complexes of rhenium (III) and rhenium (I). Inorg. Chem. 1984, 23, 2104–2109. [Google Scholar] [CrossRef]
- Mari, C.; Panigati, M.; D’Alfonso, L.; Zanoni, I.; Donghi, D.; Sironi, L.; Collini, M.; Maiorana, S.; Baldoli, C.; D’Alfonso, G.; et al. Luminescent conjugates between dinuclear rhenium complexes and peptide nucleic acids (PNA): Synthesis, photophysical characterization, and cell uptake. Organometallics 2012, 31, 5918–5928. [Google Scholar] [CrossRef]
- Shen, D.W.; Pouliot, L.M.; Hall, M.D.; Gottesman, M.M. Cisplatin resistance: A cellular self-defense mechanism resulting from multiple epigenetic and genetic changes. Pharmacol. Rev. 2012, 64, 706–721. [Google Scholar] [CrossRef]
- Corrie, P.G. Cytotoxic chemotherapy: Clinical aspects. Medicine 2008, 36, 24–28. [Google Scholar] [CrossRef]
- Shafiee, M.A.M.; Asri, M.A.M.; Alwi, S.S.S. Review on the In Vitro Cytotoxicity Assessment in Accordance to the International Organization for Standardization (ISO). Malays. J. Med. Health Sci. 2012, 17, 261–269. [Google Scholar]
- He, Y.; Zhu, Q.; Chen, M.; Huang, Q.; Wang, W.; Li, Q.; Huang, Y.; Di, W. The changing 50% inhibitory concentration (IC50) of cisplatin: A pilot study on the artifacts of the MTT assay and the precise measurement of density-dependent chemoresistance in ovarian cancer. Oncotarget 2016, 7, 70803–70821. [Google Scholar] [CrossRef] [PubMed]
- Artun, F.T.; Karagoz, A.; Ozcan, G.; Melikoglu, G.; Anil, S.; Kultur, S.; Sutlupinar, N. In vitro anticancer and cytotoxic activities of some plant extracts on HeLa and Vero cell lines. J. Balk. Union Oncol. 2016, 21, 720–725. [Google Scholar] [CrossRef]
- Pastan, I.; FitzGerald, D. Recombinant toxins for cancer treatment. Science 1991, 254, 1173–1177. [Google Scholar] [CrossRef]
- Knopf, K.M.; Murphy, B.L.; MacMillan, S.N.; Baskin, J.M.; Barr, M.P.; Boros, E.; Wilson, J.J. In vitro anticancer activity and in vivo biodistribution of rhenium (I) tricarbonyl aqua complexes. J. Am. Chem. Soc. 2017, 139, 14302–14314. [Google Scholar] [CrossRef]
- Haase, A.A.; Bauer, E.B.; Kühn, F.E.; Crans, D.C. Speciation and toxicity of rhenium salts, organometallics and coordination complexes. Coord. Chem. Rev. 2019, 394, 135–161. [Google Scholar] [CrossRef]
- Kaplanis, M.; Stamatakis, G.; Papakonstantinou, V.D.; Paravatou-Petsotas, M.; Demopoulos, C.A.; Mitsopoulou, C.A. Re (I) tricarbonyl complex of 1, 10-phenanthroline-5, 6-dione: DNA binding, cytotoxicity, anti-inflammatory and anti-coagulant effects towards platelet activating factor. J. Inorg. Biochem. 2014, 135, 1–9. [Google Scholar] [CrossRef]
- Sengupta, S.; Panda, B.K. Development of rhenium radiopharmaceuticals from coordination chemistry view point. Asian J. Res. Chem. 2017, 10, 369. [Google Scholar] [CrossRef]
- Uccelli, L.; Martini, P.; Pasquali, M.; Boschi, A. Monoclonal antibodies radiolabeling with Rhenium-188 for radioimmunotherapy. Biomed. Res. Int. 2017, 2017, 1–8. [Google Scholar] [CrossRef] [PubMed]
- Ma, D.-L.; Che, C.-M.; Siu, F.-M.; Yang, M.; Wong, K.-Y. DNA Binding and cytotoxicity of ruthenium(II) and rhenium(I) complexes of 2-amino-4-phenylamino-6-(2-pyridyl)-1,3,5-triazine. Inorg. Chem. 2007, 46, 740–749. [Google Scholar] [CrossRef]
- Muñoz-Osses, M.; Godoy, F.; Fierro, A.; Gómez, A.; Metzler-Nolte, N. New organometallic imines of rhenium(i) as potential ligands of GSK-3β: Synthesis, characterization and biological studies. Dalton Trans. 2018, 47, 1233–1242. [Google Scholar] [CrossRef]
- Kitanovic, I.; Can, S.; Alborzinia, H.; Kitanovic, A.; Pierroz, V.; Leonidova, A.; Pinto, A.; Spingler, B.; Ferrari, S.; Molteni, R.; et al. Anticancer activity of a ReI bisquinoline complex. Chemistry 2014, 20, 2496–2507. [Google Scholar] [CrossRef]








| Radionuclide | Half-Life (t1/2) | Emission | Emax |
|---|---|---|---|
| 188Re | 89.2 h | 1.07 MeV | |
| 186Re | 17.0 h | 2.12 MeV | |
| 99mTc | 6.0 h | 140 KeV |
| Complexes | Solvent | Emission | Absorption | ||
|---|---|---|---|---|---|
| τ (μs) | Φ (%) | λmax (nm) | λmax (nm)/ ε (L.mol−1. cm−1) | ||
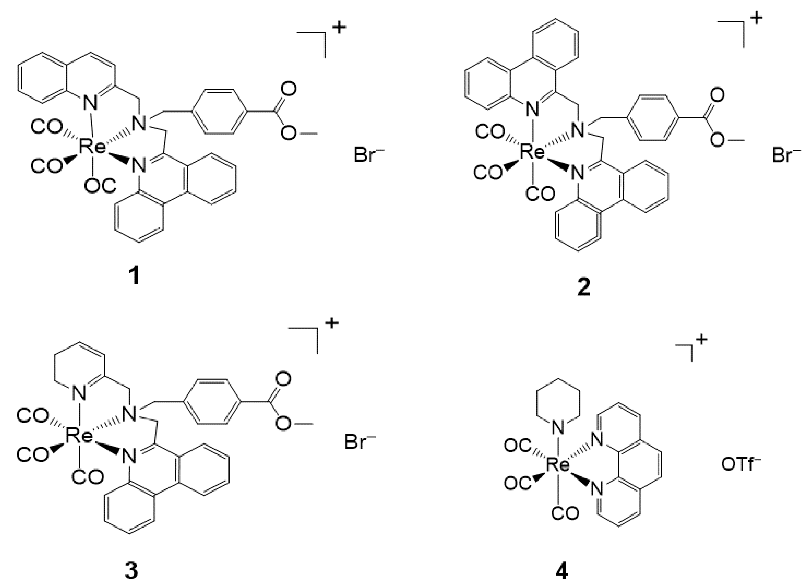
| 1 | Acetonitrile | 0.46 | 0.12 ± 0.03 | 580 | 310 (13,400); 350 (10,600) |
| 2 | Acetonitrile | 0.45 | 0.12 0.01 | 609 | 310 (9700); 350 (7300) |
| 3 | Acetonitrile | 0.58 | 0.18 0.01 | 593 | 310 (13,100), 350 (8200) |
| 4 | Air-equilibrated aqueous | 0.31 | 1.66 0.06 | 560 | 225 (31,300 ± 1300) 257 (18,200 ± 800) |
| 5 | Air-equilibrated aqueous | 0.52 | 2.14 0.16 | 560 | 24 (30,700 ± 1900) |
| 6 | Air-equilibrated aqueous | 0.47 | 2.38 ± 0.31 | 560 | 22 (32,300 ± 1000) |
| 7 | Air-equilibrated aqueous | 0.62 | 3.09 ± 0.30 | 545 | 23 (35,300 ± 600) |
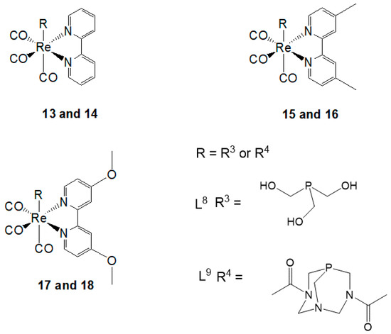
| 8 L1 | Chloroform | 0.170 | - | 577 | 276, 362, 410 |
| 8 L2 | Chloroform | 0.153 | - | 585 | 277, 339, 423 |
| 8 L3 | Chloroform | 0.143 | - | 581 | 277, 338, 423 |
| 8 L4 | Chloroform | 0.141 | - | 586 | 277, 337, 423 |
| 8 L5 | Chloroform | 0.158 | - | 582 | 282, 349, 423 |
| 8 L6 | Chloroform | 0.162 | - | 580 | 279, 352, 419 |
| 8 L7 | Chloroform | 0.185 | - | 586 | 288, 342, 423 |
| 9 | Air-equilibrqted Phosphate-Buffered Saline (pH 7.40) | 1.5 | 5.1 ± 1.1 | 528 | 226 (36,800 ± 1300), 275 (26,800 ± 900), 322 (6400 ± 200), 366 (3600 ± 100) |
| 10 | Air-equilibrqted Phosphate-Buffered Saline (pH 7.40) | 1.9 | 10.7 ± 0.6 | 516 | 225 (41,600 ± 7300), 275 (27,200 ± 4900), 323 (5700 ± 900), 367 (3200 ± 400) |
| 11 | Air-equilibrqted Phosphate-Buffered Saline (pH 7.40) | 1.0 | 4.5 ± 0.4 | 518 | 228 (34,600 ± 1200), 286 (23,400 ± 800), 308 (11,900 ± 400), 372 (2100 ± 70) |
| 12 | Air-equilibrqted Phosphate-Buffered Saline (pH 7.40) | 2.0 | 7.2 ± 0.2 | 507 | 227 (36,800 ± 6800), 285 (23,800 ± 700), 309 (11,500 ± 300), 373 (2100 ± 50) |
| 13 | Air-equilibrqted Phosphate-Buffered Saline (pH 7.40) | 0.4 | 6.1 ± 1.7 | 536 | 222 (18,900 ± 200), 249 (20,100 ± 1900), 308 (10,700 ± 400), 318 (12,500 ± 400), 343 (3600 ± 700) |
| 14 | Air-equilibrqted Phosphate-Buffered Saline (pH 7.40) | 0.6 | 9.1 ± 3.0 | 528 | 246 (22,600 ± 500), 308 (107,00 ± 200), 319 (13,000 ± 300), 345 (3400 ± 100) |
| 15 | Air-equilibrqted Phosphate-Buffered Saline (pH 7.40) | 0.4 | 6.5 ± 2.0 | 528 | 252 (24,000 ± 3000), 304 (11,800 ± 1500), 315 (13,400 ± 1700), 338 (4600 ± 500) |
| 16 | Air-equilibrqted Phosphate-Buffered Saline (pH 7.40) | 0.6 | 11.5 ± 3.9 | 518 | 250 (82,00 ± 4300), 305 (12,800 ± 2000), 315 (14,900 ± 2300), 339 (4000 ± 400) |
| 17 | Air-equilibrqted Phosphate-Buffered Saline (pH 7.40) | 0.3 | 3.4 ± 1.1 | 537 | 223 (33,900 ± 1000), 251 (30,500 ± 900), 303 (8800 ± 300), 337 (4500 ± 80) |
| 18 | Air-equilibrqted Phosphate-Buffered Saline (pH 7.40) | 0.4 | 7.1 ± 3.0 | 527 | 224 (41,400 ± 2000), 251 (34,100 ± 1900), 303 (9600 ± 500), 332 (4700 ± 300) |
| Complex | Cell Lines | Cell Line Target Description | IC50 (µM) | Cytotoxicity (IC50) |
|---|---|---|---|---|
| 4 | HeLa | Cervical cancer cell | >164 | Inactive (<100 μM) |
| 5 | HeLa | Cervical cancer cell | >185 | Inactive (<100 μM) |
| 6 | HeLa | Cervical cancer cell | 36 ± 3 | Modest activity (51 μM) |
| 7 | HeLa | Cervical cancer cell | 51 ± 5 | Modest activity (36 μM) |
| 9 | HeLa | Cervical cancer cell | 26.4 ± 9.2 | Active |
| 10 | HeLa | Cervical cancer cell | 5.9 ± 1.4 | Active |
| 11 | HeLa | Cervical cancer cell | 9.6 ± 4.2 | Active |
| 12 | HeLa | Cervical cancer cell | 19.2 ± 2.9 | Active |
| 14 | HeLa | Cervical cancer cell | 14.9 ± 3.2 | Active |
| 16 | HeLa | Cervical cancer cell | 60.3 ± 18.2 | Active |
| 17 | HeLa | Cervical cancer cell | 68.0 ± 4.3 | Active |
| 18 | HeLa | Cervical cancer cell | 24.3 ± 9.1 | Active |
| 19 | A2780 | Human ovary epithelial cell, ovarian endometrioid adenocarcinoma. | 3.5 ± 2.8 | Active |
| 20 | A2780 | Human ovary epithelial cell, ovarian endometrioid adenocarcinoma. | 2.2 ± 1.8 | Active |
| 21 | A2780 | Human ovary epithelial cell, ovarian endometrioid adenocarcinoma. | 2.2 ± 0.2 | Active |
| 22 | HT-29 | Human colon epithelial cell, adenocarcinoma. | <250 | Active |
| PT-45 | Human pancreas epithelial cell, adenocarcinoma. | <250 | Active | |
| 23 | T98G | Human brain fibroblast, glioblastoma. | >50 | Active |
| PC3 | Human prostate epithelial cell, adenocarcinoma. | >50 | Active | |
| 24 | HT-29 | Human colon epithelial cell, adenocarcinoma. | 32.6 ± 0.7 | Active |
| PT-45 | Human pancreas epithelial cell, adenocarcinoma. | 2.2 ± 0.3 | Active | |
| HepG2 | Human liver epithelial cell, hepatocellular carcinoma. | 10.5 ± 0.5 | Active | |
| T98G | Human brain fibroblast, glioblastoma. | 6.45 ± 1.64 | Active | |
| PC3 | Human prostate epithelial cell, adenocarcinoma. | 2.19 ± 0.11 | Active | |
| A2780 | Human ovary epithelial cell, ovarian endometrioid adenocarcinoma. | 0.23 ± 0.07 | Active | |
| HeLa | Cervical cancer | 6.6 ± 0.7 | Active |
Publisher’s Note: MDPI stays neutral with regard to jurisdictional claims in published maps and institutional affiliations. |
© 2021 by the authors. Licensee MDPI, Basel, Switzerland. This article is an open access article distributed under the terms and conditions of the Creative Commons Attribution (CC BY) license (https://creativecommons.org/licenses/by/4.0/).
Share and Cite
Mkhatshwa, M.; Moremi, J.M.; Makgopa, K.; Manicum, A.-L.E. Nanoparticles Functionalised with Re(I) Tricarbonyl Complexes for Cancer Theranostics. Int. J. Mol. Sci. 2021, 22, 6546. https://doi.org/10.3390/ijms22126546
Mkhatshwa M, Moremi JM, Makgopa K, Manicum A-LE. Nanoparticles Functionalised with Re(I) Tricarbonyl Complexes for Cancer Theranostics. International Journal of Molecular Sciences. 2021; 22(12):6546. https://doi.org/10.3390/ijms22126546
Chicago/Turabian StyleMkhatshwa, Marcus, Joshua Mamolatelo Moremi, Katlego Makgopa, and Amanda-Lee Ezra Manicum. 2021. "Nanoparticles Functionalised with Re(I) Tricarbonyl Complexes for Cancer Theranostics" International Journal of Molecular Sciences 22, no. 12: 6546. https://doi.org/10.3390/ijms22126546
APA StyleMkhatshwa, M., Moremi, J. M., Makgopa, K., & Manicum, A.-L. E. (2021). Nanoparticles Functionalised with Re(I) Tricarbonyl Complexes for Cancer Theranostics. International Journal of Molecular Sciences, 22(12), 6546. https://doi.org/10.3390/ijms22126546

