Insertion of Basic Amino Acids in the Hemagglutinin Cleavage Site of H4N2 Avian Influenza Virus (AIV)—Reduced Virus Fitness in Chickens is Restored by Reassortment with Highly Pathogenic H5N1 AIV
Abstract
1. Introduction
2. Results
2.1. The Expansion of the Polybasic CS in H4N2 Virus had a Minimal Impact on Virus Replication in Cell Culture but the Replication of the H4N2 Virus Was Significantly Increased by Reassortment with H5N1 or H7N7
2.2. Cell-to-Cell Spread of H4N2 Virus Was Significantly Increased by Reassortment with H7N7 or H5N1 Containing HA4_T327R/K
2.3. T327R/K Enabled Partial Trypsin-Independent Activation of the HA by Endogenous Furin-Like Protease
2.4. The Expansion of the Cleavage Site Alone Was Not Enough for Exhibition of High Virulence after ON (Oculonasal) Inoculation and Reassortment with HPAIV H5N1 Genes Was Essential
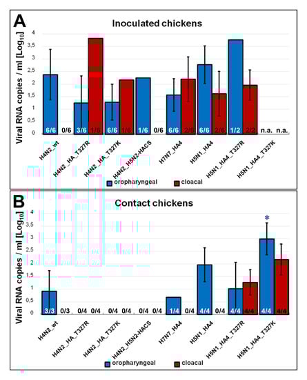
2.5. Virus Excretion in Inoculated and In-Contact Chickens Was Reduced by T327R/K and Increased by Reassortment with HPAIV H5N1 Segments
2.6. Mutation T327R/K Expanded the Organ Tropism of LPAIV H4N2 and Reassortment with HPAIV H5N1 Significantly Increased the Distribution and Severity of Lesions
3. Discussion
4. Materials and Methods
4.1. Viruses, Plasmids and Cells
4.2. Generation of Plasmids and Recombinant Viruses
4.3. Virus Propagation and Sequencing
4.4. Replication Kinetics
4.5. Plaque Assay
4.6. Western Blot
4.7. Animal Experiments
4.8. Histopathology and Immunohistochemistry
4.9. Statistics
4.10. Biosafety
Author Contributions
Funding
Acknowledgments
Conflicts of Interest
References
- Webster, R.G.; Bean, W.J.; Gorman, O.T.; Chambers, T.M.; Kawaoka, Y. Evolution and ecology of influenza A viruses. Microbiol. Rev. 1992, 56, 152–179. [Google Scholar] [CrossRef]
- Tong, S.; Zhu, X.; Li, Y.; Shi, M.; Zhang, J.; Bourgeois, M.; Yang, H.; Chen, X.; Recuenco, S.; Gomez, J.; et al. New world bats harbor diverse influenza A viruses. PLoS Pathog. 2013, 9, e1003657. [Google Scholar] [CrossRef] [PubMed]
- Hutchinson, E.C.; Charles, P.D.; Hester, S.S.; Thomas, B.; Trudgian, D.; Martinez-Alonso, M.; Fodor, E. Conserved and host-specific features of influenza virion architecture. Nat. Commun. 2014, 5, 4816. [Google Scholar] [CrossRef] [PubMed]
- Fouchier, R.A.; Munster, V.; Wallensten, A.; Bestebroer, T.M.; Herfst, S.; Smith, D.; Rimmelzwaan, G.F.; Olsen, B.; Osterhaus, A.D. Characterization of a novel influenza A virus hemagglutinin subtype (H16) obtained from black-headed gulls. J. Virol. 2005, 79, 2814–2822. [Google Scholar] [CrossRef] [PubMed]
- Alexander, D.J. An overview of the epidemiology of avian influenza. Vaccine 2007, 25, 5637–5644. [Google Scholar] [CrossRef]
- Abdelwhab el, S.M.; Veits, J.; Mettenleiter, T.C. Genetic changes that accompanied shifts of low pathogenic avian influenza viruses toward higher pathogenicity in poultry. Virulence 2013, 4, 441–452. [Google Scholar] [CrossRef]
- Steinhauer, D.A. Role of hemagglutinin cleavage for the pathogenicity of influenza virus. Virology 1999, 258, 1–20. [Google Scholar] [CrossRef]
- Bosch, F.X.; Garten, W.; Klenk, H.D.; Rott, R. Proteolytic cleavage of influenza virus hemagglutinins: Primary structure of the connecting peptide between HA1 and HA2 determines proteolytic cleavability and pathogenicity of Avian influenza viruses. Virology 1981, 113, 725–735. [Google Scholar] [CrossRef]
- Klenk, H.D.; Garten, W. Host cell proteases controlling virus pathogenicity. Trends Microbiol. 1994, 2, 39–43. [Google Scholar] [CrossRef]
- Londt, B.Z.; Banks, J.; Alexander, D.J. Highly pathogenic avian influenza viruses with low virulence for chickens in in vivo tests. Avian Pathol. 2007, 36, 347–350. [Google Scholar] [CrossRef][Green Version]
- Stech, O.; Veits, J.; Abdelwhab el, S.M.; Wessels, U.; Mettenleiter, T.C.; Stech, J. The Neuraminidase Stalk Deletion Serves as Major Virulence Determinant of H5N1 Highly Pathogenic Avian Influenza Viruses in Chicken. Sci. Rep. 2015, 5, 13493. [Google Scholar] [CrossRef] [PubMed]
- Wasilenko, J.L.; Lee, C.W.; Sarmento, L.; Spackman, E.; Kapczynski, D.R.; Suarez, D.L.; Pantin-Jackwood, M.J. NP, PB1, and PB2 viral genes contribute to altered replication of H5N1 avian influenza viruses in chickens. J. Virol. 2008, 82, 4544–4553. [Google Scholar] [CrossRef] [PubMed]
- Ohuchi, M.; Orlich, M.; Ohuchi, R.; Simpson, B.E.; Garten, W.; Klenk, H.D.; Rott, R. Mutations at the cleavage site of the hemagglutinin after the pathogenicity of influenza virus A/chick/Penn/83 (H5N2). Virology 1989, 168, 274–280. [Google Scholar] [CrossRef]
- Zhang, M.; Zhang, X.; Xu, K.; Teng, Q.; Liu, Q.; Li, X.; Yang, J.; Xu, J.; Chen, H.; Zhang, X.; et al. Characterization of the Pathogenesis of H10N3, H10N7, and H10N8 Subtype Avian Influenza Viruses Circulating in Ducks. Sci. Rep. 2016, 6, 34489. [Google Scholar] [CrossRef]
- Bonfante, F.; Fusaro, A.; Zanardello, C.; Patrono, L.V.; De Nardi, R.; Maniero, S.; Terregino, C. Lethal nephrotropism of an H10N1 avian influenza virus stands out as an atypical pathotype. Vet. Microbiol. 2014, 173, 189–200. [Google Scholar] [CrossRef]
- Wood, G.W.; Banks, J.; Strong, I.; Parsons, G.; Alexander, D.J. An avian influenza virus of H10 subtype that is highly pathogenic for chickens, but lacks multiple basic amino acids at the haemagglutinin cleavage site. Avian Pathol 1996, 25, 799–806. [Google Scholar] [CrossRef]
- Wong, S.S.; Yoon, S.W.; Zanin, M.; Song, M.S.; Oshansky, C.; Zaraket, H.; Sonnberg, S.; Rubrum, A.; Seiler, P.; Ferguson, A.; et al. Characterization of an H4N2 influenza virus from Quails with a multibasic motif in the hemagglutinin cleavage site. Virology 2014, 468–470, 72–80. [Google Scholar] [CrossRef]
- Perdue, M.L.; Garcia, M.; Senne, D. Virulence-associated sequence duplication at the hemagglutinin cleavage site of avian influenza viruses. Virus Res. 1997, 49, 173–186. [Google Scholar] [CrossRef]
- Nao, N.; Yamagishi, J.; Miyamoto, H.; Igarashi, M.; Manzoor, R.; Ohnuma, A.; Tsuda, Y.; Furuyama, W.; Shigeno, A.; Kajihara, M.; et al. Genetic Predisposition To Acquire a Polybasic Cleavage Site for Highly Pathogenic Avian Influenza Virus Hemagglutinin. MBio 2017, 8. [Google Scholar] [CrossRef]
- Horimoto, T.; Rivera, E.; Pearson, J.; Senne, D.; Krauss, S.; Kawaoka, Y.; Webster, R.G. Origin and molecular changes associated with emergence of a highly pathogenic H5N2 influenza virus in Mexico. Virology 1995, 213, 223–230. [Google Scholar] [CrossRef]
- Suarez, D.L.; Senne, D.A.; Banks, J.; Brown, I.H.; Essen, S.C.; Lee, C.W.; Manvell, R.J.; Mathieu-Benson, C.; Moreno, V.; Pedersen, J.C.; et al. Recombination resulting in virulence shift in avian influenza outbreak, Chile. Emerg. Infect. Dis. 2004, 10, 693–699. [Google Scholar] [CrossRef] [PubMed]
- Pasick, J.; Handel, K.; Robinson, J.; Copps, J.; Ridd, D.; Hills, K.; Kehler, H.; Cottam-Birt, C.; Neufeld, J.; Berhane, Y.; et al. Intersegmental recombination between the haemagglutinin and matrix genes was responsible for the emergence of a highly pathogenic H7N3 avian influenza virus in British Columbia. J. Gen. Virol. 2005, 86, 727–731. [Google Scholar] [CrossRef] [PubMed]
- OFFLU. Influenza A Cleavage Sites. Available online: http://www.offlu.net/fileadmin/home/en/resource-centre/pdf/Influenza_A_Cleavage_Sites.pdf (accessed on 26 July 2018).
- Lee, C.W.; Swayne, D.E.; Linares, J.A.; Senne, D.A.; Suarez, D.L. H5N2 avian influenza outbreak in Texas in 2004: The first highly pathogenic strain in the United States in 20 years? J. Virol. 2005, 79, 11412–11421. [Google Scholar] [CrossRef] [PubMed][Green Version]
- Horimoto, T.; Kawaoka, Y. Molecular changes in virulent mutants arising from avirulent avian influenza viruses during replication in 14-day-old embryonated eggs. Virology 1995, 206, 755–759. [Google Scholar] [CrossRef]
- Garten, W.; Bosch, F.X.; Linder, D.; Rott, R.; Klenk, H.D. Proteolytic activation of the influenza virus hemagglutinin: The structure of the cleavage site and the enzymes involved in cleavage. Virology 1981, 115, 361–374. [Google Scholar] [CrossRef]
- Gohrbandt, S.; Veits, J.; Breithaupt, A.; Hundt, J.; Teifke, J.P.; Stech, O.; Mettenleiter, T.C.; Stech, J. H9 avian influenza reassortant with engineered polybasic cleavage site displays a highly pathogenic phenotype in chicken. J. Gen. Virol. 2011, 92, 1843–1853. [Google Scholar] [CrossRef] [PubMed]
- Munster, V.J.; Schrauwen, E.J.; de Wit, E.; van den Brand, J.M.; Bestebroer, T.M.; Herfst, S.; Rimmelzwaan, G.F.; Osterhaus, A.D.; Fouchier, R.A. Insertion of a multibasic cleavage motif into the hemagglutinin of a low-pathogenic avian influenza H6N1 virus induces a highly pathogenic phenotype. J. Virol. 2010, 84, 7953–7960. [Google Scholar] [CrossRef] [PubMed]
- Veits, J.; Weber, S.; Stech, O.; Breithaupt, A.; Graber, M.; Gohrbandt, S.; Bogs, J.; Hundt, J.; Teifke, J.P.; Mettenleiter, T.C.; et al. Avian influenza virus hemagglutinins H2, H4, H8, and H14 support a highly pathogenic phenotype. Proc. Natl. Acad. Sci. USA 2012, 109, 2579–2584. [Google Scholar] [CrossRef] [PubMed]
- Kawaoka, Y.; Naeve, C.W.; Webster, R.G. Is virulence of H5N2 influenza viruses in chickens associated with loss of carbohydrate from the hemagglutinin? Virology 1984, 139, 303–316. [Google Scholar] [CrossRef]
- Sakai, K.; Sekizuka, T.; Ami, Y.; Nakajima, N.; Kitazawa, M.; Sato, Y.; Nakajima, K.; Anraku, M.; Kubota, T.; Komase, K.; et al. A mutant H3N2 influenza virus uses an alternative activation mechanism in TMPRSS2 knockout mice by loss of an oligosaccharide in the hemagglutinin stalk region. J. Virol. 2015, 89, 5154–5158. [Google Scholar] [CrossRef]
- Baron, J.; Tarnow, C.; Mayoli-Nussle, D.; Schilling, E.; Meyer, D.; Hammami, M.; Schwalm, F.; Steinmetzer, T.; Guan, Y.; Garten, W.; et al. Matriptase, HAT, and TMPRSS2 activate the hemagglutinin of H9N2 influenza A viruses. J. Virol. 2013, 87, 1811–1820. [Google Scholar] [CrossRef] [PubMed]
- Bottcher-Friebertshauser, E.; Klenk, H.D.; Garten, W. Activation of influenza viruses by proteases from host cells and bacteria in the human airway epithelium. Pathog. Dis. 2013, 69, 87–100. [Google Scholar] [CrossRef] [PubMed]
- Soda, K.; Asakura, S.; Okamatsu, M.; Sakoda, Y.; Kida, H. H9N2 influenza virus acquires intravenous pathogenicity on the introduction of a pair of di-basic amino acid residues at the cleavage site of the hemagglutinin and consecutive passages in chickens. Virol. J. 2011, 8, 64. [Google Scholar] [CrossRef] [PubMed]
- Abdelwhab, E.M.; Veits, J.; Ulrich, R.; Kasbohm, E.; Teifke, J.P.; Mettenleiter, T.C. Composition of the Hemagglutinin Polybasic Proteolytic Cleavage Motif Mediates Variable Virulence of H7N7 Avian Influenza Viruses. Sci. Rep. 2016, 6, 39505. [Google Scholar] [CrossRef][Green Version]
- Kandeil, A.; Bagato, O.; Zaraket, H.; Debeauchamp, J.; Krauss, S.; El-Shesheny, R.; Webby, R.J.; Ali, M.A.; Kayali, G. Proteolytic enzymes in embryonated chicken eggs sustain the replication of egg-grown low-pathogenicity avian influenza viruses in cells in the absence of exogenous proteases. J. Virol. Methods 2014, 202, 28–33. [Google Scholar] [CrossRef][Green Version]
- Bogs, J.; Kalthoff, D.; Veits, J.; Pavlova, S.; Schwemmle, M.; Manz, B.; Mettenleiter, T.C.; Stech, J. Reversion of PB2-627E to -627K during replication of an H5N1 Clade 2.2 virus in mammalian hosts depends on the origin of the nucleoprotein. J. Virol. 2011, 85, 10691–10698. [Google Scholar] [CrossRef]
- Joseph, U.; Su, Y.C.; Vijaykrishna, D.; Smith, G.J. The ecology and adaptive evolution of influenza A interspecies transmission. Influenza Other Respir. Viruses 2017, 11, 74–84. [Google Scholar] [CrossRef]
- Stech, O.; Veits, J.; Weber, S.; Deckers, D.; Schroer, D.; Vahlenkamp, T.W.; Breithaupt, A.; Teifke, J.; Mettenleiter, T.C.; Stech, J. Acquisition of a polybasic hemagglutinin cleavage site by a low-pathogenic avian influenza virus is not sufficient for immediate transformation into a highly pathogenic strain. J. Virol. 2009, 83, 5864–5868. [Google Scholar] [CrossRef]
- Li, Z.; Jiang, Y.; Jiao, P.; Wang, A.; Zhao, F.; Tian, G.; Wang, X.; Yu, K.; Bu, Z.; Chen, H. The NS1 gene contributes to the virulence of H5N1 avian influenza viruses. J. Virol. 2006, 80, 11115–11123. [Google Scholar] [CrossRef]
- Scheibner, D.; Ulrich, R.; Fatola, O.I.; Graaf, A.; Gischke, M.; Salaheldin, A.H.; Harder, T.C.; Veits, J.; Mettenleiter, T.C.; Abdelwhab, E.M. Variable impact of the hemagglutinin polybasic cleavage site on virulence and pathogenesis of avian influenza H7N7 virus in chickens, turkeys and ducks. Sci. Rep. 2019, 9, 11556. [Google Scholar] [CrossRef]
- Tada, T.; Suzuki, K.; Sakurai, Y.; Kubo, M.; Okada, H.; Itoh, T.; Tsukamoto, K. NP body domain and PB2 contribute to increased virulence of H5N1 highly pathogenic avian influenza viruses in chickens. J. Virol. 2011, 85, 1834–1846. [Google Scholar] [CrossRef] [PubMed]
- Long, J.X.; Peng, D.X.; Liu, Y.L.; Wu, Y.T.; Liu, X.F. Virulence of H5N1 avian influenza virus enhanced by a 15-nucleotide deletion in the viral nonstructural gene. Virus Genes 2008, 36, 471–478. [Google Scholar] [CrossRef] [PubMed]
- Suzuki, Y.; Uchida, Y.; Tanikawa, T.; Maeda, N.; Takemae, N.; Saito, T. Amino acid substitutions in PB1 of avian influenza viruses influence pathogenicity and transmissibility in chickens. J. Virol. 2014, 88, 11130–11139. [Google Scholar] [CrossRef] [PubMed]
- Goto, H.; Wells, K.; Takada, A.; Kawaoka, Y. Plasminogen-binding activity of neuraminidase determines the pathogenicity of influenza A virus. J. Virol. 2001, 75, 9297–9301. [Google Scholar] [CrossRef] [PubMed]
- Schulman, J.L.; Palese, P. Virulence factors of influenza A viruses: WSN virus neuraminidase required for plaque production in MDBK cells. J. Virol. 1977, 24, 170–176. [Google Scholar] [CrossRef]
- Alvarado-Facundo, E.; Gao, Y.; Ribas-Aparicio, R.M.; Jimenez-Alberto, A.; Weiss, C.D.; Wang, W. Influenza virus M2 protein ion channel activity helps to maintain pandemic 2009 H1N1 virus hemagglutinin fusion competence during transport to the cell surface. J. Virol. 2015, 89, 1975–1985. [Google Scholar] [CrossRef]
- Saenger, W.; Proteinase, K. Handbook of Proteolytic Enzymes, 3rd ed.; Rawlings, N.D., Salvesen, G., Eds.; Academic Press: London, UK, 2013; Volume 3, pp. 3240–3242. [Google Scholar]
- Thomas, G. Furin at the cutting edge: From protein traffic to embryogenesis and disease. Nat. Rev. Mol. Cell Biol. 2002, 3, 753–766. [Google Scholar] [CrossRef]
- Bottcher, E.; Matrosovich, T.; Beyerle, M.; Klenk, H.D.; Garten, W.; Matrosovich, M. Proteolytic activation of influenza viruses by serine proteases TMPRSS2 and HAT from human airway epithelium. J. Virol. 2006, 80, 9896–9898. [Google Scholar] [CrossRef]
- Moresco, K.A.; Stallknecht, D.E.; Swayne, D.E. Evaluation and attempted optimization of avian embryos and cell culture methods for efficient isolation and propagation of low pathogenicity avian influenza viruses. Avian Dis. 2010, 54, 622–626. [Google Scholar] [CrossRef]
- Stech, J.; Stech, O.; Herwig, A.; Altmeppen, H.; Hundt, J.; Gohrbandt, S.; Kreibich, A.; Weber, S.; Klenk, H.D.; Mettenleiter, T.C. Rapid and reliable universal cloning of influenza A virus genes by target-primed plasmid amplification. Nucleic Acids Res. 2008, 36, e139. [Google Scholar] [CrossRef]
- Hoffmann, E.; Neumann, G.; Kawaoka, Y.; Hobom, G.; Webster, R.G. A DNA transfection system for generation of influenza A virus from eight plasmids. Proc. Natl. Acad. Sci. USA 2000, 97, 6108–6113. [Google Scholar] [CrossRef] [PubMed]
- Alexander, D.J. Avian Influenza. OIE. Available online: https://www.oie.int/fileadmin/Home/eng/Health_standards/tahm/3.03.04_AI.pdf (accessed on 28 March 2020).
- Mahmood, T.; Yang, P.C. Western blot: Technique, theory, and trouble shooting. N. Am. J. Med. Sci. 2012, 4, 429–434. [Google Scholar] [PubMed]
- Bertram, S.; Glowacka, I.; Blazejewska, P.; Soilleux, E.; Allen, P.; Danisch, S.; Steffen, I.; Choi, S.Y.; Park, Y.; Schneider, H.; et al. TMPRSS2 and TMPRSS4 facilitate trypsin-independent spread of influenza virus in Caco-2 cells. J. Virol. 2010, 84, 10016–10025. [Google Scholar] [CrossRef]
- Hoffmann, B.; Hoffmann, D.; Henritzi, D.; Beer, M.; Harder, T.C. Riems influenza a typing array (RITA): An RT-qPCR-based low density array for subtyping avian and mammalian influenza a viruses. Sci. Rep. 2016, 6, 27211. [Google Scholar] [CrossRef] [PubMed]
- Breithaupt, A.; Kalthoff, D.; Dale, J.; Bairlein, F.; Beer, M.; Teifke, J.P. Neurotropism in blackcaps (Sylvia atricapilla) and red-billed queleas (Quelea quelea) after highly pathogenic avian influenza virus H5N1 infection. Vet. Pathol. 2011, 48, 924–932. [Google Scholar] [CrossRef]
- Klopfleisch, R.; Werner, O.; Mundt, E.; Harder, T.; Teifke, J.P. Neurotropism of highly pathogenic avian influenza virus A/chicken/Indonesia/2003 (H5N1) in experimentally infected pigeons (Columbia livia f. domestica). Vet. Pathol. 2006, 43, 463–470. [Google Scholar] [CrossRef]







| Virus | Cleavage Site | Source of | |
|---|---|---|---|
| HA | Other Gene Segments | ||
| H4N2_wt | 322PEKRRTR/G329 | H4N2 | H4N2 |
| H4N2_HA_T327R | 322PEKRRRR/G329 | H4N2 | H4N2 |
| H4N2_HA_T327K | 322PEKRRKR/G329 | H4N2 | H4N2 |
| H4N2_H5N2-HACS * | 322PQRRREKKR/G331 | H4N2 | H4N2 |
| H7N7_HA4 | 322PEKRRTR/G329 | H4N2 | H7N7 |
| H5N1_HA4 | 322PEKRRTR/G329 | H4N2 | H5N1 (Gs/Gd) |
| H5N1_HA4_T327R | 322PEKRRRR/G329 | H4N2 | H5N1 (Gs/Gd) |
| H5N1_HA4_T327K | 322PEKRRKR/G329 | H4N2 | H5N1 (Gs/Gd) |
| Virus | Oculonasal | IVPI | ||||
|---|---|---|---|---|---|---|
| Inoculated Chickens | Contact Chickens | |||||
| PI 1 | Mortality (MDT; Range) | SC | Mortality (MDT; Range) | SC | ||
| H4N2_wt | 0.0 | 0/6 (n.a.; n.a.) | 4/4 | 0/3 (n.a.; n.a.) | 3/3 | n.d. |
| H4N2_HA_T327R | 0.0 | 0/6 (n.a.; n.a.) | 4/4 | 0/4 (n.a.; n.a.) | 4/4 | 0.0 |
| H4N2_HA_T327K | 0.0 | 0/6 (n.a.; n.a.) | 4/4 | 0/4 (n.a.; n.a.) | 1/4 | 0.6 |
| H4N2_H5N2-HACS 2 | 0.0 | 0/6 (n.a.; n.a.) | 3/4 | 0/4 (n.a.; n.a.) | 0/4 | 0.1 |
| H7N7_HA4_wt | 0.0 | 0/6 (n.a.; n.a.) | 4/4 | 0/4 (n.a.; n.a.) | 4/4 | 0.3 |
| H5N1_HA4_wt | 0.5 | 0/6 (n.a.; n.a.) | 4/4 | 0/4 (n.a.; n.a.) | 4/4 | 2.1 |
| H5N1_HA4_T327R | 2.4 | 6/6 (3.8; 3–4) | n.a. | 3/4 (6.0; 4–8) | 1/1 | n.d. |
| H5N1_HA4_T327K | 2.7 | 6/6 (2.0; 2) | n.a. | 4/4 (3.5; 3–4) | n.a. | 2.8 |
© 2020 by the authors. Licensee MDPI, Basel, Switzerland. This article is an open access article distributed under the terms and conditions of the Creative Commons Attribution (CC BY) license (http://creativecommons.org/licenses/by/4.0/).
Share and Cite
Gischke, M.; Ulrich, R.; I. Fatola, O.; Scheibner, D.; Salaheldin, A.H.; Crossley, B.; Böttcher-Friebertshäuser, E.; Veits, J.; Mettenleiter, T.C.; Abdelwhab, E.M. Insertion of Basic Amino Acids in the Hemagglutinin Cleavage Site of H4N2 Avian Influenza Virus (AIV)—Reduced Virus Fitness in Chickens is Restored by Reassortment with Highly Pathogenic H5N1 AIV. Int. J. Mol. Sci. 2020, 21, 2353. https://doi.org/10.3390/ijms21072353
Gischke M, Ulrich R, I. Fatola O, Scheibner D, Salaheldin AH, Crossley B, Böttcher-Friebertshäuser E, Veits J, Mettenleiter TC, Abdelwhab EM. Insertion of Basic Amino Acids in the Hemagglutinin Cleavage Site of H4N2 Avian Influenza Virus (AIV)—Reduced Virus Fitness in Chickens is Restored by Reassortment with Highly Pathogenic H5N1 AIV. International Journal of Molecular Sciences. 2020; 21(7):2353. https://doi.org/10.3390/ijms21072353
Chicago/Turabian StyleGischke, Marcel, Reiner Ulrich, Olanrewaju I. Fatola, David Scheibner, Ahmed H. Salaheldin, Beate Crossley, Eva Böttcher-Friebertshäuser, Jutta Veits, Thomas C. Mettenleiter, and Elsayed M. Abdelwhab. 2020. "Insertion of Basic Amino Acids in the Hemagglutinin Cleavage Site of H4N2 Avian Influenza Virus (AIV)—Reduced Virus Fitness in Chickens is Restored by Reassortment with Highly Pathogenic H5N1 AIV" International Journal of Molecular Sciences 21, no. 7: 2353. https://doi.org/10.3390/ijms21072353
APA StyleGischke, M., Ulrich, R., I. Fatola, O., Scheibner, D., Salaheldin, A. H., Crossley, B., Böttcher-Friebertshäuser, E., Veits, J., Mettenleiter, T. C., & Abdelwhab, E. M. (2020). Insertion of Basic Amino Acids in the Hemagglutinin Cleavage Site of H4N2 Avian Influenza Virus (AIV)—Reduced Virus Fitness in Chickens is Restored by Reassortment with Highly Pathogenic H5N1 AIV. International Journal of Molecular Sciences, 21(7), 2353. https://doi.org/10.3390/ijms21072353

