In Silico Food-Drug Interaction: A Case Study of Eluxadoline and Fatty Meal
Abstract
1. Introduction
2. Results
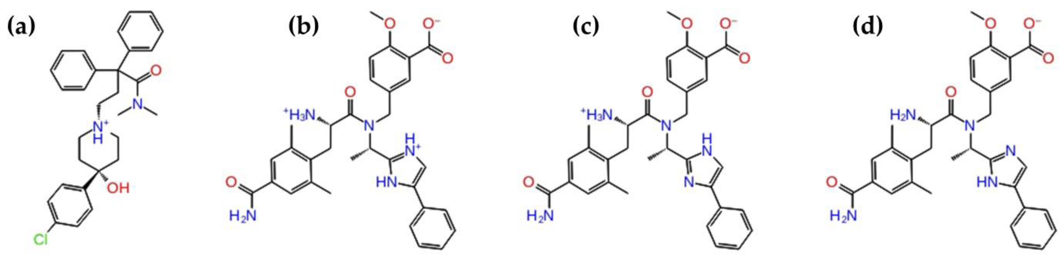
2.1. Analysis of Electrostatic Properties
2.2. Monte Carlo (MC)
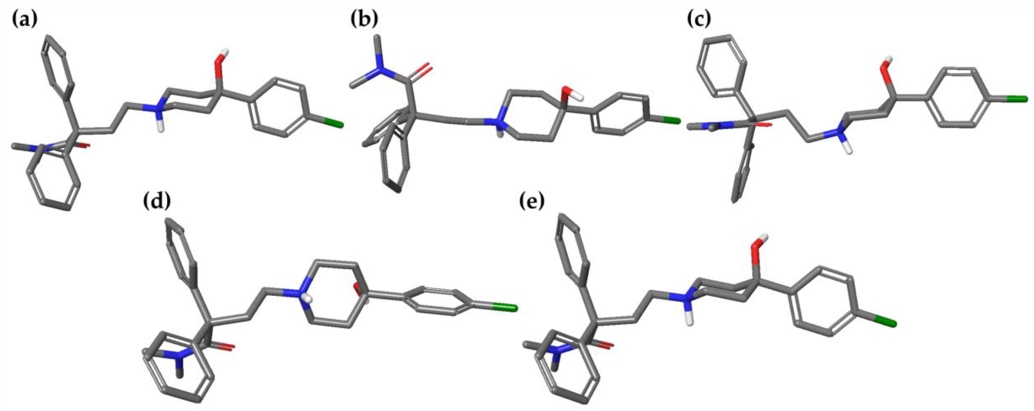
2.2.1. Loperamide
2.2.2. Eluxadoline
2.3. Molecular Dynamics (MD)
2.3.1. Loperamide
2.3.2. Eluxadoline
3. Discussion and Conclusions
4. Materials and Methods
4.1. LigPrep and MarvinSketch
4.2. Monte Carlo (MC)
4.3. Molecular Dynamic (MD)
Supplementary Materials
Author Contributions
Funding
Acknowledgments
Conflicts of Interest
Abbreviations
| FDA | Food and Drug Administration |
| IBS | Irritable Bowel Syndrome |
| ORs | Opioid Receptors |
| GI | Gastrointestinal |
| μOR | μ-opioid receptor |
| κOR | κ-opioid receptor |
| δOR | δ-opioid receptor |
| IBS-C | IBS with constipation |
| IBS-D | IBS with diarrhea |
| IBS-M | IBS with a mixed bowel pattern |
| Ki | Binding affinity |
| MC | Monte Carlo |
| MD | Molecular Dynamic |
| E1 | Eluxadoline – pH 6 |
| E2 | Eluxadoline – pH 7 |
| E3 | Eluxadoline – pH 8 |
| L | Loperamide |
| w | Water |
| o | Octanol |
| RMSd | Root Mean Square deviation |
| %B | Boltzmann probability |
| H-bond | Hydrogen bond |
| RB | Rotatable Bond |
References
- Boullata, J.I.; Barber, J.R. A perspective on drug-nutrient interactions. In Handbook of Drug-Nutrient Interactions; Springer: Berlin, Germany, 2004; pp. 3–25. [Google Scholar]
- Bushra, R.; Aslam, N.; Khan, A.Y. Food-drug interactions. Oman Med. J. 2011, 26, 77–83. [Google Scholar] [CrossRef] [PubMed]
- Koziolek, M.; Alcaro, S.; Augustijns, P.; Basit, A.W.; Grimm, M.; Hens, B.; Hoad, C.L.; Jedamzik, P.; Madla, C.M.; Maliepaard, M.; et al. The mechanisms of pharmacokinetic food-drug interactions—A perspective from the UNGAP group. Eur. J. Pharm. Sci. 2019, 134, 31–59. [Google Scholar] [CrossRef] [PubMed]
- Garnock-Jones, K.P. Eluxadoline: First Global Approval. Drugs 2015, 75, 1305–1310. [Google Scholar] [CrossRef] [PubMed]
- Sobczak, M.; Sałaga, M.; Storr, M.A.; Fichna, J. Physiology, signaling, and pharmacology of opioid receptors and their ligands in the gastrointestinal tract: Current concepts and future perspectives. J. Gastroenterol. 2014, 49, 24–45. [Google Scholar] [CrossRef] [PubMed]
- Mearin, F.; Lacy, B.E.; Chang, L.; Chey, W.D.; Lembo, A.J.; Simren, M.; Spiller, R. Bowel Disorders. Gastroenterology 2016. [Google Scholar] [CrossRef]
- Cremonini, F.; Talley, N.J. Irritable bowel syndrome: Epidemiology, natural history, health care seeking and emerging risk factors. Gastroenterol. Clin. North. Am. 2005, 34, 189–204. [Google Scholar] [CrossRef]
- Canavan, C.; West, J.; Card, T. Review article: The economic impact of the irritable bowel syndrome. Aliment. Pharm. Ther. 2014, 40, 1023–1034. [Google Scholar] [CrossRef]
- Longstreth, G.F.; Wilson, A.; Knight, K.; Wong, J.; Chiou, C.F.; Barghout, V.; Frech, F.; Ofman, J.J. Irritable bowel syndrome, health care use, and costs: A U.S. managed care perspective. Am. J. Gastroenterol. 2003, 98, 600–607. [Google Scholar] [CrossRef]
- Corsetti, M.; Whorwell, P. New therapeutic options for IBS: The role of the first in class mixed µ- opioid receptor agonist and δ-opioid receptor antagonist (mudelta) eluxadoline. Expert Rev. Gastroenterol. Hepatol. 2017, 11, 285–292. [Google Scholar] [CrossRef]
- Balfour, J.A.; Goa, K.L.; Perry, C.M. Alosetron. Drugs 2000, 59, 511–518, discussion 519–520. [Google Scholar] [CrossRef]
- Qi, Q.; Zhang, Y.; Chen, F.; Zuo, X.; Li, Y. Ramosetron for the treatment of irritable bowel syndrome with diarrhea: A systematic review and meta-analysis of randomized controlled trials. BMC Gastroenterol. 2018, 18, 5. [Google Scholar] [CrossRef] [PubMed]
- Ashburn, T.T.; Gupta, M.S. The IBS market. Nat. Rev. Drug Discov. 2006, 5, 99–100. [Google Scholar] [CrossRef] [PubMed]
- Chen, L.; Ilham, S.J.; Feng, B. Pharmacological Approach for Managing Pain in Irritable Bowel Syndrome: A Review Article. Anesth. Pain Med. 2017, 7, e42747. [Google Scholar] [CrossRef] [PubMed]
- Davenport, J.M.; Covington, P.; Bonifacio, L.; McIntyre, G.; Venitz, J. Effect of uptake transporters OAT3 and OATP1B1 and efflux transporter MRP2 on the pharmacokinetics of eluxadoline. J. Clin. Pharm. 2015, 55, 534–542. [Google Scholar] [CrossRef] [PubMed]
- Wade, P.R.; Palmer, J.M.; McKenney, S.; Kenigs, V.; Chevalier, K.; Moore, B.A.; Mabus, J.R.; Saunders, P.R.; Wallace, N.H.; Schneider, C.R.; et al. Modulation of gastrointestinal function by MuDelta, a mixed µ opioid receptor agonist/ µ opioid receptor antagonist. Br. J. Pharm. 2012, 167, 1111–1125. [Google Scholar] [CrossRef]
- Mullard, A. FDA Approves Two IBS Drugs; Nature Publishing Group: Berlin, Germany, 2015. [Google Scholar]
- Maruca, A.; Ambrosio, F.A.; Lupia, A.; Romeo, I.; Rocca, R.; Moraca, F.; Talarico, C.; Bagetta, D.; Catalano, R.; Costa, G. Computer-based techniques for lead identification and optimization I: Basics. Phys. Sci. Rev. 2018, 4, 4. [Google Scholar] [CrossRef]
- Lupia, A.; Moraca, F.; Bagetta, D.; Maruca, A.; Ambrosio, F.A.; Rocca, R.; Catalano, R.; Romeo, I.; Talarico, C.; Ortuso, F. Computer-based techniques for lead identification and optimization II: Advanced search methods. Phys. Sci. Rev. 2019, 5, 5. [Google Scholar] [CrossRef]
- Catalano, R.; Rocca, R.; Juli, G.; Costa, G.; Maruca, A.; Artese, A.; Caracciolo, D.; Tagliaferri, P.; Alcaro, S.; Tassone, P.; et al. A drug repurposing screening reveals a novel epigenetic activity of hydroxychloroquine. Eur. J. Med. Chem. 2019, 183, 111715. [Google Scholar] [CrossRef]
- Costa, G.; Maruca, A.; Rocca, R.; Ambrosio, F.A.; Berrino, E.; Carta, F.; Mesiti, F.; Salatino, A.; Lanzillotta, D.; Trapasso, F.; et al. In Silico Identification and Biological Evaluation of Antioxidant Food Components Endowed with IX and XII. Antioxidants 2020, 9, 775. [Google Scholar] [CrossRef]
- Maruca, A.; Lanzillotta, D.; Rocca, R.; Lupia, A.; Costa, G.; Catalano, R.; Moraca, F.; Gaudio, E.; Ortuso, F.; Artese, A.; et al. Multi-Targeting Bioactive Compounds Extracted from Essential Oils as Kinase Inhibitors. Molecules 2020, 25, 2174. [Google Scholar] [CrossRef]
- Catalano, R.; Moraca, F.; Amato, J.; Cristofari, C.; Rigo, R.; Via, L.D.; Rocca, R.; Lupia, A.; Maruca, A.; Costa, G.; et al. Targeting multiple G-quadruplex-forming DNA sequences: Design, biophysical and biological evaluations of indolo-naphthyridine scaffold derivatives. Eur. J. Med. Chem. 2019, 182, 111627. [Google Scholar] [CrossRef] [PubMed]
- Costa, G.; Carta, F.; Ambrosio, F.A.; Artese, A.; Ortuso, F.; Moraca, F.; Rocca, R.; Romeo, I.; Lupia, A.; Maruca, A.; et al. A computer-assisted discovery of novel potential anti-obesity compounds as selective carbonic anhydrase VA inhibitors. Eur. J. Med. Chem. 2019, 181, 111565. [Google Scholar] [CrossRef] [PubMed]
- Costa, G.; Rocca, R.; Corona, A.; Grandi, N.; Moraca, F.; Romeo, I.; Talarico, C.; Gagliardi, M.G.; Ambrosio, F.A.; Ortuso, F.; et al. Novel natural non-nucleoside inhibitors of HIV-1 reverse transcriptase identified by shape- and structure-based virtual screening techniques. Eur. J. Med. Chem. 2019, 161, 1–10. [Google Scholar] [CrossRef] [PubMed]
- Rocca, R.; Moraca, F.; Costa, G.; Talarico, C.; Ortuso, F.; Da Ros, S.; Nicoletto, G.; Sissi, C.; Alcaro, S.; Artese, A. Identification of Piperidinyl-amine Derivatives as Novel Dual Binders of Oncogene c-myc/c-Kit G-quadruplexes. ACS Med. Chem. Lett. 2018, 9, 848–853. [Google Scholar] [CrossRef]
- Maruca, A.; Moraca, F.; Rocca, R.; Molisani, F.; Alcaro, F.; Gidaro, M.C.; Alcaro, S.; Costa, G.; Ortuso, F. Chemoinformatic Database Building and in Silico Hit-Identification of Potential Multi-Targeting Bioactive Compounds Extracted from Mushroom Species. Molecules 2017, 22, 1571. [Google Scholar] [CrossRef]
- Costa, G.; Rocca, R.; Moraca, F.; Talarico, C.; Romeo, I.; Ortuso, F.; Alcaro, S.; Artese, A. A Comparative Docking Strategy to Identify Polyphenolic Derivatives as Promising Antineoplastic Binders of G-quadruplex DNA c-myc and bcl-2 Sequences. Mol. Inf. 2016, 35, 391–402. [Google Scholar] [CrossRef]
- Lupia, A.; Mimmi, S.; Iaccino, E.; Maisano, D.; Moraca, F.; Talarico, C.; Vecchio, E.; Fiume, G.; Ortuso, F.; Scala, G.; et al. Molecular modelling of epitopes recognized by neoplastic B lymphocytes in Chronic Lymphocytic Leukemia. Eur. J. Med. Chem. 2020, 185, 111838. [Google Scholar] [CrossRef]
- Rocca, R.; Talarico, C.; Moraca, F.; Costa, G.; Romeo, I.; Ortuso, F.; Alcaro, S.; Artese, A. Molecular recognition of a carboxy pyridostatin toward G-quadruplex structures: Why does it prefer RNA? Chem. Biol. Drug Des. 2017, 90, 919–925. [Google Scholar] [CrossRef]
- Catalogna, G.; Moraca, F.; D’Antona, L.; Dattilo, V.; Perrotti, G.; Lupia, A.; Costa, G.; Ortuso, F.; Iuliano, R.; Trapasso, F.; et al. Review about the multi-target profile of resveratrol and its implication in the SGK1 inhibition. Eur. J. Med. Chem. 2019, 183, 111675. [Google Scholar] [CrossRef]
- Rocca, R.; Palazzesi, F.; Amato, J.; Costa, G.; Ortuso, F.; Pagano, B.; Randazzo, A.; Novellino, E.; Alcaro, S.; Moraca, F.; et al. Folding intermediate states of the parallel human telomeric G-quadruplex DNA explored using Well-Tempered Metadynamics. Sci. Rep. 2020, 10, 3176. [Google Scholar] [CrossRef]
- Livingstone, D.J. Theoretical property predictions. Curr Top. Med. Chem. 2003, 3, 1171–1192. [Google Scholar] [CrossRef] [PubMed]
- Díaz, N.; Sordo, T.L.; Suárez, D.; Méndez, R.; Villacorta, J.M.; Simón, L.; Rico, M.; Jiménez, M.A. Assessing the protonation state of drug molecules: The case of aztreonam. J. Med. Chem. 2006, 49, 3235–3243. [Google Scholar] [CrossRef] [PubMed]
- Ulander, J.; Broo, A. Use of empirical correction terms in calculating ionization constants. Int. J. Quantum Chem. 2005, 105, 866–874. [Google Scholar] [CrossRef]
- DrugBank. Available online: https://go.drugbank.com/drugs/DB00836 (accessed on 15 July 2020).
- ChemAxon. Available online: https://www.chemaxon.com (accessed on 15 July 2020).
- LigPrep. Schrödinger, Release 2018–3, LigPrep; Schrödinger, LLC: New York, NY, USA, 2018. [Google Scholar]
- Jorgensen, W.L.; Maxwell, D.S.; Tirado-Rives, J. Development and testing of the OPLS all-atom force field on conformational energetics and properties of organic liquids. J. Am. Chem. Soc. 1996, 118, 11225–11236. [Google Scholar] [CrossRef]
- MacroModel. MacroModel; Schrödinger, LLC: New York, NY, USA, 2018. [Google Scholar]
- Kaminski, G.A.; Friesner, R.A.; Tirado-Rives, J. Conference: Symposium on Molecular Dynamics-The Next Millenium Locations. J. Phys. Rev. Chem. B 2001, 105, 6474–6487. [Google Scholar] [CrossRef]
- Desmond. Desmond Molecular Dynamics System, D.E.; Shaw Research: New York, NY, USA, 2018. [Google Scholar]
- Jorgensen, W.L. Optimized intermolecular potential functions for liquid alcohols. J. Phys. Chem. 1986, 90, 1276–1284. [Google Scholar] [CrossRef]






| Solvent | Minimum Energy | %B | RMSd (Å) |
|---|---|---|---|
| Water | L-MC1w | 47.24 | - |
| L-MC2w | 19.02 | 2.58 | |
| L-MC3w | 12.27 | 2.51 | |
| L-MC4w | 10.02 | 2.18 | |
| Octanol | L-MC1o | 37.14 | - |
| L-MC2o | 34.31 | 2.54 | |
| L-MC3o | 22.27 | 2.67 |
| Solvent | Minimum Energy | %B | RMSd (Å) |
|---|---|---|---|
| Water | E1-MC1w | 37.31 | - |
| E1-MC2w | 31.29 | 0.51 | |
| Octanol | E1-MC1o | 51.61 | - |
| E1-MC2o | 12.05 | 3.71 |
| Solvent | Minimum Energy | %B | RMSd (Å) |
|---|---|---|---|
| Water | E2-MC1w | 15.73 | - |
| E2-MC2w | 13.47 | 3.53 | |
| E2-MC3w | 10.66 | 0.69 | |
| Octanol | E2-MC1o | 18.73 | - |
| E2-MC2o | 13.05 | 0.57 |
| Solvent | Minimum Energy | %B | RMSd (Å) |
|---|---|---|---|
| Water | E3-MC1w | 18.43 | - |
| E3-MC2w | 12.54 | 3.52 | |
| E3-MC3w | 12.07 | 3.79 | |
| Octanol | E3-MC1o | 48.25 | - |
| E3-MC2o | 41.22 | 0.61 |
| Solvent | Minimum Energy | %B | RMSd (Å) | Intramolecular Interactions |
|---|---|---|---|---|
| Water | L-MD1w | 39.24 | - | No |
| L-MD2w | 32.59 | 0.98 | No | |
| L-MD3w | 28.16 | 0.93 | No | |
| Octanol | L-MD1o | 58.99 | - | No |
| L-MD2o | 40.90 | 0.93 | No |
| Solvent | Minimum Energy | %B | RMSd (Å) | Intramolecular Interactions 1 |
|---|---|---|---|---|
| Water | E1-MD1w | 33.11 | - | 1HB, 1EI |
| E1-MD2w | 31.97 | 1.45 | 1HB | |
| E1-MD3w | 12.67 | 1.04 | 1HB, 1EI | |
| Octanol | E1-MD1o | 82.86 | - | 1HB |
| E1-MD2o | 13.66 | 1.88 | 1HB |
| Solvent | Minimum Energy | %B | RMSd (Å) | Intramolecular Interactions 1 |
|---|---|---|---|---|
| Water | E2-MD1w | 41.46 | - | 1HB |
| E2-MD2w | 38.00 | 1.14 | No | |
| E2-MD3w | 15.51 | 0.81 | No | |
| Octanol | E2-MD1o | 50.15 | - | 1HB/1EI |
| E2-MD2o | 39.12 | 0.51 | 1HB/1EI |
| Solvent | Minimum Energy | %B | RMSd (Å) | Intramolecular Interactions 1 |
|---|---|---|---|---|
| Water | E3-MD1w | 27.97 | - | π-π |
| E3-MD2w | 26.96 | 1.71 | No | |
| E3-MD3w | 10.82 | 0.65 | No | |
| E3-MD4w | 10.61 | 1.82 | No | |
| Octanol | E3-MD1o | 96.87 | - | 1HB |
Publisher’s Note: MDPI stays neutral with regard to jurisdictional claims in published maps and institutional affiliations. |
© 2020 by the authors. Licensee MDPI, Basel, Switzerland. This article is an open access article distributed under the terms and conditions of the Creative Commons Attribution (CC BY) license (http://creativecommons.org/licenses/by/4.0/).
Share and Cite
Maruca, A.; Lupia, A.; Rocca, R.; Keszthelyi, D.; Corsetti, M.; Alcaro, S. In Silico Food-Drug Interaction: A Case Study of Eluxadoline and Fatty Meal. Int. J. Mol. Sci. 2020, 21, 9127. https://doi.org/10.3390/ijms21239127
Maruca A, Lupia A, Rocca R, Keszthelyi D, Corsetti M, Alcaro S. In Silico Food-Drug Interaction: A Case Study of Eluxadoline and Fatty Meal. International Journal of Molecular Sciences. 2020; 21(23):9127. https://doi.org/10.3390/ijms21239127
Chicago/Turabian StyleMaruca, Annalisa, Antonio Lupia, Roberta Rocca, Daniel Keszthelyi, Maura Corsetti, and Stefano Alcaro. 2020. "In Silico Food-Drug Interaction: A Case Study of Eluxadoline and Fatty Meal" International Journal of Molecular Sciences 21, no. 23: 9127. https://doi.org/10.3390/ijms21239127
APA StyleMaruca, A., Lupia, A., Rocca, R., Keszthelyi, D., Corsetti, M., & Alcaro, S. (2020). In Silico Food-Drug Interaction: A Case Study of Eluxadoline and Fatty Meal. International Journal of Molecular Sciences, 21(23), 9127. https://doi.org/10.3390/ijms21239127

