The Effects of Immunosuppressive Treatment during Pregnancy on the Levels of Potassium, Iron, Chromium, Zinc, Aluminum, Sodium and Molybdenum in Hard Tissues of Female Rats and Their Offspring
Abstract
1. Introduction
2. Results
2.1. Effects of Immunosuppressive Therapy on the Levels of Studied Minerals (K, Fe, Cr, Zn, Al, Mo) in Rat Bone Tissue
2.2. Offspring of Mothers Receiving Immunosuppressive Treatment
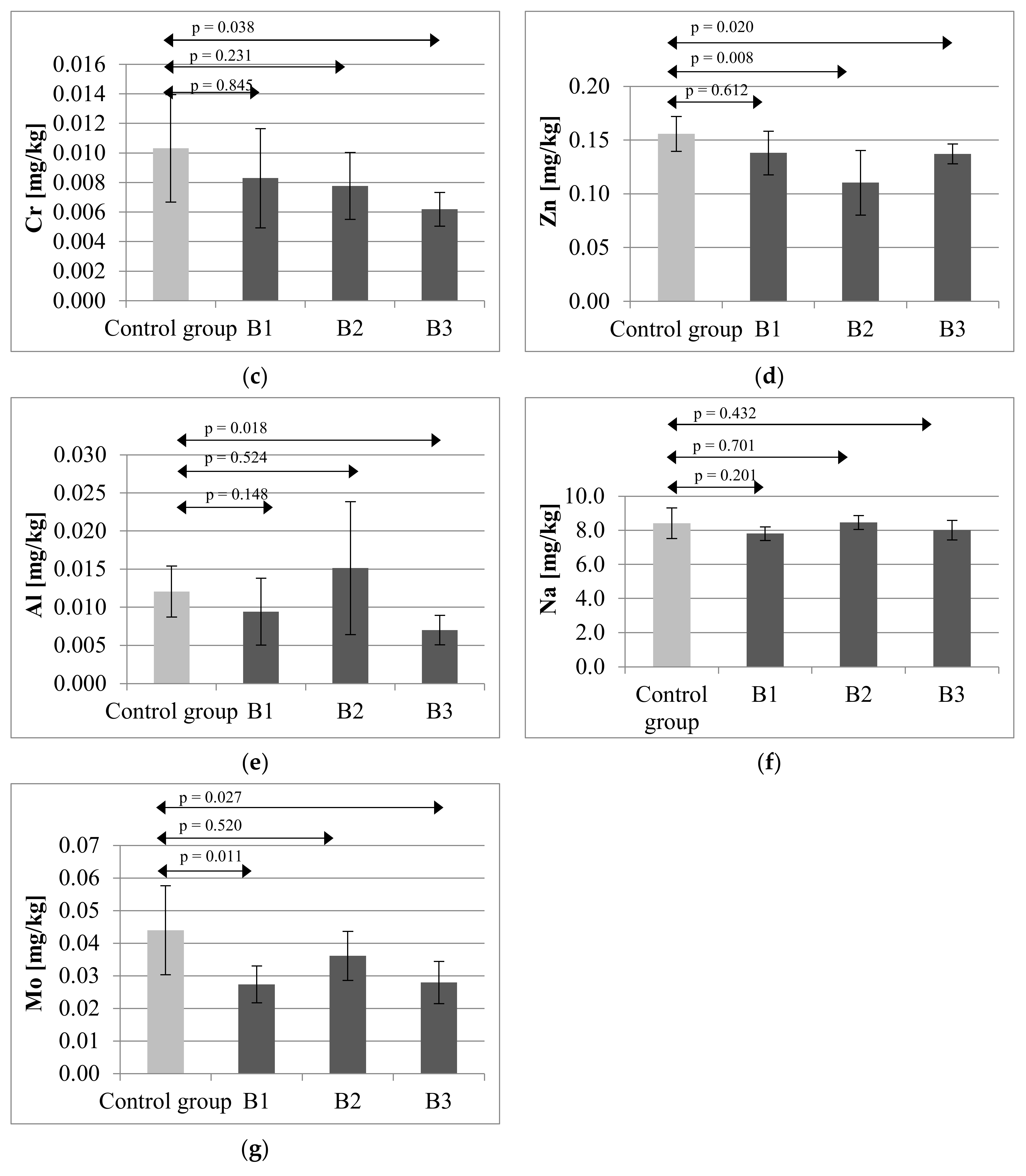
2.3. Effects of Immunosuppressive Therapy on the Levels of Studied Minerals (K, Fe, Cr, Zn, Al, Mo) in Rat Teeth
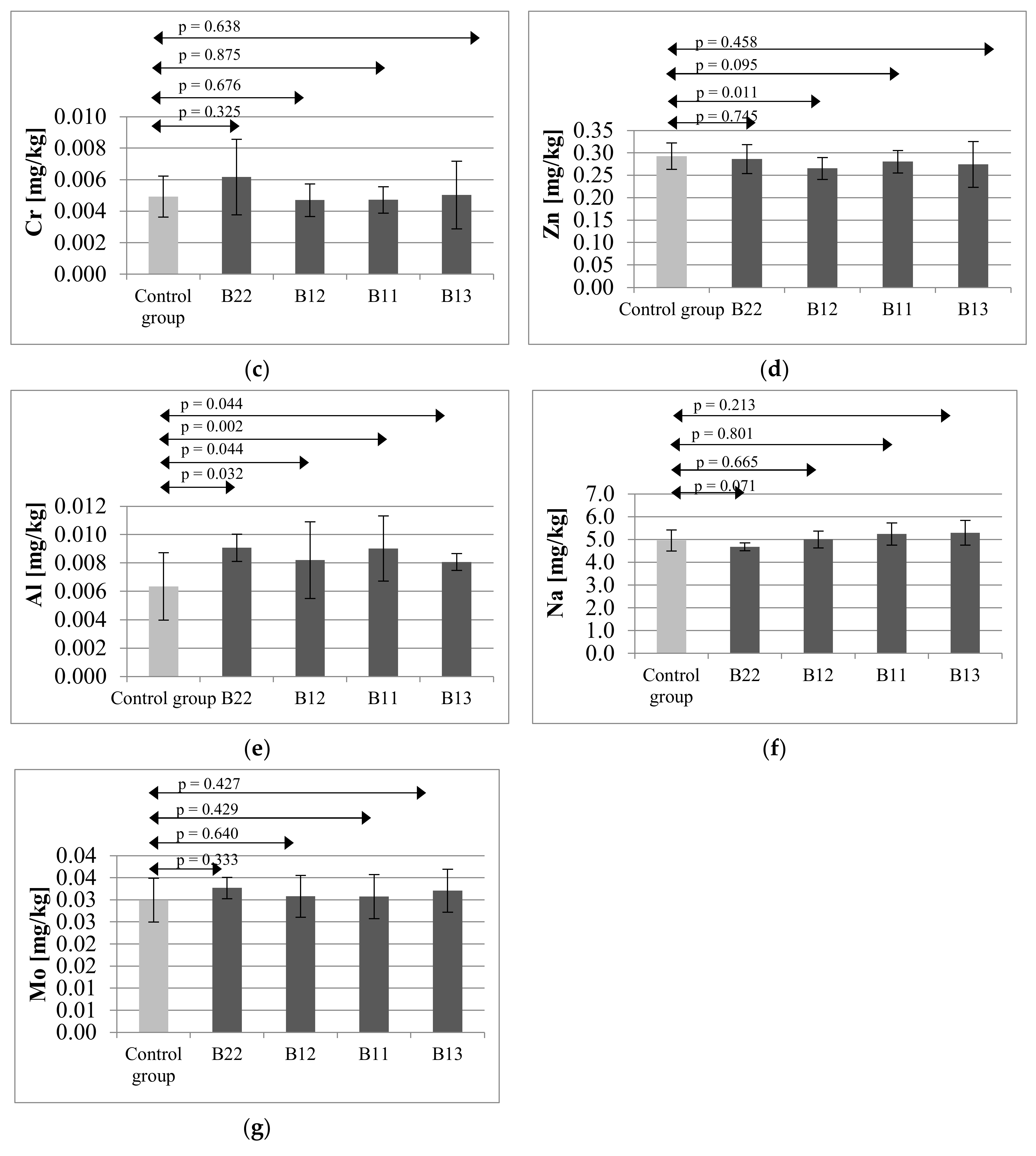
2.4. Offspring of Mothers Receiving Immunosuppressive Treatment
3. Discussion
4. Material and Methods
4.1. Characteristics of the Study Population
- Group B1 (n = 8)
- prednisone (Encorton, Polfa, Warsaw, Poland): 4 mg/kg/day
- CsA (Sandimmun Neoral, Novartis, Basel, Switzerland): 5 mg/kg/day
- MMF (CellCept; Hoffmann-La Roche Ltd., Basel, Switzerland): 20 mg/kg/day
- Group B2 (n = 8)
- prednisone (Encorton, Polfa, Warsaw, Poland): 4 mg/kg/day
- MMF (CellCept; Hoffmann-La Roche Ltd., Basel, Switzerland): 20 mg/kg/day
- Tc (Prograf, Astellas, Northbrook, IL, USA): 4 mg/kg/day
- Group B3 (n = 8)
- prednisone (Encorton, Polfa, Warsaw, Poland): 4 mg/kg/day
- CsA (Sandimmun Neoral, Novartis, Basel, Switzerland): 5 mg/kg/day
- everolimus (Certican; Novartis, Basel, Switzerland): 0.5 mg/kg/day
- Group B11 (n = 2)
- prednisone (Encorton, Polfa, Warsaw, Poland): 4 mg/kg/day
- CsA (Sandimmun Neoral, Novartis, Basel, Switzerland): 2.5 mg/kg/day
- MMF (CellCept; Hoffmann-La Roche Ltd., Basel, Switzerland): 10 mg/kg/day
- Group B12 (n = 3)
- Tc (Prograf, Astellas, Northbrook, IL, USA): 2 mg/kg/day
- MMF (CellCept; Hoffmann-La Roche Ltd., Basel, Switzerland): 10 mg/kg/day
- prednisone (Encorton, Polfa, Warsaw, Poland): 4 mg/kg/day
- Group B13 (n = 3)
- CsA (Sandimmun Neoral, Novartis, Basel, Switzerland): 2.5 mg/kg/day
- everolimus (Certican; Novartis, Basel, Switzerland): 0.25 mg/kg/day
- prednisone (Encorton, Polfa, Warsaw, Poland): 4 mg/kg/day.
4.2. Sample Preparation and Decomposition
4.3. Elemental Composition Analysis
4.4. Statistical Analysis
Author Contributions
Funding
Conflicts of Interest
References
- Kamińska, J.; Sobiak, J.; Suliburska, J.; Duda, G.; Głyda, M.; Krejpcio, Z.; Chrzanowska, M. Effect of Mycophenolate Mofetil on Plasma Bioelements in Renal Transplant Recipients. Biol. Trace Elem. Res. 2012, 145, 136–143. [Google Scholar] [CrossRef] [PubMed]
- Molnar, M.Z.; Naser, M.S.; Rhee, C.M.; Kalantar-Zadeh, K.; Bunnapradist, S. Bone and mineral disorders after kidney transplantation: Therapeutic strategies. Transplant. Rev. 2013, 28, 56–62. [Google Scholar] [CrossRef] [PubMed]
- Kabat-Koperska, J.; Kolasa-Wołosiuk, A.; Wojciuk, B.; Wojciechowska-Koszko, I.; Roszkowska, P.; Krasnodębska-Szponder, B.; Paczkowska, E.; Safranow, K.; Golembiewska, E.; Machaliński, B.; et al. The influence of intrauterine exposure to immunosuppressive treatment on changes in the immune system in juvenile Wistar rats. Drug Des. Dev. Ther. 2016, 10, 2279–2288. [Google Scholar] [CrossRef] [PubMed]
- Kabat-Koperska, J.; Kolasa-Wołosiuk, A.; Pilutin, A.; Safranow, K.; Kosik-Bogacka, D.; Baranowska-Bosiacka, I.; Golembiewska, E.; Kędzierska, K.; Domański, L.; Ciechanowski, K. Birth defects in juvenile Wistar rats after exposure to immunosuppressive drugs during pregnancy. Histol. Histopathol. 2016, 43–55. [Google Scholar] [CrossRef]
- Shah, S.; Verma, P. Overview of Pregnancy in Renal Transplant Patients. Int. J. Nephrol. 2016, 2016, 1–7. [Google Scholar] [CrossRef]
- Palacios, C. The Role of Nutrients in Bone Health, from A to Z. Crit. Rev. Food Sci. Nutr. 2006, 46, 621–628. [Google Scholar] [CrossRef]
- Della Pepa, G.; Brandi, M.L. Microelements for bone boost: The last but not the least. Clin. Cases Miner. Bone Metab. 2017, 13, 181–185. [Google Scholar] [CrossRef]
- Westenfeld, R.; Schlieper, G.; Wöltje, M.; Gawlik, A.; Brandenburg, V.; Rutkowski, P.; Floege, J.; Jahnen-Dechent, W.; Ketteler, M. Impact of sirolimus, tacrolimus and mycophenolate mofetil on osteoclastogenesis—Implications for post-transplantation bone disease. Nephrol. Dial. Transplant. 2011, 26, 4115–4123. [Google Scholar] [CrossRef] [PubMed]
- Zhang, R.; Chouhan, K.K. Metabolic bone diseases in kidney transplant recipients. World J. Nephrol. 2012, 1, 127. [Google Scholar] [CrossRef] [PubMed]
- Weinstein, R.S. Glucocorticoid-Induced Bone Disease. N. Engl. J. Med. 2011, 365, 62–70. [Google Scholar] [CrossRef] [PubMed]
- Yamaguchi, M. Role of nutritional zinc in the prevention of osteoporosis. Mol. Cell. Biochem. 2010, 338, 241–254. [Google Scholar] [CrossRef] [PubMed]
- Rahnama, M.; Błoniarz, J.; Zareba, S.; Łukaszewicz, D. The influence of experimental corticoid therapy on the zinc levels in the rat’s teeth. Roczniki Państwowego Zakładu Higieny 2001, 52, 119–125. [Google Scholar] [PubMed]
- Samachson, J.; Dennis, J.; Fowler, R.; Schmitz, A. The reaction of 65Zn with the surfaces of bone and bone mineral. Biochim. Biophys. Acta BBA Gen. Subj. 1967, 148, 767–773. [Google Scholar] [CrossRef]
- Haumont, S. Distribution of zinc in bone tissue. J. Histochem. Cytochem. 1961, 9, 141–145. [Google Scholar] [CrossRef] [PubMed]
- Wondimu, B.; Németh, A.; Modéer, T. Oral health in liver transplant children administered cyclosporin A or tacrolimus. Int. J. Paediatr. Dent. 2001, 11, 424–429. [Google Scholar] [CrossRef]
- Hathcock, J.N. Vitamin and Mineral Safety, 2nd ed.; Council for Responsible Nutrition: Washington, DC, USA, 2004. [Google Scholar]
- Belaidi, A.A.; Schwarz, G. Molybdenum Cofactor in Humans. In Molecular, Genetic, and Nutritional Aspects of Major and Trace Minerals; Elsevier: Amsterdam, The Netherlands, 2017; pp. 399–410. [Google Scholar]
- Brem, J.J.; Trulls, H.E.; Sánchez Negrette, M.; Ortíz, M.L. Osseous tissue damage in rats treated with ammonium tetrathiomolybdate. Rev. Veter. 2009, 20, 25–30. [Google Scholar] [CrossRef]
- Vyskočil, A.; Viau, C. Assessment of molybdenum toxicity in humans. J. Appl. Toxicol. 1999, 19, 185–192. [Google Scholar] [CrossRef]
- Al-Uzri, A.; Yorgin, P.D.; Kling, P.J. Anemia in children after transplantation: Etiology and the effect of immunosuppressive therapy on erythropoiesis. Pediatr. Transplant. 2003, 7, 253–264. [Google Scholar] [CrossRef] [PubMed]
- Yakupoglu, H.Y.; Corsenca, A.; Wahl, P.; Wüthrich, R.P.; Ambühl, P.M. Posttransplant Acidosis and Associated Disorders of Mineral Metabolism in Patients with a Renal Graft. Transplant 2007, 84, 1151–1157. [Google Scholar] [CrossRef] [PubMed]
- Maiorano, A.; Stallone, G.; Schena, A.; Infante, B.; Pontrelli, P.; Schena, F.P.; Grandaliano, G. Sirolimus Interferes with Iron Homeostasis in Renal Transplant Recipients. Transplant 2006, 82, 908–912. [Google Scholar] [CrossRef]
- Dermience, M.; Lognay, G.; Mathieu, F.; Goyens, P. Effects of thirty elements on bone metabolism. J. Trace Elem. Med. Biol. 2015, 32, 86–106. [Google Scholar] [CrossRef] [PubMed]
- Jehle, P.M.; Jehle, D.R.; Mohan, S.; Keller, F. Renal osteodystrophy: New insights in pathophysiology and treatment modalities with special emphasis on the insulin-like growth factor system. Nephron 1998, 79, 249–264. [Google Scholar] [CrossRef] [PubMed]
- Soudani, N.; Ben Amara, I.; Troudi, A.; Bouaziz, H.; Boudawara, T.; Zeghal, N. Oxidative stress induced by chromium (VI) in bone of suckling rats. Toxicol. Ind. Heal. 2011, 27, 724–734. [Google Scholar] [CrossRef] [PubMed]
- Katz, I.A.; Takizawa, M.; Joffe, I.I.; Stein, B.; Fallon, M.D.; Epstein, S. Comparison of the effects of FK506 and cyclosporine on bone mineral metabolism in the rat. A pilot study. Transplantation 1991, 52, 571–574. [Google Scholar]
- Jolicoeur, E.M.; Qi, S.; Xu, D.; Dumont, L.; Daloze, P.; Chen, H. Combination therapy of mycophenolate mofetil and rapamycin in prevention of chronic renal allograft rejection in the rat1. Transplantation 2003, 75, 54–59. [Google Scholar] [CrossRef] [PubMed]
- Ma, Y.; Kobayashi, T.; Kuzuya, T.; Liu, D.; Nagasaka, T.; Yokoyama, I.; Miwa, Y.; Morozumi, K.; Oikawa, T.; Uchida, K.; et al. Is Absorption Profile of Cyclosporine Really Important for Effective Immunosuppression? Biol. Pharm. Bull. 2006, 29, 336–342. [Google Scholar] [CrossRef] [PubMed]
- Van Westrhenen, R.; Aten, J.; Hajji, N.; De Boer, O.J.; Kunne, C.; De Waart, D.R.; Krediet, R.T. Cyclosporin A Induces Peritoneal Fibrosis and Angiogenesis during Chronic Peritoneal Exposure to a Glucose-Based, Lactate-Buffered Dialysis Solution in the Rat. Blood Purif. 2007, 25, 466–472. [Google Scholar] [CrossRef] [PubMed]
- Sagiroglu, T.; Sezer, A.; Torun, N.; Yalta, T.; Yagci, M.A.; Sagiroglu, G.; Copuroglu, E. Protective effect of everolimus on renal ischemia reperfusion injury in rats. Saudi J. Kidney Dis. Transplant. 2014, 25, 294. [Google Scholar] [CrossRef] [PubMed]
- Viklicky, O.; Müller, V.; Zou, H.; Szabó, A.; Vitko, S.; Heemann, U. RAD reduces compensatory renal graft hypertrophy in a rat model of chronic rejection. Transplant. Proc. 2001, 33, 2320–2321. [Google Scholar] [CrossRef]
- Martínez-Pallí, G.; Hirose, R.; Liu, T.; Xu, F.; Dang, K.; Feiner, J.; Serkova, N.J.; Niemann, C.U. Donor pre-treatment with everolimus or cyclosporine does not reduce ischaemia-reperfusion injury in a rat kidney transplant model. Nephrol. Dial. Transplant. 2010, 26, 1813–1820. [Google Scholar] [CrossRef] [PubMed]
- Kurdián, M.; Herrero-Fresneda, I.; Lloberas, N.; Gimenez-Bonafe, P.; Coria, V.; Grande, M.T.; Boggia, J.; Malacrida, L.; Torras, J.; Arévalo, M.A.; et al. Delayed mTOR Inhibition with Low Dose of Everolimus Reduces TGFβ Expression, Attenuates Proteinuria and Renal Damage in the Renal Mass Reduction Model. PLoS ONE 2012, 7, e32516. [Google Scholar] [CrossRef] [PubMed]
- Piao, S.G.; Bae, S.K.; Lim, S.W.; Song, J.-H.; Chung, B.H.; Choi, B.S.; Yang, C.W. Drug Interaction Between Cyclosporine and mTOR Inhibitors in Experimental Model of Chronic Cyclosporine Nephrotoxicity and Pancreatic Islet Dysfunction. Transplantation 2012, 93, 383–389. [Google Scholar] [CrossRef] [PubMed]







Publisher’s Note: MDPI stays neutral with regard to jurisdictional claims in published maps and institutional affiliations. |
© 2020 by the authors. Licensee MDPI, Basel, Switzerland. This article is an open access article distributed under the terms and conditions of the Creative Commons Attribution (CC BY) license (http://creativecommons.org/licenses/by/4.0/).
Share and Cite
Styburski, D.; Żwierełło, W.; Skórka-Majewicz, M.; Goschorska, M.; Baranowska-Bosiacka, I.; Kabat-Koperska, J.; Chlubek, D.; Gutowska, I. The Effects of Immunosuppressive Treatment during Pregnancy on the Levels of Potassium, Iron, Chromium, Zinc, Aluminum, Sodium and Molybdenum in Hard Tissues of Female Rats and Their Offspring. Int. J. Mol. Sci. 2020, 21, 9038. https://doi.org/10.3390/ijms21239038
Styburski D, Żwierełło W, Skórka-Majewicz M, Goschorska M, Baranowska-Bosiacka I, Kabat-Koperska J, Chlubek D, Gutowska I. The Effects of Immunosuppressive Treatment during Pregnancy on the Levels of Potassium, Iron, Chromium, Zinc, Aluminum, Sodium and Molybdenum in Hard Tissues of Female Rats and Their Offspring. International Journal of Molecular Sciences. 2020; 21(23):9038. https://doi.org/10.3390/ijms21239038
Chicago/Turabian StyleStyburski, Daniel, Wojciech Żwierełło, Marta Skórka-Majewicz, Marta Goschorska, Irena Baranowska-Bosiacka, Joanna Kabat-Koperska, Dariusz Chlubek, and Izabela Gutowska. 2020. "The Effects of Immunosuppressive Treatment during Pregnancy on the Levels of Potassium, Iron, Chromium, Zinc, Aluminum, Sodium and Molybdenum in Hard Tissues of Female Rats and Their Offspring" International Journal of Molecular Sciences 21, no. 23: 9038. https://doi.org/10.3390/ijms21239038
APA StyleStyburski, D., Żwierełło, W., Skórka-Majewicz, M., Goschorska, M., Baranowska-Bosiacka, I., Kabat-Koperska, J., Chlubek, D., & Gutowska, I. (2020). The Effects of Immunosuppressive Treatment during Pregnancy on the Levels of Potassium, Iron, Chromium, Zinc, Aluminum, Sodium and Molybdenum in Hard Tissues of Female Rats and Their Offspring. International Journal of Molecular Sciences, 21(23), 9038. https://doi.org/10.3390/ijms21239038

