Changes in microRNA Expression in the Cochlear Nucleus and Inferior Colliculus after Acute Noise-Induced Hearing Loss
Abstract
1. Introduction
2. Results
2.1. Hearing Changes after Noise Exposure
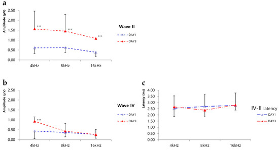
2.2. ABR Amplitudes
2.3. ABR Latencies
2.4. Histology of the Organ of Corti
2.5. Phalloidin Staining of Outer HCs
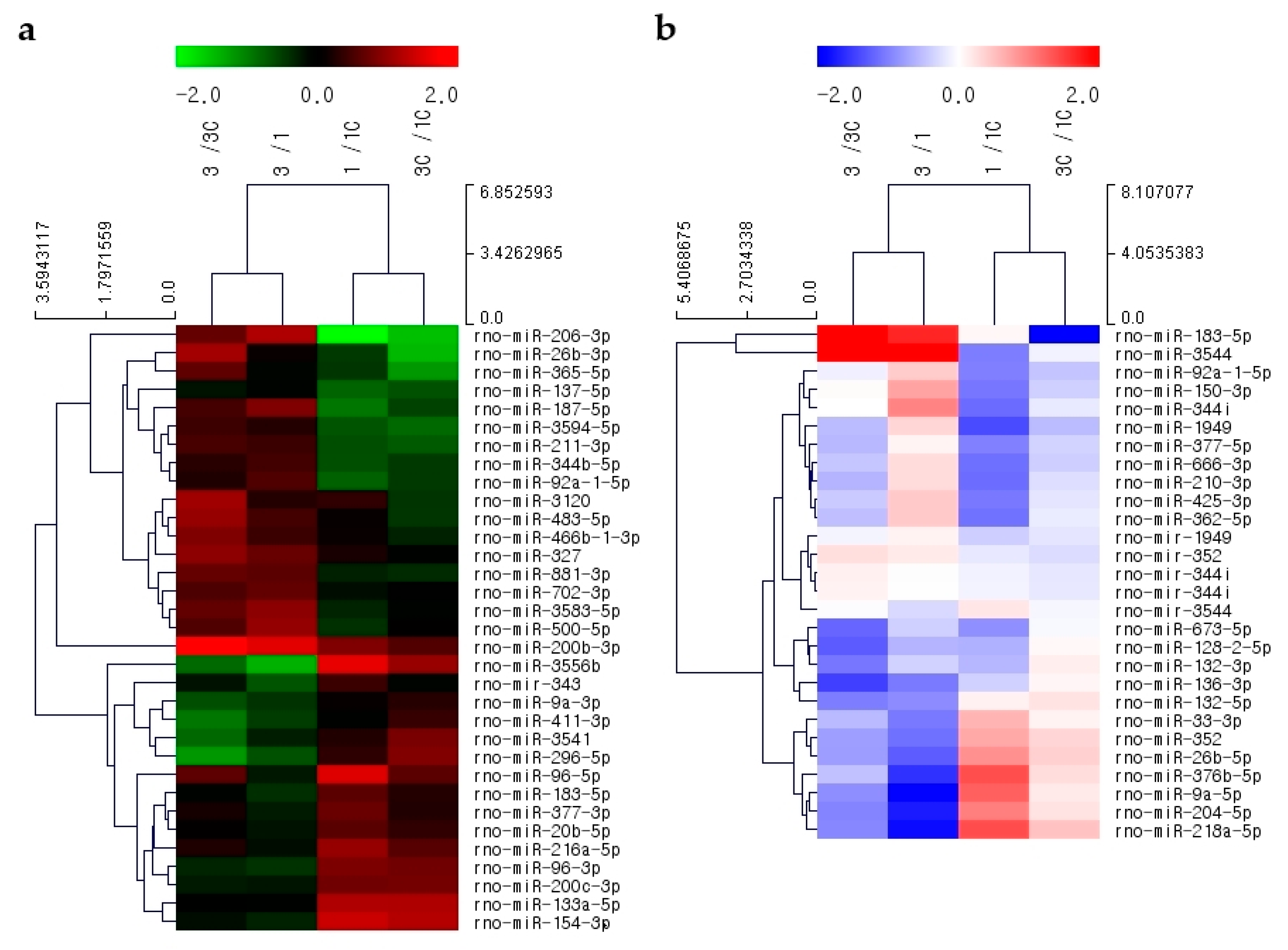
2.6. Selection of Candidate miRNAs
2.6.1. The CN
2.6.2. The IC
2.7. Validation of Candidate miRNAs Using qRT-PCR
2.7.1. The CN
2.7.2. The IC
2.8. Target Pathway Analysis of Candidate miRNAs
2.8.1. The CN
2.8.2. The IC
3. Discussion
4. Materials and Methods
4.1. Study Design
4.2. Animal Subjects
4.3. Noise-Exposure Protocol
4.4. Auditory Brainstem Response (ABR) Recordings
4.5. Cochlear Whole-Mount Surface Preparation
4.6. Outer HC Staining
4.7. Cochlear Histology
4.8. RNA Extraction
4.9. Analysis of miRNA Arrays
4.10. Quantitative Reverse Transcription Polymerase Chain Reaction (qRT-PCR)
4.11. Pathway Analysis of Candidate miRNAs
4.12. Statistical Analyses
5. Conclusions
Supplementary Materials
Author Contributions
Funding
Conflicts of Interest
Abbreviations
| ABR | Auditory Brainstem Response |
| CN | Cochlear Nucleus |
| HC | Hair Cell |
| IC | Inferior Colliculus |
| KEGG | Kyoto Encyclopedia of Genes and Genomics |
| MAPK | Mitogen-Activated Protein Kinase |
| MiRNA | MicroRNA |
| NIHL | Noise-induced Hearing Loss |
| PFN2 | Profilin2 |
| PTS | Permanent Threshold Shift |
| SAPK/JNK | Stress-Activated Protein Kinase/c-Jun NH(2)-terminal Kinase |
| SNHL | Sensorineural Hearing Loss |
| SOC | Superior Olivary Complex |
| SPL | Sound Pressure Level |
| TTS | Temporary Threshold Shift |
| TGF- β | transforming growth factor-beta |
| VCN | Ventral Cochlear Nucleus |
References
- World Health Organization. Deafness and Hearing Loss. 20 March 2019. Available online: https://www.who.int/news-room/fact-sheets/detail/deafness-and-hearing-loss (accessed on 17 February 2019).
- Barker, A.B.; Leighton, P.; Ferguson, M.A. Coping together with hearing loss: A qualitative meta-synthesis of the psychosocial experiences of people with hearing loss and their communication partners. Int. J. Audiol. 2017, 56, 297–305. [Google Scholar] [CrossRef] [PubMed]
- Le, T.N.; Straatman, L.V.; Lea, J.; Westerberg, B. Current insights in noise-induced hearing loss: A literature review of the underlying mechanism, pathophysiology, asymmetry, and management options. J. Otolaryngol. Head Neck Surg. 2017, 46, 41. [Google Scholar] [CrossRef] [PubMed]
- Ryan, A.F.; Kujawa, S.G.; Hammill, T.; Le Prell, C.; Kil, J. Temporary and Permanent Noise-induced Threshold Shifts: A Review of Basic and Clinical Observations. Otol. Neurotol. 2016, 37, e271–e275. [Google Scholar] [CrossRef] [PubMed]
- Wang, W.; Zhang, L.S.; Zinsmaier, A.K.; Patterson, G.; Leptich, E.J.; Shoemaker, S.L.; Yatskievych, T.A.; Gibboni, R.; Pace, E.; Luo, H.; et al. Neuroinflammation mediates noise-induced synaptic imbalance and tinnitus in rodent models. PLoS Biol. 2019, 17, e3000307. [Google Scholar] [CrossRef] [PubMed]
- Shin, S.-O. Updates in Noise Induced Hearing Loss. Korean J. Otorhinolaryngol. Head Neck Surg. 2014, 57, 584. [Google Scholar] [CrossRef]
- Tang, C.; Wang, H.; Wu, H.; Yan, S.; Han, Z.; Jiang, Z.; Na, M.; Guo, M.; Lu, D.; Lin, Z. The MicroRNA Expression Profiles of Human Temporal Lobe Epilepsy in HS ILAE Type 1. Cell Mol. Neurobiol. 2019, 39, 461–470. [Google Scholar] [CrossRef]
- Minones-Moyano, E.; Porta, S.; Escaramis, G.; Rabionet, R.; Iraola, S.; Kagerbauer, B.; Espinosa-Parrilla, Y.; Ferrer, I.; Estivill, X.; Marti, E. MicroRNA profiling of Parkinson’s disease brains identifies early downregulation of miR-34b/c which modulate mitochondrial function. Hum. Mol. Genet. 2011, 20, 3067–3078. [Google Scholar] [CrossRef]
- Maffioletti, E.; Cattaneo, A.; Rosso, G.; Maina, G.; Maj, C.; Gennarelli, M.; Tardito, D.; Bocchio-Chiavetto, L. Peripheral whole blood microRNA alterations in major depression and bipolar disorder. J. Affect. Disord. 2016, 200, 250–258. [Google Scholar] [CrossRef]
- Rupaimoole, R.; Slack, F.J. MicroRNA therapeutics: Towards a new era for the management of cancer and other diseases. Nat. Rev. Drug Discov. 2017, 16, 203–222. [Google Scholar] [CrossRef]
- To, K.K.W.; Fong, W.; Tong, C.W.S.; Wu, M.; Yan, W.; Cho, W.C.S. Advances in the discovery of microRNA-based anticancer therapeutics: Latest tools and developments. Expert Opin. Drug Discov. 2020, 15, 63–83. [Google Scholar] [CrossRef]
- Kandel, E.R. Principles of Neural Science, 5th ed.; McGraw-Hill: New York, NY, USA, 2013; p. l. 1709p. [Google Scholar]
- Sonntag, M.; Blosa, M.; Schmidt, S.; Rubsamen, R.; Morawski, M. Perineuronal nets in the auditory system. Hear. Res. 2015, 329, 21–32. [Google Scholar] [CrossRef] [PubMed]
- Ono, M.; Ito, T. Functional organization of the mammalian auditory midbrain. J. Physiol. Sci. 2015, 65, 499–506. [Google Scholar] [CrossRef] [PubMed]
- Alvarado, J.C.; Fuentes-Santamaria, V.; Jareno-Flores, T.; Blanco, J.L.; Juiz, J.M. Normal variations in the morphology of auditory brainstem response (ABR) waveforms: A study in Wistar rats. Neurosci. Res. 2012, 73, 302–311. [Google Scholar] [CrossRef] [PubMed]
- Sugawara, M.; Corfas, G.; Liberman, M.C. Influence of supporting cells on neuronal degeneration after hair cell loss. J. Assoc. Res. Otolaryngol. 2005, 6, 136–147. [Google Scholar] [CrossRef] [PubMed]
- Tagoe, T.; Barker, M.; Jones, A.; Allcock, N.; Hamann, M. Auditory nerve perinodal dysmyelination in noise-induced hearing loss. J. Neurosci. 2014, 34, 2684–2688. [Google Scholar] [CrossRef] [PubMed]
- Mehraei, G.; Hickox, A.E.; Bharadwaj, H.M.; Goldberg, H.; Verhulst, S.; Liberman, M.C.; Shinn-Cunningham, B.G. Auditory Brainstem Response Latency in Noise as a Marker of Cochlear Synaptopathy. J. Neurosci. 2016, 36, 3755–3764. [Google Scholar] [CrossRef] [PubMed]
- Liu, H.; Lu, J.; Wang, Z.; Song, L.; Wang, X.; Li, G.L.; Wu, H. Functional alteration of ribbon synapses in inner hair cells by noise exposure causing hidden hearing loss. Neurosci. Lett. 2019, 707, 134268. [Google Scholar] [CrossRef]
- Schrode, K.M.; Muniak, M.A.; Kim, Y.H.; Lauer, A.M. Central Compensation in Auditory Brainstem after Damaging Noise Exposure. eNeuro 2018, 5. [Google Scholar] [CrossRef]
- Shore, S.E.; Koehler, S.; Oldakowski, M.; Hughes, L.F.; Syed, S. Dorsal cochlear nucleus responses to somatosensory stimulation are enhanced after noise-induced hearing loss. Eur. J. Neurosci. 2008, 27, 155–168. [Google Scholar] [CrossRef]
- Abadi, S.P.; Khanbabaee, G.M.; Sheibani, K.M. Auditory Brainstem Response Wave Amplitude Characteristics as a Diagnostic Tool in Children with Speech Delay with Unknown Causes. Iran. J. Med. Sci. 2016, 41, 415–421. [Google Scholar]
- Liberman, M.C. Noise-Induced Hearing Loss: Permanent Versus Temporary Threshold Shifts and the Effects of Hair Cell Versus Neuronal Degeneration. Adv. Exp. Med. Biol. 2016, 875, 1–7. [Google Scholar] [CrossRef] [PubMed]
- Shi, L.; Chang, Y.; Li, X.; Aiken, S.; Liu, L.; Wang, J. Cochlear Synaptopathy and Noise-Induced Hidden Hearing Loss. Neural Plast. 2016, 2016, 6143164. [Google Scholar] [CrossRef] [PubMed]
- Basta, D.; Groschel, M.; Ernst, A. Central and peripheral aspects of noise-induced hearing loss. HNO 2018, 66, 342–349. [Google Scholar] [CrossRef] [PubMed]
- Alagramam, K.N.; Stepanyan, R.; Jamesdaniel, S.; Chen, D.H.; Davis, R.R. Noise exposure immediately activates cochlear mitogen-activated protein kinase signaling. Noise Health 2014, 16, 400–409. [Google Scholar] [CrossRef]
- Schacht, J.; Fay, R.R. Auditory Trauma, Protection, and Repair; Springer: New York, NY, USA, 2008. [Google Scholar]
- Gerken, G.M. Central tinnitus and lateral inhibition: An auditory brainstem model. Hear. Res. 1996, 97, 75–83. [Google Scholar] [CrossRef]
- Mun, S.K.; Han, K.H.; Baek, J.T.; Ahn, S.W.; Cho, H.S.; Chang, M.Y. Losartan Prevents Maladaptive Auditory-Somatosensory Plasticity After Hearing Loss via Transforming Growth Factor-beta Signaling Suppression. Clin. Exp. Otorhinolaryngol. 2019, 12, 33–39. [Google Scholar] [CrossRef]
- Bartels, H.; Staal, M.J.; Albers, F.W. Tinnitus and neural plasticity of the brain. Otol. Neurotol. 2007, 28, 178–184. [Google Scholar] [CrossRef]
- Kurabi, A.; Keithley, E.M.; Housley, G.D.; Ryan, A.F.; Wong, A.C. Cellular mechanisms of noise-induced hearing loss. Hear. Res. 2017, 349, 129–137. [Google Scholar] [CrossRef]
- Jeong, D.H.; Choi, Y.N.; Seo, T.W.; Lee, J.S.; Yoo, S.J. Ubiquitin-proteasome dependent regulation of Profilin2 (Pfn2) by a cellular inhibitor of apoptotic protein 1 (cIAP1). Biochem. Biophys. Res. Commun. 2018, 506, 423–428. [Google Scholar] [CrossRef]
- Lobarinas, E.; Spankovich, C.; Le Prell, C.G. Evidence of “hidden hearing loss” following noise exposures that produce robust TTS and ABR wave-I amplitude reductions. Hear. Res. 2017, 349, 155–163. [Google Scholar] [CrossRef]
- Shi, Z.T.; Lin, Y.; Wang, J.; Wu, J.; Wang, R.F.; Chen, F.Q.; Mi, W.J.; Qiu, J.H. G-CSF attenuates noise-induced hearing loss. Neurosci. Lett. 2014, 562, 102–106. [Google Scholar] [CrossRef] [PubMed]
- Chang, M.Y.; Rhee, J.; Kim, S.H.; Kim, Y.H. The Protective Effect of Egb 761 Against 3-Nitropropionic Acid-Induced Hearing Loss: The Role of Sirtuin 1. Clin. Exp. Otorhinolaryngol. 2018, 11, 9–16. [Google Scholar] [CrossRef] [PubMed]
- Paciello, F.; Fetoni, A.R.; Rolesi, R.; Wright, M.B.; Grassi, C.; Troiani, D.; Paludetti, G. Pioglitazone Represents an Effective Therapeutic Target in Preventing Oxidative/Inflammatory Cochlear Damage Induced by Noise Exposure. Front. Pharmacol. 2018, 9, 1103. [Google Scholar] [CrossRef] [PubMed]
- Frimmer, M. What We Have Learned from Phalloidin. Toxicol. Lett. 1987, 35, 169–182. [Google Scholar] [CrossRef]
- Zhu, G.J.; Wang, F.; Chen, C.; Xu, L.; Zhang, W.C.; Fan, C.; Peng, Y.J.; Chen, J.; He, W.Q.; Guo, S.Y.; et al. Myosin light-chain kinase is necessary for membrane homeostasis in cochlear inner hair cells. PLoS ONE 2012, 7, e34894. [Google Scholar] [CrossRef]
- Fischer, A.H.; Jacobson, K.A.; Rose, J.; Zeller, R. Hematoxylin and eosin staining of tissue and cell sections. CSH Protoc. 2008, 2008, pdb prot4986. [Google Scholar] [CrossRef] [PubMed]
- Paxinos, G.; Watson, C. The Rat Brain in Stereotaxic Coordinates; Elsevier/Academic: Amsterdam, The Netherlands, 2009. [Google Scholar]
- Luo, M.; Gao, Z.; Li, H.; Li, Q.; Zhang, C.; Xu, W.; Song, S.; Ma, C.; Wang, S. Selection of reference genes for miRNA qRT-PCR under abiotic stress in grapevine. Sci. Rep. 2018, 8, 4444. [Google Scholar] [CrossRef]
- Vlachos, I.S.; Zagganas, K.; Paraskevopoulou, M.D.; Georgakilas, G.; Karagkouni, D.; Vergoulis, T.; Dalamagas, T.; Hatzigeorgiou, A.G. DIANA-miRPath v3.0: Deciphering microRNA function with experimental support. Nucleic Acids Res. 2015, 43, W460–W466. [Google Scholar] [CrossRef]
- Paraskevopoulou, M.D.; Georgakilas, G.; Kostoulas, N.; Vlachos, I.S.; Vergoulis, T.; Reczko, M.; Filippidis, C.; Dalamagas, T.; Hatzigeorgiou, A.G. DIANA-microT web server v5.0: Service integration into miRNA functional analysis workflows. Nucleic Acids Res. 2013, 41, W169–W173. [Google Scholar] [CrossRef]








| Gene Symbol | Chromosome | Sequence Length | Sequence | 1/1C 1 | 3/3C 2 | 3/1 3 | 3C/1C 4 |
|---|---|---|---|---|---|---|---|
| rno-miR-411-3p | 6 | 20 | UAUGUAACACGGUCCACUAA | 0.977 | 0.529 | 0.712 | 1.315 |
| rno-miR-183-5p | 4 | 22 | UAUGGCACUGGUAGAAUUCACU | 1.542 | 0.957 | 0.759 | 1.222 |
| rno-miR-377-3p | 6 | 23 | UGAAUCACACAAAGGCAACUUUU | 1.652 | 1.154 | 0.839 | 1.201 |
| rno-miR-20b-5p | X | 23 | CAAAGUGCUCAUAGUGCAGGUAG | 1.522 | 1.029 | 0.870 | 1.288 |
| rno-miR-137-5p | 2 | 22 | ACGGGUAUUCUUGGGUGGAUAA | 0.576 | 0.871 | 0.968 | 0.640 |
| rno-miR-211-3p | 1 | 20 | GGCAAGGACAGCAAAGGGGG | 0.649 | 1.420 | 1.334 | 0.610 |
| rno-miR-483-5p | 1 | 22 | AAGACGGGAGAAGAGAAGGGAG | 1.072 | 2.025 | 1.393 | 0.737 |
| rno-miR-92a-1-5p | 15 | 23 | AGGUUGGGAUUUGUCGCAAUGCU | 0.588 | 1.194 | 1.468 | 0.724 |
| rno-miR-187-5p | 18 | 18 | AGGCUACAACACAGGACC | 0.529 | 1.404 | 1.827 | 0.688 |
| rno-miR-200b-3p | 5 | 23 | UAAUACUGCCUGGUAAUGAUGAC | 1.826 | 3.587 | 2.895 | 1.474 |
| Gene Symbol | Chromosome | Sequence Length | Sequence | 1/1C 1 | 3/3C 2 | 3/1 3 | 3C/1C 4 |
|---|---|---|---|---|---|---|---|
| rno-miR-204-5p | 1 | 22 | UUCCCUUUGUCAUCCUAUGCCU | 2.020 | 0.511 | 0.299 | 1.181 |
| rno-miR-376b-5p | 6 | 22 | GUGGAUAUUCCUUCUAUGGUUA | 2.606 | 0.712 | 0.332 | 1.215 |
| rno-miR-26b-5p | 9 | 21 | UUCAAGUAAUUCAGGAUAGGU | 1.842 | 0.585 | 0.413 | 1.301 |
| rno-miR-136-3p | 6 | 22 | CAUCAUCGUCUCAAAUGAGUCU | 0.777 | 0.357 | 0.484 | 1.055 |
| rno-miR-132-5p | 10 | 22 | ACCGUGGCUUUCGAUUGUUACU | 1.085 | 0.491 | 0.534 | 1.180 |
| rno-miR-128-2-5p | 8 | 21 | GGGGGCCGAUGCACUGUAAGA | 0.650 | 0.412 | 0.658 | 1.039 |
| rno-miR-132-3p | 10 | 22 | UAACAGUCUACAGCCAUGGUCG | 0.670 | 0.472 | 0.782 | 1.109 |
| rno-miR-377-5p | 6 | 22 | AGAGGUUGCCCUUGGUGAAUUC | 0.499 | 0.676 | 1.066 | 0.786 |
| rno-miR-210-3p | 1 | 22 | CUGUGCGUGUGACAGCGGCUGA | 0.452 | 0.659 | 1.217 | 0.834 |
| rno-miR-92a-1-5p | 15 | 23 | AGGUUGGGAUUUGUCGCAAUGCU | 0.498 | 0.918 | 1.333 | 0.723 |
| rno-miR-425-3p | 8 | 21 | AUCGGGAAUAUCGUGUCCGCC | 0.479 | 0.749 | 1.352 | 0.865 |
| rno-miR-362-5p | X | 24 | AAUCCUUGGAACCUAGGUGUGAAU | 0.464 | 0.699 | 1.353 | 0.898 |
| rno-miR-150-3p | 1 | 19 | CUGGUACAGGCCUGGGGGA | 0.474 | 1.023 | 1.669 | 0.774 |
Publisher’s Note: MDPI stays neutral with regard to jurisdictional claims in published maps and institutional affiliations. |
© 2020 by the authors. Licensee MDPI, Basel, Switzerland. This article is an open access article distributed under the terms and conditions of the Creative Commons Attribution (CC BY) license (http://creativecommons.org/licenses/by/4.0/).
Share and Cite
Park, S.; Han, S.H.; Kim, B.-G.; Suh, M.-W.; Lee, J.H.; Oh, S.H.; Park, M.K. Changes in microRNA Expression in the Cochlear Nucleus and Inferior Colliculus after Acute Noise-Induced Hearing Loss. Int. J. Mol. Sci. 2020, 21, 8792. https://doi.org/10.3390/ijms21228792
Park S, Han SH, Kim B-G, Suh M-W, Lee JH, Oh SH, Park MK. Changes in microRNA Expression in the Cochlear Nucleus and Inferior Colliculus after Acute Noise-Induced Hearing Loss. International Journal of Molecular Sciences. 2020; 21(22):8792. https://doi.org/10.3390/ijms21228792
Chicago/Turabian StylePark, Sohyeon, Seung Hee Han, Byeong-Gon Kim, Myung-Whan Suh, Jun Ho Lee, Seung Ha Oh, and Moo Kyun Park. 2020. "Changes in microRNA Expression in the Cochlear Nucleus and Inferior Colliculus after Acute Noise-Induced Hearing Loss" International Journal of Molecular Sciences 21, no. 22: 8792. https://doi.org/10.3390/ijms21228792
APA StylePark, S., Han, S. H., Kim, B.-G., Suh, M.-W., Lee, J. H., Oh, S. H., & Park, M. K. (2020). Changes in microRNA Expression in the Cochlear Nucleus and Inferior Colliculus after Acute Noise-Induced Hearing Loss. International Journal of Molecular Sciences, 21(22), 8792. https://doi.org/10.3390/ijms21228792

