Electrical and Magnetodielectric Properties of Magneto-Active Fabrics for Electromagnetic Shielding and Health Monitoring
Abstract
1. Introduction
2. Results
2.1. Fabrication of the Electrical Device Based on MAFs
2.2. Experimental Setup and Measurements
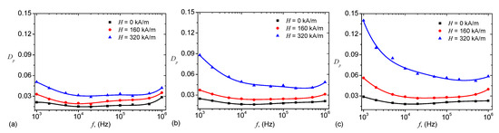
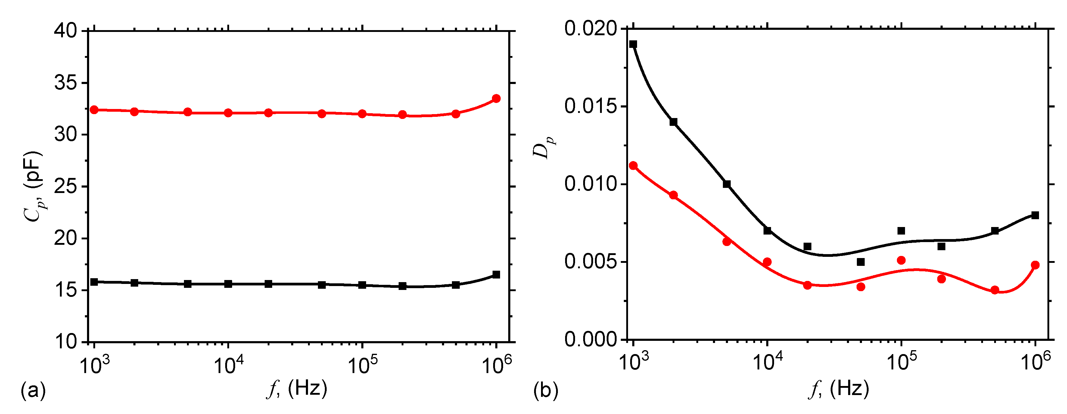
2.3. Equivalent Capacitance and Dielectric Loss Tangent
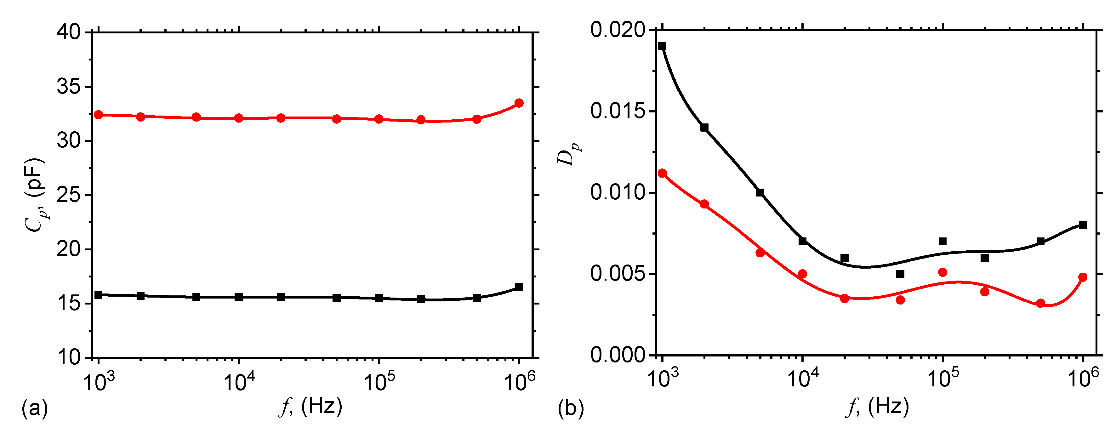
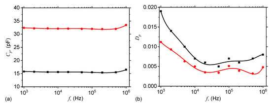
2.4. Influence of the Microfibers to Electrical Capacitance and Dielectric Loss Factor
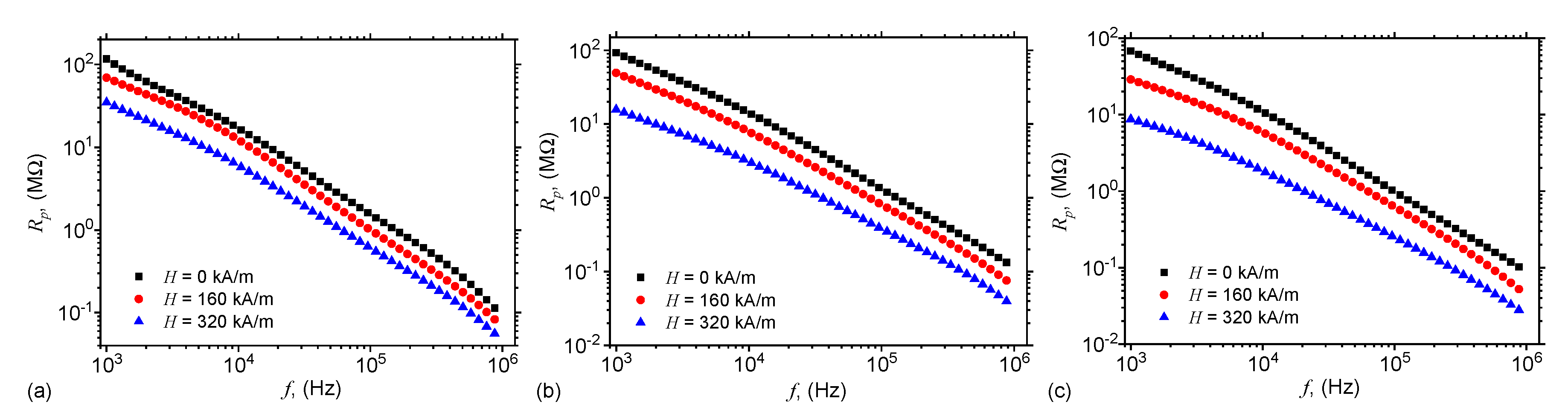
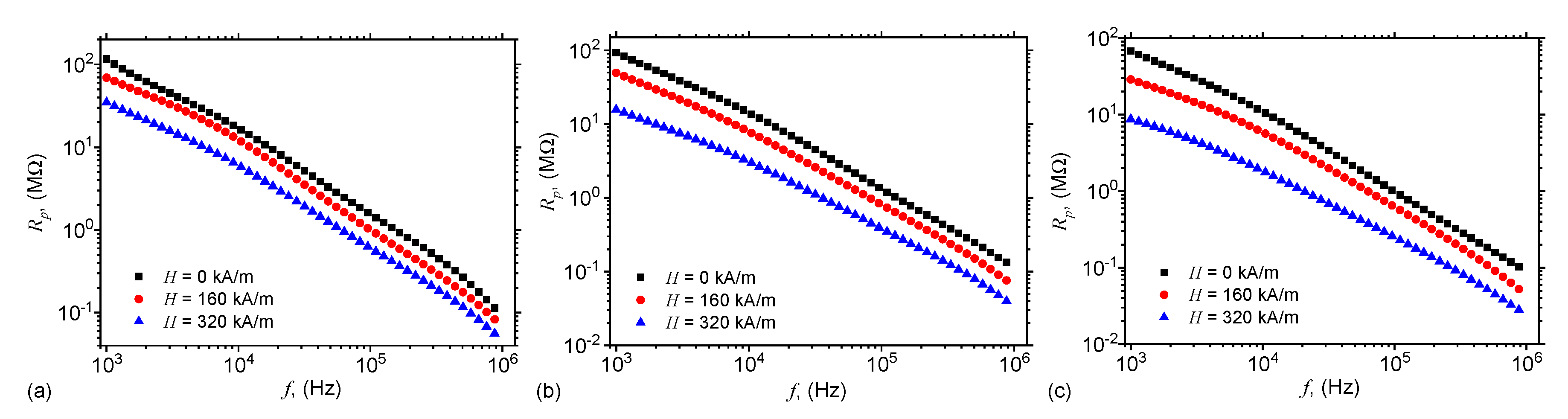
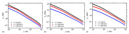
2.5. Electrical Resistance
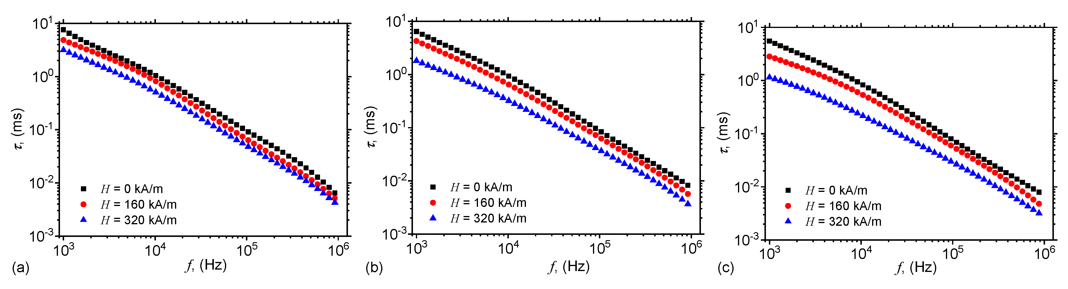
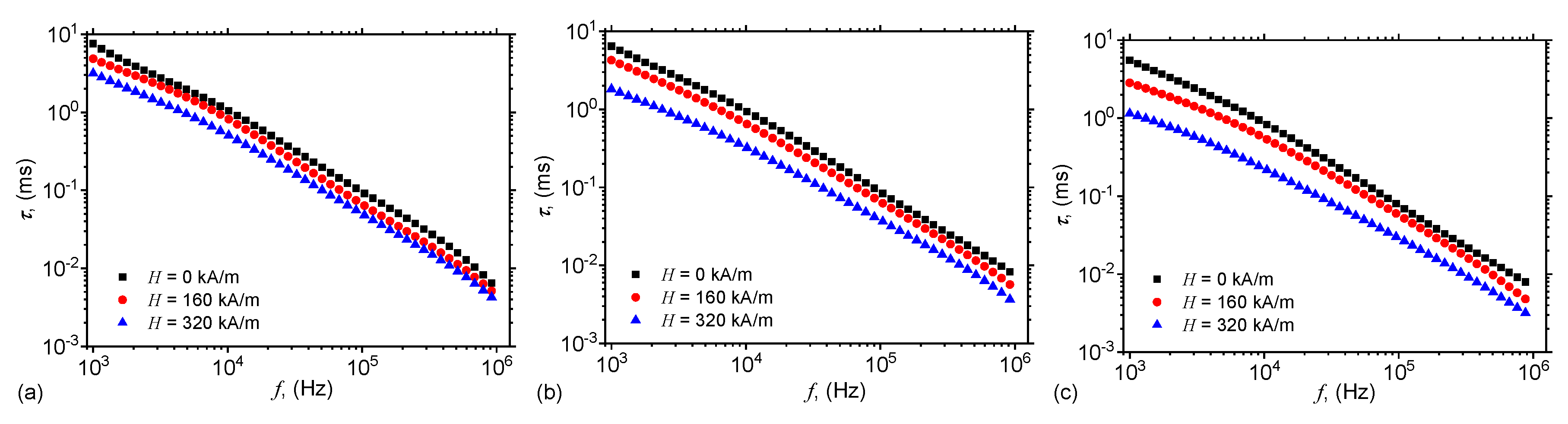
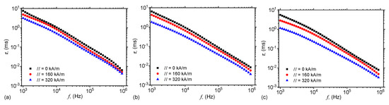
2.6. Dielectric Relaxation Times
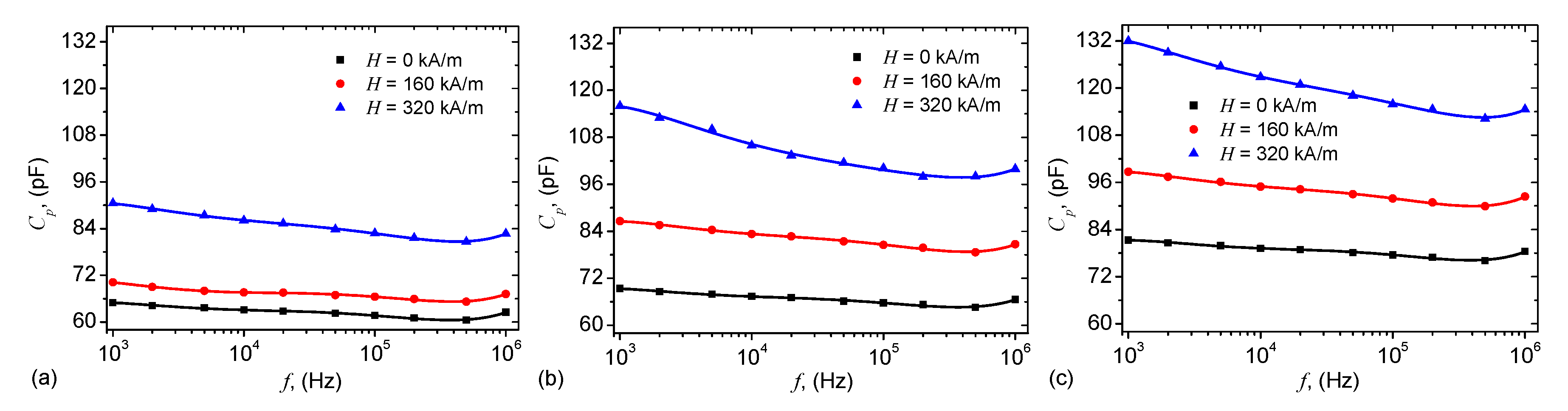
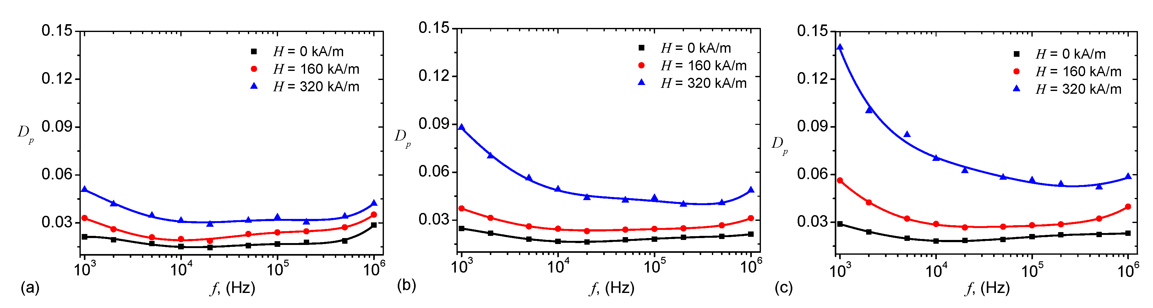
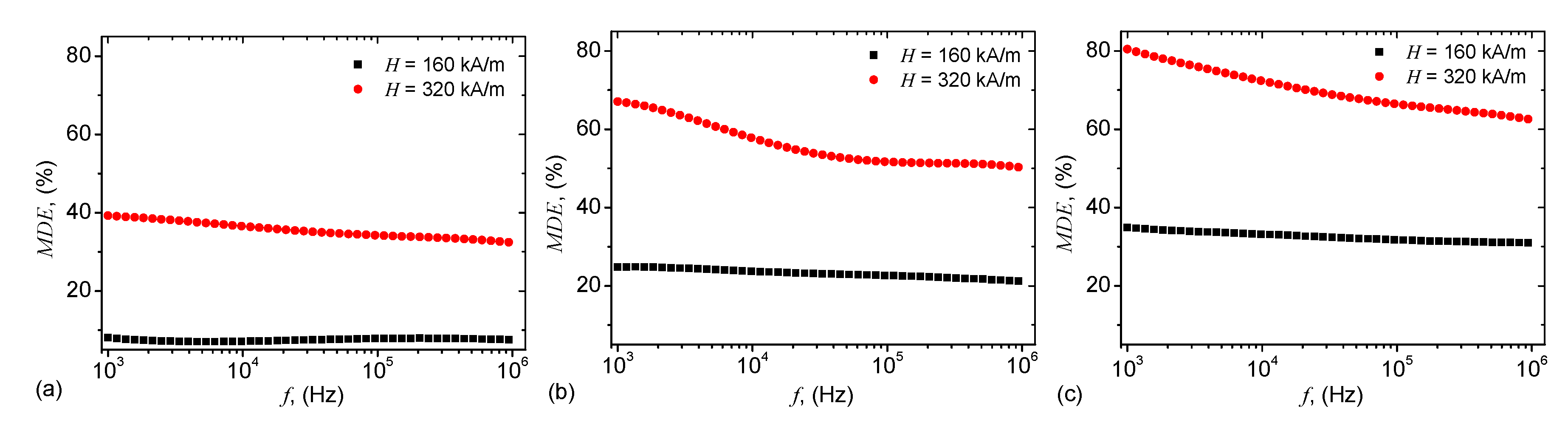
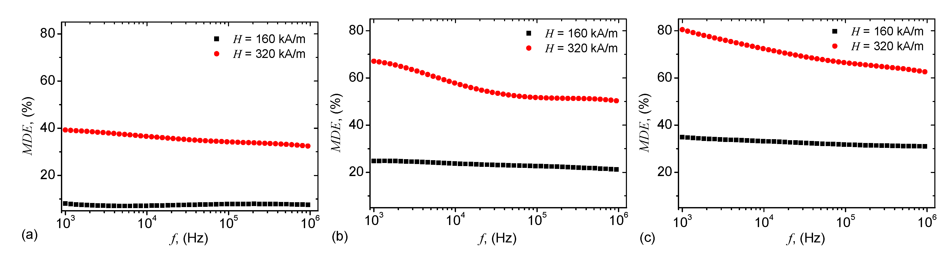
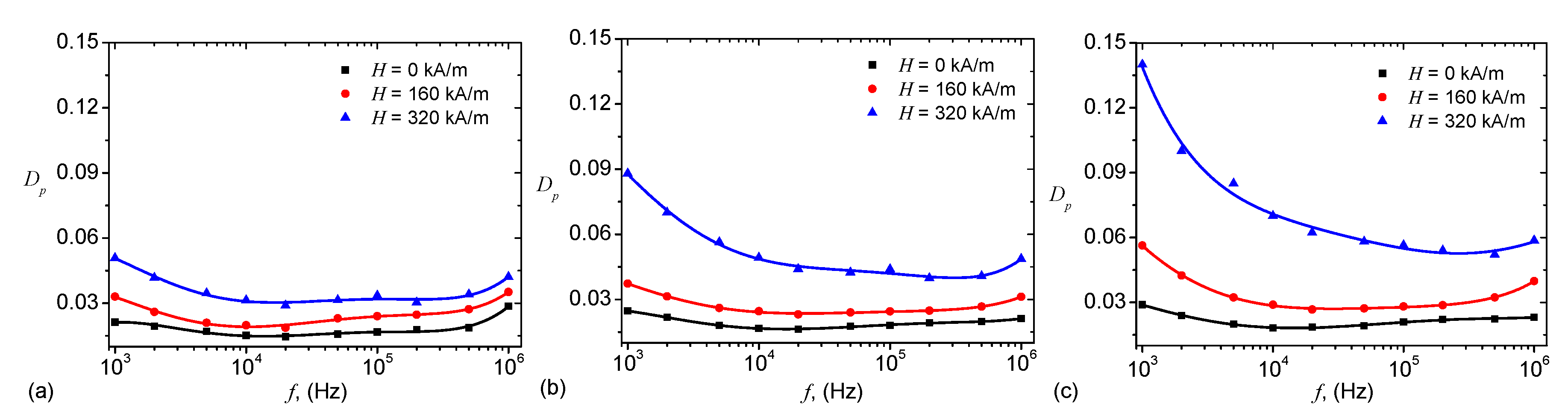
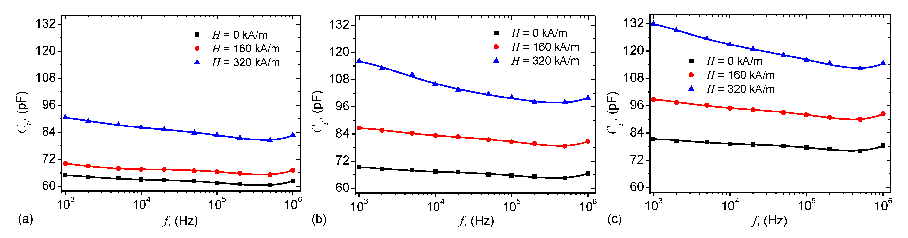
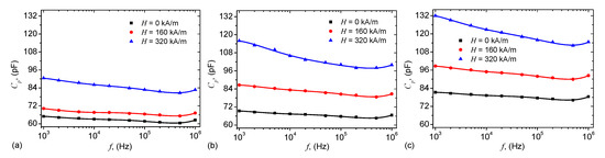
2.7. Magnetodielectric Effects
3. Discussion
4. Materials and Methods
4.1. Fabrication of mFe
4.2. Fabrication of MAFs
- A quantity of 4.6 g of SO and 0.4 g of mFe are mixed in a Berzelius glass beaker placed on a heater. When the temperature reaches about 423 K, the homogenisation of the mixture is continued for about 300 s. As such, the humidity present in mFe is eliminated. At the end of this step the mass fraction of mFe is wt. %. The obtained sample is denoted by S;
- A quantity of 2.5 g of SO is poured into a Berzelius glass beaker, to which is added 2.5 g of containing 0.2 g mFe and 2.3 g of SO. Thus, one obtains a liquid sample containing 4.8 g of SO and 0.2 g of mFe, and which is denoted . Thus, the mass fraction of mFe is wt. %;
- A quantity of 2.5 g of SO is poured into a Berzelius glass beaker, to which is added 2.5 g of containing 0.1 g mFe and 2.4 g of SO. Thus, one obtains a liquid sample containing 4.9 g of SO and 0.1 g of mFe, and which is denoted . Thus, the mass fraction of mFe is wt. %. Table 2 summarizes the composition of samples and ;
- From the cotton fabric, with a height of 0.6 mm, six pieces are cut in the form of a square with edge length of 30 mm, as shown in Figure 12a. Out of the six pieces, we form three double-layered structures, by superimposing two pieces on top of each other;
- On top of each double-layered structure is deposited a volume of 0.8 cm of liquid solutions , with compositions given in Table 2. Thus, one obtains three MAFs consisting of cotton fibers soaked with SO and mFe, as shown in Figure 12b, denoted MAF, when wt. %, denoted MAF, when wt. %, and respectively MAF, when wt. %.
5. Conclusions
Author Contributions
Funding
Acknowledgments
Conflicts of Interest
Abbreviations
| MAF | Magneto-active fabric |
| mFe | microfibers |
| SEM | scanning electron microscopy |
| EDX | energy-dispersive X-ray spectroscopy |
| XRD | X-ray diffraction |
| EMR | electromagnetic radiation |
| SO | silicone oil |
| ED | electrical device |
| MDE | magnetodielectric effect |
References
- 5G Appeal. Available online: http://5gappeal.eu (accessed on 28 June 2020).
- Barnes, F.; Greenebaum, B. Role of radical pairs and feedback in weak radio frequency field effects on biological systems. Environ. Res. 2018, 163, 165–170. [Google Scholar] [CrossRef]
- Song, K.; Im, S.H.; Yoon, Y.J.; Kim, H.M.; Lee, H.J.; Park, G.S. A 60 Hz uniform electromagnetic field promotes human cell proliferation by decreasing intracellular reactive oxygen species levels. PLoS ONE 2018, 13, e0199753. [Google Scholar] [CrossRef]
- Karimi, S.A.; Salehi, I.; Shykhi, T.; Zare, S.; Komaki, A. Effects of exposure to extremely low-frequency electromagnetic fields on spatial and passive avoidance learning and memory, anxiety-like behavior and oxidative stress in male rats. Behav. Brain Res. 2019, 359, 630–638. [Google Scholar] [CrossRef]
- Kthiri, A.; Hidouri, S.; Wiem, T.; Jeridi, R.; Sheehan, D.; Landouls, A. Biochemical and biomolecular effects induced by a static magnetic field in Saccharomyces cerevisiae: Evidence for oxidative stress. PLoS ONE 2019, 14, e0209843. [Google Scholar] [CrossRef] [PubMed]
- Belyaev, I.; Dean, A.; Eger, H.; Hubmann, G.; Jandrisovit, R.; Kern, M.; Kundi, M.; Moshammer, H.; Lercher, P.; Müller, K.; et al. EUROPAEM EMF Guideline 2016 for the prevention, diagnosis and treatment of EMF-related health problems and illnesses. Rev. Environ. Health 2016, 31, 363–397. [Google Scholar] [CrossRef]
- Nikitin, V.; Smirnov, N.; Smirnova, M.; Tyurenkova, V. On board electronic devices safety subject to high frequency electromagnetic radiation effects. Acta Astronaut. 2017, 135, 181–186. [Google Scholar] [CrossRef]
- Gharib, L.; Keshtkar, A. Electromagnetic Interference of Railgun and Its Effect on Surrounding Electronics. IEEE Trans. Plasma Sci. 2019, 47, 4196–4202. [Google Scholar] [CrossRef]
- Belous, A.; Saladukha, V. Protection of High-Speed Electronic Devices from Electromagnetic Interference. In High-Speed Digital System Design; Springer: Cham, Switzerland, 2020; Chapter 9; pp. 703–739. [Google Scholar]
- Dijcker, R.; der Wijk, M.V.; Artieres, O.; Dortland, G.; Lostumbo, J. Geotextile Enabled Smart Monitoring Solutions for Safe and Effective Management of Tailing and Waste Sites. In Proceedings Tailing and Mine Waste; The University of British Columbia: Vancouver, BC, Canada, 2011; pp. 1–8. [Google Scholar]
- Sharp, D. Printed composite electrodes for in-situ wound pH monitoring. Biosens. Bioelectron. 2013, 50, 399–405. [Google Scholar] [CrossRef]
- Gerhardt, L.C.; Lottenbach, R.; Rossi, R.M.; Derler, S. Tribological investigation of a functional medical textile with lubricating drug-delivery finishing. Colloids Surfaces B 2013, 108, 103–109. [Google Scholar] [CrossRef]
- Gniotek, K.; Frydrysiak, M.; Zieba, J.; Tokarska, M.; Stempień, Z. Innovative textile electrodes for muscles electrostimulation. In Proceedings of the 2011 IEEE International Symposium on Medical Measurements and Applications, Bari, Italy, 30–31 May 2011; pp. 305–310. [Google Scholar]
- Cherenack, K.; van Pieterson, L. Smart textiles: Challenges and opportunities. J. Appl. Phys. 2012, 112, 091301. [Google Scholar] [CrossRef]
- Li, L.; Au, W.M.; Li, Y.; Wan, K.M.; Wan, S.H.; Wong, K.S. Design of Intelligent Garment with Transcutaneous Electrical Nerve Stimulation Function Based on the Intarsia Knitting Technique. Text. Res. J. 2010, 80, 279–286. [Google Scholar] [CrossRef]
- Lauterbach, C.; Steinhage, A.; Techmer, A. A Large-Area Sensor System Underneath the Floor for Ambient Assisted Living Applications. In Pervasive and Mobile Sensing and Computing for Healthcare. Smart Sensors, Measurement and Instrumentation; Mukhopadhyay, S., Postolache, O., Eds.; Springer: Berlin/Heidelberg, Germany, 2013. [Google Scholar]
- Bolonduro, O.A.; Duffy, B.M.; Rao, A.A.; Black, L.D.; Timko, B.P. From biomimicry to bioelectronics: Smart materials for cardiac tissue engineering. Nano Res. 2020, 13, 1253–1267. [Google Scholar] [CrossRef]
- Zhang, T.; Wang, Z.; Srinivasan, B.; Wang, Z.; Zhang, J.; Li, K.; Boussard-Pledel, C.; Troles, J.; Bureau, B.; Wei, L. Ultraflexible Glassy Semiconductor Fibers for Thermal Sensing and Positioning. ACS Appl. Mater. Interfaces 2019, 11, 2441–2447. [Google Scholar] [CrossRef] [PubMed]
- Srinivasan, B.; Berthebaud, D.; Mori, T. Is LiI a Potential Dopant Candidate to Enhance the Thermoelectric Performance in Sb-Free GeTe Systems? A Prelusive Study. Energies 2020, 13, 643. [Google Scholar] [CrossRef]
- Manna, K.; Srivastava, S.K. Fe3O4@Carbon@Polyaniline Trilaminar Core–Shell Composites as Superior Microwave Absorber in Shielding of Electromagnetic Pollution. ACS Sustain. Chem. Eng. 2017, 5, 10710–10721. [Google Scholar] [CrossRef]
- Simayee, M.; Montazer, M. A protective polyester fabric with magnetic properties using mixture of carbonyl iron and nano carbon black along with aluminium sputtering. J. Ind. Text. 2018, 47, 674–685. [Google Scholar] [CrossRef]
- Chen, Y.; Lei, Z.; Wu, H.; Zhu, C.; Gao, P.; Ouyang, Q.; Qi, L.H.; Qin, W. Electromagnetic absorption properties of graphene/Fe nanocomposites. Mater. Res. Bull. 2013, 48, 3362–3366. [Google Scholar] [CrossRef]
- Grosu, M.C.; Lupu, I.G.; Cramariuc, O.; Hristian, L. Magnetic cotton yarns—Optimization of magnetic properties. J. Text. Inst. 2016, 107, 757–765. [Google Scholar] [CrossRef]
- Grosu, M.C.; Lupu, I.G.; Cramariuc, O.; Hogas, H.I. Fabrication and characterization of magnetic cotton yarns for textile applications. J. Text. Inst. 2018, 109, 1348–1359. [Google Scholar] [CrossRef]
- Zhou, Y.; Zhu, W.; Zhang, L.; Gong, J.; Zhao, D.; Liu, M.; Lin, L.; Meng, Q.; Thompson, R.; Sun, Y. Magnetic properties of smart textile fabrics through a coating method with NdFeB flake-like microparticles. J. Eng. Fibers Fabr. 2019, 14. [Google Scholar] [CrossRef]
- Bica, I.; Anitas, E. Magnetic field intensity and γ-Fe2O3 concentration effects on the dielectric properties of magnetodielectric tissues. Mater. Sci. Eng. B 2018, 236-237, 125–131. [Google Scholar] [CrossRef]
- Bica, I.; Anitas, E. Magnetic flux density effect on electrical properties and visco-elastic state of magnetoactive tissues. Compos. Part B Eng. 2019, 159, 13–19. [Google Scholar] [CrossRef]
- Bica, I.; Anitas, E.M.; Choi, H.J.; Sfirloaga, P. Microwave-assisted synthesis and characterization of iron oxide microfibers. J. Mater. Chem. C 2020, 8, 6159–6167. [Google Scholar] [CrossRef]
- Ercuta, A. Sensitive AC Hysteresigraph of Extended Driving Field Capability. IEEE Trans. Instrum. Meas. 2020, 69, 1643–1651. [Google Scholar] [CrossRef]
- Cornell, R.M.; Schwertmann, U. The Iron Oxides: Structure, Properties, Reactions, Occurrences, and Uses, 2nd ed.; Wiley-VCH: Weinheim, Germany, 2003. [Google Scholar]
- Moliton, A. Applied Electromagnetism and Materials; Springer: New York, NY, USA, 2007. [Google Scholar]
- Sainath, K.; Ghosh, P. Electrical properties of silicone oil-water interface in the presence of ionic surfactants and salt: Importance in the stability of oil-in-water emulsions. Chem. Eng. Commun. 2014, 201, 1645–1663. [Google Scholar] [CrossRef]
- Wang, Y.; Xuan, S.; Ge, L.; Wen, Q.; Gong, X. Conductive magnetorheological elastomer: Fatigue dependent impedance-mechanic coupling properties. Smart Mater. Struct. 2016, 26, 015004. [Google Scholar] [CrossRef]
- Bica, I.; Anitas, E. Magnetodielectric effects in membranes based on magnetorheological bio-suspensions. Mater. Des. 2018, 155, 317–324. [Google Scholar] [CrossRef]
- Belyaeva, I.A.; Kramarenko, E.Y.; Shamonin, M. Magnetodielectric effect in magnetoactive elastomers: Transient response and hysteresis. Polymer 2017, 127, 119–128. [Google Scholar] [CrossRef]
- Schümann, M.; Morich, J.; Kaufhold, T.; Böhm, V.; Zimmermann, K.; Odenbach, S. A mechanical characterisation on multiple timescales of electroconductive magnetorheological elastomers. J. Magn. Magn. Mater. 2018, 453, 198–205. [Google Scholar] [CrossRef]
- Bica, I.; Anitas, E.M.; Averis, L.M.E.; Kwon, S.H.; Choi, H.J. Magnetostrictive and viscoelastic characteristics of polyurethane-based magnetorheological elastomer. J. Ind. Eng. Chem. 2019, 73, 128–133. [Google Scholar] [CrossRef]
- Bica, I.; Bunoiu, O.M. Magnetorheological Hybrid Elastomers Based on Silicone Rubber and Magnetorheological Suspensions with Graphene Nanoparticles: Effects of the Magnetic Field on the Relative Dielectric Permittivity and Electric Conductivity. Int. J. Mol. Sci. 2019, 20, 4201. [Google Scholar] [CrossRef]
- Isaev, D.; Semisalova, A.; Alekhina, Y.; Makarova, L.; Perov, N. Simulation of Magnetodielectric Effect in Magnetorheological Elastomers. Int. J. Mol. Sci. 2019, 20, 1457. [Google Scholar] [CrossRef] [PubMed]
- Park, J.E.; Yun, G.E.; Jang, D.I.; Kim, Y.K. Analysis of Electrical Resistance and Impedance Change of Magnetorheological Gels with DC and AC Voltage for Magnetometer Application. Sensors 2019, 19, 2510. [Google Scholar] [CrossRef]
- Bica, I.; Anitas, E. Magnetic field intensity effect on electrical conductivity of magnetorheological biosuspensions based on honey, turmeric and carbonyl iron. J. Ind. Eng. Chem. 2018, 64, 276–283. [Google Scholar] [CrossRef]
- Harifi, T.; Montazer, M. Photo-, Bio-, and Magneto-active Colored Polyester Fabric with Hydrophobic/ Hydrophilic and Enhanced Mechanical Properties through Synthesis of TiO2/Fe3O4/Ag Nanocomposite. Ind. Eng. Chem. Res. 2014, 53, 1119–1129. [Google Scholar] [CrossRef]












| Sample | (Am/kg) | (Am/kg) | (wt. %) |
|---|---|---|---|
| 2.21 | 0.4 | 2.0 | |
| 4.37 | 0.95 | 4.0 | |
| 6.51 | 0.95 | 8.0 |
| Sample | (g) | (g) | (wt. %) |
|---|---|---|---|
| 4.9 | 0.1 | 2.0 | |
| 4.8 | 0.2 | 4.0 | |
| 4.6 | 0.4 | 8.0 |
© 2020 by the authors. Licensee MDPI, Basel, Switzerland. This article is an open access article distributed under the terms and conditions of the Creative Commons Attribution (CC BY) license (http://creativecommons.org/licenses/by/4.0/).
Share and Cite
Bunoiu, M.; Anitas, E.M.; Pascu, G.; Chirigiu, L.M.E.; Bica, I. Electrical and Magnetodielectric Properties of Magneto-Active Fabrics for Electromagnetic Shielding and Health Monitoring. Int. J. Mol. Sci. 2020, 21, 4785. https://doi.org/10.3390/ijms21134785
Bunoiu M, Anitas EM, Pascu G, Chirigiu LME, Bica I. Electrical and Magnetodielectric Properties of Magneto-Active Fabrics for Electromagnetic Shielding and Health Monitoring. International Journal of Molecular Sciences. 2020; 21(13):4785. https://doi.org/10.3390/ijms21134785
Chicago/Turabian StyleBunoiu, Madalin, Eugen Mircea Anitas, Gabriel Pascu, Larisa Marina Elisabeth Chirigiu, and Ioan Bica. 2020. "Electrical and Magnetodielectric Properties of Magneto-Active Fabrics for Electromagnetic Shielding and Health Monitoring" International Journal of Molecular Sciences 21, no. 13: 4785. https://doi.org/10.3390/ijms21134785
APA StyleBunoiu, M., Anitas, E. M., Pascu, G., Chirigiu, L. M. E., & Bica, I. (2020). Electrical and Magnetodielectric Properties of Magneto-Active Fabrics for Electromagnetic Shielding and Health Monitoring. International Journal of Molecular Sciences, 21(13), 4785. https://doi.org/10.3390/ijms21134785

