Fatty Acid Profile and Desaturase Activities in 7–10-Year-Old Children Attending Primary School in Verona South District: Association between Palmitoleic Acid, SCD-16, Indices of Adiposity, and Blood Pressure
Abstract
1. Introduction
2. Results
2.1. General Characteristics
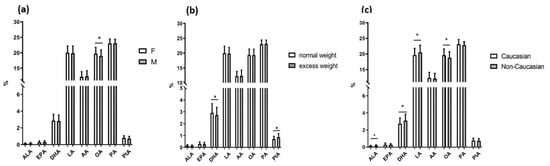
2.2. Correlations of Fatty Acids and Desaturase Activities with Anthropometric and Clinical Parameters in the Whole Sample
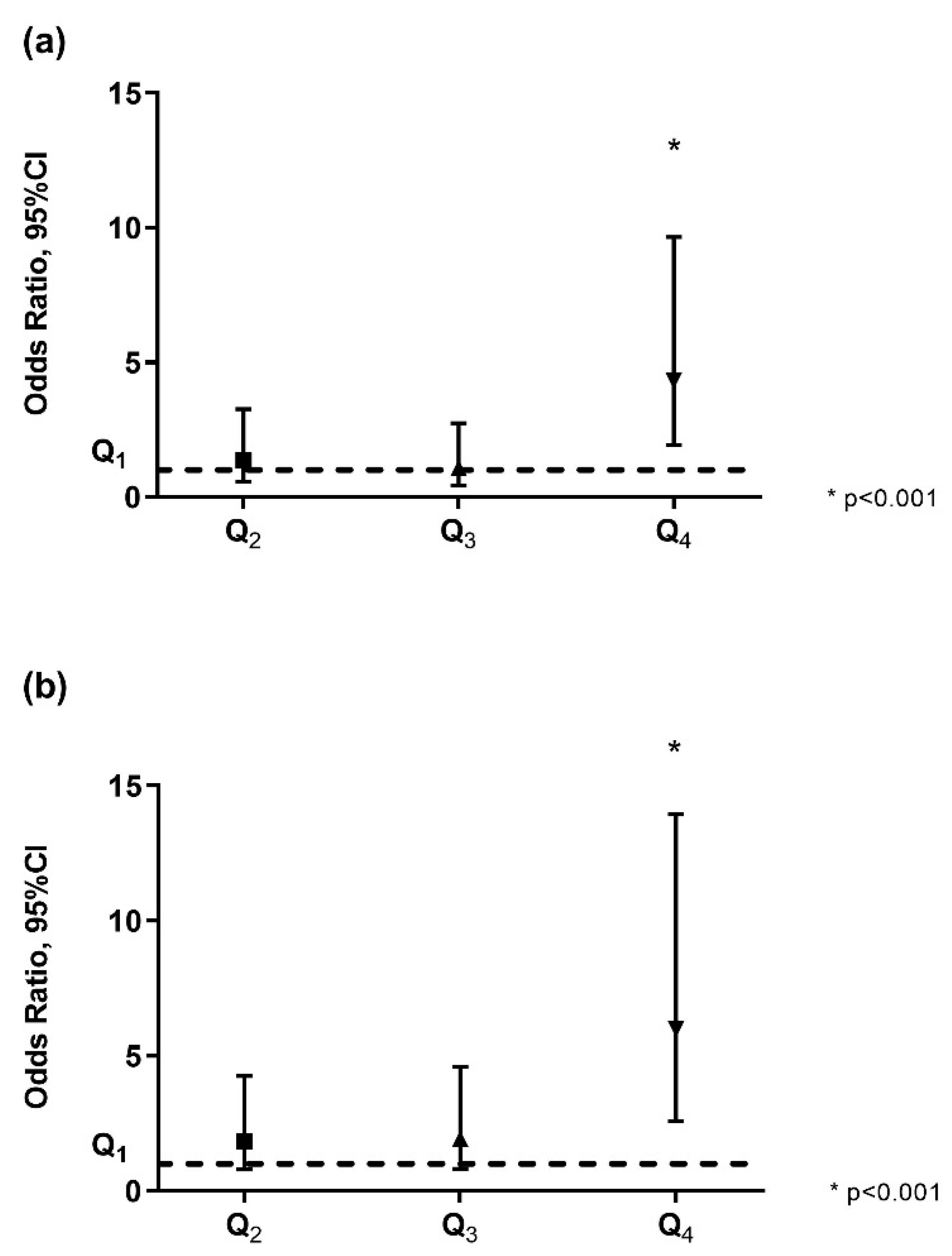
2.3. Explorative Analysis in Children with Excess Weight
2.4. Explorative Analysis in the Subgroup of Caucasian Children with Excess Weight
3. Discussion
4. Materials and Methods
4.1. Subjects
4.2. Study Design
4.3. Assessment
4.4. Vascular Test
4.5. Laboratory Measurements
4.6. Estimation of Δ9, Δ6, and Δ5 Desaturase Activity
4.7. Food Frequency Questionnaire
4.8. Statistics
Supplementary Materials
Author Contributions
Funding
Acknowledgments
Conflicts of Interest
Abbreviations
| AA | arachidonic acid |
| ALA | alpha-linolenic acid |
| D5D | delta-5 desaturase |
| D6D | delta-6 desaturase |
| DBP | diastolic blood pressure |
| DGLA | dihomo-gamma-linolenic acid |
| DHA | docosahexaenoic acid |
| EPA | eicosapentaenoic acid |
| PWV | Pulse wave velocity |
| SBP | systolic blood pressure |
| SCD-16 | stearoyl-CoA desaturase-16 |
| SCD-18 | stearoyl-CoA desaturase-18 |
References
- Bergeron, N.; Chiu, S.; Williams, P.T.; King, S.; Krauss, R.M. Effects of red meat, white meat, and nonmeat protein sources on atherogenic lipoprotein measures in the context of low compared with high saturated fat intake: A randomized controlled trial. Am. J. Clin. Nutr. 2019. [Google Scholar] [CrossRef]
- Wolfram, G.; Bechthold, A.; Boeing, H.; Ellinger, S.; Hauner, H.; Kroke, A.; Leschik-Bonnet, E.; Linseisen, J.; Lorkowski, S.; Schulze, M.; et al. Evidence-Based Guideline of the German Nutrition Society: Fat Intake and Prevention of Selected Nutrition-Related Diseases. Ann. Nutr. Metab. 2015, 67, 141–204. [Google Scholar] [CrossRef] [PubMed]
- Bonafini, S.; Tagetti, A.; Gaudino, R.; Cavarzere, P.; Montagnana, M.; Danese, E.; Benati, M.; Ramaroli, D.A.; Raimondi, S.; Giontella, A.; et al. Individual fatty acids in erythrocyte membranes are associated with several features of the metabolic syndrome in obese children. Eur. J. Nutr. 2019, 58, 731–742. [Google Scholar] [CrossRef] [PubMed]
- Marklund, M.; Wu, J.H.Y.; Imamura, F.; Del Gobbo, L.C.; Fretts, A.; de Goede, J.; Shi, P.; Tintle, N.; Wennberg, M.; Aslibekyan, S.; et al. Biomarkers of Dietary Omega-6 Fatty Acids and Incident Cardiovascular Disease and Mortality. Circulation 2019, 139, 2422–2436. [Google Scholar] [CrossRef] [PubMed]
- Bonafini, S.; Antoniazzi, F.; Maffeis, C.; Minuz, P.; Fava, C. Beneficial effects of ω-3 PUFA in children on cardiovascular risk factors during childhood and adolescence. Prostaglandins Other Lipid Mediat. 2015, 120, 72–79. [Google Scholar] [CrossRef] [PubMed]
- Miller, P.E.; Van Elswyk, M.; Alexander, D.D. Long-chain Omega-3 fatty acids eicosapentaenoic acid and docosahexaenoic acid and blood pressure: A meta-analysis of randomized controlled trials. Am. J. Hypertens. 2014, 27, 885–896. [Google Scholar] [CrossRef] [PubMed]
- Vessby, B.; Gustafsson, I.-B.; Tengblad, S.; Boberg, M.; Andersson, A. Desaturation and Elongation of Fatty Acids and Insulin Action. Ann. N. Y. Acad. Sci. 2006, 967, 183–195. [Google Scholar] [CrossRef]
- Warensjö, E.; Sundström, J.; Lind, L.; Vessby, B. Factor analysis of fatty acids in serum lipids as a measure of dietary fat quality in relation to the metabolic syndrome in men. Am. J. Clin. Nutr. 2006, 84, 442–448. [Google Scholar] [CrossRef]
- Giontella, A.; Bonafini, S.; Tagetti, A.; Bresadola, I.; Minuz, P.; Gaudino, R.; Cavarzere, P.; Ramaroli, D.A.; Marcon, D.; Branz, L.; et al. Relation between dietary habits, physical activity, and anthropometric and vascular parameters in children attending the primary school in the Verona South District. Nutrients 2019, 11, 1070. [Google Scholar] [CrossRef]
- Harris, W.S.; von Schacky, C. The Omega-3 Index: A new risk factor for death from coronary heart disease? Prev. Med. (Baltim) 2004, 39, 212–220. [Google Scholar] [CrossRef]
- Zhang, Y.Y.; Liu, W.; Zhao, T.Y.; Tian, H.M. Efficacy of omega-3 polyunsaturated fatty acids supplementation in managing overweight and obesity: A meta-analysis of randomized clinical trials. J. Nutr. Health Aging 2017, 21, 187–192. [Google Scholar] [CrossRef]
- Lichtenstein, A.H.; Appel, L.J.; Brands, M.; Carnethon, M.; Daniels, S.; Franch, H.A.; Franklin, B.; Kris-Etherton, P.; Harris, W.S.; Howard, B.; et al. Diet and lifestyle recommendations revision 2006: A scientific statement from the American heart association nutrition committee. Circulation 2006, 114, 82–96. [Google Scholar] [CrossRef]
- Staaf, J.; Ubhayasekera, S.J.K.A.; Sargsyan, E.; Chowdhury, A.; Kristinsson, H.; Manell, H.; Bergquist, J.; Forslund, A.; Bergsten, P. Initial hyperinsulinemia and subsequent β-cell dysfunction is associated with elevated palmitate levels. Pediatr. Res. 2016, 80, 267–274. [Google Scholar] [CrossRef] [PubMed]
- Abdelmagid, S.A.; Clarke, S.E.; Roke, K.; Nielsen, D.E.; Badawi, A.; El-Sohemy, A.; Mutch, D.M.; Ma, D.W. Ethnicity, sex, FADS genetic variation, and hormonal contraceptive use influence delta-5- and delta-6-desaturase indices and plasma docosahexaenoic acid concentration in young Canadian adults: A cross-sectional study. Nutr. Metab. (Lond) 2015, 12, 14. [Google Scholar] [CrossRef] [PubMed]
- Zietemann, V.; Kröger, J.; Enzenbach, C.; Jansen, E.; Fritsche, A.; Weikert, C.; Boeing, H.; Schulze, M.B. Genetic variation of the FADS1 FADS2 gene cluster and n-6 PUFA composition in erythrocyte membranes in the European Prospective Investigation into Cancer and Nutrition-Potsdam study. Br. J. Nutr. 2010, 104, 1748–1759. [Google Scholar] [CrossRef] [PubMed]
- Harris, W.S.; Tintle, N.L.; Ramachandran, V.S. Erythrocyte n-6 Fatty Acids and Risk for Cardiovascular Outcomes and Total Mortality in the Framingham Heart Study. Nutrients 2018, 10, 2012. [Google Scholar] [CrossRef]
- Aldámiz-Echevarría, L.; Prieto, J.A.; Andrade, F.; Elorz, J.; Sanjurjo, P.; Soriano, J.R. Arachidonic acid content in adipose tissue is associated with insulin resistance in healthy children. J. Pediatr. Gastroenterol. Nutr. 2007, 44, 77–83. [Google Scholar] [CrossRef]
- Warensjö, E.; Sundström, J.; Vessby, B.; Cederholm, T.; Risérus, U. Markers of dietary fat quality and fatty acid desaturation as predictors of total and cardiovascular mortality: A population-based prospective study. Am. J. Clin. Nutr. 2008, 88, 203–209. [Google Scholar] [CrossRef]
- Rössner, S.; Walldius, G.; Björvell, H. Fatty acid composition in serum lipids and adipose tissue in severe obesity before and after six weeks of weight loss. Int. J. Obes. 1989, 13, 603–612. [Google Scholar]
- Maedler, K.; Oberholzer, J.; Bucher, P.; Spinas, G.A.; Donath, M.Y. Monounsaturated fatty acids prevent the deleterious effects of palmitate and high glucose on human pancreatic beta-cell turnover and function. Diabetes 2003, 52, 726–733. [Google Scholar] [CrossRef]
- Mozaffarian, D.; Cao, H.; King, I.B.; Lemaitre, R.N.; Song, X.; Siscovick, D.S.; Hotamisligil, G.S. Circulating palmitoleic acid and risk of metabolic abnormalities and new-onset diabetes. Am. J. Clin. Nutr. 2010, 92, 1350–1358. [Google Scholar] [CrossRef] [PubMed]
- Gertow, K.; Rosell, M.; Sjögren, P.; Eriksson, P.; Vessby, B.; de Faire, U.; Hamsten, A.; Hellenius, M.L.; Fisher, R.M. Fatty acid handling protein expression in adipose tissue, fatty acid composition of adipose tissue and serum, and markers of insulin resistance. Eur. J. Clin. Nutr. 2006, 60, 1406–1413. [Google Scholar] [CrossRef] [PubMed]
- Stefan, N.; Weikert, C.; Ix, J.H.; Fritsche, A.; Häring, H.-U. Association of lower plasma fetuin-a levels with peripheral arterial disease in type 2 diabetes: Response to Eraso et al. Diabetes Care 2010, 33, e55–e56. [Google Scholar] [CrossRef] [PubMed][Green Version]
- Dobrzyn, A.; Ntambi, J.M. Stearoyl-CoA desaturase as a new drug target for obesity treatment. Obes. Rev. 2005, 6, 169–174. [Google Scholar] [CrossRef] [PubMed]
- Ntambi, J.M.; Miyazaki, M.; Stoehr, J.P.; Lan, H.; Kendziorski, C.M.; Yandell, B.S.; Song, Y.; Cohen, P.; Friedman, J.M.; Attie, A.D. Loss of stearoyl-CoA desaturase-1 function protects mice against adiposity. Proc. Natl. Acad. Sci. USA 2002, 99, 11482–11486. [Google Scholar] [CrossRef]
- Sampath, H.; Flowers, M.T.; Liu, X.; Paton, C.M.; Sullivan, R.; Chu, K.; Zhao, M.; Ntambi, J.M. Skin-specific deletion of stearoyl-CoA desaturase-1 alters skin lipid composition and protects mice from high fat diet-induced obesity. J. Biol. Chem. 2009, 284, 19961–19973. [Google Scholar] [CrossRef]
- Kim, S.R.; Jeon, S.Y.; Lee, S.-M. The association of cardiovascular risk factors with saturated fatty acids and fatty acid desaturase indices in erythrocyte in middle-aged Korean adults. Lipids Health Dis. 2015, 14, 133. [Google Scholar] [CrossRef]
- Alsharari, Z.D.; Risérus, U.; Leander, K.; Sjögren, P.; Carlsson, A.C.; Vikström, M.; Laguzzi, F.; Gigante, B.; Cederholm, T.; De Faire, U.; et al. Serum Fatty Acids, Desaturase Activities and Abdominal Obesity-A Population-Based Study of 60-Year Old Men and Women. PLoS ONE 2017, 12, e0170684. [Google Scholar] [CrossRef]
- Steffen, L.M.; Vessby, B.; Jacobs, D.R.; Steinberger, J.; Moran, A.; Hong, C.P.; Sinaiko, A.R. Serum phospholipid and cholesteryl ester fatty acids and estimated desaturase activities are related to overweight and cardiovascular risk factors in adolescents. Int. J. Obes. 2008, 32, 1297–1304. [Google Scholar] [CrossRef]
- Beccarelli, L.M.; Scherr, R.E.; Newman, J.W.; Borkowska, A.G.; Gray, I.J.; Linnell, J.D.; Keen, C.L.; Young, H.M. Associations Among Fatty Acids, Desaturase and Elongase, and Insulin Resistance in Children. J. Am. Coll. Nutr. 2018, 37, 44–50. [Google Scholar] [CrossRef]
- Rockett, H.R.; Breitenbach, M.; Frazier, A.L.; Witschi, J.; Wolf, A.M.; Field, A.E.; Colditz, G.A. Validation of a youth/adolescent food frequency questionnaire. Prev. Med. 1997, 26, 808–816. [Google Scholar] [CrossRef] [PubMed]
- Sullivan, B.L.; Brown, J.; Williams, P.G.; Meyer, B.J. Dietary validation of a new Australian food-frequency questionnaire that estimates long-chain n-3 polyunsaturated fatty acids. Br. J. Nutr. 2008, 99, 660–666. [Google Scholar] [CrossRef] [PubMed]
- Barlow, S.E. Expert Committee Expert Committee Recommendations Regarding the Prevention, Assessment, and Treatment of Child and Adolescent Overweight and Obesity: Summary Report. Pediatrics 2007, 120, S164–S192. [Google Scholar] [CrossRef] [PubMed]
- de Onis, M.; Onyango, A.W.; Borghi, E.; Siyam, A.; Nishida, C.; Siekmann, J. Development of a WHO growth reference for school-aged children and adolescents. Bull World Health Organ. 2007, 85, 660–667. [Google Scholar] [CrossRef] [PubMed]
- Maffeis, C.; Grezzani, A.; Pietrobelli, A.; Provera, S.; Tatò, L. Does waist circumference predict fat gain in children? Int. J. Obes. 2001, 25, 978–983. [Google Scholar] [CrossRef]
- Sharma, A.K.; Metzger, D.L.; Daymont, C.; Hadjiyannakis, S.; Rodd, C.J. LMS tables for waist-circumference and waist-height ratio Z-scores in children aged 5–19 y in NHANES III: Association with cardio-metabolic risks. Pediatr. Res. 2015, 78, 723–729. [Google Scholar] [CrossRef]
- Stergiou, G.S.; Yiannes, N.G.; Rarra, V.C. Validation of the Omron 705 IT oscillometric device for home blood pressure measurement in children and adolescents: The Arsakion School Study. Blood Press. Monit. 2006, 11, 229–234. [Google Scholar] [CrossRef]
- Lurbe, E.; Agabiti-Rosei, E.; Cruickshank, J.K.; Dominiczak, A.; Erdine, S.; Hirth, A.; Invitti, C.; Litwin, M.; Mancia, G.; Pall, D.; et al. 2016 European Society of Hypertension guidelines for the management of high blood pressure in children and adolescents. J. Hypertens. 2016, 34, 1887–1920. [Google Scholar] [CrossRef] [PubMed]
- National High Blood Pressure Education Program Working Group on High Blood Pressure in Children and Adolescents The fourth report on the diagnosis, evaluation, and treatment of high blood pressure in children and adolescents. Pediatrics 2004, 114, 555–576. [CrossRef]
- Rapi, S.; Bazzini, C.; Tozzetti, C.; Sbolci, V.; Modesti, P.A. Point-of-care testing of cholesterol and triglycerides for epidemiologic studies: Evaluation of the multicare-in system. Transl. Res. 2009, 153, 71–76. [Google Scholar] [CrossRef] [PubMed]
- Lockyer, M.G.; Fu, K.; Edwards, R.M.; Collymore, L.; Thomas, J.; Hill, T.; Devaraj, S. Evaluation of the Nova StatStrip glucometer in a pediatric hospital setting. Clin. Biochem. 2014, 47, 840–843. [Google Scholar] [CrossRef] [PubMed]
- Baack, M.L.; Puumala, S.E.; Messier, S.E.; Pritchett, D.K.; Harris, W.S. What is the relationship between gestational age and docosahexaenoic acid (DHA) and arachidonic acid (ARA) levels? Prostaglandins. Leukot. Essent. Fatty Acids 2015, 100, 5–11. [Google Scholar] [CrossRef]
- Sarter, B.; Kelsey, K.S.; Schwartz, T.A.; Harris, W.S. Blood docosahexaenoic acid and eicosapentaenoic acid in vegans: Associations with age and gender and effects of an algal-derived omega-3 fatty acid supplement. Clin. Nutr. 2015, 34, 212–218. [Google Scholar] [CrossRef] [PubMed]
- Johnston, D.T.; Deuster, P.A.; Harris, W.S.; Macrae, H.; Dretsch, M.N. Red blood cell omega-3 fatty acid levels and neurocognitive performance in deployed U.S. Servicemembers. Nutr. Neurosci. 2013, 16, 30–38. [Google Scholar] [CrossRef]
- Hu, F.B. Dietary pattern analysis: A new direction in nutritional epidemiology. Curr. Opin. Lipidol. 2002, 13, 3–9. [Google Scholar] [CrossRef] [PubMed]


| Excess Weight (n: 88) | Normal-Weight (n: 155) | p Value * | Caucasian (n: 163) | Non-Caucasian (n: 80) | p Value * | |
|---|---|---|---|---|---|---|
| Age (years) | 8.6 ± 0.7 | 8.69 ± 0.72 | 0.35 | 8.68 ± 0.64 | 8.62 ± 0.85 | 0.51 |
| BMI (kg/m2) | 21.7 ± 2.8 | 16.3 ± 1.7 | <0.001 § | 18.1 ± 3.45 | 18.4 ± 3.33 | 0.57 |
| BMI (percentile) | 93.55 ± 3.7 | 46.9 ± 26.8 | <0.001 § | 62.5 ± 31.8 | 66.5 ± 29.5 | 0.38 |
| Waist/Height ratio | 0.51 ± 0.77 | 0.43 ± 0.07 | <0.001 § | 0.45 ± 0.09 | 0.46 ±0.08 | 0.56 |
| Fat mass (kg) | 12.9 ± 5.36 | 5 ± 2.29 | <0.001 § | 7.31 ± 4.97 | 9.05 ± 5.82 | 0.02 |
| FFM (kg) | 29.68 ± 4.11 | 25.11 ± 4.06 | <0.001 § | 26.81 ± 4.81 | 26.67 ± 4.22 | 0.82 |
| PWV (m/s) | 4.77 ± 1.04 | 4.44 ± 0.84 | 0.01 § | 4.53 ± 0.86 | 4.62 ± 1.07 | 0.51 |
| PWV (Percentile) | 50.97 ± 30 | 43.13 ± 27.87 | 0.043 | 43.99 ± 27.66 | 49.94 ± 30.88 | 0.13 |
| SBP (mmHg) | 112.88 ± 8.6 | 108.59 ± 10 | 0.001 § | 109.57 ± 9.74 | 111.33 ± 9.64 | 0.18 |
| SBP (Percentile) | 80.31 ± 18.25 | 72.43 ± 21.42 | 0.004 § | 74.21 ± 20.45 | 77.48 ± 20.98 | 0.25 |
| DBP (mmHg) | 67.52 ± 7.64 | 65.86 ± 7.43 | 0.09 | 65.79 ± 7 | 67.83 ± 8.38 | 0.04 |
| DBP (Percentile) | 71.41 ± 19.04 | 69.26 ± 20.03 | 0.41 | 69.3 ± 18.73 | 71.53 ± 21.47 | 0.40 |
| Glucose (mg/dL) | 89.2 ± 9.1 | 88.2 ± 10.4 | 0.47 | 90.5 ± 9.4 | 84.7 ± 9.9 | <0.001 § |
| Cholesterol (mg/dL) | 228.5 ± 39.0 | 232.6 ± 37.3 | 0.49 | 235.3 ± 37.3 | 222.7 ± 37.7 | 0.03 |
| Triglycerides mg/dL) | 191.2 ± 80.6 | 160.3 ± 67.7 | 0.005 § | 170.6 ± 76.6 | 170.4 ± 68.6 | 0.98 |
| ALA (%) | 0.15 ± 0.06 | 0.16 ± 0.08 | 0.17 | 0.15 ± 0.06 | 0.17 ± 0.1 | 0.01 |
| EPA (%) | 0.27 ± 0.15 | 0.3 ± 0.17 | 0.27 | 0.29 ± 0.18 | 0.28 ± 0.13 | 0.69 |
| DHA (%) | 2.72 ± 0.66 | 2.92 ± 0.76 | 0.04 | 2.72 ± 0.69 | 3.1 ± 0.76 | <0.001 § |
| Omega-3 Index (%) | 3.84 ± 0.8 | 4.08 ± 0.92 | 0.04 | 3.86 ± 0.86 | 4.26 ± 0.86 | 0.001 § |
| LA (%) | 19.8 ± 2.11 | 19.99 ± 2.32 | 0.52 | 19.65 ± 2.15 | 20.48 ± 2.35 | 0.008 § |
| GLA (%) | 0.22 ± 0.11 | 0.19 ± 0.1 | 0.10 | 0.21 ± 0.1 | 0.18 ± 0.1 | 0.05 |
| DGLA (%) | 2.04 ± 0.35 | 1.91 ± 0.36 | 0.008 | 1.98 ± 0.37 | 1.91 ± 0.35 | 0.18 |
| AA (%) | 12.34 ± 1.92 | 12.21 ± 1.67 | 0.57 | 12.34 ± 1.79 | 12.11 ± 1.7 | 0.33 |
| OA (%) | 19.33 ± 2 | 19.37 ± 2.02 | 0.96 | 19.62 ± 2 | 18.79 ± 1.94 | 0.002 § |
| PA (%) | 23.1 ± 1.31 | 23.03 ± 1.4 | 0.69 | 23.15 ± 1.47 | 22.86 ± 1.09 | 0.10 |
| Palmitoleic acid (%) | 0.85 ± 0.31 | 0.7 ± 0.23 | <0.001 § | 0.77 ± 0.28 | 0.73 ± 0.27 | 0.25 |
| D5D | 6.32 ± 1.81 | 6.66 ± 1.72 | 0.14 | 6.51 ± 1.8 | 6.58 ± 1.67 | 0.78 |
| D6D | 0.01 ± 0.01 | 0.01 ± 0.01 | 0.15 | 0.010 ± 0.01 | 0.009 ± 0.01 | 0.02 |
| SCD-16 | 0.04 ± 0.01 | 0.03 ± 0.01 | <0.001 § | 0.03 ± 0.01 | 0.03 ± 0.01 | 0.37 |
| SCD-18 | 0.65 ± 0.18 | 0.64 ± 0.22 | 0.93 | 0.63 ± 0.22 | 0.67 ± 0.17 | 0.12 |
| BMI (kg/m2) | Waist/Height ratio | FM (kg) | FFM (kg) | PWV (m/s) | SBP (mmHg) | DBP (mmHg) | Glucose (mg/dL) | Chol (mg/dL) | Tg (mg/dL) | |
|---|---|---|---|---|---|---|---|---|---|---|
| ALA (%) | −0.010 | −0.011 | −0.017 | −0.017 | −0.057 | −0.104 | −0.089 | −0.068 | 0.012 | 0.003 |
| EPA (%) | 0.003 | −0.003 | −0.016 | −0.006 | 0.053 | −0.048 | −0.050 | 0.02 | 0.015 | 0.071 |
| DHA (%) | −0.144 *a | −0.141 *a | −0.071 | 0.003 | 0.050 | 0.042 | 0.047 | −0.186 **§ | −0.049 | −0.188 **b |
| Omega-3 Index (%) | −0.126 | −0.124 | −0.065 | 0.001 | 0.055 | 0.028 | 0.031 | −0.160 * | −0.039 | −0.150 * |
| LA (%) | −0.057 | −0.052 | −0.054 | −0.066 | −0.107 | 0.111 | 0.030 | −0.064 | 0.188 *b | −0.193 **b |
| GLA (%) | 0.104 | 0.158 *b | 0.074 | 0.009 | −0.021 | 0.031 | −0.084 | 0.150 * | 0.220 **b | −0.035 |
| DGLA (%) | 0.135 *a | 0.118 | 0.134 *a | 0.011 | −0.092 | −0.006 | −0.041 | 0.018 | −0.014 | −0.079 |
| AA (%) | 0.006 | −0.008 | 0.036 | 0.076 | −0.023 | −0.050 | 0.067 | −0.041 | 0.106 | −0.048 |
| OA (%) | 0.029 | 0.053 | −0.016 | 0.007 | −0.079 | 0.080 | −0.034 | 0.027 | −0.138 | 0.045 |
| PA (%) | 0.082 | 0.049 | 0.018 | 0.073 | −0.055 | 0.098 | −0.109 | −0.004 | −0.122 | 0.101 |
| Palmitoleic acid (%) | 0.408 **§a | 0.308 **§a | 0.402 **§a | 0.258 **§a | 0.079 | 0.203 **§a | 0.167 **a | 0.063 | −0.110 | 0.199 **§ |
| D5D | −0.081 | −0.075 | −0.064 | 0.026 | 0.043 | −0.030 | 0.080 | −0.049 | 0.083 | 0.025 |
| D6D | 0.114 | 0.163 * | 0.079 | 0.024 | 0.008 | 0.000 | −0.084 | 0.164 * | 0.177 * | 0.009 |
| SCD-16 | 0.404 **§a | 0.306 **§a | 0.409 **§a | 0.249 **§a | 0.087 | 0.192 **a | 0.184 **§b | 0.068 | −0.090 | 0.180 * |
| SCD-18 | −0.041 | −0.059 | −0.011 | −0.056 | 0.116 | −0.151 *a | 0.027 | 0.055 | 0.090 | 0.117 |
| DBP (mmHg) | |||||
|---|---|---|---|---|---|
| Unstandardized coefficient | Standardized coefficient | ||||
| B | Std. Error | Beta | t | Sig. | |
| 74.710 | 7.558 | ||||
| Age (years) | −1.841 | 0.674 | −0.175 | −2.730 | 0.007 |
| Sex | −0.196 | 0.963 | −0.013 | −0.203 | 0.839 |
| Ethnicity | 1.890 | 1.041 | 0.119 | 1.815 | 0.071 |
| BMI (kg/m2) | 0.233 | 0.151 | 0.108 | 1.543 | 0.124 |
| Carbohydrate/TEI (%) | −0.191 | 0.314 | −0.040 | −0.611 | 0.542 |
| SCD-16 | 93.898 | 46.634 | 0.142 | 2.013 | 0.045 |
| BMI (kg/m2) | Waist/Height ratio | FM (kg) | FFM (kg) | PWV (m/s) | SBP (mmHg) | DBP (mmHg) | Glucose (mg/dL) | Chol (mg/dL) | Tg (mg/dL) | |
|---|---|---|---|---|---|---|---|---|---|---|
| Excess weight group (n: 88) | ||||||||||
| ALA (%) | 0.121 | 0.207 | 0.112 | 0.024 | −0.002 | −0.018 | −0.183 | −0.040 | 0.047 | 0.118 |
| EPA (%) | 0.035 | 0.133 | 0.007 | −0.021 | −0.030 | −0.181 | −0.204 | −0.039 | −0.051 | 0.167 |
| DHA (%) | −0.126 | −0.130 | −0.028 | −0.151 | 0.060 | −0.115 | −0.148 | −0.201 | 0.053 | −0.147 |
| Omega-3 Index (%) | −0.103 | −0.086 | −0.023 | −0.136 | 0.047 | −0.138 | −0.171 | −0.184 | 0.033 | −0.097 |
| LA (%) | −0.121 | 0.001 | −0.102 | −0.157 | −0.046 | 0.170 | −0.024 | −0.083 | 0.220 | −0.282 *a |
| GLA (%) | 0.012 | 0.232 * | 0.011 | −0.044 | 0.069 | 0.085 | 0.016 | 0.144 | 0.236 | −0.087 |
| DGLA (%) | 0.064 | 0.135 | 0.107 | 0.107 | −0.012 | −0.017 | −0.027 | 0.150 | 0.150 | −0.044 |
| AA (%) | −0.061 | −0.127 | 0.048 | 0.012 | −0.024 | −0.032 | 0.038 | 0.035 | 0.156 | −0.121 |
| OA (%) | 0.124 | 0.066 | −0.067 | −0.053 | −0.105 | 0.081 | −0.026 | −0.074 | −0.146 | 0.218 |
| PA (%) | 0.260 *a | 0.260 *a | 0.135 | 0.198 | −0.055 | 0.131 | 0.052 | 0.031 | −0.150 | 0.190 |
| Palmitoleic acid (%) | 0.395 **§a | 0.271 *a | 0.395 **§a | 0.186 | 0.073 | 0.228* | 0.406 **§b | 0.024 | −0.035 | 0.289 * |
| D5D | −0.082 | −0.162 | −0.062 | −0.069 | −0.041 | −0.044 | 0.029 | −0.078 | −0.007 | −0.056 |
| D6D | 0.060 | 0.257 *b | 0.057 | −0.005 | 0.072 | 0.066 | 0.046 | 0.151 | 0.199 | −0.031 |
| SCD-16 | 0.367 **§a | 0.238 *a | 0.391 **§a | 0.158 | 0.084 | 0.217 * | 0.412 **§b | 0.027 | −0.010 | 0.262 *a |
| SCD-18 | −0.146 | −0.152 | −0.016 | 0.012 | 0.120 | −0.205 | −0.015 | 0.081 | 0.007 | −0.029 |
| Normal-weight group (n: 155) | ||||||||||
| ALA (%) | 0.078 | −0.045 | 0.029 | 0.025 | −0.063 | −0.113 | −0.037 | −0.079 | −0.005 | −0.006 |
| EPA (%) | 0.143 | −0.015 | 0.116 | 0.058 | 0.129 | 0.030 | 0.040 | 0.048 | 0.042 | 0.047 |
| DHA (%) | −0.028 | −0.070 | 0.107 | 0.186 *b | 0.085 | 0.152 | 0.168 * | −0.175* | −0.104 | −0.169 |
| Omega-3 Index (%) | 0.005 | −0.064 | 0.118 | 0.175 *b | 0.101 | 0.139 | 0.156 | −0.144 | −0.081 | −0.137 |
| LA (%) | 0.028 | −0.059 | 0.051 | 0.007 | −0.138 | 0.101 | 0.065 | −0.053 | 0.171 | −0.145 |
| GLA (%) | 0.068 | 0.049 | 0.023 | −0.034 | −0.122 | −0.032 | −0.171 *b | 0.143 | 0.213 * | −0.039 |
| DGLA (%) | −0.043 | −0.013 | −0.040 | −0.169 * | −0.200 *b | −0.055 | −0.078 | −0.053 | −0.082 | −0.145 |
| AA (%) | −0.005 | 0.043 | −0.041 | 0.102 | −0.036 | −0.074 | 0.082 | −0.084 | 0-082 | 0.001 |
| OA (%) | −0.001 | 0.068 | −0.022 | 0.026 | −0.057 | 0.088 | −0.036 | 0.070 | −0.141 | −0.052 |
| PA (%) | −0.041 | −0.084 | −0.204 *b | −0.012 | −0.063 | 0.079 | −0.201 *b | −0.021 | −0.119 | 0.056 |
| Palmitoleic acid (%) | 0.254 **a | 0.160 * | 0.134 | 0.114 | −0.003 | 0.115 | -0.058 | 0.068 | −0.138 | 0.055 |
| D5D | 0.056 | 0.050 | 0.057 | 0.159 | 0.132 | 0.007 | 0.129 | −0.029 | 0.132 | 0.102 |
| D6D | 0.078 | 0.067 | 0.017 | −0.019 | −0.058 | −0.058 | −0.171 *b | 0.161 * | 0.172 | 0.003 |
| SCD-16 | 0.266 **a | 0.180 * | 0.172 * | 0.112 | 0.002 | 0.101 | −0.025 | 0.073 | −0.119 | 0.039 |
| SCD-18 | −0.022 | −0.032 | 0.040 | −0.081 | 0.116 | −0.137 | 0.047 | 0.05 | 0.121 | 0.197 * |
| BMI (kg/m2) | Waist/Height ratio | FM (kg) | FFM (kg) | PWV (m/s) | SBP (mmHg) | DBP (mmHg) | Glucose (mg/dL) | Chol (mg/dL) | Tg (mg/dL) | |
|---|---|---|---|---|---|---|---|---|---|---|
| ALA (%) | 0.072 | 0.046 | 0.032 | 0.030 | −0.118 | −0.145 | −0.138 | 0.014 | 0.056 | 0.213 *a |
| EPA (%) | 0.010 | −0.005 | −0.041 | −0.009 | 0.034 | −0.056 | −0.060 | 0.036 | −0.003 | 0.02 |
| DHA (%) | −0.136 | −0.128 | −0.127 | 0.016 | 0.041 | 0.047 | 0.064 | −0.079 | −0.013 | −0.205 *a |
| Omega-3 Index (%) | −0.112 | −0.108 | −0.116 | 0.012 | 0.042 | 0.027 | 0.041 | −0.059 | −0.011 | −0.166 |
| LA (%) | −0.111 | −0.109 | −0.111 | −0.063 | −0.074 | 0.133 | 0.012 | −0.034 | 0.234 **a | −0.195 * |
| GLA (%) | 0.189 *a | 0.235 **§b | 0.181 *a | 0.043 | −0.043 | 0.076 | -0.045 | 0.152 | 0.237 **a | 0.030 |
| DGLA (%) | 0.149 | 0.157 * | 0.166 * | 0.003 | −0.165 *b | 0.078 | −0.011 | 0.001 | −0.052 | −0.117 |
| AA (%) | −0.032 | −0.018 | 0.002 | 0.055 | 0.017 | −0.040 | 0.152 | 0.037 | 0.183 * | −0.013 |
| OA (%) | 0.070 | 0.041 | 0.058 | 0.048 | −0.120 | 0.104 | −0.040 | −0.115 | −0.146 | −0.021 |
| PA (%) | 0.162 *a | 0.136 | 0.122 | 0.117 | −0.082 | 0.189 *b | −0.033 | −0.075 | −0.203 *b | 0.096 |
| Palmitoleic acid (%) | 0.428 **§a | 0.325 **§a | 0.445 **§a | 0.254 **§a | 0.098 | 0.239 **§a | 0.203 **a | −0.072 | −0.086 | 0.185 *a |
| D5D | −0.119 | −0.112 | −0.106 | 0.002 | 0.096 | −0.084 | 0.111 | −0.017 | 0.162 | 0.077 |
| D6D | 0.192 *a | 0.234 **§b | 0.178 * | 0.047 | −0.007 | 0.032 | −0.049 | 0.164 * | 0.186 * | 0.065 |
| SCD-16 | 0.410 **§ | 0.310 **§a | 0.438 **§ | 0.237 **a | 0.114 | 0.213 **a | 0.207 **a | −0.065 | −0.047 | 0.162 |
| SCD-18 | −0.084 | −0.075 | −0.076 | −0.113 | 0.147 | −0.206 **b | −0.008 | 0.121 | 0.059 | 0.153 |
© 2020 by the authors. Licensee MDPI, Basel, Switzerland. This article is an open access article distributed under the terms and conditions of the Creative Commons Attribution (CC BY) license (http://creativecommons.org/licenses/by/4.0/).
Share and Cite
Bonafini, S.; Giontella, A.; Tagetti, A.; Bresadola, I.; Gaudino, R.; Cavarzere, P.; Ramaroli, D.A.; Branz, L.; Marcon, D.; Pietrobelli, A.; et al. Fatty Acid Profile and Desaturase Activities in 7–10-Year-Old Children Attending Primary School in Verona South District: Association between Palmitoleic Acid, SCD-16, Indices of Adiposity, and Blood Pressure. Int. J. Mol. Sci. 2020, 21, 3899. https://doi.org/10.3390/ijms21113899
Bonafini S, Giontella A, Tagetti A, Bresadola I, Gaudino R, Cavarzere P, Ramaroli DA, Branz L, Marcon D, Pietrobelli A, et al. Fatty Acid Profile and Desaturase Activities in 7–10-Year-Old Children Attending Primary School in Verona South District: Association between Palmitoleic Acid, SCD-16, Indices of Adiposity, and Blood Pressure. International Journal of Molecular Sciences. 2020; 21(11):3899. https://doi.org/10.3390/ijms21113899
Chicago/Turabian StyleBonafini, Sara, Alice Giontella, Angela Tagetti, Irene Bresadola, Rossella Gaudino, Paolo Cavarzere, Diego Alberto Ramaroli, Lorella Branz, Denise Marcon, Angelo Pietrobelli, and et al. 2020. "Fatty Acid Profile and Desaturase Activities in 7–10-Year-Old Children Attending Primary School in Verona South District: Association between Palmitoleic Acid, SCD-16, Indices of Adiposity, and Blood Pressure" International Journal of Molecular Sciences 21, no. 11: 3899. https://doi.org/10.3390/ijms21113899
APA StyleBonafini, S., Giontella, A., Tagetti, A., Bresadola, I., Gaudino, R., Cavarzere, P., Ramaroli, D. A., Branz, L., Marcon, D., Pietrobelli, A., Minuz, P., Antoniazzi, F., Maffeis, C., & Fava, C. (2020). Fatty Acid Profile and Desaturase Activities in 7–10-Year-Old Children Attending Primary School in Verona South District: Association between Palmitoleic Acid, SCD-16, Indices of Adiposity, and Blood Pressure. International Journal of Molecular Sciences, 21(11), 3899. https://doi.org/10.3390/ijms21113899

