Halogeno Aldol Reaction of Ethyl Vinyl Ketone and Aldehydes Mediated by Titanium Tetrachloride
Abstract
:
Introduction
Results and Discussion
and
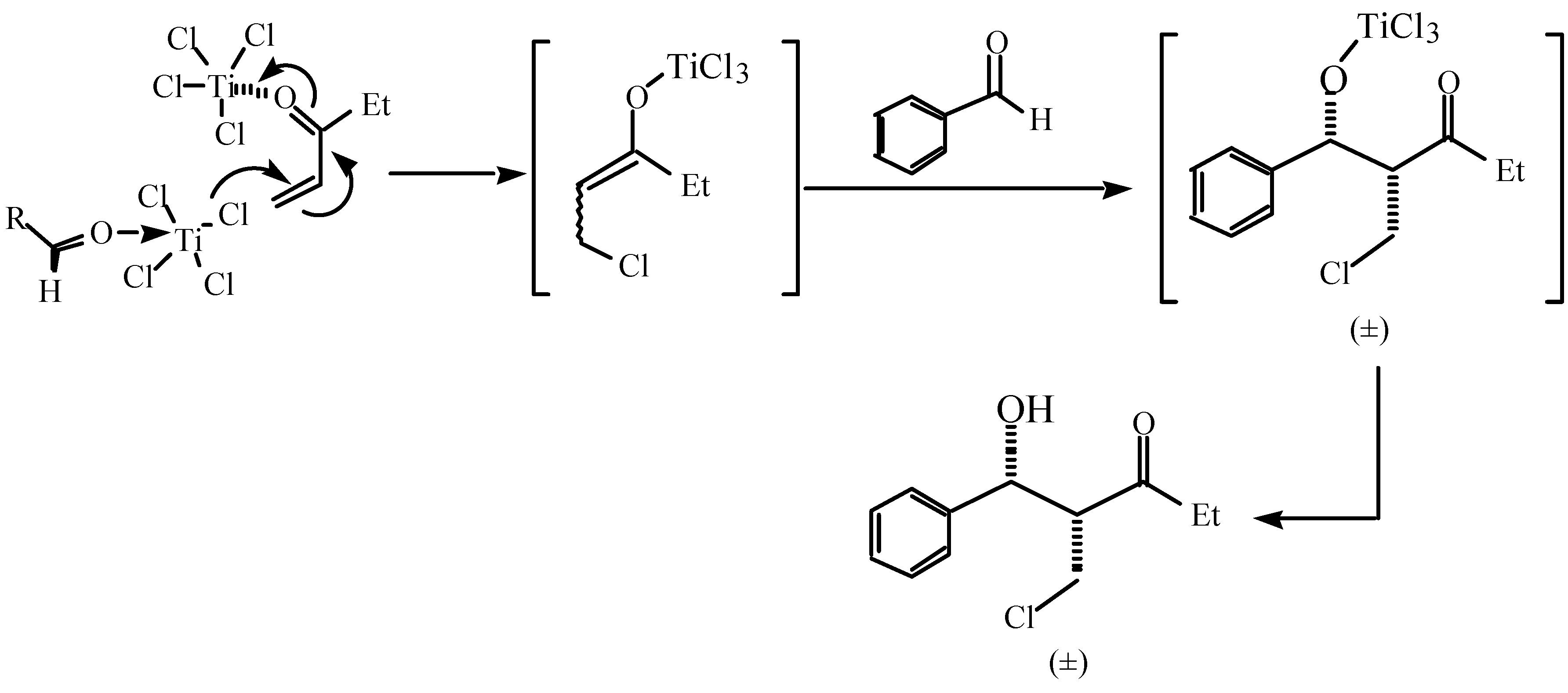
protons of aldol adducts [9]. For entry 1 of Table 1, the
proton (CHOH) triplet of the anti isomer (d 5.11, J = 6.35 Hz) and the doublet-doublet of the anti isomer (d 5.05, J = 2.75, 6.08 Hz) were observed. The stability of these ethyl vinyl ketone-derived products and the resolution of their 1H-NMR spectra made this determination possible. In contrast, the methyl vinyl ketone-derived products can be very easily dehydrated under the current conditions. The syn selectivity suggests that this aldol reaction is dynamically controlled. This is similar to
,
-unsaturated aldehyde-based system where the dynamically controlled syn stereoselection was proven to be dominant at -78 °C in the same solvent in which TiCl4/(n-Bu)4NI combination was employed as the halogen source (I-) [8c].
,
-conjugate double bond and to free the chlorine anion from TiCl4 prior to the
,
-conjugate addition. The resulting Lewis acid species can also activate aldehyde for the subsequent aldol reaction by coordinating with aldehyde oxygen.Conclusions
Experimental
General
Synthetic Method
Acknowledgments
References and Notes
- During the preparation of this manuscript, two halogeno aldol reaction papers have appeared in which the combinations of TiCl4 and Lewis bases were subjected to the Michael-type addition to methyl vinyl ketone followed by aldol reaction with aldehydes: (a) Kataoka, T.; Kinoshita, H.; Iwama, T.; Tsujiyama, S-i.; Iwamura, T.; Watanable, S-i.; Muraoka, O.; Tanabe, G. Tetrahedron 2000, 56, 4725. (b) Shi, M.; Jiang, J.-K.; Feng, Y.-S. Organic Letters 2000, 2, 2397.
- (a) Evans, D.A.; Nelson, J.V.; Taber, T.R. Topics in Stereochemistry 1982, 13, 1. (b) Heathcock, C.H. Comprehensive Carbonion Chemistry; Buncel, E., Durst, T., Eds.; Elsevier: New York, 1984; vol. 5B, p. 177. [Google Scholar] (c) Kim, B.M.; Williams, S.F.; Masumune, S. Comprehensive Organic Synthesis; Trost, B.M., Fleming, I., Heathcock, C.H., Eds.; vol. 2, Chapter 1.7; Pergamon: Oxford, 1984; p. 239. [Google Scholar]
- For several recent reviews see: (a) Nelson, S.G. Tetrahedron Asymmetry 1998, 9, 357. (b) Mahrwald, R. Chem. Rev. 1999, 99, 1095. (c) Arya, P.; Qin, H. Tetrahedron 2000, 56, 917.
- For representative references on asymmetric catalytic Aldol reactions see: (a) Parmee, E.R.; Tempkin, O.; Masumune, S.; Abiko, A. J. Am. Chem. Soc. 1991, 113, 9365. (b) Corey, E.J.; Cywin, C.L.; Roper, T.D. Tetrahedron Lett. 1992, 33, 6907. (c) Evans, D.A.; Kozlowski, M.C.; Murray, J.A.; Burgey, C.S.; Campos, B.T.; Staples, R.J. J. Am. Chem. Soc. 1999, 121, 669. (d) Denmark, S.E.; Stavenger, R.A.; Wong, K.-T.; Su, X. J. Am. Chem. Soc. 1999, 121, 4982. (e) Taylor, S.; Duffey, M.O.; Morken, J.P. J. Am. Chem. Soc. 2000, 122, 4528.
- For recent reviews regarding the Baylis-Hillman reaction see: (a) Ciganek, E. Org. React. 1997, 51, 201. (b) Basavaiah, D.; Rao, P.D.; Hyma, R.S. Tetrahedron 1996, 52, 8001.
- Brzezinski, L.J.; Rafel, S.; Leahy, J.M. J. Am. Chem. Soc. 1997, 119, 4317. (b) Iwabuchi, Y.; Nakatani, M.; Yokoyama, N.; Hatakeyama, S. J. Am. Chem. Soc. 1999, 121, 10219. (c) Barrett, A.G.C.; Cook, A.S.; Kamimura, A. Chem. Commun. 1998, 2533. (d) Kawamura, M.; Kobayashi, S. Tetrahedron Lett. 1999, 40, 1539.
- (a) Li, G.; Wei, H.-X.; Caputo, T.D. Tetrahedron Lett. 2000, 41, 1. In this preliminary report, the mechanistic experiments of Baylis-Hillman system resulted in the halo aldol process as an extra synthetic bonus. The mixture of syn/anti isomers were generated, although the coupling contentsbased anti structural demonstration was temporally used. (b) Li, G.; Gao, J.; Wei, H.-X.; Enright, M. Organic Letters 2000, 2, 617.
- For TiCl4/(n-Bu)4NI combination see: (a) Taniguchi, M.; Hino, T.; Kishi, Y. Tetrahedron Lett. 1986, 39, 4767. (b) Yachi, K.; Maeda, K.; Shinokubo, H.; Oshima, K. Tetrahedron Lett. 1997, 38, 5161. (c) Uehira, S.; Han, Z.; Shinokubo, H.; Oshima, K. Organic Lett. 1999, 1, 1383.
- (a) Heng, K.; Smith, R.A.J. Tetrahedron 1979, 35, 425. (b) Kamimura, A.; Mitsudera, H.; Asano, S.; Kidera, S.; Kakehi, A. J. Org. Chem. 1999, 64, 6353.
- Wei, H.X.; Caputo, T.D.; Purkiss, D.W.; Li, G. Tetrahedron 2000, 56, 2397.
- For a comprehensive review about Lewis acid carbonyl complexation including TiCl4 see: Shambayati, S.; Schreiber, S.L. Comprehensive Organic Synthesis; Trost, B.M., Fleming, I., Eds.; vol. 1, Pergamon: Oxford, 1991; pp. 283–321. [Google Scholar]
- Sample Availability: Available from the authors



© 2000 MDPI. All rights reserved.
Share and Cite
Wei, H.-X.; Karur, S.; Li, G. Halogeno Aldol Reaction of Ethyl Vinyl Ketone and Aldehydes Mediated by Titanium Tetrachloride. Molecules 2000, 5, 1408-1416. https://doi.org/10.3390/51201408
Wei H-X, Karur S, Li G. Halogeno Aldol Reaction of Ethyl Vinyl Ketone and Aldehydes Mediated by Titanium Tetrachloride. Molecules. 2000; 5(12):1408-1416. https://doi.org/10.3390/51201408
Chicago/Turabian StyleWei, Han-Xun, Subramanian Karur, and Guigen Li. 2000. "Halogeno Aldol Reaction of Ethyl Vinyl Ketone and Aldehydes Mediated by Titanium Tetrachloride" Molecules 5, no. 12: 1408-1416. https://doi.org/10.3390/51201408
APA StyleWei, H.-X., Karur, S., & Li, G. (2000). Halogeno Aldol Reaction of Ethyl Vinyl Ketone and Aldehydes Mediated by Titanium Tetrachloride. Molecules, 5(12), 1408-1416. https://doi.org/10.3390/51201408









