Unveiling Fermentation Effects on the Functional Composition of Taiwanese Native Teas
Abstract
1. Introduction
2. Results and Discussion
2.1. Chemical Composition at the Green-Tea Processing Stage
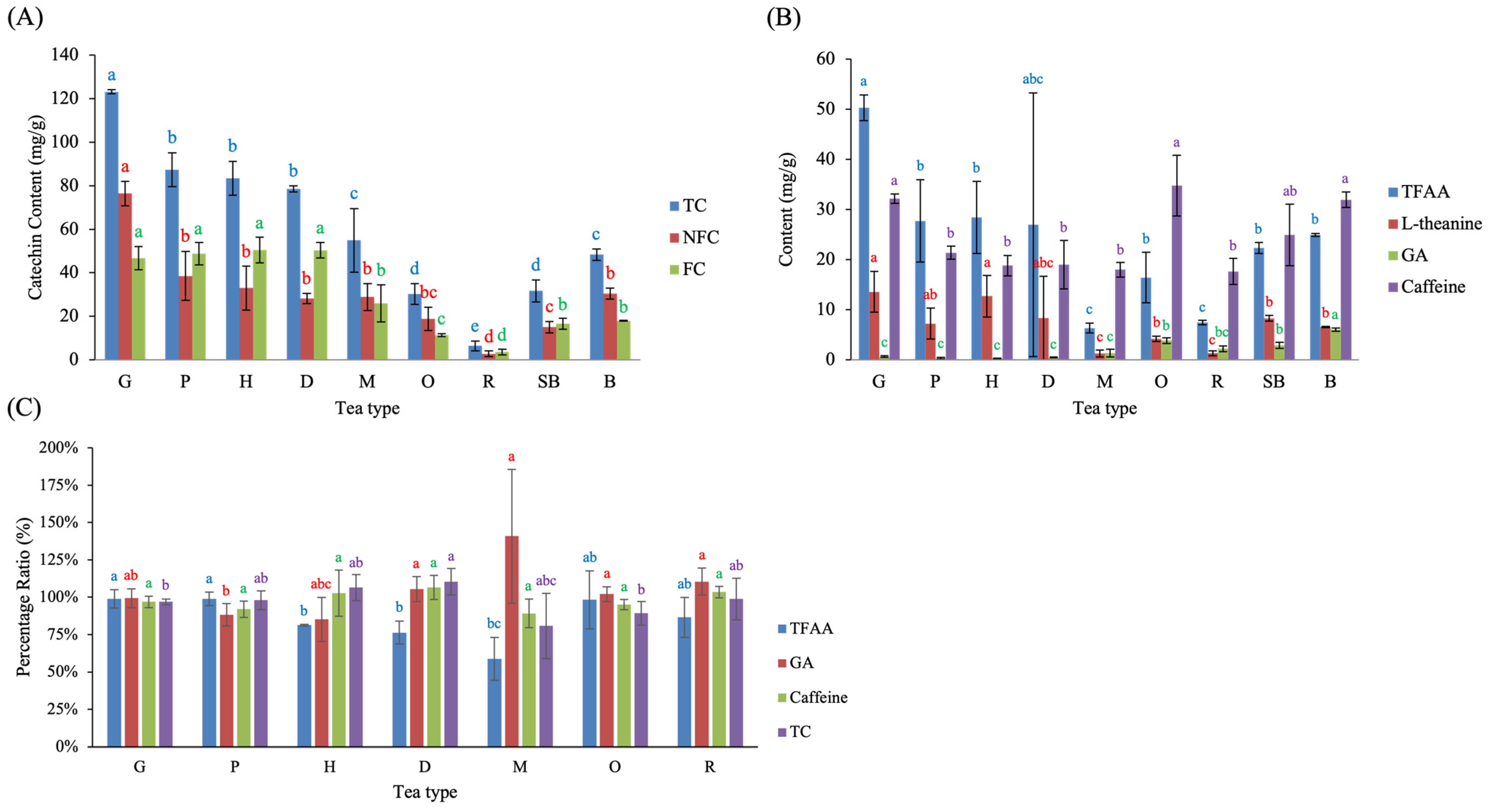
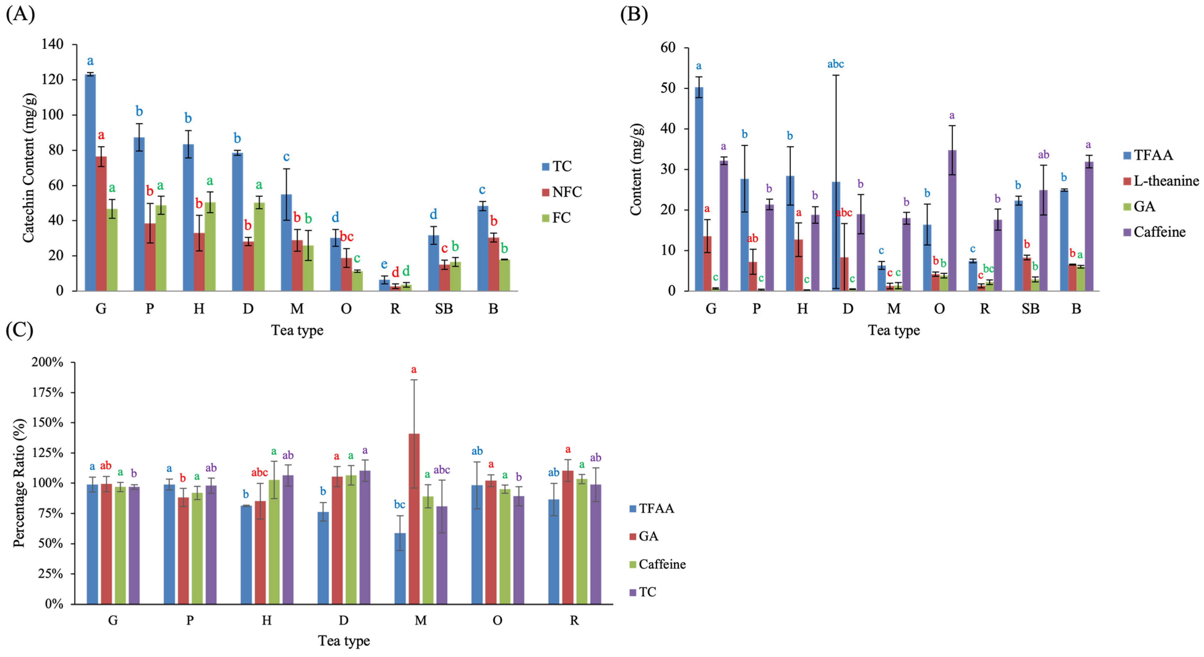
2.2. Effects of Fermentation on Chemical Composition Across Taiwanese Tea Types
2.3. Effects of Roasting on Chemical Composition
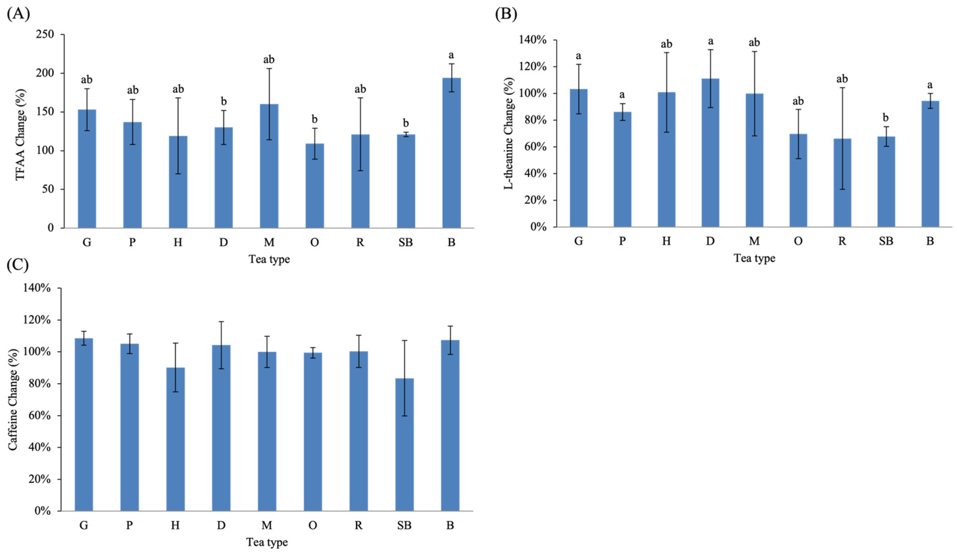
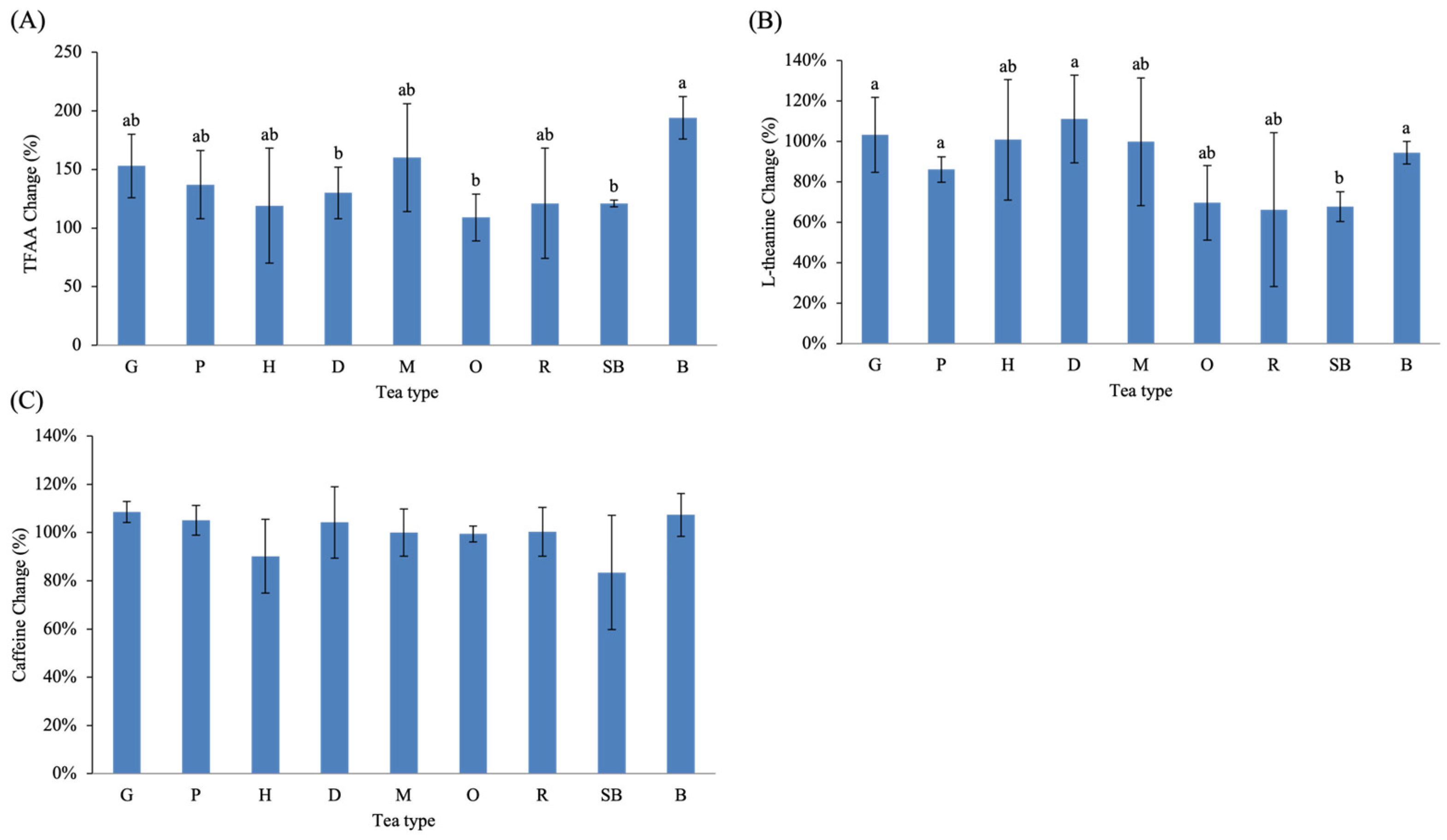
2.4. Chemical Composition of Completed Teas (C) and the Influence of Rolling
3. Materials and Methods
3.1. Chemicals and Reagents
3.2. Tea Processing and Sample Collection
- Green tea stage (non-fermented group, G) was freshly plucked tender shoots and pan-fired immediately after harvest to inactivate endogenous enzymes and prevent enzymatic browning. The leaves were not rolled but directly dried to preserve their original green characteristics.
- Fermentation stage (fermented group, F), corresponding to the enzymatic fermentation (oxidative fermentation) stage defined in the Abstract, consisted of withering or stirring of fresh tea leaves to induce enzymatic oxidation (tea fermentation). Withering reduced moisture and facilitated the formation of aroma precursors, whereas stirring redistributed leaf moisture and caused partial cell rupture, thereby enhancing polyphenol oxidase–catechin reactions and regulating the degree of fermentation. After fermentation was achieved, the leaves were pan-fired without rolling to inactivate enzymes.
- Semi-finished tea stage (S) represented the intermediate samples of teas that included a roasting process, namely D, M, and R. These samples were collected after shaping (rolling) but before roasting to evaluate the influence of roasting on the chemical composition.
- Completed tea stage (C) consisted of tea samples that had completed the full manufacturing process for each tea type.
3.3. Tea Extraction
3.4. HPLC Analysis of Catechins and Caffeine
3.5. HPLC Analysis of L-Theanine and TFAA
3.6. LC–MS/MS Analysis
3.7. Statistical Analysis
4. Conclusions
Author Contributions
Funding
Institutional Review Board Statement
Informed Consent Statement
Data Availability Statement
Conflicts of Interest
References
- Samanta, S. Potential bioactive components and health promotional benefits of tea (Camellia sinensis). J. Am. Nutr. Assoc. 2022, 41, 65–93. [Google Scholar] [CrossRef] [PubMed]
- Alemu, T.T.; Abdullahi, M.A.; Abamecha, N.; Hamza, M. Contribution of nutritional and bioactive components of tea leaves in management of non-communicable chronic diseases: A comprehensive review. Discov. Food 2025, 5, 252. [Google Scholar] [CrossRef]
- Wang, Y.; Kan, Z.; Thompson, H.J.; Ling, T.; Ho, C.-T.; Li, D.; Wan, X. Impact of six typical processing methods on the chemical composition of tea leaves using a single Camellia sinensis cultivar, Longjing 43. J. Agric. Food Chem. 2018, 67, 5423–5436. [Google Scholar] [CrossRef] [PubMed]
- Wong, M.; Sirisena, S.; Ng, K. Phytochemical profile of differently processed tea: A review. J. Food Sci. 2022, 87, 1925–1942. [Google Scholar] [CrossRef]
- Huang, H.-H.; Lu, J.-J.; Hsiao, M.-C.; Chang, C.-H.; Chien, C.-H.; Huang, S.-Y.; Kuo, C.-C.; Tsai, H.-T.; Su, T.-C.; Chou, C.P.-W.; et al. Impact of long-term storage on chemical and sensory evolution of Taiwanese native teas: A three-year study. J. Food Compos. Anal. 2025, 147, 108005. [Google Scholar] [CrossRef]
- Bokuchava, M.A.; Skobeleva, N.I. The chemistry and biochemistry of tea and tea manufacture. Adv. Food Res. 1969, 17, 215–292. [Google Scholar] [CrossRef]
- Qi, D.; Miao, A.; Chen, W.; Wang, W.; He, X.; Ma, C. Characterization of the volatile compounds profile of the innovative broken oolong-black tea in comparison with broken oolong and broken black tea. Food Control 2021, 129, 108197. [Google Scholar] [CrossRef]
- Abudureheman, B.; Yu, X.; Fang, D.; Zhang, H. Enzymatic oxidation of tea catechins and its mechanism. Molecules 2022, 27, 942. [Google Scholar] [CrossRef]
- Piyasena, K.N.P.; Hettiarachchi, L. Identification of key flavor compounds and color substances in tea: A review. Discov. Food 2025, 5, 250. [Google Scholar] [CrossRef]
- Kuo, Y.-C.; Yu, C.-L.; Liu, C.-Y.; Wang, S.-F.; Pan, P.-C.; Wu, M.-T.; Ho, C.-K.; Lo, Y.-S.; Li, Y.; Christiani, D.C. A population-based, case–control study of green tea consumption and leukemia risk in southwestern Taiwan. Cancer Causes Control 2009, 20, 57–65. [Google Scholar] [CrossRef]
- Wang, W.-C.; Kuo, C.-Y.; Zheng, Y.-F.; Chien, H.-J.; Lin, Y.-C.; Kuo, C.-C.; Huang, H.-H.; Tsai, H.-T.; Su, T.-C.; Lai, C.-C. Authenticity Verification and Quality Assessment of Taiwan Oriental Beauty Oolong Tea with a Volatilomic Strategy. Appl. Food Res. 2025, 101448. [Google Scholar] [CrossRef]
- Harrison, D.M.; Chang, W.-C.; Lin, H.-T. Dietary exposure and health risk assessment of polycyclic aromatic hydrocarbons in black tea consumed in Taiwan. Toxics 2024, 12, 134. [Google Scholar] [CrossRef] [PubMed]
- Liu, T.-L.; Dai, J.-R.; Su, T.-C.; Chiu, C.-H.; Tsai, H.-T.; Chiu, C.-F.; Lin, J.-C.; Hu, C.-Y. Development and industrial application of geographical origin identification for Taiwanese oolong tea. J. Food Drug Anal. 2024, 32, 498. [Google Scholar] [CrossRef] [PubMed]
- Wu, J.-J.; Chiang, M.-T.; Chang, Y.-W.; Chen, J.-Y.; Yang, H.-T.; Lii, C.-K.; Lin, J.-H.; Yao, H.-T. Correlation of major components and radical scavenging activity of commercial tea drinks in Taiwan. J. Food Drug Anal. 2011, 19, 7. [Google Scholar] [CrossRef]
- Chen, L.; Wang, H.; Ye, Y.; Wang, Y.; Xu, P. Structural insight into polyphenol oxidation during black tea fermentation. Food Chem. X 2023, 17, 100615. [Google Scholar] [CrossRef]
- Wu, S.; Yu, Q.; Shen, S.; Shan, X.; Hua, J.; Zhu, J.; Qiu, J.; Deng, Y.; Zhou, Q.; Jiang, Y. Non-targeted metabolomics and electronic tongue analysis reveal the effect of rolling time on the sensory quality and nonvolatile metabolites of congou black tea. LWT-Food Sci. Technol. 2022, 169, 113971. [Google Scholar] [CrossRef]
- CNS 179 N1007; Tea. Ministry of Economic Affairs: Taipei, Taiwan, 2006.
- Kerio, L.; Wachira, F.N.; Wanyoko, J.K.; Rotich, M. Total polyphenols, catechin profiles and antioxidant activity of tea products from purple leaf coloured tea cultivars. Food Chem. 2013, 136, 1405–1413. [Google Scholar] [CrossRef]
- Jiang, H.; Yu, F.; Qin, L.; Zhang, N.; Cao, Q.; Schwab, W.; Li, D.; Song, C. Dynamic change in amino acids, catechins, alkaloids, and gallic acid in six types of tea processed from the same batch of fresh tea (Camellia sinensis L.) leaves. J. Food Compos. Anal. 2019, 77, 28–38. [Google Scholar] [CrossRef]
- Chen, C.T.; Yang, C.-Y.; Tzen, J.T. Effect of tea manufacturing processes and cultivars on tea infusion color. Sci. Rep. 2025, 15, 29855. [Google Scholar] [CrossRef]
- Wang, D.; Dong, C.; Guo, M.; Shi, Y.; Zhang, F.; Zhang, X.; Lu, M. A Study on Quality Differences Between Shandong Green Tea and Low-Latitude Green Tea. eFood 2025, 6, e70087. [Google Scholar] [CrossRef]
- Chen, P.; Cai, J.; Zheng, P.; Yuan, Y.; Tsewang, W.; Chen, Y.; Xiao, X.; Liao, J.; Sun, B.; Liu, S. Quantitatively unravelling the impact of high altitude on oolong tea flavor from Camellia sinensis grown on the plateaus of Tibet. Horticulturae 2022, 8, 539. [Google Scholar] [CrossRef]
- Lin, Y.-S.; Tsai, Y.-J.; Tsay, J.-S.; Lin, J.-K. Factors affecting the levels of tea polyphenols and caffeine in tea leaves. J. Agric. Food Chem. 2003, 51, 1864–1873. [Google Scholar] [CrossRef] [PubMed]
- Peng, H.; Shahidi, F. Oxidation and degradation of (epi) gallocatechin gallate (EGCG/GCG) and (epi) catechin gallate (ECG/CG) in alkali solution. Food Chem. 2023, 408, 134815. [Google Scholar] [CrossRef] [PubMed]
- Muthulingam, P.; Rashidinejad, A.; Popovich, D.; Punyasiri, P.N.; Nanayakkara, C.M.; Mesarich, C.H. Microbial Polyphenol Oxidases in Tea Catechin Oxidation: A Novel Approach to Tea Biotransformation. Food Bioprod. Process 2025, 154, 731–740. [Google Scholar] [CrossRef]
- Chen, Y.-H.; Zhang, Y.-H.; Chen, G.-S.; Yin, J.-F.; Chen, J.-X.; Wang, F.; Xu, Y.-Q. Effects of phenolic acids and quercetin-3-O-rutinoside on the bitterness and astringency of green tea infusion. npj Sci. Food 2022, 6, 8. [Google Scholar] [CrossRef]
- Badhani, B.; Sharma, N.; Kakkar, R. Gallic acid: A versatile antioxidant with promising therapeutic and industrial applications. RSC Adv. 2015, 5, 27540–27557. [Google Scholar] [CrossRef]
- Karwowska, K.; Kozłowska-Tylingo, K.; Skotnicka, M.; Śmiechowska, M. Theogallin-to-Gallic-Acid ratio as a potential biomarker of Pu-erh teas. Foods 2023, 12, 2453. [Google Scholar] [CrossRef]
- Zhang, L.; Ho, C.T.; Zhou, J.; Santos, J.S.; Armstrong, L.; Granato, D. Chemistry and biological activities of processed Camellia sinensis teas: A comprehensive review. Compr. Rev. Food Sci. Food Saf. 2019, 18, 1474–1495. [Google Scholar] [CrossRef]
- Zuo, Y.; Chen, H.; Deng, Y. Simultaneous determination of catechins, caffeine and gallic acids in green, Oolong, black and pu-erh teas using HPLC with a photodiode array detector. Talanta 2002, 57, 307–316. [Google Scholar] [CrossRef]
- Ayakdaş, G.; Ağagündüz, D. Determination of L-Theanine and Caffeine Contents in Tea Infusions with Different Fermentation Degrees and Brewing Conditions Using the Chromatographic Method. Foods 2025, 14, 2313. [Google Scholar] [CrossRef]
- Boros, K.; Jedlinszki, N.; Csupor, D. Theanine and caffeine content of infusions prepared from commercial tea samples. Pharmacogn. Mag. 2016, 12, 75. [Google Scholar] [CrossRef]
- Sano, T.; Horie, H.; Matsunaga, A.; Hirono, Y. Effect of shading intensity on morphological and color traits and on chemical components of new tea (Camellia sinensis L.) shoots under direct covering cultivation. J. Sci. Food Agric. 2018, 98, 5666–5676. [Google Scholar] [CrossRef]
- CNS 15022 N6384; Method of Test for Catechins Content in Foods. Ministry of Economic Affairs: Taipei, Taiwan, 2006.
- Zheng, N.; Xiao, H.; Zhang, Z.; Gao, X.; Zhao, J. Rapid and sensitive method for determining free amino acids in plant tissue by high-performance liquid chromatography with fluorescence detection. Acta Geochim. 2017, 36, 680–696. [Google Scholar] [CrossRef]






| Sample ID | Tea Type | Cultivar |
|---|---|---|
| G1 | Sanxia Bi-Lo-Chung Green Tea | Chin-Shin-Ganzai |
| G2 | Sanxia Bi-Lo-Chung Green Tea | Chin-Shin-Ganzai |
| G3 | Sanxia Bi-Lo-Chung Green Tea | Chin-Shin-Ganzai |
| P1 | Wenshan Paochong Tea | TTES No. 12 (Jhinshuan) |
| P2 | Wenshan Paochong Tea | Chin-Shin-Oolong |
| P3 | Wenshan Paochong Tea | TTES No. 20 |
| H1 | High-mountain Oolong Tea | TTES No. 12 (Jhinshuan) |
| H2 | High-mountain Oolong Tea | Chin-Shin-Oolong |
| H3 | High-mountain Oolong Tea | Chin-Shin-Oolong |
| D1 | Tongding Oolong Tea | Chin-Shin-Oolong |
| D2 | Tongding Oolong Tea | Chin-Shin-Oolong |
| D3 | Tongding Oolong Tea | TTES No. 12 (Jhinshuan) |
| M1 | Muzha Tieh-Kuan-Yin Tea | Tieh-Kuan-Yin |
| M2 | Muzha Tieh-Kuan-Yin Tea | Tieh-Kuan-Yin |
| M3 | Muzha Tieh-Kuan-Yin Tea | Tieh-Kuan-Yin |
| O1 | Oriental Beauty Tea | Chin-Shin-Dapan |
| O2 | Oriental Beauty Tea | Chin-Shin-Dapan |
| O3 | Oriental Beauty Tea | Chin-Shin-Dapan |
| R1 | Red Oolong Tea | TTES No. 12 (Jhinshuan) |
| R2 | Red Oolong Tea | TTES No. 20 |
| R3 | Red Oolong Tea | FoShou |
| B1 | Large-leaf Black Tea | TTES No. 18 (Ruby) |
| B2 | Large-leaf Black Tea | TTES No. 18 (Ruby) |
| B3 | Large-leaf Black Tea | TTES No. 18 (Ruby) |
| SB1 | Small-leaf Black Tea | Chin-Shin-Oolong |
| SB2 | Small-leaf Black Tea | Chin-Shin-Oolong |
| SB3 | Small-leaf Black Tea | Chin-Shin-Oolong |
| Sample ID | Sanxia Bi-Lo-Chung Green Tea (G) | Wenshan Paochong Tea (P) | High-Mountain Oolong Tea (H) | Tongding Oolong Tea (D) | Muzha Tieh-Kuan-Yin Tea (M) | Oriental Beauty Tea (O) | Red Oolong Tea (R) | Small-Leaf Black Tea (SB) | Large-Leaf Black Tea (B) |
|---|---|---|---|---|---|---|---|---|---|
| Green tea stage (G) | GG | PG | HG | DG | MG | OG | RG | SBG | BG |
| Fermentation stage (F) | GF | PF | HF | DF | MF | OF | RF | - | - |
| Semi-finished tea stage (S) | - | - | - | DS | MS | - | RS | - | - |
| Completed tea stage (C) | GC | PC | HC | DC | MC | OC | RC | SBC | BC |
Disclaimer/Publisher’s Note: The statements, opinions and data contained in all publications are solely those of the individual author(s) and contributor(s) and not of MDPI and/or the editor(s). MDPI and/or the editor(s) disclaim responsibility for any injury to people or property resulting from any ideas, methods, instructions or products referred to in the content. |
© 2026 by the authors. Licensee MDPI, Basel, Switzerland. This article is an open access article distributed under the terms and conditions of the Creative Commons Attribution (CC BY) license.
Share and Cite
Hung, W.-T.; Kuo, C.-C.; Lu, J.-J.; Yang, F.-S.; Cheng, Y.-L.; Sung, Y.-J.; Chiou, C.-S.; Huang, H.-H.; Su, T.-C.; Tsai, H.-T.; et al. Unveiling Fermentation Effects on the Functional Composition of Taiwanese Native Teas. Molecules 2026, 31, 171. https://doi.org/10.3390/molecules31010171
Hung W-T, Kuo C-C, Lu J-J, Yang F-S, Cheng Y-L, Sung Y-J, Chiou C-S, Huang H-H, Su T-C, Tsai H-T, et al. Unveiling Fermentation Effects on the Functional Composition of Taiwanese Native Teas. Molecules. 2026; 31(1):171. https://doi.org/10.3390/molecules31010171
Chicago/Turabian StyleHung, Wei-Ting, Chih-Chun Kuo, Jheng-Jhe Lu, Fu-Sheng Yang, Yu-Ling Cheng, Yi-Jen Sung, Chiao-Sung Chiou, Hsuan-Han Huang, Tsung-Chen Su, Hsien-Tsung Tsai, and et al. 2026. "Unveiling Fermentation Effects on the Functional Composition of Taiwanese Native Teas" Molecules 31, no. 1: 171. https://doi.org/10.3390/molecules31010171
APA StyleHung, W.-T., Kuo, C.-C., Lu, J.-J., Yang, F.-S., Cheng, Y.-L., Sung, Y.-J., Chiou, C.-S., Huang, H.-H., Su, T.-C., Tsai, H.-T., & Cheng, K.-C. (2026). Unveiling Fermentation Effects on the Functional Composition of Taiwanese Native Teas. Molecules, 31(1), 171. https://doi.org/10.3390/molecules31010171

