Unlocking the Functional Value of European-Originated Chrysanthemum Hybrids: Phytochemical and Bioactivity Assessment
Abstract
1. Introduction
2. Results and Discussion
2.1. Terpenoid Diversity and Genotype-Specific Volatile Profiles in Chrysanthemum Flowers
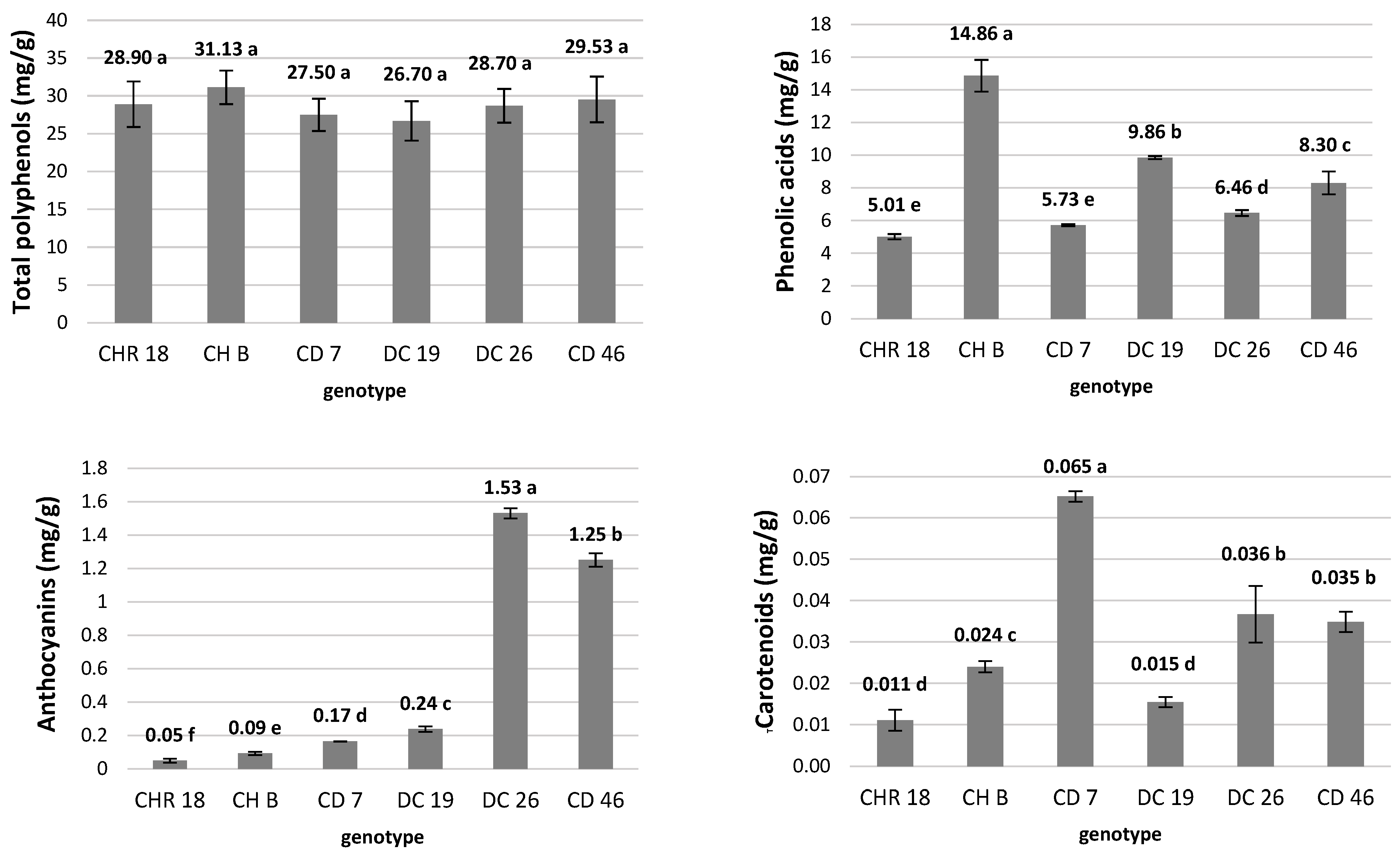
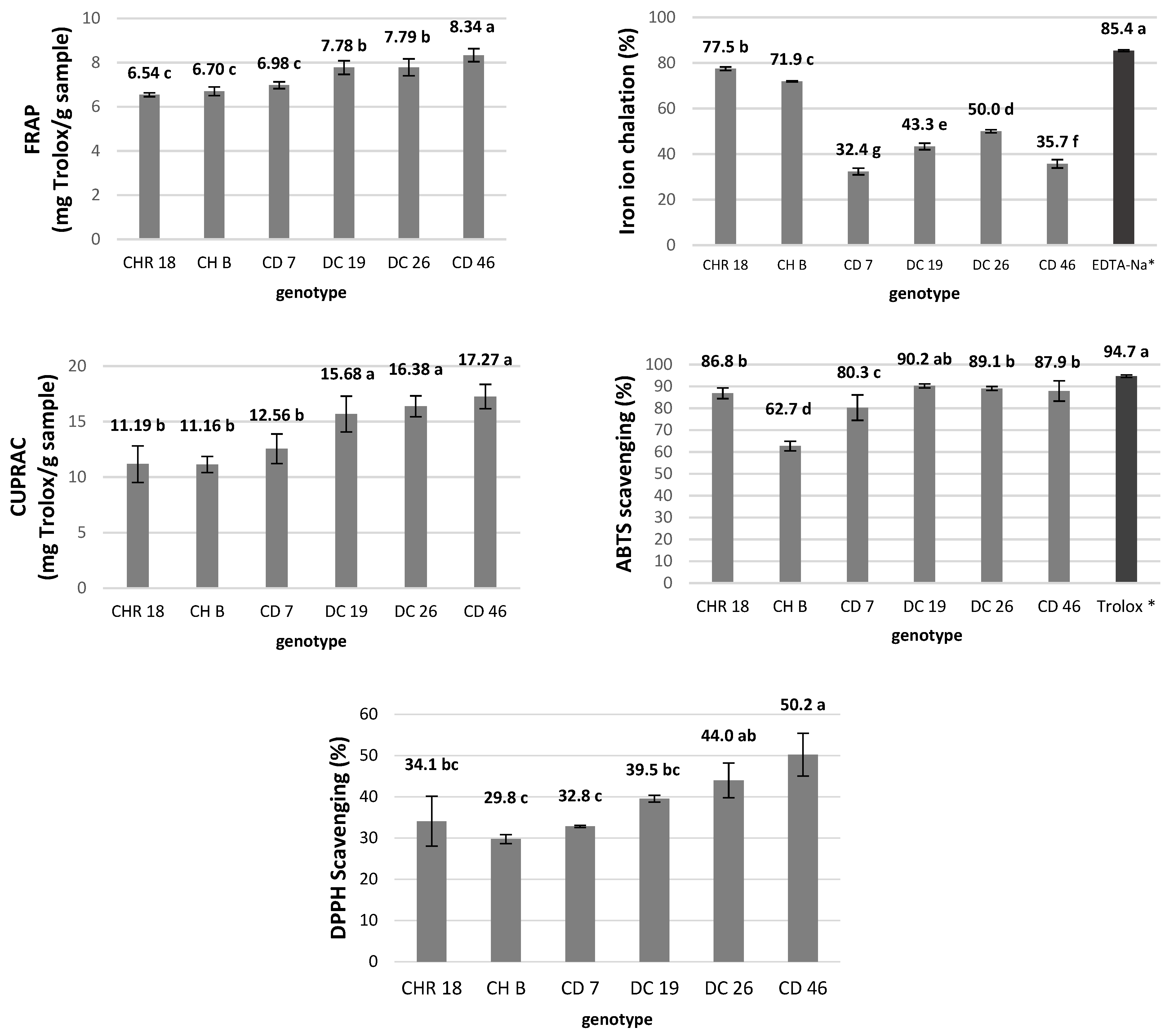
2.2. Polyphenolic Composition and Antioxidant Potential of Chrysanthemum Genotypes
2.3. Pigments Composition in Dried Crude Chrysanthemum Inflorescences
2.4. Hyaluronidase and Butyrylcholinesterase Inhibition of Chrysanthemum Extracts
2.5. Correlation Analysis of Phytochemical and Biological Parameters
3. Materials and Methods
3.1. Plant Material and Field Cultivation
3.2. Preparation of Crude Plant Material and Basal Methanolic Extract
3.3. Phytochemical Characteristics of Tested Inflorescences Extracts
3.3.1. Analyses of Terpenoid Profile with GC-MS
3.3.2. Total Anthocyanins, Carotenoids, Polyphenols and Phenolic Acids Content
3.3.3. Detailed Analyses of Phenolic Acids and Flavonoids Compounds with Liquid Chromatography-High Resolution Mass Spectrometry (LC-HRMS)
3.4. Evaluation of Antioxidant Activity of Chrysanthemum Inflorescences Extracts
3.4.1. Ferric Ion Reducing Antioxidant Power (FRAP) Assay
3.4.2. Cupric Ion Reducing Antioxidant Capacity (CUPRAC) Assay
3.4.3. ABTS Assay for Free Radical Scavenging Activity
3.4.4. The DPPH Scavenging Assay
3.4.5. Iron (II) Ion Chelation Assay
3.5. Hyaluronidase (HYAL) and Butyrylocholinesterase (BChE) Inhibition Capacity of Chrysanthemum Inflorescences
3.6. Experimental Design and Statistical Methods
4. Conclusions
Supplementary Materials
Author Contributions
Funding
Data Availability Statement
Acknowledgments
Conflicts of Interest
References
- Teixeira Da Silva, J.A.; Shinoyama, H.; Aida, R.; Matsushita, Y.; Raj, S.K.; Chen, F. Chrysanthemum Biotechnology: Quo Vadis? Crit. Rev. Plant Sci. 2013, 32, 21–52. [Google Scholar] [CrossRef]
- Yuan, H.; Jiang, S.; Liu, Y.; Daniyal, M.; Jian, Y.; Peng, C.; Shen, J.; Liu, S.; Wang, W. The Flower Head of Chrysanthemum morifolium Ramat. (Juhua): A Paradigm of Flowers Serving as Chinese Dietary Herbal Medicine. J. Ethnopharmacol. 2020, 261, 113043. [Google Scholar] [CrossRef] [PubMed]
- Shahrajabian, M.H.; Sun, W.; Zandi, P.; Cheng, Q. A review of Chrysanthemum, the eastern queen in traditional Chinese medicine with healing power in modern pharmaceutical sciences. Appl. Ecol. Environ. Res. 2019, 17, 13355–13369. [Google Scholar] [CrossRef]
- Gu, J.; Scotti, F.; Reich, E.; Kirchhof, R.; Booker, A.; Heinrich, M. Chrysanthemum Species Used as Food and Medicine: Understanding Quality Differences on the Global Market. S. Afr. J. Bot. 2022, 148, 123–134. [Google Scholar] [CrossRef]
- Hao, D.-C.; Song, Y.; Xiao, P.; Zhong, Y.; Wu, P.; Xu, L. The Genus Chrysanthemum: Phylogeny, Biodiversity, Phytometabolites, and Chemodiversity. Front. Plant Sci. 2022, 13, 973197. [Google Scholar] [CrossRef]
- Chang, K.-M.; Kim, G.-H. Volatile Aroma Constituents of Gukhwa (Chrysanthemum morifolium R.). Food Sci. Biotechnol. 2013, 22, 659–663. [Google Scholar] [CrossRef]
- Kim, S.J.; Ha, T.J.; Kim, J.; Chang, D.C.; Kim, K.S. Classification of Korean Chrysanthemum Species Based on Volatile Compounds Using Cluster Analysis and Principal Component Analysis. J. Korean Soc. Appl. Biol. Chem. 2014, 57, 789–796. [Google Scholar] [CrossRef]
- Zhang, W.; Jiang, Y.; Chen, S.; Chen, F.; Chen, F. Concentration-Dependent Emission of Floral Scent Terpenoids from Diverse Cultivars of Chrysanthemum morifolium and Their Wild Relatives. Plant Sci. 2021, 309, 110959. [Google Scholar] [CrossRef]
- Way, T. Chrysanthemum; Reaktion Books: London, UK, 2020; ISBN 978-1-78914-244-0. [Google Scholar]
- Machin, B. Hardy Border Chrysanthemums. Hardy Plant 2012, 33, 30–36. [Google Scholar]
- Tripathy, B.; Sahoo, N.; Sahoo, S.K. Antidiabetic Effect of Standardized Chrysanthemum rubellum Hydroethanolic Extract by Targeting α-Glucosidase and the PTP-1B Signaling Pathway for Alleviating Diabetes in Experimental Model. J. Pharmacopunct. 2023, 26, 319–326. [Google Scholar] [CrossRef]
- Zain, N.S.M.; Zali, N.; Cugati, N.; Nordin, N.F. Dental Pulp Stem Cells Response to Chrysanthemum Flower Extract. Malays. J. Med. Sci. 2019, 15, 80–87. [Google Scholar]
- Böttger, A.; Vothknecht, U.; Bolle, C.; Wolf, A. Plant Secondary Metabolites and Their General Function in Plants. In Lessons on Caffeine, Cannabis & Co; Learning Materials in Biosciences; Springer International Publishing: Cham, Switzerland, 2018; pp. 3–17. ISBN 978-3-319-99545-8. [Google Scholar]
- Melini, V.; Ruzzi, M. Innovative Perspectives on Phytochemicals in Human Nutrition. Nutrients 2025, 17, 711. [Google Scholar] [CrossRef] [PubMed]
- Silva, J.A.T. da Mining the Essential Oils of the Anthemideae. Afr. J. Biotechnol. 2004, 3, 706–720. [Google Scholar]
- Wang, Z.; Yuan, Y.; Hong, B.; Zhao, X.; Gu, Z. Characteristic Volatile Fingerprints of Four Chrysanthemum Teas Determined by HS-GC-IMS. Molecules 2021, 26, 7113. [Google Scholar] [CrossRef] [PubMed]
- Piesik, D.; Miler, N.; Lemańczyk, G.; Tymoszuk, A.; Lisiecki, K.; Bocianowski, J.; Krawczyk, K.; Mayhew, C.A. Induction of Volatile Organic Compounds in Chrysanthemum Plants Following Infection by Rhizoctonia solani. PLoS ONE 2024, 19, e0302541. [Google Scholar] [CrossRef]
- Jin, W.; Yang, Z.; Xu, K.; Liu, Q.; Luo, Q.; Li, L.; Xiang, X. A Comprehensive Review of Plant Volatile Terpenoids, Elucidating Interactions with Surroundings, Systematic Synthesis, Regulation, and Targeted Engineering Production. Biology 2025, 14, 466. [Google Scholar] [CrossRef]
- Câmara, J.S.; Perestrelo, R.; Ferreira, R.; Berenguer, C.V.; Pereira, J.A.M.; Castilho, P.C. Plant-Derived Terpenoids: A Plethora of Bioactive Compounds with Several Health Functions and Industrial Applications—A Comprehensive Overview. Molecules 2024, 29, 3861. [Google Scholar] [CrossRef]
- Amrani, A.; Mecheri, A.; Bensouici, C.; Boubekri, N.; Benaissa, O.; Zama, D.; Benayache, F.; Benayache, S. Evaluation of Antidiabetic, Dermatoprotective, Neuroprotective and Antioxidant Activities of Chrysanthemum fontanesii Flowers and Leaves Extracts. Biocatal. Agric. Biotechnol. 2019, 20, 101209. [Google Scholar] [CrossRef]
- Lee, B.H.; Nam, T.G.; Park, W.J.; Kang, H.; Heo, H.J.; Chung, D.K.; Kim, G.H.; Kim, D.-O. Antioxidative and Neuroprotective Effects of Volatile Components in Essential Oils from Chrysanthemum indicum Linné Flowers. Food Sci. Biotechnol. 2015, 24, 717–723. [Google Scholar] [CrossRef]
- Sun, H.; Zhang, T.; Fan, Q.; Qi, X.; Zhang, F.; Fang, W.; Jiang, J.; Chen, F.; Chen, S. Identification of Floral Scent in Chrysanthemum Cultivars and Wild Relatives by Gas Chromatography-Mass Spectrometry. Molecules 2015, 20, 5346–5359. [Google Scholar] [CrossRef]
- Ansari, F.A.; Perazzolli, M.; Husain, F.M.; Khan, A.S.; Ahmed, N.Z.; Meena, R.P. Novel Decontamination Approaches for Stability and Shelf-Life Improvement of Herbal Drugs: A Concise Review. Microbe 2024, 3, 100070. [Google Scholar] [CrossRef]
- Zagoskina, N.V.; Zubova, M.Y.; Nechaeva, T.L.; Kazantseva, V.V.; Goncharuk, E.A.; Katanskaya, V.M.; Baranova, E.N.; Aksenova, M.A. Polyphenols in Plants: Structure, Biosynthesis, Abiotic Stress Regulation, and Practical Applications (Review). Int. J. Mol. Sci. 2023, 24, 13874. [Google Scholar] [CrossRef] [PubMed]
- Stiller, A.; Garrison, K.; Gurdyumov, K.; Kenner, J.; Yasmin, F.; Yates, P.; Song, B.-H. From Fighting Critters to Saving Lives: Polyphenols in Plant Defense and Human Health. Int. J. Mol. Sci. 2021, 22, 8995. [Google Scholar] [CrossRef]
- Kanner, J. Food Polyphenols as Preventive Medicine. Antioxidants 2023, 12, 2103. [Google Scholar] [CrossRef] [PubMed]
- Mahdi, L.; Graziani, A.; Baffy, G.; Mitten, E.K.; Portincasa, P.; Khalil, M. Unlocking Polyphenol Efficacy: The Role of Gut Microbiota in Modulating Bioavailability and Health Effects. Nutrients 2025, 17, 2793. [Google Scholar] [CrossRef]
- Vita, A.A.; Roberts, K.M.; Gundersen, A.; Farris, Y.; Zwickey, H.; Bradley, R.; Weir, T.L. Relationships between Habitual Polyphenol Consumption and Gut Microbiota in the INCLD Health Cohort. Nutrients 2024, 16, 773. [Google Scholar] [CrossRef]
- Skibola, C.F.; Smith, M.T. Potential Health Impacts of Excessive Flavonoid Intake. Free Radic. Biol. Med. 2000, 29, 375–383. [Google Scholar] [CrossRef]
- Wang, F.; Liu, H.; Huang, Z.; Zhang, Y.; Lu, Y.; Zhou, Y. Evaluation of Whitening Effects and Identification of Potentially Active Compounds Based on Untargeted Metabolomic Analysis in Different Chrysanthemum Cultivar Extracts. Antioxidants 2024, 13, 1557. [Google Scholar] [CrossRef]
- Tian, D.; Yang, Y.; Yu, M.; Han, Z.-Z.; Wei, M.; Zhang, H.-W.; Jia, H.-M.; Zou, Z.-M. Anti-Inflammatory Chemical Constituents of Flos Chrysanthemi Indici Determined by UPLC-MS/MS Integrated with Network Pharmacology. Food Funct. 2020, 11, 6340–6351. [Google Scholar] [CrossRef]
- Ullas, H.; Namita, N.; Singh, K.P.; Panwar, S.; Kundu, A.; Krishnan, G.S.; Kumar, G. Influence of Drying Techniques on Retention of Anthocyanin and Their Antioxidant Activities in Chrysanthemum (Chrysanthemum × morifolium) Flowers. Indian J. Agric. Sci. 2018, 88, 228–233. [Google Scholar] [CrossRef]
- Patil, S.A.; Kulkarni, A.J.; Jadhav, P.R.; Yadav, R.S.; Pagariya, M.C.; Saha, T.N.; Shabeer, T.P.A.; Sarode, D.K.; Sharma, A.K.; Prasad, K.V.; et al. Potential Assessment of Chrysanthemum Flowers from Various Cultivars as Sources of Natural Antioxidants and Bioactive Compounds. Genet. Resour. Crop Evol. 2025, 72, 1599–1617. [Google Scholar] [CrossRef]
- Tena, N.; Martín, J.; Asuero, A.G. State of the Art of Anthocyanins: Antioxidant Activity, Sources, Bioavailability, and Therapeutic Effect in Human Health. Antioxidants 2020, 9, 451. [Google Scholar] [CrossRef] [PubMed]
- Platzer, M.; Kiese, S.; Herfellner, T.; Schweiggert-Weisz, U.; Eisner, P. How Does the Phenol Structure Influence the Results of the Folin-Ciocalteu Assay? Antioxidants 2021, 10, 811. [Google Scholar] [CrossRef] [PubMed]
- Lema-Rumińska, J.; Woźny, A.; Zalewska, M. Analysis of the Colour of Florets and Leaves in Chrysanthemum in the Aspect of All-Year-Round Glasshouse Cultivation. Acta Sci. Pol. Hortorum Cultus 2013, 12, 123–132. [Google Scholar]
- Zuo, J.; Park, C.; Kung, J.Y.C.; Bou-Chacra, N.A.; Doschak, M.; Löbenberg, R. Traditional Chinese Medicine “Pill”, an Ancient Dosage Form with Surprising Modern Pharmaceutical Characteristics. Pharm. Res. 2021, 38, 199–211. [Google Scholar] [CrossRef]
- Gębalski, J.; Graczyk, F.; Załuski, D. Paving the Way towards Effective Plant-Based Inhibitors of Hyaluronidase and Tyrosinase: A Critical Review on a Structure–Activity Relationship. J. Enzyme Inhib. Med. Chem. 2022, 37, 1120–1195. [Google Scholar] [CrossRef]
- Silva De França, F.; Tambourgi, D.V. Hyaluronan Breakdown by Snake Venom Hyaluronidases: From Toxins Delivery to Immunopathology. Front. Immunol. 2023, 14, 1125899. [Google Scholar] [CrossRef]
- McGuire, J.; Taguchi, T.; Tombline, G.; Paige, V.; Janelsins, M.; Gilmore, N.; Seluanov, A.; Gorbunova, V. Hyaluronidase Inhibitor Delphinidin Inhibits Cancer Metastasis. Sci. Rep. 2024, 14, 14958. [Google Scholar] [CrossRef]
- Ahmed, M.H.; Aldesouki, H.M.; Badria, F.A. Effect of Phenolic Compounds from the Rind of Punica Granatum on the Activity of Three Metabolism-related Enzymes. Biotechnol. App. Biochem. 2020, 67, 960–972. [Google Scholar] [CrossRef]
- Mohamed, E.M.; H. Hetta, M.; Rateb, M.E.; A. Selim, M.; M. AboulMagd, A.; A. Badria, F.; Abdelmohsen, U.R.; Alhadrami, H.A.; Hassan, H.M. Bioassay-Guided Isolation, Metabolic Profiling, and Docking Studies of Hyaluronidase Inhibitors from Ravenala Madagascariensis. Molecules 2020, 25, 1714. [Google Scholar] [CrossRef]
- Liyanaarachchi, G.D.; Samarasekera, J.K.R.R.; Mahanama, K.R.R.; Hemalal, K.D.P. Tyrosinase, Elastase, Hyaluronidase, Inhibitory and Antioxidant Activity of Sri Lankan Medicinal Plants for Novel Cosmeceuticals. Ind. Crops Prod. 2018, 111, 597–605. [Google Scholar] [CrossRef]
- Zeng, H.; Ma, J.; Yang, R.; Jing, Y.; Qu, L. Molecular Interactions of Flavonoids to Hyaluronidase: Insights from Spectroscopic and Molecular Modeling Studies. J. Fluoresc. 2015, 25, 941–959. [Google Scholar] [CrossRef] [PubMed]
- Chinesische Tee-Chrysantheme, gefüllt blühend (Ju Hua) (Pflanze). Available online: https://www.kraeuter-und-duftpflanzen.de/verwendung/duftpflanzen/blattdufter/chinesische-tee-chrysantheme-gefuellt-bluehend-ju-hua-pflanze (accessed on 30 July 2025).
- Harborne, J.B. Comparative Biochemistry of Flavonoids; Scientific Research Publishing Academic Press Inc.: London, UK, 1967. [Google Scholar]
- Wettstein, D. Chlorophyll-letale und der submikroskopische Formwechsel der Plastiden. Exp. Cell Res. 1957, 12, 427–506. [Google Scholar] [CrossRef] [PubMed]
- Farmakopea Polska. Farmakopea Polska VI (Polish Pharmakopoeia 6th Ed); Urząd Rejestracji Produktów Leczniczych, Wyrobów Medycznych i Produktów Biobójczych: Warszawa, Poland, 2002. [Google Scholar]
- Yuan, H.; Luo, J.; Lyu, M.; Jiang, S.; Qiu, Y.; Tian, X.; Liu, L.; Liu, S.; Ouyang, Y.; Wang, W. An Integrated Approach to Q-Marker Discovery and Quality Assessment of Edible Chrysanthemum Flowers Based on Chromatogram–Effect Relationship and Bioinformatics Analyses. Ind. Crops Prod. 2022, 188, 115745. [Google Scholar] [CrossRef]
- Zhou, Y.; Su, J.; Dong, Y.; He, Z.; Wang, Y.; Chen, S.; Lv, G. Buddleoside-Rich Chrysanthemum indicum L. Extract Modulates Macrophage-Mediated Inflammation to Prevent Metabolic Syndrome Induced by Unhealthy Diet. BMC Complement. Med. Ther. 2024, 24, 315. [Google Scholar] [CrossRef]
- Gębalski, J.; Małkowska, M.; Gawenda-Kempczyńska, D.; Słomka, A.; Strzemski, M.; Styczyński, J.; Załuski, D. Eleutherococcus Divaricatus Fruits Decrease Hyaluronidase Activity in Blood Serum and Protect from Oxidative Damages in In Vitro Model. Int. J. Mol. Sci. 2024, 25, 2033. [Google Scholar] [CrossRef]
- Miliauskas, G.; Venskutonis, P.R.; Van Beek, T.A. Screening of Radical Scavenging Activity of Some Medicinal and Aromatic Plant Extracts. Food Chem. 2004, 85, 231–237. [Google Scholar] [CrossRef]
- Gębalski, J.; Małkowska, M.; Wnorowska, S.; Gawenda-Kempczyńska, D.; Strzemski, M.; Wójciak, M.; Słomka, A.; Styczyński, J.; Załuski, D. Ethyl Acetate Fraction from Eleutherococcus Divaricatus Root Extract as a Promising Source of Compounds with Anti-Hyaluronidase, Anti-Tyrosinase, and Antioxidant Activity but Not Anti-Melanoma Activity. Molecules 2024, 29, 3640. [Google Scholar] [CrossRef]
- Gębalski, J.; Małkowska, M.; Kiełkowska, E.; Graczyk, F.; Wnorowska, S.; Hołyńska-Iwan, I.; Strzemski, M.; Wójciak, M.; Załuski, D. Chemical Composition and In Vitro Biological Activity of the Polar and Non-Polar Fractions Obtained from the Roots of Eleutherococcus senticosus (Rupr. et Maxim.) Maxim. Int. J. Mol. Sci. 2025, 26, 5619. [Google Scholar] [CrossRef]




| No. | RT [min] | Component | CHR 18 | CH B | CD 7 | DC 19 | DC 26 | CD 46 |
| 1 | 5.63 | Tricyclene | 0.104 | 0.035 | ||||
| 2 | 5.69 | α-Thujene | 0.111 | 0.097 | ||||
| 3 | 5.85 | α-Pinene | 6.067 | 0.062 | 0.386 | 0.529 | 4.032 | 0.309 |
| 4 | 6.20 | Camphene | 2.927 | 0.038 | 0.350 | 0.362 | 1.220 | 0.451 |
| 5 | 6.64 | Sabinene | 0.435 | 0.041 | 0.194 | |||
| 6 | 6.75 | β-Pinene | 0.221 | 0.035 | 0.037 | 0.173 | 0.028 | |
| 7 | 6.95 | β-Myrcene | 0.039 | |||||
| 8 | 7.04 | Pseudocumene * | 0.174 | 0.055 | ||||
| 9 | 7.61 | o-Cymene * | 0.064 | 0.033 | 0.755 | 0.544 | 0.262 | |
| 10 | 7.69 | Limonene | 0.304 | |||||
| 11 | 7.72 | β-Phellandrene | 0.974 | |||||
| 12 | 7.76 | Eucalyptol | 3.757 | 1.596 | 10.040 | 8.193 | 3.430 | |
| 13 | 8.17 | γ-Terpinene | 0.109 | |||||
| 14 | 8.40 | β-Terpineol | 0.474 | 0.350 | 0.298 | 0.907 | 0.240 | |
| 15 | 8.66 | Linalool oxide | 0.115 | 0.243 | ||||
| 16 | 8.84 | Linalool | 0.282 | 0.269 | 0.102 | |||
| 17 | 8.90 | cis-Sabinene hydrate | 0.405 | 0.245 | 0.262 | |||
| 18 | 8.94 | 2H-Pyran-3(4H)-one.6-ethenyldihydro- 2.2.6-rimethyl * | 0.354 | 0.254 | ||||
| 19 | 9.00 | trans-3-Caren-2-ol * | 0.224 | 0.303 | 0.112 | |||
| 20 | 9.22 | Chrysanthenone | 4.246 | 20.470 | 13.260 | 3.489 | ||
| 21 | 9.30 | Camphenol | 0.085 | 0.059 | ||||
| 22 | 9.53 | Isopinocarveol | 0.063 | |||||
| 23 | 9.62 | (-)Alcanfor | 35.720 | 0.342 | 6.046 | 3.932 | 11.740 | 4.127 |
| 24 | 9.83 | cis-Verbenol | 0.234 | 0.310 | 3.049 | 0.176 | ||
| 25 | 9.94 | (+)Borneol | 0.135 | |||||
| 26 | 9.98 | endo-Borneol | 0.875 | 0.169 | 0.049 | 0.343 | 0.032 | |
| 27 | 10.09 | Terpinen-4-ol | 0.045 | 0.327 | 0.193 | 0.085 | ||
| 28 | 10.20 | (-)Carvone | 0.047 | |||||
| 29 | 10.28 | α-Terpineol | 0.467 | 0.222 | 0.564 | 0.738 | 0.201 | |
| 30 | 10.48 | Verbenone | 0.023 | 0.186 | 0.144 | 0.041 | ||
| 31 | 10.61 | trans-Carveol | 0.153 | 0.058 | 0.069 | |||
| 32 | 10.74 | trans-Chrysanthenyl acetate | 0.732 | 2.679 | ||||
| 33 | 10.83 | D-Verbenone | 0.142 | 0.231 | ||||
| 34 | 11.09 | cis-chrysanthenyl acetate | 0.030 | |||||
| 35 | 11.24 | 2.5-Bomanedione * | 0.133 | |||||
| 36 | 11.46 | Bornyl acetate | 0.799 | 0.066 | 0.052 | 0.224 | ||
| 37 | 11.49 | (-)-Myrtenol | 0.096 | 0.024 | ||||
| 38 | 11.87 | 1-Hexen-3-yne 2.5.5-trimethyl * | 0.417 | |||||
| 39 | 11.88 | 1.3-Cyclopentadiene 5-(1.1-dimethylethyl) * | 2.875 | |||||
| 40 | 11.95 | 3.5-Heptadien-2-ol. 2.6-dimethyl * | 0.155 | |||||
| 41 | 11.99 | 3.6-Nonadien-1-ol. * | 0.119 | |||||
| 42 | 12.00 | trans-Carvyl propionate | 0.036 | |||||
| 43 | 12.17 | Eucarvone | 0.064 | |||||
| 44 | 12.73 | 3.5-Heptadienal. 2-ethylidene-6-methyl * | 0.321 | 2.295 | 5.025 | 0.400 | ||
| 45 | 13.12 | Caryophyllene | 0.134 | 0.032 | ||||
| 46 | 13.36 | β-Farnesene | 0.083 | |||||
| 47 | 13.71 | α-Curcumene | 0.256 | |||||
| 48 | 13.99 | β-Bisabolene | 0.123 | 0.018 | ||||
| 49 | 14.05 | α-Bergamotene | 0.046 | |||||
| 50 | 14.42 | dihydro-β-Agariofuran | 0.062 | 0.080 | ||||
| 51 | 14.52 | Neroidol | 0.056 | |||||
| 52 | 14.84 | (-)Spathulenol | 0.024 | |||||
| 53 | 14.91 | Caryophyllene oxide | 0.146 | 0.101 | 0.102 | |||
| 54 | 15.73 | α-Acorenol | 0.161 | 0.354 | 0.093 | 0.328 | ||
| 55 | 15.94 | α-Bisabolol | 0.105 | |||||
| 56 | 18.00 | trans-2-alpha-Bisabolene epoxide | 0.895 | 0.145 | ||||
| 57 | 24.39 | β-Amyrin | 0.379 | 3.889 | ||||
| 58 | 25.09 | α-Amyrin | 2.175 | 6.006 | ||||
| 59 | 25.63 | 2-methyloctacosane * | 16.310 | |||||
| 60 | 26.52 | Lupeol | 2.960 | |||||
| 61 | 26.72 | Lupeol acetate | 3.893 | |||||
| sum of terpenoid compounds in total VOC (%) | 56.8 | 0.6 | 15.4 | 45.1 | 56.9 | 47.5 | ||
| total number of different terpenoid compounds | 34 | 5 | 22 | 30 | 30 | 26 | ||
| Genotype: | CHR 18 | CHB | CD7 | DC19 | DC26 | CD 46 | |
| Flavonoids (mg/g) | |||||||
| 1. | Acacetin | 2.34 ± 0.09 | 0.16 ± 0.01 | 0.19 ± 0.01 | 0.30 ± 0.01 | 0.37 ± 0.02 | 0.19 ± 0.01 |
| 2. | Acacetin 7-glucuronide | 0.80 ± 0.01 | 0.44 ± 0.02 | 0.22 ± 0.02 | not detected | 0.44 ± 0.01 | 0.28 ± 0.02 |
| 3. | Acacetin-7-galactoside | 8.08 ± 0.35 | 0.42 ± 0.02 | 0.41 ± 0.02 | 0.67 ± 0.03 | 1.06 ± 0.06 | 0.37 ± 0.01 |
| 4. | Apigenin | 0.40 ± 0.01 | 0.16 ± 0.01 | 0.18 ± 0.01 | 2.20 ± 0.08 | 0.28 ± 0.01 | 1.53 ± 0.06 |
| 5. | Apigenin 7-O-rutinoside | 1.46 ± 0.07 | 1.40 ± 0.05 | 0.24 ± 0.01 | 0.72 ± 0.01 | 0.83 ± 0.02 | 0.56 ± 0.01 |
| 6. | Apigenin 7-O-glucoside | 36.9 ± 0.08 | 13.5 ± 0.21 | 1.68 ± 0.04 | 6.26 ± 0.24 | 6.62 ± 0.04 | 10.5 ± 0.28 |
| 7. | Apigenin 7-O-glucuronide | 0.94 ± 0.04 | 1.55 ± 0.05 | 1.70 ± 0.01 | 0.60 ± 0.01 | 1.33 ± 0.01 | 0.86 ± 0.03 |
| 8. | Apigenin 7-O-malonylglucoside | 2.25 ± 0.11 | 0.58 ± 0.01 | 0.20 ± 0.01 | 0.38 ± 0.01 | 0.42 ± 0.02 | 0.83 ± 0.02 |
| 9. | Apigenin 7-O-malonylglucoside | 16.3 ± 0.53 | 2.96 ± 0.09 | 0.82 ± 0.05 | 1.97 ± 0.08 | 2.36 ± 0.08 | 5.02 ± 0.08 |
| 10. | Luteolin | 0.37 ± 0.02 | 0.75 ± 0.03 | 1.19 ± 0.06 | 8.49 ± 0.47 | 1.00 ± 0.01 | 4.09 ± 0.16 |
| 11. | Luteolin 7-O-rutinoside | 0.55 ± 0.01 | 1.60 ± 0.01 | 0.91 ± 0.03 | 1.54 ± 0.06 | 2.36 ± 0.07 | 1.18 ± 0.10 |
| 12. | Luteolin 7-O-glucoside | 3.90 ± 0.21 | 11.0 ± 0.36 | 9.71 ± 0.38 | 19.7 ± 0.81 | 17.3 ± 0.54 | 25.6 ± 0.73 |
| 13. | Luteolin 7-O-glucuronide | 0.79 ± 0.03 | 6.16 ± 0.25 | 10.0 ± 0.39 | 2.44 ± 0.53 | 6.22 ± 0.32 | 5.94 ± 0.12 |
| 14. | Luteolin 7-O-malonylglucoside | 0.72 ± 0.01 | 0.72 ± 0.01 | 1.02 ± 0.10 | 1.32 ± 0.07 | 1.60 ± 0.02 | 3.17 ± 0.02 |
| 15. | Buddleoside (linarin) | 2.74 ± 0.09 | 1.13 ± 0.06 | 1.23 ± 0.05 | 2.74 ± 0.09 | 1.63 ± 0.07 | 0.83 ± 0.04 |
| 16. | Diosmin | 0.35 ± 0.02 | 1.16 ± 0.07 | 0.98 ± 0.05 | 1.69 ± 0.06 | 0.80 ± 0.01 | 0.62 ± 0.03 |
| 17. | Diosmetin | 0.05 ± 0.01 | 0.05 ± 0.01 | 0.04 ± 0.01 | 0.53 ± 0.05 | 0.04 ± 0.01 | 0.06 ± 0.01 |
| 18. | Quercetin 7-glucoside | 0.70 ± 0.02 | 0.01 ± 0.01 | 0.06 ± 0.01 | 0.12 ± 0.01 | 0.07 ± 0.01 | 0.05 ± 0.01 |
| Total content of flavonoids (mg/g): | 79.6 | 43.8 | 30.8 | 51.7 | 44.8 | 61.6 | |
| Phenolic acids (mg/g) | |||||||
| 1. | Protocatechuic acid | 0.06 ± 0.01 | 0.06 ± 0.01 | 0.06 ± 0.01 | 0.26 ± 0.02 | 0.07 ± 0.00 | 0.08 ± 0.01 |
| 2. | Neochlorogenic acid | 0.29 ± 0.02 | 0.37 ± 0.01 | 0.16 ± 0.01 | 0.40 ± 0.01 | 0.19 ± 0.01 | 0.16 ± 0.01 |
| 3. | Chlorogenic acid | 7.87 ± 0.14 | 7.48 ± 0.14 | 6.79 ± 0.01 | 4.59 ± 0.15 | 8.49 ± 0.22 | 7.30 ± 0.28 |
| 4. | Caffeic acid | 0.15 ± 0.01 | 0.09 ± 0.01 | 0.14 ± 0.01 | 1.04 ± 0.07 | 0.09 ± 0.01 | 0.18 ± 0.01 |
| 5. | Dicaffeoyl quinic acid | 7.00 ± 0.08 | 4.39 ± 0.18 | 4.68 ± 0.06 | 7.64 ± 0.28 | 4.40 ± 0.15 | 6.31 ± 0.22 |
| 6. | 3,4-Dicaffeoyl quinic acid | 1.68 ± 0.05 | 1.33 ± 0.06 | 0.97 ± 0.03 | 1.23 ± 0.06 | 1.22 ± 0.01 | 0.91 ± 0.01 |
| 7. | 3,5-Dicaffeoyl quinic acid | 19.6 ± 0.18 | 8.81 ± 0.12 | 11.6 ± 0.29 | 17.7 ± 0.10 | 11.2 ± 0.04 | 9.99 ± 0.02 |
| 8. | 4,5-Dicaffeoyl quinic acid | 4.50 ± 0.18 | 8.03 ± 0.04 | 1.61 ± 0.03 | 2.84 ± 0.16 | 1.86 ± 0.19 | 1.12 ± 0.10 |
| Total content of phenolic acids (mg/g) | 41.1 | 30.6 | 26.0 | 35.6 | 27.5 | 26.1 | |
| FRAP | CUPRAC | Fe Chelation | ABTS | DPPH | Antho- Cyanins | Carote- Noids | Poly- Phenols | Phenolic Acids | HYAL | BChE | |
| FRAP | 1.000 | ||||||||||
| CUPRAC | 0.827 * | 1.000 | |||||||||
| Fe chelation | −0.656 * | −0.609 * | 1.000 | ||||||||
| ABTS | 0.498 * | 0.562 * | −0.396 * | 1.000 | |||||||
| DPPH | 0.877 * | 0.782 * | −0.485 * | 0.564 * | 1.000 | ||||||
| anthocyanins | 0.732 * | 0.744 * | −0.401 * | 0.429 * | 0.787 * | 1.000 | |||||
| carotenoids | 0.101 | 0.092 | −0.674 * | −0.089 | 0.016 | 0.204 | 1.000 | ||||
| polyphenols | −0.067 | −0.112 | 0.295 | −0.312 | 0.033 | 0.051 | −0.131 | 1.000 | |||
| phenolic acids | −0.068 | −0.140 | 0.259 | −0.703 * | −0.234 | −0.211 | −0.276 | 0.323 | 1.000 | ||
| HYAL | 0.806 * | 0.800 * | −0.755 * | 0.340 * | 0.653 * | 0.777 * | 0.386 * | −0.099 | 0.014 | 1.000 | |
| BChE | 0.036 | 0.043 | −0.207 | 0.133 | 0.048 | 0.141 | 0.303 * | −0.336 * | −0.281 | 0.185 | 1.000 |
Disclaimer/Publisher’s Note: The statements, opinions and data contained in all publications are solely those of the individual author(s) and contributor(s) and not of MDPI and/or the editor(s). MDPI and/or the editor(s) disclaim responsibility for any injury to people or property resulting from any ideas, methods, instructions or products referred to in the content. |
© 2026 by the authors. Licensee MDPI, Basel, Switzerland. This article is an open access article distributed under the terms and conditions of the Creative Commons Attribution (CC BY) license.
Share and Cite
Miler, N.; Balcerek, M.; Gębalski, J.; Woźny, A.; Wójciak, M.; Sowa, I.; Załuski, D. Unlocking the Functional Value of European-Originated Chrysanthemum Hybrids: Phytochemical and Bioactivity Assessment. Molecules 2026, 31, 172. https://doi.org/10.3390/molecules31010172
Miler N, Balcerek M, Gębalski J, Woźny A, Wójciak M, Sowa I, Załuski D. Unlocking the Functional Value of European-Originated Chrysanthemum Hybrids: Phytochemical and Bioactivity Assessment. Molecules. 2026; 31(1):172. https://doi.org/10.3390/molecules31010172
Chicago/Turabian StyleMiler, Natalia, Maciej Balcerek, Jakub Gębalski, Anita Woźny, Magdalena Wójciak, Ireneusz Sowa, and Daniel Załuski. 2026. "Unlocking the Functional Value of European-Originated Chrysanthemum Hybrids: Phytochemical and Bioactivity Assessment" Molecules 31, no. 1: 172. https://doi.org/10.3390/molecules31010172
APA StyleMiler, N., Balcerek, M., Gębalski, J., Woźny, A., Wójciak, M., Sowa, I., & Załuski, D. (2026). Unlocking the Functional Value of European-Originated Chrysanthemum Hybrids: Phytochemical and Bioactivity Assessment. Molecules, 31(1), 172. https://doi.org/10.3390/molecules31010172

