Next Article in Journal
Molecular and Immobilized Tripodal Phosphine Ligands and Their Trinuclear Palladium Complexes
Previous Article in Journal
Static and Dynamic Assessments of a Sulfur-Triglyceride Composite for Antimicrobial Surface Applications
 
 
Font Type:
Arial Georgia Verdana
Font Size:
Aa Aa Aa
Line Spacing:
Column Width:
Background:
Review

History of Organophosphorus Compounds in the Context of Their Use as Chemical Warfare Agents

Institute of Chemistry, Military University of Technology, Kaliskiego 2, 00-908 Warsaw, Poland
*
Author to whom correspondence should be addressed.
Molecules 2025, 30(7), 1615; https://doi.org/10.3390/molecules30071615
Submission received: 3 March 2025 / Revised: 30 March 2025 / Accepted: 31 March 2025 / Published: 4 April 2025
(This article belongs to the Section Organic Chemistry)

Abstract

This is a broad look at the history of phosphorus—from the element through its inorganic and organic compounds to the applications of organophosphates. In addition to commercial and peaceful applications, they were used as chemical warfare agents (CWA), both in military operations and for terrorist purposes. This article attempts to provide a concise history of their development and application in this shameful role. The origin of the chemistry of phosphorus compounds to obtain precursors for the production of CWA is presented. Rapid progress in organophosphorus chemistry in the second half of the 20th century is also described. A broad overview of chemical structures is presented, including lesser-known representatives. The mode of action and the associated toxicity of organophosphorus compounds are briefly mentioned. The Chemical Weapons Convention (CWC) schedules and their changes during their validity are indicated. They are also demonstrated to be used in proficiency tests organised by the Organization for the Prohibition of Chemical Weapons (OPCW). Organophosphates called “Novichok agents”, classified as fourth-generation chemical warfare agents, are also briefly discussed.

1. Introduction—General Information About Phosphorus

Phosphorus is a non-metallic element that belongs to group 15 of the periodic table. Its Greek name, phosphorus, means “light-bearer”. The discovery of phosphorus is attributed to Brand, a German alchemist who made it in 1669. Phosphorus comes in several allotropic varieties, the most common being white, red, and black phosphorus. Phosphorus has one stable isotope, P-31. Elemental phosphorus is obtained from phosphates and apatites by reduction with silicon dioxide and carbon in electric furnaces. The raw product is purified by distillation. The raw material obtained in this way is used, among others, for the production of artificial fertilisers and detergents and in the synthesis of precursors for the production of organophosphorus compounds.
The industrial preparation of selected phosphorus derivatives is based on the reaction of phosphorus with chlorine to form phosphorus trichloride and pentachloride—PCl3 and PCl5, as well as a direct reaction with sulphur, which leads to phosphorus pentasulfide P4S10. Oxidation of phosphorus trichloride, controlled hydrolysis of phosphorus pentachloride, or its reaction with P2O5 gives phosphorus oxychloride POCl3. Passing gaseous phosphorus trichloride over liquid sulphur gives thiophosphoryl chloride PSCl3. It should be emphasised that all industrially important compounds are produced from PCl3. These are substances necessary for the synthesis of organophosphorus compounds, particularly to produce CWA [1].

2. The Invention of Starting Materials for the Precursor Production to CWA Syntheses of the G and V-Series

The basic precursor for the synthesis of representatives of the G series (The “G” in G-series organophosphorus nerve agents refers to “German”, as these agents were first synthesised in Germany during the 1930s and 1940s) compounds (including sarin and soman, in the CWC assigned to Schedule 1.A.1) is phosphorus trichloride, which is itself included in Schedule 3 of the Convention (States Parties of the Chemical Weapon Convention created a verification regime for certain toxic chemicals and their precursors built in the form of Schedules 1, 2, and 3 in the Annex on Chemicals in order to ensure that such chemicals are only used for purposes not prohibited under the Convention—see: https://www.opcw.org/chemical-weapons-convention, accessed on 26 February 2025). This compound was first described in 1808 by the famous French scientists Gay-Lussac and Thénard. These were the times when scientific discoveries were described in daily newspapers. In the article, they described an experiment that involved the reaction of calomel (Hg2Cl2) with phosphorus [2]. Phosphorus pentachloride was described by the equally famous scientist Davy at the end of 1808. In his extensive article, he referred to the research of the above-mentioned French scientists [3]. However, Davy incorrectly estimated the composition of this compound. It was not until the French chemist Dulong correctly identified this compound as PCl5 in 1816 [4].
The first synthesised compound of the G series is tabun. In the CWC, this class of compounds is included in Schedule 1.A.2. Phosphorus oxychloride was used to synthesise tabun according to the Schrader method. Phosphorus oxychloride was first obtained and described by Wurtz in 1847. The synthesis reaction of this compound was carried out by adding water to phosphorus pentachloride. Interestingly, the chemical notation used by Wurtz was different from the one currently used [5].
Diphosphorus pentasulfide, which can be used to produce compounds of the V series (The “V” in the name of V-series organophosphorus nerve agents refers to “venomous”, reflecting their large potency properties), was first synthesised by the famous Swede Berzelius, in 1843. The reaction of liquid white phosphorus with sulphur at elevated temperature was used [6,7].
The next step toward the synthesis of organophosphorus CWA was the preparation of alkylphosphonic acid dichlorides (Figure 1). Methylphosphonic acid dichloride was synthesised in 1873 by von Hofman. He obtained it by chlorinating methylphosphonic acid with phosphorus pentachloride [8]. This scientist also obtained ethylphosphonic dichloride [1]. Methylphosphonic, ethylphosphonic, and isopropylphosphonic acids were obtained by oxidation of appropriate phosphines obtained in the reaction of phosphorus trichloride with dimethylzinc with nitric acid. These were among the first compounds with a direct carbon-phosphorus bond [9,10].

3. History of Organophosphorus CWA

The French chemist Paul Thénard (son of Louis Jacques Thénard) is credited with the first observation that a compound composed of carbon, phosphorus and hydrogen could exist. In 1845, he described the results of his experiments, where he obtained a mixture of several compounds, including trimethylphosphine [10]. One of the next organophosphorus compounds produced was triethyl phosphate. This was done by the Swiss chemist Franz Voegeli in 1848 [11]. The next synthesised substance of this class was tetraethyl pyrophosphate (TEPP). It was the first obtained in the laboratory organophosphorus compound, which was a cholinesterase inhibitor [11]. The synthesis of TEPP was done in 1854 by Moschnin and de Clermont in the laboratory of Wurtz (who, among other things, researched phosphoric acids). However, the toxic properties of TEPP were discovered only at the turn of the 1930s and 1940s by German scientists, and in 1944, it was introduced for use as a pesticide [1]. It is worth mentioning that Tomasz Miłobędzki worked on methods of synthesising this compound. His achievements include the Polish contribution to research on phosphorus compounds. In addition, in 1897, he investigated the reactions of phosphorus trichloride with alcohols [12].
In 1898, Michaelis, studying the reactions of trialkyl phosphites with alkyl halides, obtained dialkyl phosphonates containing a P–C bond in their structure [13]. Arbuzov examined and described reactions of this type in detail. This process is known as the Arbuzov (Michaelis–Arbuzov) rearrangement. This is one of the basic methods to obtain the P–C bond. A modification of this process is known as the Michaelis–Becker reaction. Also, in 1898, Schall, a doctoral student of Michaelis, obtained ethyl diethylamidocyanide phosphate (Figure 2), an ethyl analogue of tabun, but incorrectly identified its structure [14]. His supervisor correctly defined it in 1903, describing it in a long, 130-page article [15]. Probably due to the low process efficiency or lower toxicity, no toxic effects of this substance were observed.
In the 1930s, fluorine became widely available for chemical synthesis, and the German scientist Lange was the first to use it to produce organophosphorus compounds [16]. In 1932, the same scientist, together with Gerda von Krueger, described the toxicity of monofluoroesters of phosphoric acid (O,O-diethyl fluorophosphate and O,O-dimethyl fluorophosphate) (Figure 3) [17].
In 1936, Schrader, employed at IG Farben, developed a method for the synthesis of a group of new, highly toxic compounds, derivatives of phosphoric acid, based on the above discoveries [14]. This invention almost cost him his life. One of the compounds, later known as tabun (Figure 4), was so toxic for the conditions of that time that it was classified and considered a potential chemical warfare agent.
The era of modern CWA has begun. In 1938, another highly toxic compound, called sarin, was synthesised (Figure 5). In 1944, research on toxic compounds was continued at the Kaiser Wilhelm Institute [18] The team was led by Kuhn, the 1938 Nobel Prize winner for his work on vitamins and carotenoids. One of his co-workers was Henkel, later head of the Henkel corporation, who synthesised about ten compounds by esterifying methylphosphonic difluoride [18]. These two scientists are credited with synthesising soman [19]. During World War II, ethyl sarin [20] and cyclosarin [21] were also synthesised (Figure 5).
In the United Kingdom, research conducted by Saunders and co-workers led to the synthesis of DFP (O,O-diisopropyl fluorophosphate) in 1941. In 1942, fluorotabun and dimefox were obtained (Figure 6). The British team was inspired by the works of Lange [18,22,23,24,25,26,27,28,29,30,31].
In the USSR, Kabachnik synthesised sarin in 1944, regardless of German achievements [1]. In the USA, since 1941, extensive research on CWA was carried out in Division 9 (a unit of the National Defence Research Committee, which was an advisory body to the Office of Scientific Research and Development; Division 9 (Chemistry Division) dealt with “chemical warfare problems”), including compounds containing phosphorus. About 200 substances were tested for their suitability as poisonous warfare agents [20] and in 1944, research on the mechanism of enzyme inhibition caused by phosphorus compounds was published [32].
After the war, information about German work on toxic organophosphates captured by the Allied forces was used to develop their own research. In the UK, at the centre in Porton Down, a group of scientists improved the process developed in the USA [33] and later called the Kinnear–Perren reaction (KP reaction)—another way to obtain the P–C bond [34]. Table 1 summarises the most crucial information on progress in phosphorus chemistry. It is a subjective approach of the authors to the issues of phosphorus chemistry. Other essential achievements in this field also exist, but the number of entries in the Table should have been limited.
Research on phosphates was also conducted there (one of the representatives known under the code name Ro 3-0422) (Figure 7), which turned out to have high anticholinesterase activity [35].
In the early 1950s, the high toxicity of organophosphorus thiocholine esters was revealed [16]. Experiments carried out in a few centres led to the synthesis of several substances of this type. In 1952, the ICI consortium (International Consortium Initiative) obtained amiton (S-[2-(Diethylamino)ethyl] O,O-diethyl phosphorothioate and codename: VG), used as one of the first organophosphorus pesticides [36], although it is currently considered too toxic for use in agriculture [37]. It can be treated as a precursor of V-series compounds (Figure 8). This is likely why it is listed in the CWC as an exception of Schedule 2.A. Interestingly, its isopropyl analogue (S-[2-(Diethylamino)ethyl] O,O-diisopropyl phosphorothioate) (Figure 8) has higher toxicity and is not included in the Convention lists [38]. Later, other analogues of amiton were also tested [39].
In the 1950s, the Swedish chemist Tammelin developed a method for synthesising a group of compounds later known as Tammelin esters [40], and also synthesised compounds from group V (Figure 9) [41].
In Sweden, research was also carried out on the reactivation of acetylcholinesterase inhibited by these substances [42]. There are also known works by Holmsted, who dealt with the pharmacology of organophosphorus CWA and developed one of the first cross-sectional works on toxic organophosphorus compounds [16]. Research on “Tammelin esters” was also carried out in the then Netherlands [43] and Czechoslovakia [44].
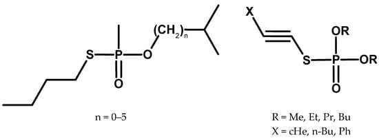
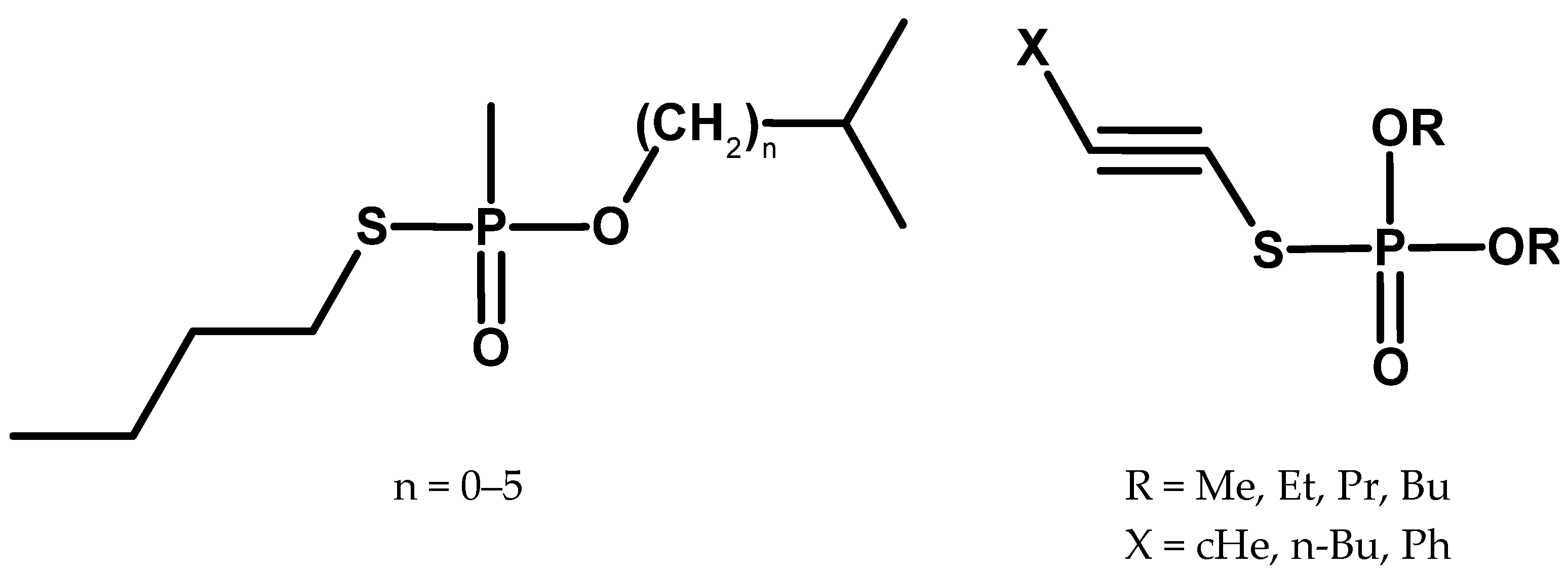
Armine, an organophosphorus pesticide described in 1957 (Figure 10), is an ethylphosphonic acid unsymmetrical diester with an ethyl and paranitrophenyl substituent [45]. Little information about this class of compounds is available in the literature, and their mass spectra are not available in commercial libraries. However, they arouse constant interest; for example, a group of researchers from Brazil described a method of synthesising a methylphosphonic derivative, which was then used in research on AChE inhibition as a simulant for VX (IUPAC name: S-{2-[Di(propan-2-yl)amino]ethyl} O-ethyl methylphosphonothioate) (Table 2 and Figure 11) [46].
Research on organophosphorus CWA was carried out on a much larger scale in the USA, among others, at Edgewood Arsenal. A new class of compounds, called the V series, was tested. The 1957 U.S. report by the Army Chemical Corps lists six compounds from group V [47], including one with an unusual structure (Figure 12) [48].
The next study, in 1972, provided six generic structures of potentially toxic organophosphorus compounds. In addition to the five structures describing known CWA (including compounds of the G and V series), there is one that is not widely known (Figure 13) [49].
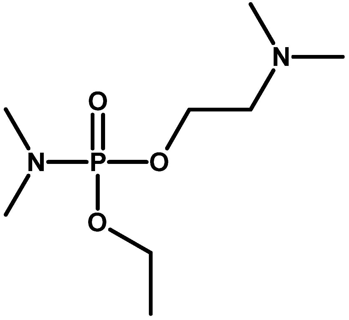
Another report from 1983 listed 47 toxic organophosphorus compounds, including 27 of the G series and 10 of the V series, as well as their precursors and other CWA [50]. These activities resulted in the development and selection of a substance marked with the acronym VX (O-ethyl-S-[2-diisopropylamino]ethyl-methylthiophosphonate) as a new CWA (Figure 11). The work on its binarization was also carried out (as well as the binarization of sarin). Likely based on materials obtained as a result of intelligence activities, similar results were later achieved in the USSR by introducing a compound codenamed R-VX, VXR, or R-33 (S-[2-(Diethylamino)ethyl] O-(2-methylpropyl) methylphosphonothioate) [21]. It is possible that a similar method led to the development of the so-called Chinese VX (C-VX) (O-n-butyl-S-[2-diethylamino]ethyl methylthiophosphonate) [51].
In 1973, a comprehensive study on the problems associated with chemical and biological weapons was published in Sweden [52]. The history of the use and development of toxic warfare agents was presented in detail. It contains much information about organophosphorus compounds, including data on the toxicity of selected substances. However, in this study, which is highly recommended, there is a certain inconsistency: in the first volume (p. 75), the authors did not provide the VX formula, claiming that it is secret, while in the next volume (p. 57) the VX structure was shown [52].
Back in 1969, methods for obtaining phosphonate esters of alkyl acetoacetates were also patented, which were supposed to have high anticholinesterase activity (Figure 14) [53].
Compounds with the following substituents were to be particularly toxic: R1 = methyl and R2 = cyclohexyl or substituted cyclohexyl. An example is a substance with code EA 1576 (2-ethoxycarbonyl-1-methyl-vinyl cyclohexyl methylphosphonate) [50].
At the end of the 1970s, information about another subgroup of organophosphorus compounds synthesised in the United States appeared. Their representative was N,N-dimethylamido-(N,N-dimethyl-amino-O-ethyl)fluorophosphate, also known as IVA [Intermediate Volatility Agent] and under the code name EA 5365 [50] GV (Organophosphorus GV-series is a group of nerve agents with properties similar to the “G-series” and “V-series”) or GP (Figure 15). This compound was supposed to combine the high volatility of sarin to create high concentrations of the agent over the potential target and the high inhalation and dermal toxicity characteristic of VX [18,54]. It is possible that it was intended to be produced on a larger scale as a binary agent in chemical warheads for MLRS systems [55].
According to other sources, this compound did not have optimal properties due to the introduction of too many toxophore groups into the structure [21]. Research on a group of similar compounds (including IVA) has been conducted since the early 1980s in Czechoslovakia. A number of compounds were synthesised, their structures and basic physicochemical data were provided, and it was noted that they were unstable and suitable for binarization. Studies have also been conducted to determine their toxicity [44,57,58]. Research on this substance was conducted at the beginning of the 21st century in the USA [59].
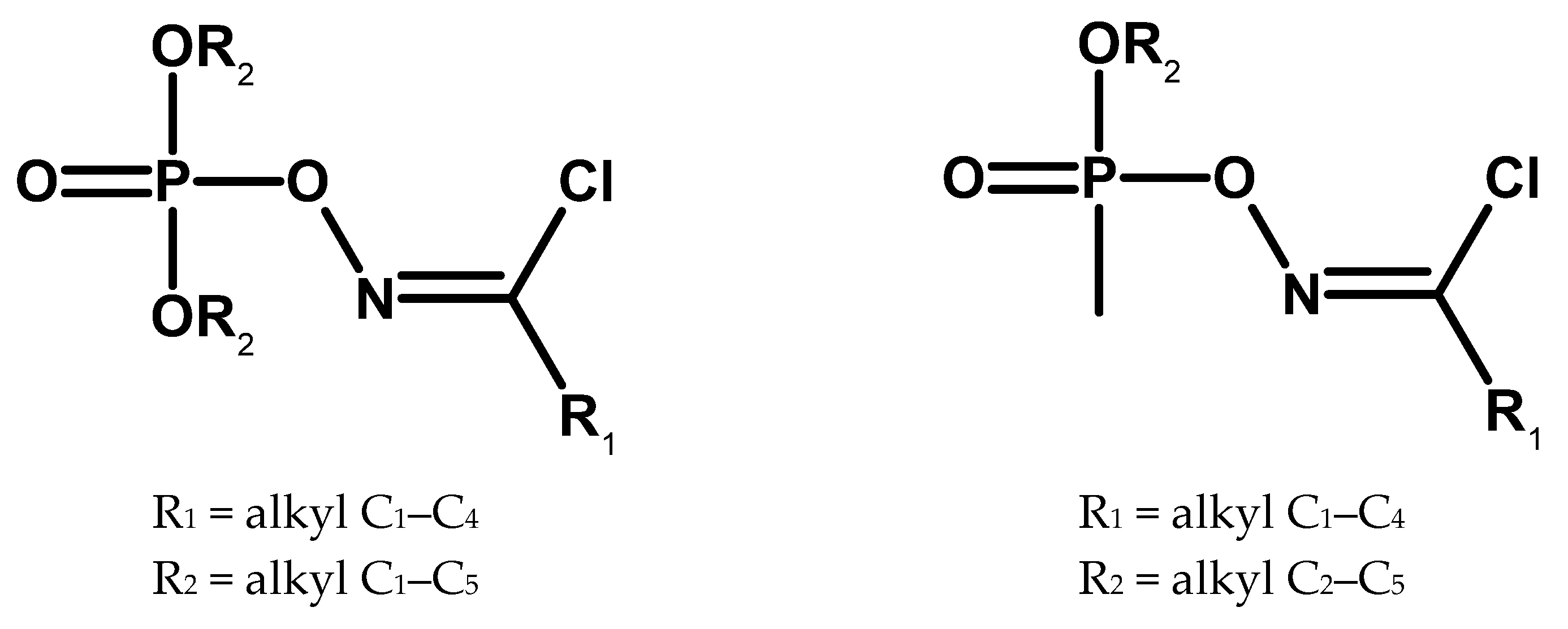
In 1973, information about a new group of organophosphorus compounds called bicyclic organophosphorus esters appeared in the Western scientific press (Figure 16). These are solids with a toxicity comparable to that of known CWA. For example, 4-isopropyl bicyclic phosphate (IPTBO) in mice studies turned out to be 33 times more toxic than DFP [60,61,62]. They continue to arouse interest, especially the synthetic routes [63] and the spectral data of two representatives of this group of compounds (4-Isopropyl-2,6,7-trioxa-1-phosphabicyclo[2.2.2]octane1-oxide, and 4-tert-Butyl-2,6,7-trioxa-1-phosphabicyclo[2.2.2] acetate) are included in the National Institute of Standards and Technology (NIST) mass spectral library.
It is worth adding that in the 1970s, it was believed that they did not inhibit acetylcholinesterase but had other toxic effects. Therefore, oxime therapy should have been ineffective and even harmful.
At a similar time, articles about cyclic fluorophosphates and chlorophosphates appeared in the context of their biological activity (Figure 17 and Figure 18) [64].
One of the compounds tested was neopentyl fluorophosphate, structurally similar to DFP (Figure 18a) [65].
At the same time, patents were published on compounds being methylphosphonic acid esters with quaternary ammonium groups, which showed high toxicity (Figure 19 and Table 3) [66].
Since the second half of the 1960s, the Russian scientific press has published articles describing research on broad groups of organophosphorus compounds in the context of their anticholinesterase activity. The research team included, among others, the previously mentioned Kabachnik, Arbuzov’s co-worker [1], known for discovering a process later called the Kabachnik–Fields reaction in the early 1950s, which was used in the chemistry of organophosphorus compounds [67]. He appears to have been an important figure in the Soviet chemical weapons programme. He was one of the founders of the “Kabachnik cholinesterase kolkhoz”, which gathered specialists in the field of research on the broadly understood chemistry and biochemistry of organophosphorus compounds [68]. It is worth adding that in 1946, he was awarded the Stalin Prize of the first class for synthesising sarin and, in 1974, the Lenin Prize for research on V compounds [1,69]. In the research conducted at the “Institute of Hetero-Organic Compounds” of the USSR Academy of Sciences in Moscow, a wide range of substituents were used to modify the basic phosphorus skeleton (Figure 20) [70,71,72,73,74,75,76].
Another research team at the “Institute of Physiologically Active Compounds” of the USSR Academy of Sciences in Moscow conducted similar research. A member of this team was Martynov, one of the winners of the Lenin Prize in 1972 for the synthesis of soman [69]. However, the focus was on slightly different compounds, phosphorylated oximes, described since the mid-1960s (Figure 21) [77,78,79,80,81,82].
The Russian scientific press continuously publishes articles describing research on a wide range of organophosphorus compounds, also in the context of their biological activity [83].
According to some sources, since the 1960s, work was carried in the USSR out under the programme codenamed “Foliant” on compounds later called “Novichok agents”, or compounds A and classified as fourth-generation CWA [84]. However, information on this subject is incomplete and unverified. These substances, described as phosphorylated oximes, were supposed to be highly toxic, resistant to antidotes, and undetectable by standard detectors [21,85]. In addition, common organophosphorus precursors used in the production of fertilisers or pesticides could be used for their syntheses [86]. There was considerable controversy about their structure. Western authors provided one [56,87] (Hoenig was not sure of the proposed structures), and their Russian whistleblower, V. Mirzayanov, provided others (Figure 22) [84]. Historically, both groups of compounds were called Novichoks. However, it was the OPCW that clarified and defined which group of compounds are Novichoks and included them in the CWC. These compounds were described by Mirzayanov.
The first article that described the synthesis of compounds of this class appeared only in 2016 [88]. However, a work on synthesising substances with a similar structure was published in 1996 [89]. It should be noted that one of the substances described there, in the case of where a methyl substituent is used as R, will be a tetramethyl derivative of the compound currently known under the code name A-242 (Figure 23).
Subsequently, review articles were published [90,91,92,93]. Research publications have also been published [94,95,96,97,98]. Research on the simulation of mass spectra, physical properties, and toxicity has also been conducted [99,100,101]. The international political consequences of using these substances to assault human life resulted in updating Schedule 1 of the CWC in 2019 [102]. This happened for the first time since its inception in 1993. Mass spectra of several representatives of this class of compounds were placed in 2019 in library provided by the OPCW Technical Secretariat: OCAD v.21 [103].
In 2003, the first edition of Ledgard’s “manual” [104] was published, which is cited as a source of recipes for the synthesis of direct precursors for the production of CWA [88]. The second was published in 2007 [105], the third in 2012 [106], and the fourth edition in 2022 [104]. The last two editions contain descriptions of the syntheses of many substances that have not been described so far in the generally available literature (Figure 24). Procedures for obtaining their precursors and detailed diagrams of the equipment used are also provided. Selected data (e.g., molecular weight, density) are also included. The analysis of the structures of these compounds and the given properties suggest that they are highly toxic.
There are papers that describe further studies on compounds already known. However, mass spectra are poorly documented in libraries [107,108]. Importantly, information about research on new classes of compounds continues to appear [109,110], and the basic structure is being modified by introducing atoms of other elements that are not often used in the synthesis, such as selenium or tellurium [89]. Although the toxicity of selenium derivatives was already described in the 1960s [111], publications with extensive research on this subject have only recently appeared [112,113]. Table 4 describes the most important events in the field of CWA syntheses.

4. Briefly on the Toxicity of Organophosphorus Compounds

The toxic properties of organophosphorus compounds were discovered in the 1930s in Germany. Their toxicity was so powerful that they were secretly proposed and developed as chemical weapons [51]. The use of organophosphorus compounds as insecticides began in the 1940s and received a significant boost between 1960 and 1980 when they gradually replaced organochloride insecticides (which are less toxic but much more persistent in the environment) [114]. It should be clearly emphasised that their high environmental instability and sensitivity to hydrolytic degradation allow them to be used relatively safely in agriculture. Over 100 types of organophosphorus pesticides and herbicides are currently used in agriculture in different parts of the world, particularly in developing countries. The specific organophosphorus pesticides used vary between regions, depending on the climate, cost, country regulations and controls [115].
Organophosphorus nerve agents are widely recognised as chemical poisons and are among the most deadly chemical poisons ever developed (Table 5 and Table 6). The main target of organophosphorus toxins (OPT), acetylcholinesterase (AChE), hydrolyses acetylcholine (ACh) and is mainly associated with nerves and muscles, being typically found on the synapses [51]. OPT, including nerve agents, produce acute toxicity primarily by inhibiting AChE, disrupting the homeostatic regulation of acetylcholine-dependent cholinergic signalling in the central and peripheral nervous system.
The failure to metabolise or break down ACh causes an accumulation of ACh at the nerve terminals, leading to increased cholinergic stimulation and many of the toxidromic symptoms typical of nerve agent poisoning, known medically as a cholinergic crisis. Increased cholinergic stimulation leads to persistent stimulation of muscarinic receptors within the parasympathetic neurons. In mammalian species, parasympathetic nerves innervate the airways. Muscarinic receptors belong to the G-protein coupled receptor family presenting throughout the airways. Overstimulation of muscarinic receptors initiates increased salivation, lacrimation, urination, and defecation (commonly known as SLUD), along with bronchoconstriction, bradycardia, increased nasal secretions, emesis, and dyspnea. Nicotinic receptors, a ligand-gated ion channel family member, occur in the somatic or sympathetic nervous system and are also affected by OPs. Symptoms include tachycardia, mydriasis, fasciculations, meiosis, skeletal muscle paralysis, hypertension, slurred speech, irritability, fatigue, impaired judgment, insomnia, and diaphragmatic weakness. More severe poisoning is associated with more profound central nervous system responses such as ataxia, convulsions, seizures, and death by asphyxiation [118].
All nerve agents present optical isomers: tabun, sarin, cyclosarin, VX, and VR have one chiral phosphorus atom each, while soman has an additional stereocenter at a carbon atom of the pinacolyl group. These stereoisomers react with AChE at different rates and possess distinct toxicological properties [119]. These differences result from the stereochemistry of the active site of AChE, which favours the accommodation of one enantiomer at the active site to the detriment of finding another one.
One of the significant differences between the nerve agents is associated with the AChE enzyme. When a nerve agent inhibits acetylcholinesterase (AChE), it initially forms a stable covalent bond between the phosphorus and serine oxygen atoms in the enzyme’s active site. Over time, a secondary reaction called ageing occurs, involving the cleavage of one of the side groups, usually an alkoxy group, from the nerve agent molecule attached to AChE. This process stabilises the phosphorylated enzyme, making it irreversible and unresponsive to reactivation by common oxime antidotes such as pralidoxime (2-PAM). The order of t1/2 for the ageing of human AChE nerve agent adducts was found to be, in ascending order, soman (2 min), sarin (3 h), cyclosarin (7 h), tabun (19 h), and VX (36.5 h). Due to the rapid ageing caused by agents like soman, prompt diagnosis and treatment are essential. For slower-aging agents such as VX, oximes can remain effective much longer. The ageing of inhibited AChE is described as another enzyme-catalyzed reaction despite the enzyme being covalently modified by a nerve agent [120].
Treatment for OP intoxication includes atropine, a muscarinic receptor antagonist, an anticonvulsant such as diazepam, and acetylcholinesterase reactivator, an oxime. Some AChE reactivators, such as bispyridinum oximes, HI 6 and HLö 7 with atropine, are quite effective. Oximes can reactivate acetylcholinesterase by attaching to phosphorus, subsequently divorcing from the AChE enzyme. Many other oximes were also investigated [121].
Although AChE inhibition can be simplistically discussed as an irreversible reaction, detailed kinetic studies account for spontaneous reactivation, releasing the active enzyme and hydrolysed detoxifying agent [122].
In addition to acute toxicity, many OP compounds produce delayed neuropathy in humans, which develops 8–14 days after poisoning. Weakness and ataxia develop in the lower limbs and can progress to paralysis, which, in severe cases, can also affect the upper limbs. The severity of the neuropathy depends upon the compound and the dose absorbed. Recovery is slow and is seldom complete. Poisoning results in the distal degeneration of some long axons in peripheral nerves and spinal cord [123]. Table 5 and Table 6 present selected organophosphorus CWA toxicity data.

5. Use of Organophosphorus CWAs

Organophosphorus CWA has been used in wartime and peacetime as terrorist agents or for executions or murders. The first fully documented use of organophosphorus CWA occurred in 1984 during the Iraq–Iran war. The Iraqis used then tabun (and other CWA) [124]. At this time, CWAs were also used in the form of a mixture in 1988 during the infamous attack on the city of Halabja.
On 27 June 1994, in Japan (Matsumoto incident), the Aum Shinrikyo sect carried out an attack using sarin gas on judges participating in a trial against members of the sect. Seven people died (the eighth remained in a coma for 14 years and died in 2008), and over 200 were reversibly injured. On 20 March 1995, perhaps the most famous case of chemical terrorism occurred. A group of members of the Aum Shinrikyo sect mentioned here carried out a sarin gas attack on five subway trains in Tokyo. Approximately 5.5 thousand people were poisoned, 12 of whom died. It should be emphasised that the attack occurred during the morning rush hour and was calculated so that all contaminated trains met at the Kasumigaseki junction station almost simultaneously.
It is suspected that an organophosphorus compound (with a structure similar to the compounds of the GV series) was used in another terrorist attack in August 1995 [125,126,127]. The structure of this compound shown in Figure 25 represents a chemical outside of the CWC.
In August 2013, sarin was used during the Syrian civil war, causing many civilian deaths. The UN report confirms this [128]. Syria was forced to ratify the CWC in September 2013 following this event. Renewed attacks using this agent occurred in April 2017, causing additional victims [129].

6. Chemical Weapons Convention

6.1. Historical View

The use of poisons in combat is as old as human history. There have been many attempts to limit or exclude this method of fighting. The first major legal act in this field was the Fourth Hague Convention of 1907 [130]. However, the experiences of World War I showed the weakness of its solutions. It was then developed in the Geneva Protocol of 1925 [131]. Two world wars and the arms race that emerged after World War II (including chemical weapons) are proof that this document also does not live up to the hopes placed in it.
International negotiations on the implementation of the Chemical Weapons Treaty began at the UN Conference on Disarmament in 1980. The talks took place mainly in Geneva. International negotiations on the implementation of the Chemical Weapons Treaty began during the UN Conference on Disarmament in 1980. The talks took place mainly in Geneva. It can be debated why this work was initiated: whether it was to altruistically rid the world of the threat posed by highly toxic substances or raise awareness on the part of the powers possessing chemical weapons that retaliation might be taken by other powers who also possessed chemical weapons at the time, as happened in the First World War. Working meetings were also held in the United States (1986, Tooele) and the USSR (1987, Shikhany). On 30 November 1992, in New York, the UN General Assembly adopted the Chemical Weapons Convention by Resolution A/RES/47/39 [132], the full name of which is as follows: Convention on the Prohibition of the Development, Production, Stockpiling and Use Chemical Weapons and the Destruction of Their Stockpiles. The adopted text of the Convention was presented for signature in January 1993 in Paris [133]. The date of entry into force of the Convention was not determined until 31 October 1996, when Hungary became the 65th state to ratify. As required, the Convention entered into force 180 days later, on 29 April 1997. The abbreviated name is the Chemical Weapon Convention—(CWC) [134]. The Organisation for the Prohibition of Chemical Weapons (OPCW) was established as the executive body of the Convention. The introduction of this act of international law was undoubtedly a big step towards freeing the world from the dangers caused by one of the representatives of weapons of mass destruction.

6.2. Content of the Convention Lists (In Terms of Organophosphorus Compounds)

An important component of the Convention is its Schedules. They were organised into three groups, each with two subgroups; the first is toxic substances (marked with symbol A), and the second is precursors (marked with symbol B). Schedule 1.A is particularly important because it groups the highly toxic substances. It can be considered a list of compounds used only for military purposes, although the Convention does not define Schedule 1.A is a closed list of CWAs. Until June 2020, Schedule 1, Part A, included three groups of compounds containing phosphorus, corresponding to the analogues of sarin (1.A.1), tabun (1.A.2), and VX (1.A.3). Part 1.B show the precursors for the production of organophosphorus CWA: four phosphonic difluorides (1.B.9), phosphonites—precursors for the synthesis of compounds V-series (1.B.10), as well as chlorosarin (1.B.11) and chlorosoman (1.B.12). Schedule 1 also includes poisonous agents with a blistering effect (sulfur mustards, nitrogen mustards, and lewisites), as well as saxitoxin and ricin polypeptide [135].
Schedule 2.A includes amiton (2.A.1), a compound initially planned as a pesticide but withdrawn from use due to its high toxicity. Part 2.B includes, among others, precursors for the synthesising of compounds from Schedule 1. List 2.B.4 is particularly extensive because its definition implies that it is practically unlimited. Schedule 2 also includes phosphoramide dihalides (2.B.5) and the corresponding diesters (2.B.6). These are precursors for the syntheses of compounds from list 1.A.2. The subsequent lists include compounds that can be used as precursors for the production of type V compounds (2.B.10, 11, 12) [136].
Schedule 3.B contains the basic precursors for producing organophosphorus CWA: phosphoryl trichloride, phosphorus trichloride, phosphorus pentachloride, and di- and tri-methyl and ethyl esters of phosphorous acid. Additionally, Schedule 3.A contains compounds used as chemical weapons during World War I: phosgene, cyanogen chloride, hydrogen cyanide, and chloropicrin [137].

6.3. Changes to the Convention in 2020

It seems that from the beginning of the Convention, there was a need to supplement its lists. After Mirzayanov published his memoirs in 2008 [84], this need was increasingly considered, also in the OPCW. Within the Scientific Advisory Board (SAB), an advisory body of the OPCW, already in 2011, there were discussions about “Novichoks”, as well as GV group compounds and carbamates [138]. There was a definite need to update the lists of the Convention after the sensational events in Great Britain (the case of the poisoning of Skripal and his daughter, 4 March 2018, “the Salisbury Incident”). Consequently, the United Kingdom requested technical support from the OPCW for the above events. The result was information about the identification of a toxic substance [139]. In May 2018, the Director General asked the SAB for information on new types of nerve agents [140]. The answer was given in early July and contained interesting information [141]. In June, another accident involving the use of suspicious substances occurred (30 June 2018, “Amesbury Incident”). Also, on this occasion, the United Kingdom asked for technical support. The use of a toxic substance, the same as during the events in March, was again found [142]. In October this year, the USA, Canada and the Netherlands jointly proposed supplementing List 1 with two groups of compounds (the first with the P–C bond, the second with the P–O–C bond) [143].
Russia’s counterproposal appeared in early December, was more extensive, proposed five groups of compounds, cited scientific literature and patents on carbamates, and provided compounds with CAS numbers. There was also mention of a new class of compounds with anticholinesterase activity, described in the literature as “di(polyfluoroalkyl) fluorophosphates and fluorophosphonates” [144]; however, after the final findings were not introduced into Schedule 1 of the Convention [145]. The consultation process and evaluation of the proposals began in December 2018 [146].
On 27 November 2019, by decision of the Conference of States Parties, changes to Schedule 1 were established [147,148] and in December, a compact text of the new changes was presented [102]. The Russian proposal was accepted, and carbamates were also included. The changes are effective from 7 June 2020, and the Schedule 1 has been updated with four new items:
  • 1.A.13—P-alkyl (H or ≤C10, incl. cycloalkyl) N-(1-(dialkyl(≤C10, incl. cycloalkyl)amino))alkylidene (H or ≤C10, incl. cycloalkyl) phosphonamidic fluorides and corresponding alkylated or protonated salts,
  • 1.A.14—O-alkyl (H or ≤C10, incl. cycloalkyl) N-(1-(dialkyl(≤C10, incl. cycloalkyl)amino))alkylidene (H or ≤C10, incl. cycloalkyl) phosphoramidofluoridates and corresponding alkylated or protonated salts,
  • 1.A.15—Methyl-(bis(diethylamino)methylene)phosphonamidofluoridate,
  • 1.A.16—Carbamates (quaternaries and bisquaternaries of dimethylcarbamoyloxypyridines).
Despite the extension of the content of Schedule 1, some groups of highly toxic compounds containing phosphorus are still outside of it. Some are outside the Schedules of the Convention altogether, for example, GV-type compounds (information on this subject was recorded already in 2002) [59], certain phosphates (including DFP and bicyclic compounds), polyfluoroalkylfluorophosphates and polyfluoroalkylfluorophosphonates [149,150,151]. In the context of the “Navalny case”, information appeared about the use of a substance with a structure similar to the structure of compounds from lists 1.A.14 and 1.A.15, acting as a cholinesterase inhibitor, and being outside the lists of the Convention [152].

6.4. How Many Chemicals Are on the Schedules of the Convention?

At the beginning of the Convention’s validity, it was realised that a broad spectrum of chemical compounds would be covered by it. Estimates from 2004 showed that the theoretical amount of organophosphorus CWA in Schedule 1 was approximately 270,000. People were also aware of the extraordinary length of list 2.B.4 (Table 7) [153].
Currently, higher estimates of the number of compounds in the Convention Schedules are provided [154,155,156,157]. Organophosphorus compounds included in lists 1.A.1, 1.A.2, and 1.A.3 are defined by structures that allow for any combination of substituents defined as alkyl or cycloalkyl R1, R2, and R3 (Figure 26). The P-alkyl and N-alkyl substituents are limited to methyl, ethyl, n-propyl, and isopropyl. Alkyl groups bonded to the nitrogen atom may be symmetrical or asymmetrical. Counting the possible variants of the O-alkyl substituent R2 (1–10 carbon atoms) gives 580,799 possible structures, although many are unstable. Taking into account all possible combinations (including theoretical ones), list 1.A.1 contains more than 2 million compounds, and list 1.A.2 has more than 5 million. List 1.A.3 includes protonated and quaternary alkyl salts of compound V, but the number of carbon atoms in the alkyl substituent is not specified. This generates an indefinite number of possible compounds. Similar considerations also apply to precursors from list 1.B.10. Analogous problems concern compounds from the newly introduced lists 1.A.13 and 1.A.14 (Figure 27). C1 to C10 acyclic alkyls alone yield 86,760 theoretically possible dialkylamino groups when all symmetric and asymmetric structures are taken into account. Again, the list includes protonated and quaternary alkyl salts. Another issue is the existence of optical isomers and isotopically labelled compounds, which are not distinguished for the purposes of the convention [158].
Similar problems apply to undefined quaternary Amiton derivatives and generic precursor structures for preparing organophosphorus compounds included in lists 2.B.4, 2.B.10. 2.B.11, and 2.B.12. The particularly extensive Schedule 2.B.4 includes all compounds (except those included in Schedule 1) whose molecules contain a phosphorus atom that is directly bonded to one methyl, ethyl, n-propyl, or isopropyl group. This creates a huge, almost infinite number of compounds, especially since only one substituent is defined, and phosphorus can have an oxidation state of +3 and +5. Schedule 3 creates a closed and clearly defined group of compounds.
Even though only a few substances from these lists were produced to be used as chemical weapons, the other compounds remain within the scope of interest of the Convention [153].

6.5. Organophosphates in Proficiency Tests Organised by the OPCW

The establishment of the OPCW resulted in the need to create a method to verify the provisions of the Convention. This was resolved by initiating and developing a global system of designated laboratories. This has been carried out since 1996 by conducting Proficiency Tests (PT). The test involves analysing the samples provided and preparing a report. Conventional and non-conventional compounds that may originate from the transformation of conventional compounds are used as analytes. The PTs are intended to simulate environmental samples. Matrices are usually organic liquids or water; solids are also sometimes used. After 55 tests, it turns out that approximately half (191 out of 376) of the “spiking chemicals” (substances deliberately added to the samples) are organophosphates. By dividing the analytes into their assigned lists, the following summary was obtained (Figure 28).

7. Conclusions

There is no doubt that the history of organophosphorus CWA is long and intriguing. Scientific works without the synthesis of new toxic compounds are constantly being published on testing both known substances and new groups of potentially toxic compounds. These papers mainly describe the decontamination process or spectral and retention data to identify both known substances and their potentially toxic analogues. What is more significant is that we are constantly witnessing incidents where these substances are used to assassinate human lives. In light of continuously published research and the observed effects of the use of these agents, a picture of organophosphorus CWA chemistry emerges as a still-open branch of science.
Despite widespread adherence to the Chemical Weapons Convention, chemical agents still pose a threat due to their potential use by states that do not respect international law or by terrorist groups. Among the many types of CWA, the neurotoxic organophosphates are the most dangerous. To date, no universal antidote for these compounds is known, and the possibility of ageing requires a fast-acting AChE reactivator (especially in the case of soman). Given the above information, it is important to be aware that organophosphorus CWAs are still a significant threat to human life and the environment.

Author Contributions

S.P.: Supervision, writing—review and editing, coordinated the writing of the paper, and made corrections to the actual work. M.B.: Conceptualization, writing—original draft, visualization, presented the idea for writing the article, was responsible for creating the table of contents, and creating figures and tables. J.N.: Writing—review and editing, and made key corrections to the written content. H.S.: Visualization and was responsible for creating and verifying all figures. All authors have read and agreed to the published version of the manuscript.

Funding

The studies described in this paper have been partly financed by the European Union Regional Development Fund in the frame of the Baltic Sea Region Programme project #C056 MUNIMAP.

Institutional Review Board Statement

Not applicable.

Informed Consent Statement

Not applicable.

Data Availability Statement

Data are made available by the authors upon request.

Conflicts of Interest

The authors declare no conflicts of interest.

References

  1. Timperley, C.M.; Tattersall, J. Best Synthetic Methods: Organophosphorus(V) Chemistry; Timperley, C.M., Ed.; Elsevier: Amsterdam, The Netherlands, 2015; pp. 1–89. [Google Scholar]
  2. Gay-Lussac, J.L.; Thénard, L.J. Gazette Nationale ou Le Moniteur Universel, No. 148, 27.05., p. 582. Available online: https://books.google.pl/books?id=GRROAAAAcAAJ&pg=PA581&redir_esc=y#v=onepage&q&f=false (accessed on 26 February 2025).
  3. Davy, H., III. The Bakerian Lecture. An account of some new analytical researches on the nature of certain bodies, par-ticularly the alkalies, phosphorus, sulphur, carbonaceous matter, and the acids hitherto undecompounded; with some general observations on chemical theory. Philos. Trans. R. Soc. Lond. 1808, 99, 39–104. [Google Scholar]
  4. Dulong, P. Extrait d’un mémoire sur les combinaisons du phosphore avec l’oxigène. Extract from a memoir on the compounds of phosphorus with oxygen. Ann. Chim. Phys. 1816, 2, 141–150. Available online: https://babel.hathitrust.org/cgi/pt?id=hvd.hx3dvb&view=1up&seq=147 (accessed on 26 February 2025). (In French).
  5. Wurtz, A. Sur l’acide sulfophosphorique et le chloroxyde de phosphore. Ann. Chim. Phys. 1847, 20, 472–481. [Google Scholar]
  6. Berzelius, J. Ueber die Verbindungen des Phosphors mit Schwefel. Ann. Chem. Pharm. 1843, 46, 129–154. [Google Scholar] [CrossRef]
  7. Demselben, Ueber die Verbindungen des Phosphors mit Schwefel. Ann. Chem. Pharm. 1843, 46, 251–281. [CrossRef][Green Version]
  8. Hofmann, A.W. Weitere Beobachtungen über die Phosphinsäuren. Eur. J. Inorg. Chem. 1873, 6, 303–308. [Google Scholar] [CrossRef]
  9. Hofmann, A.W. Ueber die Oxydationsproducte der Methyl-und Aethylphosphine. Eur. J. Inorg. Chem. 1872, 5, 104–112. [Google Scholar] [CrossRef]
  10. Quin, L.D. A Case for August Wilhelm Hofmann as the Originator of the Field of Organophosphorus Chemistry. Heteroat. Chem. 2013, 24, 243–251. [Google Scholar] [CrossRef]
  11. Petroianu, G.A. The synthesis of phosphor ethers: Who was Franz Anton Voegeli? Pharmazie 2009, 64, 269–275. [Google Scholar]
  12. Miłobędzki, T. The ratio of isomeric alcohols to phosphorus trichloride. Zurnal Russkovo Fiziko-Cheiczeskavo Obcestra 1899, 730–734. [Google Scholar]
  13. Michaelis, A.; Kaehne, R. Ueber das Verhalten der Jodalkyle gegen die sogen. Phosphorigsäureester oder O-Phosphine. Eur. J. Inorg. Chem. 1898, 31, 1048–1055. [Google Scholar] [CrossRef]
  14. Petroianu, G.A. Pharmacists Adolf Schall and Ernst Ratzlaff and the synthesis of tabun-like compounds: A brief history. Pharmazie 2014, 69, 780–784. [Google Scholar] [PubMed]
  15. Michaelis, A. Ueber die organischen Verbindungen des Phosphors mit dem Stickstoff. Eur. J. Org. Chem. 1903, 326, 129–258. [Google Scholar] [CrossRef]
  16. Holmsted, B. Structure-Activity Relationship of the Organophosphorus Anticholinesterase Agents. In Cholinoesterases and Anticholinesterase Agents; Koelle, G., Ed.; Springer: Berlin/Heidelberg, Germany, 1963. [Google Scholar]
  17. Lange, W.; Krueger, G.V. Über Ester der Monofluorphosphorsäure. Berichte Der Dtsch. Chem. Ges. (A B Ser.) 1932, 65, 1598–1601. [Google Scholar] [CrossRef]
  18. Timperley, C.M. Chapter 29: Highly Toxic Fluorine Compounds. In Fluorine Chemistry at the Millenium, 1st ed.; Banks, R.E., Ed.; Elsevier: Amsterdam, The Netherlands, 2000; pp. 499–538. [Google Scholar] [CrossRef]
  19. Schmaltz, F. Neurosciences and Research on Chemical Weapons of Mass Destruction in Nazi Germany. J. Hist. Neurosci. 2006, 15, 186–209. [Google Scholar] [CrossRef]
  20. Summary Technical Report of Division 9, Volume 1, Chemical Warfare Agents, and Related Chemical Problems, Parts I–II, Chapter 9, Washington 1946, p. 131. Available online: https://www.loc.gov/item/2015460889/ (accessed on 3 December 2024).
  21. Konopski, L. Historia Broni Chemicznej; Bellona: Warszawa, Poland, 2009. [Google Scholar]
  22. McCombie, H.; Saunders, B.C.; Stacey, G.J. Esters containing phosphorus. Part I. J. Chem. Soc. 1945, 380–382. [Google Scholar] [CrossRef]
  23. McCombie, H.; Saunders, B.C.; Stacey, G.J. Esters containing phosphorus. Part III. Dialkyl iodophosphonates. J. Chem. Soc. 1945, 921–922. [Google Scholar] [CrossRef]
  24. Cook, H.G.; McCombie, H.; Saunders, B.C. Esters containing phosphorus. Part II. J. Chem. Soc. 1945, 873–874. [Google Scholar] [CrossRef]
  25. Cook, H.G.; Saunders, B.C.; Smith, F.E. Esters containing phosphorus. Part VIII. Structural requirements for high toxicity and miotic action of esters of fluorophosphonic acid. J. Chem. Soc. 1949, 635–638. [Google Scholar] [CrossRef]
  26. Cook, H.G.; Ilett, J.D.; Saunders, B.C.; Stacey, G.J.; Watson, H.G.; Wilding, I.G.E.; Woodcock, S.J. Esters containing phosphorus. Part IX. J. Chem. Soc. 1949, 2921–2927. [Google Scholar] [CrossRef]
  27. Saunders, B.C.; Stacey, G.J. Esters containing phosphorus. Part IV. Diisopropyl fluorophosphonate. J. Chem. Soc. 1948, 2, 695–699. [Google Scholar] [CrossRef]
  28. Saunders, B.C.; Stacey, G.J.; Wild, F.; Wilding, I.G.E. Esters containing phosphorus. Part V. Esters of substituted phosphonic and phosphonous acids. J. Chem. Soc. 1948, 699–703. [Google Scholar] [CrossRef]
  29. Saunders, B.C. Some Aspects of the Chemistry and Toxic Action of Organic Compounds Containing Phosphorus and Fluorine; Cambrigde University Press: Cambrigde, UK, 1957. [Google Scholar]
  30. Chapman, N.B.; Saunders, B.C. Esters containing phosphorus. Part VI. Preparation of esters of fluorophosphonic acid by means of phosphorus oxydichlorofluoride. J. Chem. Soc. 1948, 1, 1010–1014. [Google Scholar] [CrossRef]
  31. Heap, R.; Saunders, B.C. Esters containing phosphorus. Part VII. Substituted diaminofluorophosphine oxides. J. Chem. Soc. 1948, 17, 1313–1316. [Google Scholar] [CrossRef]
  32. Goldstein, A. the mechanism of enzyme-inhibitor-substrate reactions. J. Gen. Physiol. 1944, 27, 529–580. [Google Scholar] [CrossRef]
  33. Clay, J.P. A New Method for the Preparation of Alkane Phosphonyl Dichlorides. J. Org. Chem. 1951, 16, 892–894. [Google Scholar] [CrossRef]
  34. Kinnear, A.M.; Perren, E.A. Formation of organo-phosphorus compounds by the reaction of alkyl chlorides with phosphorus trichloride in the presence of aluminium chloride. J. Chem. Soc. 1952, 3437–3445. [Google Scholar] [CrossRef]
  35. Hobbiger, F. The Inhibition of Cholinestrases by 3(diethoxyphosphinyloxy)-N-methyl quinolinium methylsulphate and its tertiary base. Br. J. Pharmacol. Chemother. 1954, 9, 159–165. [Google Scholar] [CrossRef]
  36. Baldit, G.L. Amiton—A new acaricide and scalicide. J. Sci. Food Agric. 1958, 9, 516–524. [Google Scholar] [CrossRef]
  37. Karasik, T. Toxic Warfare; Rand Corporation: Santa Monica, CA, USA, 2002. [Google Scholar]
  38. Worek, F.; Wille, T.; Koller, M.; Thiermann, H. Toxicology of organophosphorus compounds in view of an increasing terrorist threat. Arch. Toxicol. 2016, 90, 2131–2145. [Google Scholar] [CrossRef]
  39. Bracha, P.; O’Brien, R.D. Trialkyl phosphate and phosphorothiolate anticholinesterases. I. Amiton analogs. Biochemistry 1968, 7, 1545–1554. [Google Scholar] [CrossRef] [PubMed]
  40. Tammelin, L.-E. Methyl-fluoro-phosphorylcholines. Two Synthetic Cholinergic Drugs and Their Tertiary Homologues. Acta Chem. Scand. 1957, 11, 859–865. [Google Scholar] [CrossRef][Green Version]
  41. Tammelin, L.-E. Dialkoxy-phosphorylthiocholines, Alkoxy-methylphosphorylthiocholines, and Analogous Choline Esters. Synthesis, pKa of Tertiary Homologues, and Cholinesterase Inhibition. Acta Chem. Scand. 1957, 11, 1340–1349. [Google Scholar] [CrossRef]
  42. Enander, I. Experiments with Methyl-fluoro-phosphorylcholine-inhibited Cholinesterase. Acta Chem. Scand. 1958, 12, 780–781. [Google Scholar] [CrossRef]
  43. Benschop, H.P.; Berg, G.R.v.D.; Kraay, G.W. Organophosphorus compounds. Part IX: Decomposition of ω-dimethylaminoalkyl methylphosphonofluoridates and isomerization of 2-dipropylaminoethyl methylphosphonofluoridothionate. Recl. Des Trav. Chim. Des Pays-Bas 1970, 89, 1025–1037. [Google Scholar] [CrossRef]
  44. Halámek, E.; Kobliha, Z. The Ion Associates of Methyl-, Ethyl- and Isopropyl Derivatives of Dialkylaminoethyl Dialkylamidofluorophosphate with Bromophenol Blue. Collect. Czechoslov. Chem. Commun. 1992, 57, 56–63. [Google Scholar] [CrossRef]
  45. Fukuto, T.R.; Metcalf, R.L. The Effect of Structure on the Reactivity of Alkylphosphonate Esters. J. Am. Chem. Soc. 1959, 81, 372–377. [Google Scholar] [CrossRef]
  46. de Cavalcante, S.F.A.; Kitagawa, D.A.S.; Rodrigues, R.B.; Bernardo, L.B.; da Silva, T.N.; dos Santos, W.V.; de A. Correa, A.B.; de Almeida, J.S.F.D.; França, T.C.C.; Kuča, K.; et al. One-Pot Synthesis of NEMP, a VX Surrogate, and Reactivation of NEMP inhibited Electrophorus Eel Acetylcholinesterase by Current Antidotes. J. Braz. Chem. Soc. 2019, 30, 1095–1102. [Google Scholar] [CrossRef]
  47. Summary of Major Events and Problems, 1957, U.S. Army Chemical Corps, p. 94. Available online: https://irp.fas.org/threat/cbw/1957_majoreventsandproblems.pdf (accessed on 26 February 2025).
  48. Dawson, T.P.; Williamson, C.E. 3-Pirydyl Phosphonates. U.S. Patent 3,903,098, 2 September 1975. [Google Scholar]
  49. Ferguson, T.L.; Hylton, A.R.; Mumma, C.E. Studies on the Technical Arms Control Aspects of Chemical and Biological Warfare. In Analysis of Foreign Organophosphorus Chemical Technology; Midwest Research Institute: Kansas City, MO, USA, 1972; Volume III. [Google Scholar]
  50. Samuel, J.B.; Penski, E.C.; Callahan, J.J. Physical Properties of Standard Agents, Candidate Agents, and Related Compounds at Several Temperatures; U.S. Army Armament Research and Development Command: Picatinny Arsenal, NJ, USA, 1983; pp. 19–25. Available online: https://apps.dtic.mil/sti/tr/pdf/ADC033491.pdf (accessed on 26 February 2025).
  51. Delfino, R.T.; Ribeiro, T.S.; Figueroa-Villar, J.D. Organophosphorus compounds as chemical warfare agents: A review. J. Braz. Chem. Soc. 2009, 20, 407–428. [Google Scholar] [CrossRef]
  52. Perry Robinson, J.P. Vol. I: The Rise of CB Weapons, Vol. II: CB Weapons Today. In The Problem of Chemical and Biological Warfare; SIPRI: Stockholm, Sweden, 1971. [Google Scholar]
  53. Dawson, T.P.; Williamson, C.E. Phosphonate Esters of Alkyl Acetoacetates. U.S. Patent 3,450,801, 17 June 1969. [Google Scholar]
  54. Matousek, J.; Masek, I. On the new potential supertoxic lethal organophosphorus chemical warfare agents with inter-mediary volatility. ASA Newsl. 1994, 1, 94–95. [Google Scholar]
  55. Perry Robinson, J.P. Chemical and Biological Developments: 1985; Oxford University Press: Oxford, UK; SIPRI: Stockholm, Sweden, 1986; p. 29. [Google Scholar]
  56. Ellison, D.H. Handbook of Chemical and Biological Warfare Agents, 3rd ed.; CRC Press (Taylor & Francis Group): Boca Raton, FL, USA, 2022. [Google Scholar]
  57. Bajgar, J.; Fusek, J.; Hrdina, V.; Patocka, J.; Vachek, J. Acute toxicities of 2-dialkylaminoalkyl-(dialkylamido)-fluoro-phosphates. Physiol Res. 1992, 41, 399–402. [Google Scholar] [PubMed]
  58. Halamek, E.; Kobliha, Z.; Hrabal, R. Identification of The Isomeric Transformation Product From 2-(Dimethylamino)Ethyl-(Dimethylphosphoramido)Fluoridate. Phosphorus Sulfur Silicon Relat. Elem. 2004, 179, 49–53. [Google Scholar] [CrossRef]
  59. Harvey, S.P.; Cheng, T. Identification, Purification and Partial Characterization of GV-Degrading Enzyme from ATCC#29660 Alteromonas Undina; Edgewood: Harford County, MD, USA, 2002. [Google Scholar]
  60. Bellet, E.M.; Casida, J.E. Bicyclic Phosphorus Esters: High Toxicity without Cholinesterase Inhibition. Science 1973, 182, 1135–1136. [Google Scholar] [CrossRef] [PubMed]
  61. Casida, J.E.; Eto, M.; Moscioni, A.; Engel, J.L.; Milbrath, D.S.; Verkade, J.G. Structure-toxicity relationships of 2,6,7-trioxabicyclo [2.2.2]-octanes and related compounds. Toxicol. Appl. Pharmacol. 1976, 36, 261–279. [Google Scholar] [CrossRef] [PubMed]
  62. Milbrath, D.S.; Engel, J.L.; Verkade, J.G.; Casida, J.E. Structure-toxicity relationships of 1-substituted-4-alkyl-2,6,7-trioxabicyclo [2.2.2.]octanes. Toxicol. Appl. Pharmacol. 1979, 47, 287–293. [Google Scholar] [CrossRef]
  63. Mazzitelli, C.L.; Re, M.A.; Reaves, M.A.; Acevedo, C.A.; Straight, S.D.; Chipuk, J.E. A Systematic Method for the Targeted Discovery of Chemical Attribution Signatures: Application to Isopropyl Bicyclophosphate Production. Anal. Chem. 2012, 84, 6661–6671. [Google Scholar] [CrossRef]
  64. Ashani, Y.; Snyder, S.L.; Wilson, I.B. Inhibition of cholinesterase by 1,3,2-dioxaphosphorinane 2-oxide derivatives. Biochemistry 1972, 11, 3518–3523. [Google Scholar] [CrossRef]
  65. Hart, G.J.; O’Brien, R.D.; Milbrath, D.; Verkade, J. Dissociation and phosphorylation constants for the inhibition of acetylcholinesterase by 2-fluoro, 2-oxo-1,3,2-dioxaphosphorinanes. Pestic. Biochem. Physiol. 1976, 6, 464–470. [Google Scholar] [CrossRef]
  66. Natarelli, G.; Pinto, F.G.; Miller, J.I. Toxic Phosphorus Compounds. U.S. Patent 3,900,535, 19 August 1975. [Google Scholar]
  67. Kabachnik, M.I.; Medved, T.Y. New synthesis of aminophosphonic acids. Dokl. Akad. Nauk SSSR 1952, 83, 689–692. [Google Scholar]
  68. Rozengart, E.V.; Basova, N.E.; Moralev, S.N.; Lushchekina, S.V.; Masson, P.; Varfolomeev, S.D. Research on cholinesterases in the Soviet Union and Russia: A historical perspective. Chem. Biol. Interact. 2013, 203, 3–9. [Google Scholar] [CrossRef]
  69. Fedorov, L.A. Chemical Weapons in Russia: History, Ecology, Politics. Available online: https://nuke.fas.org/guide/russia/cbw/jptac008_l94001.htm (accessed on 17 April 2024).
  70. Abduvakhabov, A.A.; Agabekova, I.I.; Godovikov, N.N.; Kabachnik, M.I.; Rozengart, V.I. Action of O-alkyl-S-n-butylmethylthiophosphonates with branched alkyl groups on cholinesterases. Bull. Acad. Sci. USSR Div. Chem. Sci. 1968, 17, 2348–2351. [Google Scholar] [CrossRef]
  71. Abduvakhabov, A.A.; Godovikov, N.N.; Kabachnik, M.I.; Rozengart, V.I.; Sitkievich, R.V. Anticholinesterase Activity of O-n-alkyl-S-n-hexylmethyltiophosphonates. Bull. Acad. Sci. USSR Div. Chem. Sci. 1969, 5, 1117–1121. [Google Scholar] [CrossRef]
  72. Abduvakhabov, A.A.; Agabekova, I.I.; Godovikov, N.N.; Kabachnik, M.I.; Rozengart, V.I. Influence of the degree of branching of the O-alkyl radical on the anticholinesterase properties of O-alkyl S-n-butyl methylphosphonothioates. Bull. Acad. Sci. USSR Div. Chem. Sci. 1970, 19, 1495–1499. [Google Scholar] [CrossRef]
  73. Abduvakhabov, A.A.; Godovikov, N.N.; Kabachnik, M.I.; Krivorotova, L.S.; Mikhailov, S.S.; Rozengart, V.I. Reaction of O-n-alkyl S-(β-ethylmercaptoethyl) methylthiophosphonates and their methyl sulfomethylates with acetylcholinesterase. Bull. Acad. Sci. USSR Div. Chem. Sci. 1972, 21, 1117–1120. [Google Scholar] [CrossRef]
  74. Godovikov, N.N.; Vikhreva, L.A.; Babasheva, K.K.; Sherstobitov, O.E.; Balashova, E.K.; Kugusheva, L.I.; Rozengart, V.I.; Brestkin, A.P.; Kabachnik, M.I. Synthesis and anticholine esterase properties of S-ethynyl esters of thiophosphoric acids. Bull. Acad. Sci. USSR Div. Chem. Sci. 1983, 32, 1453–1455. [Google Scholar] [CrossRef]
  75. Godovikov, N.N.; Vikhreva, L.A.; Balashova, E.K.; Brestkin, A.P.; Moralev, S.N.; Rozengart, V.I.; Sherstobitov, O.E.; Kabachnik, M.I. Synthesis and anticholinesterase activity of S-alkynyl diethyl thiophosphates containing hydrophobic or onium groups in the alkylthiol radical. Bull. Acad. Sci. USSR Div. Chem. Sci. 1986, 35, 1694–1697. [Google Scholar] [CrossRef]
  76. Godovikov, N.N.; Vikhreva, L.A.; Darisheva, A.M.; Balashova, I.K.; Moralev, S.N.; Brestkin, A.P.; Rozengart, V.I.; Sherstobitov, O.E.; Kabachnik, M.I. Synthesis and anticholinesterase activity of S-ethynyl dialkylthiophosphates with cyclic substituents at the acetylenic bond. Bull. Acad. Sci. USSR Div. Chem. Sci. 1987, 36, 152–157. [Google Scholar] [CrossRef]
  77. Ivanov, A.N.; Epishina, T.A.; Goreva, T.V.; Sokolov, V.B.; Martynov, I.V. Reaction of dialkyl phosphites with 1,1-dichloronitrosoalkanes. Russ. Chem. Bull. 1987, 36, 204–205. [Google Scholar] [CrossRef]
  78. Martynov, I.V.; Chekhlov, A.N.; Ivanov, A.N.; Epishina, T.A.; Makhaev, V.D.; Sokolov, V.B. Synthesis and molecular structure of o-isopropylchloro-formiminodiphenylphosphinate. Russ. Chem. Bull. 1987, 36, 2410–2412. [Google Scholar] [CrossRef]
  79. Martynov, I.V.; Ivanov, A.N.; Epishina, T.A.; Sokolov, V.B. O-alkylchloroformimino-o,o-dialkylthiqphosphates. Bull. Acad. Sci. USSR Div. Chem. Sci. 1987, 36, 2651–2652. [Google Scholar] [CrossRef]
  80. Sokolov, V.B.; Ivanov, A.N.; Goreva, T.V.; Epishina, T.A.; Martynov, I.V. O-alkylchloroformimino O-alkyl methylphosphonates. Russ. Chem. Bull. 1988, 37, 989–991. [Google Scholar] [CrossRef]
  81. Sokolov, V.B.; Ivanov, A.N.; Epishina, T.A.; Martynov, I.V. Reaction of 1,1-dichloro-1-nitrosoalkanes with the acid chloride of S-ethylmethylphosphorous acid in the presence of sulfur dioxide. Bull. Acad. Sci. USSR Div. Chem. Sci. 1990, 39, 401–402. [Google Scholar] [CrossRef]
  82. Makhaeva, G.F.; Malygin, V.V.; Yakubov, S.M.; Gorbunov, S.M. Investigation of the relationship between structure and antiesterase activity in a series of O-phosphorylated oximes. II. Dialkylphosphates and methylphosphonates. Pharm. Chem. J. 1994, 28, 620–625. [Google Scholar] [CrossRef]
  83. Radchenko, E.V.; Makhaeva, G.F.; Sokolov, V.B.; Palyulin, V.A.; Zefirov, N.S. Study of the structural determinants of acute and delayed neurotoxicity of O-phosphorylated oximes by molecular field topology analysis (MFTA). Dokl. Biochem. Biophys. 2009, 429, 309–314. [Google Scholar] [CrossRef] [PubMed]
  84. Mirzayanov, V. State Secrets: An Insider’s Chronicle of the Russian Chemical Weapons Program; Outskirt Press: Parker, CO, USA, 2008. [Google Scholar]
  85. Pitschmann, V. Overall View of Chemical and Biochemical Weapons. Toxins 2014, 6, 1761–1784. [Google Scholar] [CrossRef]
  86. Mirzayanov, V. Dismantling the Soviet/Russian Chemical Weapons Complex: An Insider’s Viev. In Chemical Weapons, Disarmament in Russia: Problems and Prospects; Stimson Center: Washington, DC, USA, 1995. [Google Scholar]
  87. Hoenig, S.L. Compendium of Chemical Warfare Agents; Springer: Berlin/Heidelberg, Germany, 2007. [Google Scholar]
  88. Hosseini, S.E.; Saeidian, H.; Amozadeh, A.; Naseri, M.T.; Babri, M. Fragmentation pathways and structural characterization of organophosphorus compounds related to the Chemical Weapons Convention by electron ionization and electrospray ionization tandem mass spectrometry. Rapid Commun. Mass Spectrom. 2016, 30, 2585–2593. [Google Scholar] [CrossRef]
  89. Münchenberg, J.; Thünnessen, H.; Jones, P.G.; Schmutzler, R. Synthesis of Organophospho-nous-N-(N′,N′,N″,N″-tetramethyl)guanidinide Fluorides and their Reaction with Chalcogens and Triphenylmethyl Azide: Synthesis and Characterization of Organochalcogeno- and Phenyltriphenylmethyl-irnino-phosphonic-N-(N′,N\N″,N″-tetramethyl)-guanidinide Fluorides. Z. Naturforsch. B Chem. Sci. 1996, 51, 1150–1160. [Google Scholar] [CrossRef]
  90. Nepovimova, E.; Kuca, K. Chemical warfare agent NOVICHOK—Mini-review of available data. Food Chem. Toxicol. 2018, 121, 343–350. [Google Scholar] [CrossRef]
  91. Franca, T.C.C.; Kitagawa, D.A.S.; Cavalcante, S.F.d.A.; da Silva, J.A.V.; Nepovimova, E.; Kuca, K. Novichoks: The Dangerous Fourth Generation of Chemical Weapons. Int. J. Mol. Sci. 2019, 20, 1222. [Google Scholar] [CrossRef]
  92. Kloske, M.; Witkiewicz, Z. Novichoks—The A group of organophosphorus chemical warfare agents. Chemosphere 2019, 221, 672–682. [Google Scholar] [CrossRef]
  93. Noga, M.; Jurowski, K. What do we currently know about Novichoks? The state of the art. Arch. Toxicol. 2023, 97, 651–661. [Google Scholar] [CrossRef] [PubMed]
  94. Jeong, K.; Lee, J.-Y.; Woo, S.; Kim, D.; Jeon, Y.; Ryu, T.I.; Hwang, S.-R.; Jeong, W.-H. Vapor Pressure and Toxicity Prediction for Novichok Agent Candidates Using Machine Learning Model: Preparation for Unascertained Nerve Agents after Chemical Weapons Convention Schedule 1 Update. Chem. Res. Toxicol. 2022, 35, 774–781. [Google Scholar] [CrossRef] [PubMed]
  95. Bhakhoa, H.; Rhyman, L.; Ramasami, P. Theoretical study of the molecular aspect of the suspected novichok agent A234 of the Skripal poisoning. R. Soc. Open Sci. 2019, 6, 181831. [Google Scholar] [CrossRef] [PubMed]
  96. Harvey, S.P.; McMahon, L.R.; Berg, F.J. Hydrolysis and enzymatic degradation of Novichok nerve agents. Heliyon 2020, 6, e03153. [Google Scholar] [CrossRef] [PubMed]
  97. Imrit, Y.A.; Bhakhoa, H.; Sergeieva, T.; Danés, S.; Savoo, N.; Elzagheid, M.I.; Rhyman, L.; Andrada, D.M.; Ramasami, P. A theoretical study of the hydrolysis mechanism of A-234; the suspected novichok agent in the Skripal attack. RSC Adv. 2020, 10, 27884–27893. [Google Scholar] [CrossRef]
  98. Vieira, L.A.; Almeida, J.S.; França, T.C.; Borges, I. Electronic and spectroscopic properties of A-series nerve agents. Comput. Theor. Chem. 2021, 1202, 113321. [Google Scholar] [CrossRef]
  99. Chernicharo, F.C.S.; Modesto-Costa, L.; Borges, I. Simulation of the electron ionization mass spectra of the Novichok nerve agent. J. Mass Spectrom. 2021, 56, e4779. [Google Scholar] [CrossRef]
  100. Jeong, K.; Choi, J. Theoretical study on the toxicity of ‘Novichok’ agent candidates. R. Soc. Open Sci. 2019, 6, 190414. [Google Scholar] [CrossRef]
  101. Noga, M.; Michalska, A.; Jurowski, K. The prediction of hydrolysis and biodegradation of Novichoks using in silico toxicology methods. Sci. Total. Environ. 2023, 890, 164241. [Google Scholar] [CrossRef]
  102. OPCW. Consolidated Text of Adopted Changes to Schedule 1 of the Annex on Chemicals to the Chemical Weapons Convention; OPCW: The Hague, The Netherlands, 2019; Available online: https://www.opcw.org/sites/default/files/documents/2019/12/s-1820-2019%28e%29.pdf (accessed on 26 February 2025).
  103. OPCW Executive Council. List of Newly Validated Data on Scheduled Chemicals for Inclusions in the OPCW Central Analytical Database; OPCW Executive Council: The Hague, The Netherlands, 2018; Available online: https://www.opcw.org/sites/default/files/documents/2024/03/EC-105-DC-1.pdf (accessed on 26 February 2025).
  104. Ledgard, J. The Preparatory Manual of Chemical Warfare Agents; The Paranoid Publications Group: Cardiff, UK, 2003. [Google Scholar]
  105. Ledgard, J. A Laboratory History of Chemical Warfare Agents, 2nd ed.; The Paranoid Publications Group: Cardiff, UK, 2007. [Google Scholar]
  106. Ledgard, J. The Preparatory Manual of Chemical Warfare Agents, 3rd ed.; Lightning Source UK Ltd: Milton Keynes, UK, 2012. [Google Scholar]
  107. Saeidian, H.; Ashrafi, D.; Sarabadani, M.; Naseri, M.T.; Babri, M. Mass spectrometric study on O(S)-alkyl N,N-dimethylamino alkylphosphonates (alkylphosphonothiolates) for Chemical Weapons Convention verification purposes. Int. J. Mass Spectrom. 2012, 319–320, 9–16. [Google Scholar] [CrossRef]
  108. Saeidian, H.; Babri, M.; Ashrafi, D.; Sarabadani, M.; Naseri, M.T. Fragmentation pathways of O-alkyl methylphosphonothionocyanidates in the gas phase: Toward unambiguous structural characterization of chemicals in the Chemical Weapons Convention framework. Anal. Bioanal. Chem. 2013, 405, 6749–6759. [Google Scholar] [CrossRef] [PubMed]
  109. Saeidian, H.; Hosseini, S.E.; Amozadeh, A.; Naseri, M.T.; Babri, M. EI-MS and ESI–MS/MS study of O,O -dialkyl(diaryl) methylphosphonoselenoates. Int. J. Mass Spectrom. 2016, 409, 44–52. [Google Scholar] [CrossRef]
  110. Picazas-Márquez, N.; Sierra, M.; Nova, C.; Moreno, J.M.; Aboitiz, N.; de Rivas, G.; Sierra, M.A.; Martínez-Álvarez, R.; Gómez-Caballero, E. GC-MS Study of Mono- and Bishaloethylphosphonates Related to Schedule 2.B.04 of the Chemical Weapons Convention: The Discovery of a New Intramolecular Halogen Transfer. J. Am. Soc. Mass Spectrom. 2016, 27, 1510–1519. [Google Scholar] [CrossRef] [PubMed]
  111. Akerfeldt, S.; Fagerlind, L. Selenophosphorus Compounds as Powerful Cholinesterase Inhibitors. J. Med. Chem. 1967, 10, 115–116. [Google Scholar] [CrossRef]
  112. Saeidian, H.; Hosseini, S.E.; Babri, M. DFT calculations, microsynthesis and characterization of isopropyl methylphosphonoselenofluoridate [sarin-Se]. Phosphorus Sulfur Silicon Relat. Elem. 2018, 193, 587–592. [Google Scholar] [CrossRef]
  113. Saeidian, H.; Karimabad, A.S.; Payeghadr, M.; Babri, M. GC/MS and DFT studies of S,S-dialkyl methylphosphonothioloselenoates related to Schedule 2.B.04 of Chemical Weapons Convention. J. Sulfur Chem. 2019, 40, 516–528. [Google Scholar] [CrossRef]
  114. Soltaninejad, K.; Shadnia, S. History of the Use and Epidemiology of Organophosphorus Poisoning. In Basic and Clinical Toxicology of Organophosphorus Compounds; Balali-Mood, M., Abdollahi, M., Eds.; Springer: London, UK, 2014; pp. 25–43. [Google Scholar]
  115. Balali-Mood, B. Chemistry and Classification of OP Compounds. In Basic and Clinical Toxicology of Organophosphorus Compounds; Balali-Mood, M., Abdollahi, M., Eds.; Springer: London, UK, 2014; pp. 1–23. [Google Scholar]
  116. Young, R.; Watson, A. Organophosphate nerve agents. In Handbook of Toxicology of Chemical Warfare Agents, 3rd ed.; Gupta, R.C., Ed.; Academic Press: Cambridge, MA, USA, 2020; pp. 97–126. [Google Scholar]
  117. Nepovimova, E.; Kuca, K. Novichoks. In Handbook of Toxicology of Chemical Warfare Agents, 3rd ed.; Gupta, R.C., Ed.; Academic Press: Cambridge, MA, USA, 2020; pp. 143–148. [Google Scholar]
  118. Sciuto, A.M.; Kodavanti, U.P. The respiratory toxicity of chemical warfare agents. In Handbook of Toxicology of Chemical Warfare Agents, 3rd ed.; Gupta, R.C., Ed.; Academic Press: Cambridge, MA, USA, 2020; pp. 515–544. [Google Scholar]
  119. Benschop, H.P.; De Jong, L.P.A. Nerve agent stereoisomers: Analysis, isolation and toxicology. Acc. Chem. Res. 1988, 21, 368–374. [Google Scholar] [CrossRef]
  120. Worek, F.; Koller, M.; Thiermann, H.; Szinicz, L. Diagnostic aspects of organophosphate poisoning. Toxicology 2005, 214, 182–189. [Google Scholar] [CrossRef]
  121. Zoltani, C.K. The cardiovascular system as a target of chemical warfare agents. In Handbook of Toxicology of Chemical Warfare Agents, 3rd ed.; Gupta, R.C., Ed.; Academic Press: Cambridge, MA, USA, 2020; pp. 545–565. [Google Scholar]
  122. John, H.; Balszuweit, F.; Steinritz, D.; Kehe, K.; Worek, F.; Thiermann, H. Toxicokinetic aspects of nerve agents and ves-icants. In Handbook of Toxicology of Chemical Warfare Agents; Gupta, R.C., Ed.; Academic Press: Cambridge, MA, USA, 2020; pp. 875–919. [Google Scholar]
  123. Gordon, J.J.; Inns, R.H.; Johnson, M.K.; Leadbeater, L.; Maidment, M.P.; Upshall, D.G.; Cooper, G.H.; Rickard, R.L. The delayed neuropathic effects of nerve agents and some other organophosphorus compounds. Arch. Toxicol. 1983, 52, 71–82. [Google Scholar] [CrossRef]
  124. SIPRI Fact Sheet, Chemical Warfare in the Iraq-Iran War. 1984. Available online: https://www.sipri.org/sites/default/files/files/FS/SIPRIFS8405.pdf (accessed on 3 December 2024).
  125. Shleynov, R. Novichok Has Already Killed. 2018. Available online: https://www.occrp.org/en/investigations/7905-novichok-has-already-killed (accessed on 26 February 2025).
  126. Report of the Russian Academy of Sciences of 1 November 1995, No. 12510-2173/393. Available online: https://cdn.occrp.org/projects/documents/website-documents-folder/novichok-has-already-killed/substance-analysis-russian-academy-of-sciences.pdf (accessed on 3 December 2024).
  127. Report of the Ministry of Internal Affairs of 3 November 1995, No. 37/9-4336. Available online: https://cdn.occrp.org/projects/documents/website-documents-folder/novichok-has-already-killed/substance-analysis-interior-ministry.pdf (accessed on 5 April 2024).
  128. United Nations Mission to Investigate Allegations of the Use of Chemical Weapons in the Syrian Arab Republic Final Report. 2013. Available online: https://digitallibrary.un.org/record/756814?v=pdf (accessed on 3 December 2024).
  129. Report of the OPCW Fact-Finding Mission in Syria Regarding Alleged Incidents in Ltamenah, the Syrian Arab Republic 24 and 25 March 2017, 13 June 2018, OPCW, S/1636/2018. Available online: https://www.opcw.org/sites/default/files/documents/S_series/2018/en/s-1636-2018_e_.pdf (accessed on 26 February 2025).
  130. Laws and Customs of War on Land (Hague IV), 18 October 1907. Available online: https://avalon.law.yale.edu/20th_century/hague04.asp (accessed on 18 April 2024).
  131. Protocol for the Prohibition of the Use in War of Asphyxiating, Poisonous or Other Gases, and of Bacteriological Methods of Warfare, Genewa, 17 June 1925. Available online: https://treaties.unoda.org/t/1925 (accessed on 18 April 2024).
  132. Resolution No. A/RES/47/39 Convention on the Prohibition of the Development, Production, Stockpiling, and Use of Chemical Weapons and on Their Destruction, 74th Plenary Meeting, 30 November 1992. Available online: https://docs.un.org/en/A/RES/47/39 (accessed on 26 February 2025).
  133. Bajgar, J.; Fusek, J.; Kassa, J.; Kuca, K.; Jun, D. Global impact of chemical warfare agents used before and after 1945. In Handbook of Toxicology of Chemical Warfare Agents; Gupta, R.C., Ed.; Academic Press: Cambridge, MA, USA, 2020; pp. 27–36. [Google Scholar]
  134. Chemical Weapons Convention. 1993. Available online: https://www.opcw.org/chemical-weapons-convention (accessed on 26 February 2025).
  135. Anex on Chemicals Schedule 1. Available online: https://www.opcw.org/chemical-weapons-convention/annexes/annex-chemicals/schedule-1 (accessed on 26 February 2025).
  136. Anex on Chemicals Schedule 2. Available online: https://www.opcw.org/chemical-weapons-convention/annexes/annex-chemicals/schedule-2 (accessed on 26 February 2025).
  137. Anex on Chemicals Schedule 3. Available online: https://www.opcw.org/chemical-weapons-convention/annexes/annex-chemicals/schedule-3 (accessed on 26 February 2025).
  138. OPCW. Report of the Sixteenth Session of the Scientific Advisory Board; OPCW: The Hague, The Netherlands, 2011; Available online: https://www.opcw.org/sites/default/files/documents/SAB/en/sab-16-01_e_.pdf (accessed on 26 February 2025).
  139. Summary of the Report on Activities Carried Out in Support of a Request for Technical Assistance by the United Kingdom of Great Britan and Northern Ireland (TAV/02/2018), 12 April 2018, OPCW, S/1612/2018. Available online: https://www.opcw.org/sites/default/files/documents/S_series/2018/en/s-1612-2018_e___1_.pdf (accessed on 26 February 2025).
  140. Note by the Director-General: Request for Information from Staties Parties on New Types of Nerve Agents, 2 May 2018, OPCW, S/1621/2018. Available online: https://www.opcw.org/sites/default/files/documents/S_series/2018/en/s-1621-2018_e_.pdf (accessed on 26 February 2025).
  141. OPCW. Response to the Director-General’s Request to the Scientific Advisory Board to Provide Advice on New Types of Nerve Agents; OPCW: The Hague, The Netherlands, 2018. [Google Scholar]
  142. Summary of the Report on Activities Carried out in Support of a Request for Technical Assistance (TAV/03/18 and TAV/03B/18), 4 September 2018, OPCW, S/1671/2018. Available online: https://www.opcw.org/sites/default/files/documents/2018/09/s-1671-2018%28e%29_0.pdf (accessed on 26 February 2025).
  143. OPCW. Note by the Director-General, Joint Proposal by Canada, The Netherlands, and the United States of America for A Technical Change to Schedule 1 of the Annex on Chemicals to the CWC; OPCW: The Hague, The Netherlands, 2018. [Google Scholar]
  144. OPCW. Russian Federation Considerations Regarding the Schedules of Chemicals of the Annex on Chemicals to the Convention on the Prohibition of the Development, Production, Stockpiling and Use of Chemical Weapons and on Their Destruction; OPCW: The Hague, The Netherlands, 2018. [Google Scholar]
  145. OPCW. Note by the Director-General, Proposal to Introduce Additions to the Schedules of Chemicals of the Annex on Chemicals to the Convention on the Prohibition of the Development, Production, Stockpiling and Use of Chemical Weapons and on Their Destruction; OPCW: The Hague, The Netherlands, 2018. [Google Scholar]
  146. OPCW. Evaluation of the Proposal Submitted by Canada, the Netherlands and the United States of America for a Change to the Annex on Chemical Weapons Convention; OPCW: The Hague, The Netherlands, 2018. [Google Scholar]
  147. OPCW. Technical Change to Schedule 1 of the Annex on Chemicals to the Chemical Weapons Convention; OPCW: The Hague, The Netherlands, 27 November 2019; Available online: https://www.opcw.org/sites/default/files/documents/2019/11/c24dec04%28e%29.pdf (accessed on 26 February 2025).
  148. OPCW. Changes to Schedule 1 of the Annex on Chemicals to the Chemical Weapons Convention, 27 November 2019, OPCW, C-24/DEC.5. Available online: https://www.opcw.org/sites/default/files/documents/2019/11/c24dec05%28e%29.pdf (accessed on 26 February 2025).
  149. Timperley, C.M.; Sellers, D.J.; Waters, M.J. Fluorinated phosphorus compounds: Part A lack of anticholinesterase activity for four tris(fluoroalkyl) phosphates. J. Fluor. Chem. 2001, 107, 155–158. [Google Scholar] [CrossRef]
  150. Timperley, C.M.; Arbon, R.E.; Saunders, S.A.; Waters, M.J. Fluorinated phosphorus compounds. J. Fluor. Chem. 2002, 113, 65–78. [Google Scholar] [CrossRef]
  151. Timperley, C.M.; Kirkpatrick, S.; Sandford, M.; Waters, M.J. Fluorinated phosphorus compounds: Part Bis(fluoroalkyl) S-alkyl phosphorothiolates and tris(fluoroalkyl) phosphorothionates. J. Fluor. Chem. 2005, 126, 902–906. [Google Scholar] [CrossRef]
  152. OPCW. Summary of the Report on Activities Carried out in Support of a Request for Technical Assistance by Germany (TAV/01/20), 6 October 2020, OPCW, S/1906/2020. Available online: https://www.opcw.org/sites/default/files/documents/2020/10/s-1906-2020%28e%29.pdf (accessed on 26 February 2025).
  153. Mogl, S. Sampling and Analysis in the Chemical Weapons Convention and the OPCW Mobile Laboratory. In Chemical Weapons convention Chemical Analysis: Sample Collection, Preparation and Analytical Methods; Mesilaakso, M., Ed.; Wiley: Chichester, UK, 2005; pp. 7–31. [Google Scholar]
  154. Black, R.; Timperley, C.; Forman, J.; Kiljunen, H. Chemicals. In Recommended Operating Procedures for Analysis in the Verification of Chemical Disarmament—Blue Book; Vanninen, P., Ed.; University of Helsinki: Helsinki, Finland, 2023; pp. 35–85. [Google Scholar]
  155. Pontes, G.; Schneider, J.; Brud, P.; Benderitter, L.; Fourie, B.; Tang, C.; Timperley, C.M.; Forman, J.E. Nomenclature, Chemical Abstracts Service Numbers, Isomer Enumeration, Ring Strain, and Stereochemistry: What Does Any of This Have to Do with an International Chemical Disarmament and Nonproliferation Treaty? J. Chem. Educ. 2020, 97, 1715–1730. [Google Scholar] [CrossRef]
  156. Rücker, C.; Meringer, M.; Wassermann, A. Comment on “Nomenclature, Chemical Abstracts Service Numbers, Isomer Enumeration, Ring Strain, and Stereochemistry: What Does Any of This Have to Do with an International Chemical Disarmament and Nonproliferation Treaty?”. J. Chem. Educ. 2021, 98, 1465–1467. [Google Scholar] [CrossRef]
  157. Timperley, C.M.; Forman, J.E. Reply to “Comment on ‘Nomenclature, Chemical Abstracts Service Numbers, Isomer Enumeration, Ring Strain, and Stereochemistry: What Does Any of This Have to Do with an International Chemical Disarmament and Nonproliferation Treaty?’”. J. Chem. Educ. 2021, 98, 1468–1471. [Google Scholar] [CrossRef]
  158. Response to the Director-General’s Request to the Scientific Advisory Board to Provide Further Advice on Scheduled Chemicals, 28 April 2016, OPCW, SAB-23/WP.1. Available online: https://www.opcw.org/sites/default/files/documents/SAB/en/sab-23-wp01_e_.pdf (accessed on 26 February 2025).
Figure 1. Structure of alkylphosphonic dichlorides that can be used for the synthesis of organophosphorus CWA.
Figure 1. Structure of alkylphosphonic dichlorides that can be used for the synthesis of organophosphorus CWA.
Molecules 30 01615 g001
Figure 2. Structure of tabun ethyl analogue.
Figure 2. Structure of tabun ethyl analogue.
Molecules 30 01615 g002
Figure 3. Compounds obtained by Lange and co-workers.
Figure 3. Compounds obtained by Lange and co-workers.
Molecules 30 01615 g003
Figure 4. Structure of tabun.
Figure 4. Structure of tabun.
Molecules 30 01615 g004
Figure 5. Compounds synthesised during World War II: sarin, cyclosarin, soman, and ethyl sarin. Where -iPr—isopropyl; -cHe—cyclohexyl; -Pi—pinacolyl.
Figure 5. Compounds synthesised during World War II: sarin, cyclosarin, soman, and ethyl sarin. Where -iPr—isopropyl; -cHe—cyclohexyl; -Pi—pinacolyl.
Molecules 30 01615 g005
Figure 6. Examples of compounds obtained in the United Kingdom: DFP, fluorotabun, and dimefox.
Figure 6. Examples of compounds obtained in the United Kingdom: DFP, fluorotabun, and dimefox.
Molecules 30 01615 g006
Figure 7. The compound known under the code name of Ro 3-0422.
Figure 7. The compound known under the code name of Ro 3-0422.
Molecules 30 01615 g007
Figure 8. Amiton (left) and its isopropyl analogue (right).
Figure 8. Amiton (left) and its isopropyl analogue (right).
Molecules 30 01615 g008
Figure 9. Examples of compounds obtained by Tammelin.
Figure 9. Examples of compounds obtained by Tammelin.
Molecules 30 01615 g009
Figure 10. Structure of armine.
Figure 10. Structure of armine.
Molecules 30 01615 g010
Figure 11. The general structure of the V-series compounds.
Figure 11. The general structure of the V-series compounds.
Molecules 30 01615 g011
Figure 12. The compound with the code name EA 1511 and the VP symbol.
Figure 12. The compound with the code name EA 1511 and the VP symbol.
Molecules 30 01615 g012
Figure 13. Structure assigned to Subclass IV [50].
Figure 13. Structure assigned to Subclass IV [50].
Molecules 30 01615 g013
Figure 14. Phosphonate esters of alkyl acetoacetates.
Figure 14. Phosphonate esters of alkyl acetoacetates.
Molecules 30 01615 g014
Figure 15. The GV (or IVA) family of compounds [56].
Figure 15. The GV (or IVA) family of compounds [56].
Molecules 30 01615 g015
Figure 16. The general structure of bicyclic organophosphorus esters.
Figure 16. The general structure of bicyclic organophosphorus esters.
Molecules 30 01615 g016
Figure 17. Examples of cyclic halophosphates.
Figure 17. Examples of cyclic halophosphates.
Molecules 30 01615 g017
Figure 18. Examples of dioxaphospholane compounds.
Figure 18. Examples of dioxaphospholane compounds.
Molecules 30 01615 g018
Figure 19. General structure of methylphosphonic acid esters with quaternary ammonium groups.
Figure 19. General structure of methylphosphonic acid esters with quaternary ammonium groups.
Molecules 30 01615 g019
Figure 20. Examples of compounds obtained by Kabachnik’s team.
Figure 20. Examples of compounds obtained by Kabachnik’s team.
Molecules 30 01615 g020
Figure 21. Examples of compounds obtained by the team of the Institute of Physiologically Active Compounds.
Figure 21. Examples of compounds obtained by the team of the Institute of Physiologically Active Compounds.
Molecules 30 01615 g021
Figure 22. Comparison of the basic structures of “Novichoks”, proposed by Hoenig and Mirzayanov.
Figure 22. Comparison of the basic structures of “Novichoks”, proposed by Hoenig and Mirzayanov.
Molecules 30 01615 g022
Figure 23. Compounds described by Münchenberg.
Figure 23. Compounds described by Münchenberg.
Molecules 30 01615 g023
Figure 24. Examples of compounds described in Ledgard’s manuals: (a) Actinkinlum (NPF-512), (b) Xansten, and (c) Lisvonfox (LL-59). The structures shown represent compounds from outside the CWC.
Figure 24. Examples of compounds described in Ledgard’s manuals: (a) Actinkinlum (NPF-512), (b) Xansten, and (c) Lisvonfox (LL-59). The structures shown represent compounds from outside the CWC.
Molecules 30 01615 g024
Figure 25. The compound described in the two reports.
Figure 25. The compound described in the two reports.
Molecules 30 01615 g025
Figure 26. Generic structures of organophosphorus compounds from Schedule 1.A.
Figure 26. Generic structures of organophosphorus compounds from Schedule 1.A.
Molecules 30 01615 g026
Figure 27. Generic structures of organophosphorus compounds introduced to Schedule 1.A in 2020.
Figure 27. Generic structures of organophosphorus compounds introduced to Schedule 1.A in 2020.
Molecules 30 01615 g027
Figure 28. Distribution of organophosphorus compounds used in Proficiency Tests 1–55 as “spiking chemicals”.
Figure 28. Distribution of organophosphorus compounds used in Proficiency Tests 1–55 as “spiking chemicals”.
Molecules 30 01615 g028
Table 1. Selected events in the history of phosphorous and organophosphorus compounds.
Table 1. Selected events in the history of phosphorous and organophosphorus compounds.
YearEventInventor
1696Discovery of phosphorus—as white phosphorusAlchemist H. Brand [1]
1808Synthesis of phosphorus trichlorideJ. L. Gay-Lussac, L. J. Thénard [2]
1808Synthesis of phosphorus pentachlorideH. Davy [3]
1843Synthesis of diphosphorus pentasulfideJ. Berzelius [6]
1847Synthesis of phosphorus oxychlorideA. Wurtz [5]
1873Synthesis of methylphosphonic dichlorideA. W. von Hofman [8]
1898Michaelis’ reactionA. Michaelis [13]
1904–1906Arbuzov’s researchA. Arbuzow [1]
1932Synthesis of compounds with a P-F bondW. Lange [17]
1951–1952Kinnear–Perren reactionJ. Clay, A. M. Kinnear, E. A. Perren [33,34]
1952Perkow reactionW. Perkow [1]
1952Kabachnik–Fields reactionM. Kabachnik, E.K. Fields (independently) [1]
1967–1969Allen–Millar–Trippett rearrangementD. W. Allen, I. T. Millar, S. Trippet [1]
Table 2. Representatives of the V-series compounds illustrated by the general formula in Figure 11.
Table 2. Representatives of the V-series compounds illustrated by the general formula in Figure 11.
VXR-VXC-VXVEVMVSVGEA-3148EA-2192
R1Etiso-Bun-BuEtEtEtEtcyclo-PeH
R2 MeMeMeEtMeEtO-EtMeMe
R3iso-PrEtEtEtEtiso-PrEtEtiso-Pr
Table 3. Representatives of compounds illustrated by the general formula in Figure 19.
Table 3. Representatives of compounds illustrated by the general formula in Figure 19.
Code NameRnX
EA 2012iso-C3H742 B(C6H5)4
EA 2054iso-C3H732 B(C6H5)4
EA 2098C2H532 B(C6H5)4
EA 2613C6H13 (pinacolyl)32 I
Table 4. Chronology of the syntheses of toxic organophosphorus compounds.
Table 4. Chronology of the syntheses of toxic organophosphorus compounds.
Year of the First SynthesisChemicalInventor(s)Source
1854Tetraethyl pyrophosphateW.P. Moschnin[11]
1898Ethyl analogue of tabunA. Schall[14]
1932Organophosphorus diestersW. Lange, G. von Kruger[17]
1936TabunG. Schrader[14]
1938SarinG. Schrader w/co-workers[16]
1941DFP (and derivatives)B. Saunders w/co-workers[27]
1944SomanR. Kuhn, K. Henkel[18]
1952AmitonR. Ghosh, J. F. Newman[36]
1952–1957VXR. Ghosh[51]
1969Phosphonate esters of alkyl acetoacetatesU.S. patent owners[53]
1960–1990Binary VX (BIGEYE bomb)U.S. Armed Forces[56]
1975Highly toxic phosphatesU.S. patent owners[66]
1970–1980GV (IVA)U.S. Armed Forces (?)[18]
1976Binary sarin (M687 155 mm sarin shell)U.S. Armed Forces[56]
1970–(?)Novichok agentsFormer USSR (?)[84]
Table 5. Acute inhalation lethality for nerve agent vapour [116].
Table 5. Acute inhalation lethality for nerve agent vapour [116].
AgentSpeciesLC50 (mg/m3)Duration (h)
GBRat (f)18.10.16
GBRat (f)6.391
GFRat (f)25.20.16
GFRat (f)5.491
VXRat (f)5.440.16
VXRat (f)0.741
Table 6. Toxicological parameters of G-, V-, and “A”-agents [117] (The data given in that table was taken from Nepovimova and Kuca review article where they did not provide any information on the species and route of administration and were transferred into their article as such).
Table 6. Toxicological parameters of G-, V-, and “A”-agents [117] (The data given in that table was taken from Nepovimova and Kuca review article where they did not provide any information on the species and route of administration and were transferred into their article as such).
AgentLCt50 (mg × min/m3)LD50 Percutaneous Administration (mg/Person)
Sarin1001700
Soman70350
VX5010
A-2326–101–2
A-23475
Table 7. Estimated number of possible compounds that can be derived from the definitions for CWC compounds included in Schedules 1, 2, and 3 [153].
Table 7. Estimated number of possible compounds that can be derived from the definitions for CWC compounds included in Schedules 1, 2, and 3 [153].
Schedule 1Estimated Number of CompoundsSchedule 2Estimated Number of CompoundsSchedule 3Number of Compounds
1.A.1˃20,000 a)2.A.113.A.11
1.A.2˃50,000 a)2.A.213.A.21
1.A.3˃200,000 a)2.A.313.A.31
1.A.492.B.4millions3.A.41
1.A.532.B.520 b)3.B.51
1.A.632.B.61003.B.61
1.A.712.B.713.B.71
1.A.812.B.813.B.81
1.A.13??? c)2.B.913.B.91
1.A.14??? c)2.B.10103.B.101
1.A.1512.B.1183.B.111
1.A.16??? c)2.B.12103.B.121
1.B.942.B.1313.B.131
1.B.10˃200,000 a)2.B.1413.B.141
1.B.111--3.B.151
1.B.121--3.B.161
----3.B.171
a) Including branched chains and cycloalkanes, excluding bicycloalkanes and stereoisomers, and excluding protonated and alkylated forms. b) Only dichlorides and difluorides (bromides and iodides also possible) [153]. c) Supplementing the table with new lists (according to the Russian side’s requests, there may be approximately 300–400 compounds from lists 1.A.13 and 1.A.14, and approximately 400 from 1.A.16) [144].
Disclaimer/Publisher’s Note: The statements, opinions and data contained in all publications are solely those of the individual author(s) and contributor(s) and not of MDPI and/or the editor(s). MDPI and/or the editor(s) disclaim responsibility for any injury to people or property resulting from any ideas, methods, instructions or products referred to in the content.

Share and Cite

MDPI and ACS Style

Boczkowski, M.; Popiel, S.; Nawała, J.; Suska, H. History of Organophosphorus Compounds in the Context of Their Use as Chemical Warfare Agents. Molecules 2025, 30, 1615. https://doi.org/10.3390/molecules30071615

AMA Style

Boczkowski M, Popiel S, Nawała J, Suska H. History of Organophosphorus Compounds in the Context of Their Use as Chemical Warfare Agents. Molecules. 2025; 30(7):1615. https://doi.org/10.3390/molecules30071615

Chicago/Turabian Style

Boczkowski, Maciej, Stanisław Popiel, Jakub Nawała, and Hubert Suska. 2025. "History of Organophosphorus Compounds in the Context of Their Use as Chemical Warfare Agents" Molecules 30, no. 7: 1615. https://doi.org/10.3390/molecules30071615

APA Style

Boczkowski, M., Popiel, S., Nawała, J., & Suska, H. (2025). History of Organophosphorus Compounds in the Context of Their Use as Chemical Warfare Agents. Molecules, 30(7), 1615. https://doi.org/10.3390/molecules30071615

Article Metrics

Back to TopTop