Dual Visible and NIR Emission, Mechanoluminescence, and Magnetic Properties of PPh4[LnL4] Chelates with Diphenyl-N-Benzoylamidophosphate
Abstract
1. Introduction
2. Results and Discussion
2.1. X-Ray Analysis
2.2. Photoluminescence Analysis
2.3. Mechanoluminescence Analysis
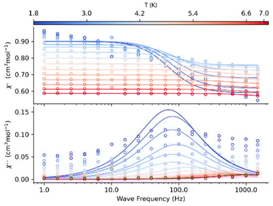
2.4. Magnetic Properties
2.4.1. DC Magnetic Measurements
2.4.2. AC Susceptibility
3. Experimental Section
3.1. Methods
3.2. Synthesis
4. Conclusions
Supplementary Materials
Author Contributions
Funding
Institutional Review Board Statement
Informed Consent Statement
Data Availability Statement
Acknowledgments
Conflicts of Interest
References
- Bünzli, J.-C.G. Rising Stars in Science and Technology: Luminescent Lanthanide Materials. Eur. J. Inorg. Chem. 2017, 44, 5058–5063. [Google Scholar] [CrossRef]
- Parker, D.; Fradgley, J.D.; Wong, K.-L. The design of responsive luminescent lanthanide probes and sensors. Chem. Soc. Rev. 2021, 50, 8193–8213. [Google Scholar] [CrossRef] [PubMed]
- Xu, H.; Sun, Q.; An, Z.; Wei, Y.; Liu, X. Electroluminescence from europium(III) complexes. Coord. Chem. Rev. 2015, 293–294, 228–249. [Google Scholar] [CrossRef]
- Kido, J.; Okamoto, Y. Organo lanthanide metal complexes for electroluminescent materials. Chem. Rev. 2002, 102, 2357–2368. [Google Scholar] [CrossRef] [PubMed]
- Zhang, K.; Lu, Z.-Y.; Feng, C.-C.; Yang, Z.-R.; Nie, P.-P.; Chen, T.-T.; Zhang, L.-F.; Ma, S.; Shen, Y.-J.; Lin, M.-L. Series of Highly Luminescent Macrocyclic Sm(III) Complexes: Functional Group Modifications Together with Luminescence Performances in Solid-State, Solution, and Doped Poly(methylmethacrylate) Film. ACS Omega 2019, 4, 18334–18341. [Google Scholar] [CrossRef]
- Hussain, S.K.; Giang, T.T.H.; Yu, J.S. UV excitation band induced novel Na3Gd(VO4)2:RE3+ (RE3+ = Eu3+ or Dy3+ or Sm3+) double vanadate phosphors for solid-state lightning applications. J. Alloys Compd. 2018, 739, 218–226. [Google Scholar] [CrossRef]
- Mara, D.; Artizzu, F.; Goura, J.; Jayendran, M.; Bokic, B.; Kolaric, B.; Verbiesta, T.; Van Deun, R. Molecular dysprosium complexes for white-light and near-infrared emission controlled by the coordination environment. J. Lumin. 2022, 243, 118646. [Google Scholar] [CrossRef]
- Manzur, J.; Costa de Santana, R.; Maia, L.J.Q.; Vega, A.; Spodine, E. Tuning White Light Emission in Dinuclear Phenoxo Bridged DyIII Complexes. Inorg. Chem. 2019, 58, 10012–10018. [Google Scholar] [CrossRef]
- Feng, J.; Zhang, H.-J.; Song, S.-Y.; Li, Z.-F.; Sun, L.-N.; Xing, Y.; Guo, X.-M. Syntheses, crystal structures, visible and near-IR luminescent properties of ternary lanthanide (Dy3+, Tm3+) complexes containing 4,4,4-trifluoro-1-phenyl-1,3-butanedione and 1,10-phenanthroline. J. Lumin. 2008, 128, 1957–1964. [Google Scholar] [CrossRef]
- Zang, F.X.; Hong, Z.R.; Li, W.L.; Li, M.T.; Sun, X.Y. 1.4 μm band electroluminescence from organic light-emitting diodes based on thulium complexes. Appl. Phys. Lett. 2004, 84, 2679–2681. [Google Scholar] [CrossRef]
- Banerjee, S.; Kumar, G.A.; Emge, T.J.; Riman, R.E.; Brennan, J.G. Thiolate-Bound Thulium Compounds: Synthesis, Structure, and NIR Emission. Chem. Mater. 2008, 20, 4367–4373. [Google Scholar] [CrossRef]
- Eliseeva, S.V.; Bunzli, J.-C.G. Lanthanide luminescence for functional materials and bio-sciences. Chem. Soc. Rev. 2010, 39, 189–227. [Google Scholar] [CrossRef] [PubMed]
- Comby, S.; Bunzli, J.-C.G. Lanthanide near-infrared lumines-cence in molecular probes and devices. In Handbook on the Physics and Chemistry of Rare Earth; Gscheidner, K.A., Jr., Bunzli, J.-C.G., Pecharsky, V.K., Eds.; Elsevier Science: Amsterdam, The Netherlands, 2007; Volume 37, pp. 217–470. [Google Scholar]
- Tang, J.; Zhang, P. Lanthanide Single Molecule Magnets; Springer-Verlag: Berlin/Heidelberg, Germany, 2015. [Google Scholar]
- Woodruff, D.N.; Winpenny, R.E.P.; Layfield, R.A. Lanthanide Single-Molecule Magnets. Chem. Rev. 2013, 113, 5110–5148. [Google Scholar] [CrossRef]
- McAdams, S.G.; Ariciu, A.-M.; Kostopoulos, A.K.; Walsh, J.P.S.; Tuna, F. Molecular single-ion magnets based on lanthanides and actinides: Design considerations and new advances in the context of quantum technologies. Coord. Chem. Rev. 2017, 346, 216–239. [Google Scholar] [CrossRef]
- Aromí, G.; Luis, F.; Roubeau, O. Lanthanide Complexes as Realizations of Qubits and Qugates for Quantum Computing. In Lanthanides and Actinides in Molecular Magnetism; Layfield, R.A., Murugesu, M., Eds.; Wiley-VCH: Weinheim, Germany, 2015; pp. 185–221. [Google Scholar]
- Zhang, P.; Guo, Y.-N.; Tang, J. Recent advances in dysprosium-based single molecule magnets: Structural overview and synthetic strategies. Coord. Chem. Rev. 2013, 257, 1728–1763. [Google Scholar] [CrossRef]
- Wang, J.; Sun, C.-Y.; Zheng, Q.; Wang, D.-Q.; Chen, Y.-T.; Ju, J.-F.; Sun, T.-M.; Cui, Y.; Ding, Y.; Tang, Y.-F. Lanthanide Single-molecule Magnets: Synthetic Strategy, Structures, Properties and Recent Advances. Chem. Asian J. 2023, 18, e202201297. [Google Scholar] [CrossRef]
- Kariaka, N.S.; Trush, V.A.; Smola, S.S.; Fadieiev, Y.M.; Dyakonenko, V.V.; Shishkina, S.V.; Sliva, T.Y.; Amirkhanov, V.M. Highly luminescent diphenyl-N-benzoylamidophosphate based lanthanide tetrakis-complexes. J. Lumin. 2018, 139, 98–106. [Google Scholar] [CrossRef]
- Pham, Y.H.; Trush, V.A.; Carneiro Neto, A.N.; Korabik, M.; Sokolnicki, J.; Weselski, M.; Malta, O.L.; Amirkhanov, V.M.; Gawryszewska, P. Lanthanide Complexes with N-Phosphorylated Carboxamide as UV Converters with Excellent Emission Quantum Yield and SingleIon Magnet Behavior. J. Mater. Chem. C 2020, 8, 9993–10009. [Google Scholar] [CrossRef]
- Pham, Y.H.; Trush, V.A.; Korabik, M.; Amirkhanov, V.M.; Gawryszewska, P. Nd3+ and Yb3+ complexes with N-(diphenylphosphoryl)pyrazine-2-carboxamide as UV-NIR radiation converters and single-ion magnets. Dye. Pigment. 2020, 186, 108986. [Google Scholar] [CrossRef]
- Llunell, M.; Casanova, D.; Cirera, J.; Alemany, P.; Alvarez, S. SHAPE. Universitat de Barcelona: Barcelona, Spain, 2013. [Google Scholar]
- Carneiro Neto, A.N.; Teotonio, E.E.S.; de S’a, G.F.; Brito, H.F.; Legendziewicz, J.; Carlos, L.D.; Felinto, M.C.F.C.; Gawryszewska, P.; Moura, R.T., Jr.; Longo, R.L.; et al. Modeling intramolecular energy transfer in lanthanide chelates: A critical review and recent advances. In Handbook on the Physics and Chemistry of Rare Earths; Bünzli, J.-C.G., Pecharsky, V.K., Eds.; Elsevier: Amsterdam, The Netherlands, 2019; Volume 56, pp. 55–162. [Google Scholar]
- Kasprzycka, E.; Trush, V.A.; Amirkhanov, V.M.; Jerzykiewicz, L.; Malta, O.L.; Legendziewicz, J.; Gawryszewska, P. Contribution of energy transfer from the singlet state to the sensitization of Eu3+ and Tb3+ luminescence by sulfonylamidophosphates. Chem. A Eur. J. 2017, 23, 1318–1330. [Google Scholar] [CrossRef]
- Kasprzycka, E.; Trush, V.A.; Jerzykiewicz, L.; Amirkhanov, V.M.; Watras, A.; Sokolnicki, J.; Malta, O.L.; Gawryszewska, P. Lanthanide complexes with phosphorylated 2- naphthylsulfonamides ligands as electromagnetic radiation converters. Dye. Pigment. 2019, 160, 439–449. [Google Scholar] [CrossRef]
- Thor, W.; Kai, H.-Y.; Yeung, Y.-H.; Wu, Y.; Cheung, T.-L.; Tam, L.K.B.; Zhang, Y.; Charbonnière, L.J.; Tanner, P.A.; Wong, K.-L. Unearthing the Real-Time Excited State Dynamics from Antenna to Rare Earth Ions Using Ultrafast Transient Absorption. JACS Au 2024, 4, 3813–3822. [Google Scholar] [CrossRef]
- Carnall, W.T.; Fields, P.R.; Rajnak, K. Electronic energy levels in the trivalent lanthanide aquo ions. I. Pr3+, Nd3+, Pm3+, Sm3+, Dy3+, Ho3+, Er3+, and Tm3+. J. Chem. Phys. 1968, 49, 4424–4442. [Google Scholar]
- Malta, O.L. Mechanisms of non-radiative energy transfer involving lanthanide ions revisited. J. Non-Cryst. Solids 2008, 354, 4770–4776. [Google Scholar] [CrossRef]
- de Mello Donegá, C.; Meijerink, A.; Blasse, G. Saturation effects in the excitation spectra of rare-earth ions. J. Lum. 1994, 62, 189–201. [Google Scholar] [CrossRef]
- Sachok, V.; Kariaka, N.; Trush, V.; Horniichuk, O.; Korovin, O.; Rusakova, N.; Dyakonenko, V.; Shishkina, S.; Lazarenko, M.; Amirkhanov, V. Novel bis-carbacylamidophosphate and its complexes of rare earth elements. Inorg. Chim. Acta 2025, 577, 122515. [Google Scholar] [CrossRef]
- Kariaka, N.S.; Smola, S.S.; Halushchenko, V.S.; Rusakova, N.V.; Sliva, T.Y.; Amirkhanov, V.M. Dual near infrared and visible highly luminescent samarium complexes based on dimethyl-N-benzoylamidophosphate. Chem. Pap. 2023, 77, 5989–5997. [Google Scholar] [CrossRef]
- Brito, H.F.; Malta, O.L.; Felinto, M.C.F.C.; Teotonio, E.E.S.; Menezes, J.F.S.; Silva, C.F.B.; Tomiyama, C.S.; Carvalh, C.A.A. Luminescence investigation of the Sm(III)-β-diketonates with sulfoxides, phosphine oxides and amides ligands. J. Alloys Compd. 2002, 344, 293–297. [Google Scholar] [CrossRef]
- Cybinska, J.; Legendziewicz, J.; Trush, V.; Reisfeld, R.; Saraidarov, T. The orange emission of single crystals and sol-gels based on Sm3+ chelates. J. Alloys Compd. 2008, 451, 94–98. [Google Scholar] [CrossRef]
- Bünzli, J.-C.G.; Wong, K.-L. Lanthanide mechanoluminescence. J. Rare Earths 2018, 36, 1–41. [Google Scholar] [CrossRef]
- Bazhin, D.N.; Kudyakova, Y.S.; Bogomyakov, A.S.; Slepukhin, P.A.; Kim, G.A.; Burgarta, Y.V.; Saloutin, V.I. Dinuclear lanthanide–lithium complexes based on fluorinated β-diketonate with acetal group: Magnetism and effect of crystal packing on mechanoluminescence. Inorg. Chem. Front. 2019, 6, 40–49. [Google Scholar] [CrossRef]
- Biju, S.; Gopakumar, N.; Bunzli, J.-C.G.; Scopelliti, R.; Kim, H.K.; Reddy, M.L.P. Brilliant Photoluminescence and Triboluminescence from Ternary Complexes of DyIII and TbIII with 3-Phenyl-4-propanoyl-5-isoxazolonate and a Bidentate Phosphine Oxide Coligand. Inorg. Chem. 2013, 52, 8750–8758. [Google Scholar] [CrossRef] [PubMed]
- Chen, W.; Zhuang, Y.; Chen, C.; Lv, Y.; Wang, M.-S.; Xie, R.-J. Lanthanide-doped metal-organic frameworks with multicolor mechanoluminescence. Sci. China Mater. 2021, 64, 931–941. [Google Scholar] [CrossRef]
- Murakami, K.; Suzuki, K.; Iwai, Y.; Okuya, M.; Shimomura, M. Color Control of the Mechanoluminescent Material Through a Combination of Color Centers. In Engineering for Sustainable Future; Várkonyi-Kóczy, A.R., Ed.; Springer Nature Switzerland AG: Cham, Switzerland, 2020; pp. 65–73, INTER-ACADEMIA 2019, LNNS 101. [Google Scholar]
- Bain, G.A.; Berry, J.F. Diamagnetic Corrections and Pascal’s Constants. J. Chem. Educ. 2008, 85, 532–536. [Google Scholar] [CrossRef]
- Chilton, N.F.; Anderson, R.P.; Turner, L.D.; Soncini, A.; Murray, K.S. PHI: A powerful new program for the analysis of anisotropic monomeric and exchange-coupled polynuclear d- and f-block complexes. J. Comput. Chem. 2013, 34, 1164–1175. [Google Scholar] [CrossRef]
- Reta, D.; Chilton, N.F. Uncertainty estimates for magnetic relaxation times and magnetic relaxation parameters. Phys. Chem. Chem. Phys. 2019, 21, 23567–23575. [Google Scholar] [CrossRef]
- Sheldrick, G.M. SHELXT-Integrated space-group and crystal-structure determination. Acta Cryst. Sec. A 2015, 71, 3–8. [Google Scholar] [CrossRef]
- Dolomanov, O.V.; Bourhis, L.J.; Gildea, R.J.; Howard, J.A.K.; Puschmann, H. Olex2: A complete structure solution, refinement and analysis program. J. Appl. Cryst. 2009, 42, 339–341. [Google Scholar] [CrossRef]












| Parameters | PPh4[NdL4] | PPh4[SmL4] | PPh4[DyL4] | |||||
|---|---|---|---|---|---|---|---|---|
| Anion 1 | Anion 2 | Anion 1 | Anion 2 | Anion 3 | Anion 1 | Anion 2 | Anion 3 | |
| d(Ln–O(P)), Å | 2.426(6) 2.427(6) 2.471(6) 2.455(6) | 2.449(9) | 2.423(11) 2.391(9) 2.449(8) 2.367(10) | 2.421(10) 2.392(9) 2.394(9) 2.428(11) | 2.440(9) 2.373(8) | 2.375(11) 2.355(10) 2.444(10) 2.350(10) | 2.345(11) 2.256(10) 2.357(10) 2.366(10) | 2.378(10) 2.303(10) |
| d(Ln–O(C)), Å | 2.463(6) 2.444(7) 2.425(6) 2.466(7) | 2.438(11) | 2.445(8) 2.420(9) 2.377(10) 2.408(9) | 2.428(10) 2.489(9) 2.433(11) 2.417(9) | 2.425(8) 2.447(8) | 2.440(9) 2.366(12) 2.356(11) 2.346(10) | 2.380(10) 2.454(10) 2.331(10) 2.425(9) | 2.394(10) 2.359(9) |
| LnIII coordination polyhedron shape (the closest) 1 | Triangular dodecahedron | Triangular dodecahedron | Square antiprism | Triangular dodecahedron | Square antiprism | Square antiprism | Triangular dodecahedron | Square antiprism |
Disclaimer/Publisher’s Note: The statements, opinions and data contained in all publications are solely those of the individual author(s) and contributor(s) and not of MDPI and/or the editor(s). MDPI and/or the editor(s) disclaim responsibility for any injury to people or property resulting from any ideas, methods, instructions or products referred to in the content. |
© 2025 by the authors. Licensee MDPI, Basel, Switzerland. This article is an open access article distributed under the terms and conditions of the Creative Commons Attribution (CC BY) license (https://creativecommons.org/licenses/by/4.0/).
Share and Cite
Kariaka, N.; Panasiuk, D.; Trush, V.; Smola, S.; Rusakova, N.; Dyakonenko, V.; Shishkina, S.; Lipa, A.; Bienko, A.; Nasalska, J.; et al. Dual Visible and NIR Emission, Mechanoluminescence, and Magnetic Properties of PPh4[LnL4] Chelates with Diphenyl-N-Benzoylamidophosphate. Molecules 2025, 30, 1245. https://doi.org/10.3390/molecules30061245
Kariaka N, Panasiuk D, Trush V, Smola S, Rusakova N, Dyakonenko V, Shishkina S, Lipa A, Bienko A, Nasalska J, et al. Dual Visible and NIR Emission, Mechanoluminescence, and Magnetic Properties of PPh4[LnL4] Chelates with Diphenyl-N-Benzoylamidophosphate. Molecules. 2025; 30(6):1245. https://doi.org/10.3390/molecules30061245
Chicago/Turabian StyleKariaka, Nataliia, Dmytro Panasiuk, Viktor Trush, Sergii Smola, Nataliia Rusakova, Viktoriya Dyakonenko, Svitlana Shishkina, Aneta Lipa, Alina Bienko, Justyna Nasalska, and et al. 2025. "Dual Visible and NIR Emission, Mechanoluminescence, and Magnetic Properties of PPh4[LnL4] Chelates with Diphenyl-N-Benzoylamidophosphate" Molecules 30, no. 6: 1245. https://doi.org/10.3390/molecules30061245
APA StyleKariaka, N., Panasiuk, D., Trush, V., Smola, S., Rusakova, N., Dyakonenko, V., Shishkina, S., Lipa, A., Bienko, A., Nasalska, J., Gawryszewska, P., & Amirkhanov, V. (2025). Dual Visible and NIR Emission, Mechanoluminescence, and Magnetic Properties of PPh4[LnL4] Chelates with Diphenyl-N-Benzoylamidophosphate. Molecules, 30(6), 1245. https://doi.org/10.3390/molecules30061245

