Hydrochar from Agricultural Waste as a Biobased Support Matrix Enhances the Bacterial Degradation of Diethyl Phthalate
Abstract
1. Introduction
2. Results and Discussions
2.1. Hydrochar Preparation and Characterization
2.1.1. VSs Conversion Through HTC
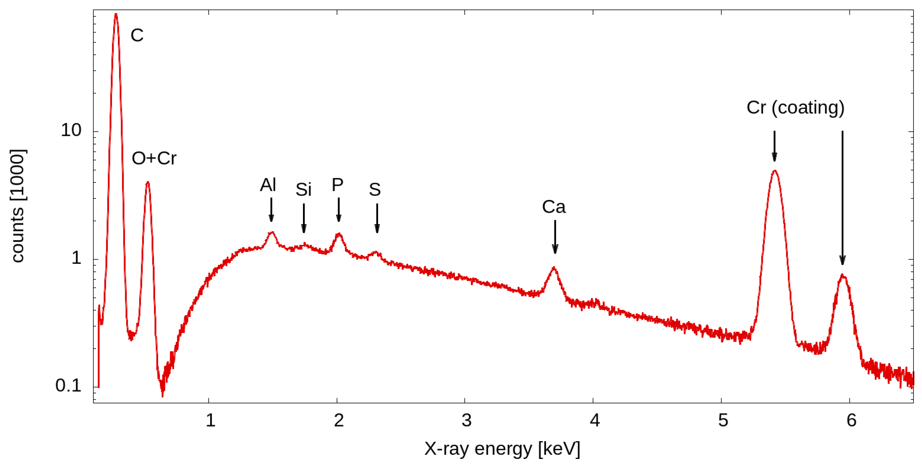
2.1.2. SEM-EDX Analysis
2.1.3. Raman Spectroscopy of VSs-HC
2.2. Adsorption of DEP by Hydrochar
2.3. Microbial DEP Removal in the Presence and Absence of Hydrochar
3. Materials and Methods
3.1. Feedstock
3.2. Hydrochar Preparation
3.3. Preparation of VSs-HC Samples Incubated with the Bacterial Consortium
3.4. Scanning Electron Microscopy (SEM) Analysis, EDX Coupled
3.5. Raman Spectroscopy
3.6. Chemicals
3.7. Isolation and Cultivation of Bacterial Consortium
3.8. Analysis of DEP by Ultra-Performance Liquid Chromatography (UPLC)
4. Conclusions
Author Contributions
Funding
Institutional Review Board Statement
Informed Consent Statement
Data Availability Statement
Acknowledgments
Conflicts of Interest
References
- Avitabile, V.; Baldoni, E.; Baruth, B.; Bausano, G.; Boysen-Urban, K.; Caldeira, C.; Camia, A.; Cazzaniga, N.; Ceccherini, G.; De Laurentiis, V.; et al. Biomass Supply and Uses in the EU; Publications Office of the European Union: Luxembourg, 2023; Available online: https://data.europa.eu/doi/10.2760/368529 (accessed on 10 December 2024).
- Kumar, R.K.S.; Sasikumar, R.; Dhilipkumar, T. Exploiting agro-waste for cleaner production: A review focusing on biofuel generation, bio-composite production, and environmental considerations. J. Clean. Prod. 2024, 435, 140536. [Google Scholar] [CrossRef]
- Lewandowski, W.M.; Ryms, M.; Kosakowski, W. Thermal Biomass Conversion: A Review. Processes 2020, 8, 516. [Google Scholar] [CrossRef]
- Gupta, N.; Mahur, B.K.; Izrayeel, A.M.D. Biomass conversion of agricultural waste residues for different applications: A comprehensive review. Environ. Sci. Pollut. Res. 2022, 29, 73622–73647. [Google Scholar] [CrossRef]
- Armanu, E.G.; Secula, M.S.; Tofanica, B.M.; Volf, I. The Impact of Biomass Composition Variability on the Char Features and Yields Resulted through Thermochemical Processes. Polymers 2024, 16, 2334. [Google Scholar] [CrossRef]
- Nabais, J.M.V.; Laginhas, C.; Carrott, P.J.M.; Carrott, M.M.L.R. Thermal conversion of a novel biomass agricultural residue (vine shoots) into activated carbon using activation with CO2. J. Anal. Appl. Pyrolysis 2010, 87, 8–13. [Google Scholar] [CrossRef]
- Armanu, G.E.; Secula, M.S.; Cimpoesu, C.; Heipieper, H.J.; Volf, I. A biobased nano/micro-structured material for microorganisms’ immobilization. In Proceedings of the 24th International Multidisciplinary Scientific GeoConference SGEM, Albena, Bulgaria, 29 June–8 July 2024; p. 24. [Google Scholar]
- Gallifuoco, A.; Papa, A.A.; Passucci, M.; Spera, A.; Taglieri, L.; Di Carlo, A. An Exploratory Study of Hydrochar as a Matrix for Biotechnological Applications. Ind. Eng. Chem. Res. 2023, 62, 11805–11813. [Google Scholar] [CrossRef]
- Bargmann, I.; Martens, R.; Rillig, M.C.; Kruse, A.; Kücke, M. Hydrochar amendment promotes microbial immobilization of mineral nitrogen. Z. Pflanzenernähr. Bodenk. 2014, 177, 59–67. [Google Scholar] [CrossRef]
- Garver, M.P.; Liu, S. Chapter 27—Development of Thermochemical and Biochemical Technologies for Biorefineries. In Bioenergy Research: Advances and Applications; Elsevier: Amsterdam, The Netherlands, 2014; pp. 457–488. [Google Scholar] [CrossRef]
- Zhang, X.; Zhang, J.; She, Y.; Li, Y.; Cheng, H.; Ji, R.; Bian, Y.; Han, J.; Jiang, X.; Song, Y.; et al. Comparison of the performance of hydrochar, raw biomass, and pyrochar as precursors to prepare porous biochar for the efficient sorption of phthalate esters. Sci. Total Environ. 2022, 10, 157511. [Google Scholar] [CrossRef] [PubMed]
- Cheng, H.; Zhou, Y.; Beiyuan, J.; Li, X.; Min, J.; Su, L.; Zhang, L.; Ji, R.; Xue, J. Insights into the effect of hydrochar-derived dissolved organic matter on the sorption of diethyl phthalate onto soil: A pilot mechanism study. Sci. Total Environ. 2024, 20, 169101. [Google Scholar] [CrossRef] [PubMed]
- Huang, L.; Zhu, X.; Zhou, S.; Cheng, Z.; Shi, K.; Zhang, C.; Shao, H. Phthalic Acid Esters: Natural Sources and Biological Activities. Toxins 2021, 13, 495. [Google Scholar] [CrossRef]
- Lü, H.; Mo, C.H.; Zhao, H.M.; Xiang, L.; Katsoyiannis, A.; Li, Y.W.; Cai, Q.Y.; Wong, M.H. Soil contamination and sources of phthalates and its health risk in China: A review. Environ. Res. 2018, 164, 417–429. [Google Scholar] [CrossRef]
- PlasticsEurope. Plastics—The Facts 2020: An Analysis of European Plastics Production, Demand and Waste Data. 2020. Available online: https://plasticseurope.org/knowledge-hub/plastics-the-facts-2020/ (accessed on 14 December 2024).
- Tran, H.T.; Nguyen, M.K.; Hoang, H.G.; Justin, M.; Hutchison, M.J.; Vu, C.T. Phthalate esters in the environment: A critical review of their occurrence and ecological risk. Chemosphere 2022, 307, 135989. [Google Scholar] [CrossRef]
- Kabulovna, D.S.; Turapovna, H.E.; Parpievna, G.N. Use of Plasticizers in Polymers. Int. J. Innov. Eng. Res. Technol. 2023, 10, 224–230. [Google Scholar]
- Baloyi, N.D.; Tekere, M.; Maphangwa, K.W.; Masindi, V. Insights Into the Prevalence and Impacts of Phthalate Esters in Aquatic Ecosystems. Front. Environ. Sci. 2021, 9, 684190. [Google Scholar] [CrossRef]
- Fortune Business Insights, Plasticizers Market Size, Share & COVID-19 Analysis, By Type (Phthalates and Non-Phthalates), By Application (Wire & Cable, Flooring & Wall Covering, Film & Sheet, Consumer Goods, Coated Fabrics, and Others), and Regional Forecast, 2023–2030. Available online: https://www.fortunebusinessinsights.com/plasticizers-market-104572 (accessed on 22 December 2024).
- Staples, A.C.; Peterson, R.D.; Parkerton, F.T.; Adams, J.W. The environmental fate of phthalate esters: A literature review. Chemosphere 1997, 35, 667–749. [Google Scholar] [CrossRef]
- Meeker, J.D.; Sathyanarayana, S.; Swan, S.H. Phthalates and other additives in plastics: Human exposure and associated health outcomes. Philos. Trans. R. Soc. Lond. B Biol. Sci. 2009, 364, 2097–2113. [Google Scholar] [CrossRef]
- Sikkema, J.; de Bont, J.A.M.; Poolman, B. Mechanisms of membrane toxicity of hydrocarbons. Microbiol. Rev. 1995, 59, 201–222. [Google Scholar] [CrossRef]
- Neumann, G.; Kabelitz, N.; Zehnsdorf, A.; Miltner, A.; Lippold, H.; Meyer, D.; Schmid, A.; Heipieper, H.J. Prediction of the adaptability of Pseudomonas putida DOT-T1E to a second phase of a solvent for economically sound two-phase biotransformations. Appl. Environ. Microbiol. 2005, 71, 6606–6612. [Google Scholar] [CrossRef]
- Weber, F.J.; de Bont, J.A.M. Adaptation mechanisms of microorganisms to the toxic effects of organic solvents on membranes. Biochim. Biophys. Acta 1996, 1286, 225–245. [Google Scholar] [CrossRef]
- Heipieper, H.J.; Keweloh, H.; Rehm, H.J. Influence of phenols on growth and membrane permeability of free and immobilized Escherichia coli. Appl. Environ. Microbiol. 1991, 57, 1213–1217. [Google Scholar] [CrossRef]
- Heipieper, H.J.; Neumann, G.; Cornelissen, S.; Meinhardt, F. Solvent-tolerant bacteria for biotransformations in two-phase fermentation systems. Appl. Microbiol. Biotechnol. 2007, 74, 961–973. [Google Scholar] [CrossRef] [PubMed]
- Muter, O. Current Trends in Bioaugmentation Tools for Bioremediation: A Critical Review of Advances and Knowledge Gaps. Microorganisms 2023, 11, 710. [Google Scholar] [CrossRef]
- Bala, S.; Garg, D.; Thirumalesh, B.V.; Sharma, M.; Sridhar, K.; Inbaraj, B.S.; Tripathi, M. Recent Strategies for Bioremediation of Emerging Pollutants: A Review for a Green and Sustainable Environment. Toxics 2022, 10, 484. [Google Scholar] [CrossRef]
- Gao, D.W.; Wen, Z.D. Phthalate esters in the environment: A critical review of their occurrence, biodegradation, and removal during wastewater treatment processes. Sci. Total Environ. 2016, 541, 986–1001. [Google Scholar] [CrossRef] [PubMed]
- Liang, D.W.; Zhang, T.; Fang, H.H.P.; He, J. Phthalates biodegradation in the environment. Appl. Microbiol. Biotechnol. 2008, 80, 183–198. [Google Scholar] [CrossRef] [PubMed]
- Yang, T.; Ren, L.; Jia, Y.; Fan, S.; Wang, J.; Wang, J.; Nahurira, R.; Wang, H.; Yan, Y. Biodegradation of Di-(2-ethylhexyl) Phthalate by Rhodococcus ruber YC-YT1 in Contaminated Water and Soil. Int. J. Environ. Res. Public Health 2018, 15, 964. [Google Scholar] [CrossRef]
- Jin, D.C.; Liang, R.X.; Dai, Q.Y.; Zhang, Y.R.; Wu, L.X.; Chao, L.W. Biodegradation of Di-n-Butyl Phthalate by Rhodococcus sp. JDC-11 and Molecular Detection of 3,4-Phthalate Dioxygenase Gene. J. Microbiol. Biotechnol. 2010, 20, 1440–1445. [Google Scholar] [CrossRef]
- Lokesh, P.; Shobika, R.; Omer, N.S.; Reddy, M.; Saravanan, P.; Rajeshkannan, R.; Saravanan, V.; Venkatkumar, S. Bioremediation of plastics by the help of microbial tool: A way for control of plastic pollution. Sustain. Chem. Environ. 2023, 3, 100027. [Google Scholar] [CrossRef]
- Armanu, E.G.; Bertoldi, S.; Chrzanowski, Ł.; Volf, I.; Heipieper, H.J.; Eberlein, C. Benefits of Immobilized Bacteria in Bioremediation of Sites Contaminated with Toxic Organic Compounds. Microorganisms 2025, 13, 155. [Google Scholar] [CrossRef]
- Keweloh, H.; Heipieper, H.J.; Rehm, H.J. Protection of bacteria against toxicity of phenol by immobilization in calcium alginate. Appl. Microbiol. Biotechnol. 1989, 31, 383–389. [Google Scholar] [CrossRef]
- White, J.R.; Budarin, V.; Luque, R.; Clark, H.J.; Macquarriea, J.D. Tuneable porous carbonaceous materials from renewable resources. Chem. Soc. Rev. 2009, 38, 3401–3418. [Google Scholar] [CrossRef]
- Wijitkosum, S.; Jiwnok, P. Elemental Composition of Biochar Obtained from Agricultural Waste for Soil Amendment and Carbon Sequestration. Appl. Sci. 2019, 9, 3980. [Google Scholar] [CrossRef]
- Fang, J.; Gaom, B.; Chen, J.; Zimmerman, R.A. Hydrochars derived from plant biomass under various conditions: Characterization and potential applications and impacts. Chem. Eng. J. 2015, 267, 253–259. [Google Scholar] [CrossRef]
- Sharma, S.; Mohler, J.; Mahajan, S.D.; Schwartz, S.A.; Bruggemann, L.; Aalinkeel, R. Microbial Biofilm: A Review on Formation, Infection, Antibiotic Resistance, Control Measures, and Innovative Treatment. Microorganisms 2023, 11, 1614. [Google Scholar] [CrossRef] [PubMed]
- Bos, R.; van der Mei, H.C.; Busscher, H.J. Physico-chemistry of initial microbial adhesive interactions—Its mechanisms and methods for study. FEMS Microbiol. Rev. 1999, 23, 179–230. [Google Scholar] [CrossRef]
- Lekshmi, G.S.; Bazaka, K.; Ramakrishna, S.; Kumaravel, V. Microbial electrosynthesis: Carbonaceous electrode materials for CO2 conversion. Mater. Horiz. 2023, 10, 292–312. [Google Scholar] [CrossRef]
- Li, S.; Cheng, C.; Thomas, A. Carbon-Based Microbial-Fuel-Cell Electrodes: From Conductive Supports to Active Catalysts. Adv. Mater. 2017, 29, 1602547. [Google Scholar] [CrossRef]
- Sevilla, M.; Fuertes, A.B. The production of carbon materials by hydrothermal carbonization of cellulose. Carbon 2009, 47, 2281–2289. [Google Scholar] [CrossRef]
- Titirici, M.M.; Antonietti, M.; Baccile, N. Hydrothermal carbon from biomass: A comparison of the local structure from poly- to monosaccharides and pentoses/hexoses. Chem. Mater. 2008, 20, 5926–5932. [Google Scholar] [CrossRef]
- Sharma, K.; Nayarisseri, A.; Singh, S.K. Biodegradation of plasticizers by novel strains of bacteria isolated from plastic waste near Juhu Beach, Mumbai, India. Sci. Rep. 2024, 14, 30824. [Google Scholar] [CrossRef]
- Schuermans, S.; Kestens, C.; Marques, P.E. Systemic mechanisms of necrotic cell debris clearance. Cell Death Dis. 2024, 15, 557. [Google Scholar] [CrossRef] [PubMed]
- Manikandan, K.S.; Mariyam, A.; Gowda, N.K.; Singh, A.; Nair, V. Mechanistic understanding of biochar-bacteria system for enhanced chlorpyrifos bioremediation in water and soil medium. Chem. Eng. J. 2024, 483, 149119. [Google Scholar] [CrossRef]
- Reich, S.; Thomsen, C. Raman spectroscopy of graphite. Philos. Trans. R. Soc. A 2004, 362, 2271–2288. [Google Scholar] [CrossRef]
- Hartmans, S.; Smits, J.P.; van der Werf, M.J.; Volkering, F.; de Bont, J.A.M. Metabolism of Styrene Oxide and 2-Phenylethanol in the Styrene-Degrading Xanthobacter Strain 124x. Appl. Environ. Microbiol. 1989, 55, 2850–2855. [Google Scholar] [CrossRef] [PubMed]
- Hofmann, U.; Schlosser, D. Biochemical and physicochemical processes contributing to the removal of endocrine-disrupting chemicals and pharmaceuticals by the aquatic ascomycete Phoma sp. UHH 5-1-03. Appl. Microbiol. Biotechnol. 2016, 100, 2381–2399. [Google Scholar] [CrossRef]








Disclaimer/Publisher’s Note: The statements, opinions and data contained in all publications are solely those of the individual author(s) and contributor(s) and not of MDPI and/or the editor(s). MDPI and/or the editor(s) disclaim responsibility for any injury to people or property resulting from any ideas, methods, instructions or products referred to in the content. |
© 2025 by the authors. Licensee MDPI, Basel, Switzerland. This article is an open access article distributed under the terms and conditions of the Creative Commons Attribution (CC BY) license (https://creativecommons.org/licenses/by/4.0/).
Share and Cite
Armanu, E.G.; Bertoldi, S.; Schmidt, M.; Heipieper, H.J.; Volf, I.; Eberlein, C. Hydrochar from Agricultural Waste as a Biobased Support Matrix Enhances the Bacterial Degradation of Diethyl Phthalate. Molecules 2025, 30, 1167. https://doi.org/10.3390/molecules30051167
Armanu EG, Bertoldi S, Schmidt M, Heipieper HJ, Volf I, Eberlein C. Hydrochar from Agricultural Waste as a Biobased Support Matrix Enhances the Bacterial Degradation of Diethyl Phthalate. Molecules. 2025; 30(5):1167. https://doi.org/10.3390/molecules30051167
Chicago/Turabian StyleArmanu, Emanuel Gheorghita, Simone Bertoldi, Matthias Schmidt, Hermann J. Heipieper, Irina Volf, and Christian Eberlein. 2025. "Hydrochar from Agricultural Waste as a Biobased Support Matrix Enhances the Bacterial Degradation of Diethyl Phthalate" Molecules 30, no. 5: 1167. https://doi.org/10.3390/molecules30051167
APA StyleArmanu, E. G., Bertoldi, S., Schmidt, M., Heipieper, H. J., Volf, I., & Eberlein, C. (2025). Hydrochar from Agricultural Waste as a Biobased Support Matrix Enhances the Bacterial Degradation of Diethyl Phthalate. Molecules, 30(5), 1167. https://doi.org/10.3390/molecules30051167

