Next Article in Journal
Targeted Chemical Profiling and Dereplication of Australian Plants of the Family Haemodoraceae Using a Combined HPLC-MS and HRLC(ESI)-MS Approach
Previous Article in Journal
Impact of Yuanjiang Miscanthus lutarioriparius Aqueous Extract on Texture, Flavor Profile, and Antioxidant Activity of Yogurt During Storage
 
 
Font Type:
Arial Georgia Verdana
Font Size:
Aa Aa Aa
Line Spacing:
Column Width:
Background:
Article

Iron-Doped Molybdenum Sulfide Nanoflowers on Graphene for High-Performance Supercapacitors

1
School of Chemistry and Pharmaceutical Engineering, Nanyang Normal University, Nanyang 473061, China
2
School of Biological and Chemical Engineering, Nanyang Institute of Technology, Nanyang 473004, China
*
Authors to whom correspondence should be addressed.
Molecules 2025, 30(20), 4045; https://doi.org/10.3390/molecules30204045 (registering DOI)
Submission received: 31 August 2025 / Revised: 28 September 2025 / Accepted: 6 October 2025 / Published: 10 October 2025
(This article belongs to the Section Inorganic Chemistry)

Abstract

Supercapacitors (SCs) are widely acknowledged for their high-power density as energy storage devices; designing electrode materials with both high efficiency and exceptional energy density remains a significant challenge. In this study, a flower-like iron-doped molybdenum sulfide on graphene nanosheets (FMS/G) was synthesized through a simple, efficient, and scalable solvothermal approach. The FMS/G composite demonstrated exceptional performance when employed as both positive and negative electrodes, owing to the effective incorporation of iron into the MoS2 crystal lattice. This doping induces defects and facilitates abundant redox reactions, ultimately boosting electrochemical performance. The FMS/G composite demonstrates an ultrahigh specific capacitance of 931 F g−1 at 1 A g−1, along with excellent rate capability, retaining 582 F g−1 at 20 A g−1. It also exhibits remarkable cycling stability, maintaining 90.5% of its initial capacitance after 10,000 cycles. Furthermore, the assembled FMS/G-3//FMS/G-3 supercapacitor device achieves a superior energy density of 64.7 Wh kg−1 at a power density of 0.8 kW kg−1 with outstanding cycling stability, retaining 92% of its capacitance after 10,000 cycles. The remarkable capabilities of the flower-like FMS/G composite underscore its noteworthy potential for promoting effective energy storage systems.

1. Introduction

Rising environmental pollution and the depletion of fossil fuel resources have increased the need for developing alternative, sustainable energy conversion and storage technologies. These devices should offer high energy with enhanced power densities while being cost-effective and environmentally friendly [1,2,3]. Supercapacitors (SCs), among the various energy storage options, have garnered significant attention in modern electronics because of their rapid charge–discharge capabilities, outstanding power density, and extremely long cycle life, setting them apart from traditional batteries [4,5,6]. However, the inherently low SC’s energy density limits their large-scale industrial application. Enhancing energy density requires advanced electrode materials with the capability to store a greater number of charge carriers, thereby improving the overall capacity. Consequently, exploring novel electrode materials that possess desirable characteristics, such as expansive surface area, high electrical conductivity, distinctive porous structure, along with ample void space, is essential for enhancing the energy density of supercapacitors without compromising power density as well as cycling stability. Furthermore, assembling SCs by connecting electrodes of different types (e.g., a capacitor and battery) can expand the operating potential window, leading to an improved energy density tailored for specific applications [7,8]. Unique and appropriate architecture bearing electrode material contributes significantly to the improvement of SCs’ electrochemical energy storage performance.
Recently, transition metal dichalcogenides (TMDs) have gained widespread attention for SC applications, building upon earlier research on transition metal oxides [9,10]. TMDs are generally represented by the formula MX2, where M denotes a transition metal and X corresponds to a chalcogen. In this structure, metal atoms contribute four electrons to fully occupy the bonding states of MX2, leading to oxidation states of +4 and −2 [11,12]. Especially when compared to a multitude of nanostructures, two-dimensional materials stand out as the most effective electrode materials for energy storage applications. Their unique planar structure endows them with a remarkably high specific surface area, which in turn facilitates extensive ion intercalation and enables a pseudo-capacitive mechanism for efficient energy storage [13]. The integration of MoS2 with graphene has demonstrated superior electrical properties and versatile applications, particularly excelling in energy storage systems [14,15]. MoS2 stores faradaic charges through two distinct mechanisms: interlayer and intralayer processes. Significant research attention has been devoted to the 1T/2H phase of MoS2, which exhibits remarkable SC characteristics. However, MoS2 faces some limitations, such as low-energy density and limited electrical conductivity [16]. To address these drawbacks, doping has proven effective in mitigating restacking and enhancing electrical conductivity, ultimately boosting the electrochemical performance of MoS2.
Doping with various transition metal ions stands out as a highly effective strategy for enhancing their electrochemical performance in energy storage applications [17,18]. This is because introducing dopants into the crystal lattice can create defects that occupy specific sites within the crystalline structure, thereby providing additional active regions to boost the material’s electrochemical behavior [19,20]. As electrical conductivity improves, the bandgap narrows, leading to a reduction in internal resistance. Simultaneously, the generation of more reaction sites increases the number of electrochemically active sites. This effectively modifies the electrical structure of the material, facilitating faster electron and ion transfer rates. Dopants such as Fe, Co, Cu, and Ni possess ionic radii similar to that of Mo in MoS2, enabling them to enhance its electrochemical properties. In this context, incorporating iron (Fe) into the MoS2 structure, with its distinctive nanostructure, is anticipated to enhance oxidation states and generate additional active sites, demonstrating enhanced electrochemical performance of SCs [21]. However, Fe-doped MoS2 (FMS) often experiences degradation in KOH electrolytes during prolonged charge–discharge cycles, leading to a diminished cycling life of the electrode. Moreover, the electrochemical performance of FMS tends to be unstable due to agglomeration [22]. To overcome these challenges, integrating FMS with a conductive substrate is crucial, as this strategy not only suppresses aggregation and degradation of active FMS but also facilitates electron transport, thereby ensuring enhanced cycling stability and long-term performance.
Graphene, among the wide range of conductive supports, has attracted considerable attention as an outstanding substrate because of its exceptionally high surface area, excellent electrical conductivity, and superior cycling stability [23,24]. Additionally, graphene enhances the nucleation and formation processes of MoS2. Consequently, FMS can be readily synthesized using a straightforward solvothermal method in the presence of graphene. In this scenario, graphene serves as an ideal substrate to mitigate the agglomeration of FMS, thereby improving its capacitive performance and ensuring excellent durability.
Herein, we report the development of a novel flower-like Fe-doped molybdenum sulfide anchored on graphene (FMS/G) electrode material (Scheme 1). The FMS/G composite is synthesized using a straightforward, scalable, and cost-effective solvothermal approach as shown in Scheme 1. In the resulting nanostructure, iron atoms serve as dopants within the MoS2 nanostructure, elevating the oxidation states and thereby enhancing electrochemical performance. Additionally, iron doping effectively mitigates the degradation of FMS nanoflowers (NFs) during prolonged charge–discharge cycles. The FMS/G composite delivered a high specific capacitance of 931 F g−1 at a current density of 1 A g−1, along with sustained long-term durability, maintaining 90.5% of its initial capacitance after 10,000 cycles. The outstanding electrochemical performance is ascribed to the incorporation of an iron dopant, which promotes faster charge transfer kinetics in the active electrode material. Furthermore, incorporating graphene as a support accelerates charge transfer processes and greatly strengthens the electrical conductivity of the composite. A supercapacitor device fabricated using FMS/G as both the positive electrode and negative electrode exhibits a superior energy density of 64.7 Wh kg−1 at a power density of 0.8 kW kg−1, coupled with outstanding cycling stability (92% capacitance retention after 10,000 cycles).

2. Results and Discussion

Figure 1a,b presents representative SEM images of the FMS/G-3 composite, revealing that the flower-like FMS/G nanostructures were evenly distributed on the graphene nanosheets, effectively preventing the agglomeration of the FMS nanoflowers. To further investigate the morphology, TEM as well as high-resolution TEM (HR-TEM) analyses were carried out. As depicted in Figure 1c, TEM images revealed that FMS nanoflowers were uniformly distributed over the graphene substrate. Figure 1d shows that each nanoflower consisted of nanosheets encapsulated by graphene layers. The HR-TEM image in Figure 1e displays a 0.58 nm interplanar spacing, corresponding to the (110) plane of MoS2 (JCPDS 74-0932) [25]. Furthermore, the active FMS nanoflowers are tightly wrapped by graphene nanosheets, highlighting the strong synergistic effect between the graphene support and FMS active sites [26,27]. The hydroxyl groups on graphene promote a strong synergistic effect that facilitates faster ion transfer between the electrolyte and electrode, resulting in superior capacitive behavior and greater electrochemical stability of the electrode material [28]. The scanning EDS mapping in Figure 1f shows that iron atoms are successfully and uniformly doped into MoS2. The composite is composed of Fe, Mo, S, C, and O.
To investigate the crystal structure, an XRD pattern analysis was performed, as illustrated in Figure 2a. All the samples, MS/G, FMS/G-1, FMS/G-2, FMS/G-3, and FMS/G-4, revealed a broad diffraction peak at 2θ = 25.8°, representing the graphene’s characteristic peak, suggesting that graphene oxide was efficiently reduced during the production process. The other diffraction peaks in the MS/G composite correspond to the (003), (101), (104), (009), and (110) planes of the standard MoS2 structure (JCPDS 74-0932) [24]. For FMS/G-1, FMS/G-2, FMS/G-3, and FMS/G-4, the diffraction peaks in each composite shift slightly toward higher angles compared to undoped MS/G. Additionally, no extra signals for the iron phase are detected in the patterns of FMS/G-1, FMS/G-2, and FMS/G-3, suggesting that Fe is effectively doped into the MoS2 lattice [29]. Furthermore, the additional diffraction peaks (~7.8°) are present in the FMS/G-4 composite, attributed to Fe3S4 (JCPDS 89-2000) [30]. This indicates that when the dopant amount reaches 0.4 mmol, iron atoms cannot be fully incorporated into the MoS2 structure, resulting in the coexistence of two phases in the sample.
Raman spectroscopy was performed on FMS/G-3 and undoped MS/G to analyze their structural features. As depicted in Figure 2b, both samples exhibited the characteristic D band at 1340 cm−1, indicating defects and disorder, and the G band at 1575 cm−1, corresponding to the stretching vibrations associated with the sp2-hybridized carbon atoms [31]. Both FMS/G-3 and undoped MS/G exhibit higher ID/IG ratios compared to graphene oxide (GO), indicating that GO has been successfully reduced to reduced graphene oxide (rGO) during the hydrothermal reaction [32]. High temperature and pressure during the hydrothermal process facilitate water-mediated hydrogenation, converting oxidized carbon sites to C-H bonds while restoring sp2 hybridization and conjugated π-systems. Structural rearrangement reduces interlayer spacing, forming more ordered graphitic domains in rGO [32]. This reduction confirms the presence of sp2-hybridized carbons, which contribute to favorable electrochemical properties. Additional peaks observed in the 200–600 cm−1 range for both FMS/G-3 and undoped MS/G are attributed to the characteristic vibrations of MoS2. In particular, the peaks observed at 376 and 403 cm−1 are assigned to the E12g and A1g modes of MoS2 [33].
The pore size distribution and SSA of MS/G, FMS/G-1, FMS/G-2, FMS/G-3, and FMS/G-4 are illustrated in Figure 2c. At relative pressures of 0.8–1.0, all the samples displayed a type IV Langmuir isotherm with a hysteresis loop, indicating the mesoporous nature of the samples [34]. The FMS/G-3 composite demonstrated a markedly higher SSA of 181 m2 g−1 compared to other samples, such as 106 m2 g−1 for MS/G, 136 m2 g−1 for FMS/G-1, 158 m2 g−1 for FMS/G-2, and 132 m2 g−1 for FMS/G-4. The SSA values increased significantly after iron doped into the MS/G, together with its mesoporous architecture, facilitates faster ion diffusion and more efficient electron transport. Figure 2d displays the pore size distributions of MS/G, FMS/G-1, FMS/G-2, FMS/G-3, and FMS/G-4, as determined by Barrett–Joyner–Halenda (BJH) analysis. The results reveal that pore sizes of the samples were between 1.5 and 4 nm, confirming their mesoporous nanostructures. Both the large SSA and mesoporous architecture contribute to improving the capacitive performance of the electrode materials.
The chemical composition of the FMS/G-3 and MS/G composites were examined using XPS analysis. The survey spectrum in Figure 3a shows Fe, Mo, S, C, and O in the FMS/G-3, indicating that the composite was successfully synthesized. And the Mo, S, C, and O were clearly observed in the undoped MS/G composite. Detailed Fe 2p spectrum analysis in Figure 3b indicates the peaks for Fe 2p3/2 and Fe 2p1/2 at 711.6 and 725 eV, respectively, with each spin–orbit component further splitting into two distinct signals corresponding to Fe2+ and Fe3+ [35]. This splitting pattern is unique to materials containing both Fe2+ and Fe3+ [36]. The Mo 3d spectrum of FMS/G-3 in Figure 3c displays four distinct peaks corresponding to Mo6+, Mo 3d3/2, Mo 3d5/2, and S 2s [37]. The peak at 236.6 eV was ascribed to Mo6+. The main peaks at 232.6 and 229.1 eV were respectively ascribed to Mo 3d3/2 and Mo 3d5/2, which are characteristic of MoS2, while the S 2s orbital of MoS2 appeared with a representative peak at 226.7 eV. The S 2p spectrum (Figure 3d) shows two doublets at 161.6 eV (S 2p3/2) and 162.8 eV (S 2p1/2), with a new peak at 169.0 eV assigned to sulfate species [38]. The undoped MS/G shows the typical Mo 3d3/2 and Mo 3d5/2 of 2H phase at 233.1 and 226.85 eV, and the Mo 3d3/2 and Mo 3d5/2 peaks of 1T phase appeared at 230.7 and 226.03 eV. Hence, the peaks of Mo 3d3/2 and Mo 3d5/2 in FMS/G-3 shifted to higher binding energy compared to the undoped MS/G. This indicated that the Fe ions were uniformly doped into the MoS2 substrate [17]. The XPS analysis of FMS/G-1, FMS/G-2, and FMS/G-4 composites were shown in Figure S1. All the binding energies and peak positions corresponding to Mo of MS/G, FMS/G-1, FMS/G-2, FMS/G-3, and FMS/G-4 composites are listed in Table 1. It displays the peaks of Mo shifting toward higher values as the ratio of Fe/Mo gradually increases to 0.3. The C 1s spectrum in Figure S2 shows peaks at 284.8, 285.3, and 288.0 eV, corresponding to C=C, C-O, and C=O bonds, respectively [39]. These findings confirm the successful synthesis of the FMS/G composite and demonstrate that iron atoms are effectively incorporated into the MoS2 crystal lattice.
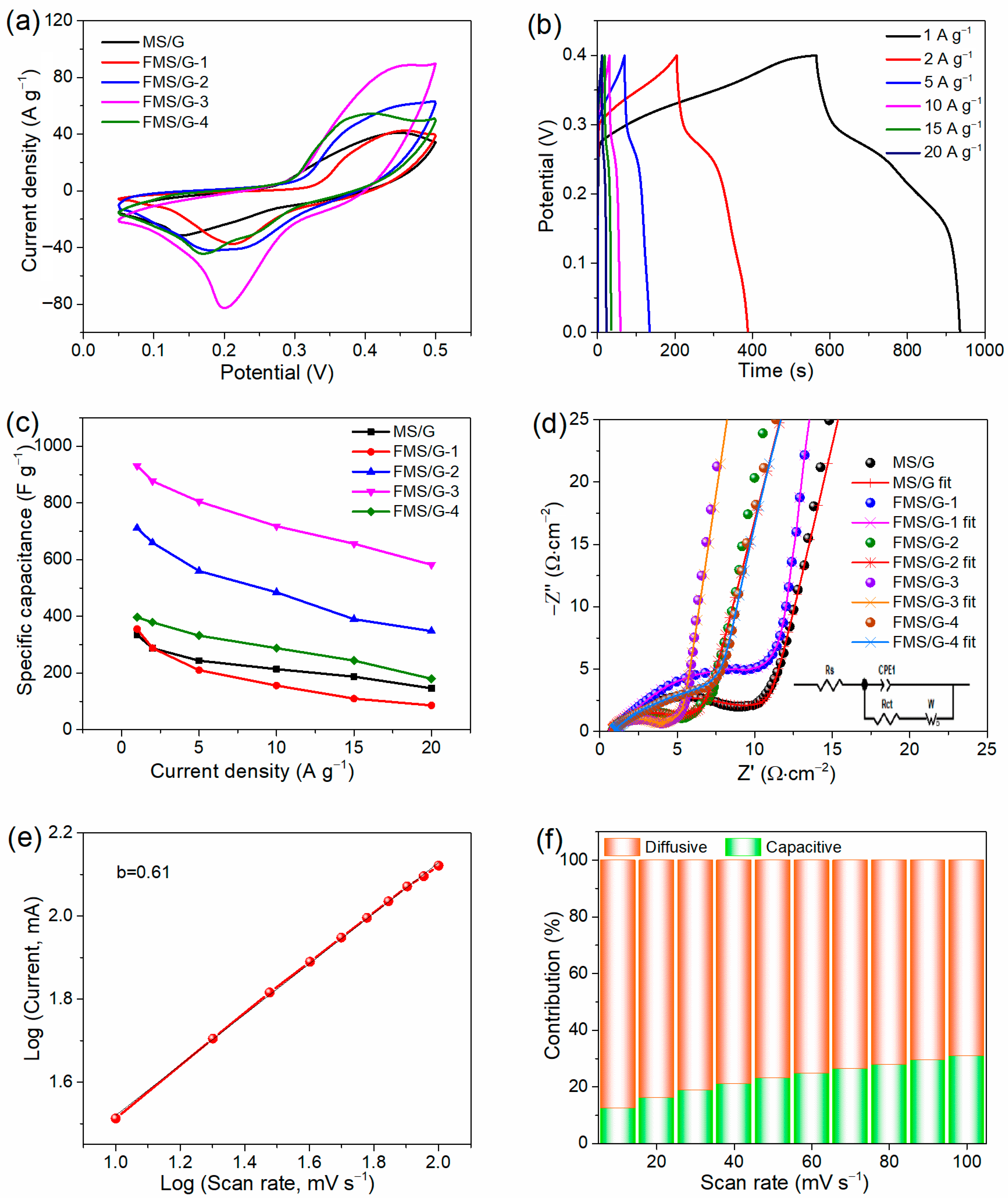
The electrochemical performance of the FMS/G-3 composite as a positive electrode for SCs was assessed in a 3 M KOH electrolyte using a three-electrode configuration. CV curves of MS/G, FMS/G-1, FMS/G-2, FMS/G-3, and FMS/G-4 recorded at 50 mV s−1 in the potential range between 0.05 and 0.5 V are displayed in Figure 4a. Distinct redox peaks were observed for all samples, confirming their battery-type behavior. Notably, the FMS/G-3 composite shows the largest CV integral area compared to MS/G, FMS/G-1, FMS/G-2, and FMS/G-4, suggesting superior electrochemical performance. Additionally, the CV area of iron-doped MoS2/G composites is larger than that of undoped MoS2/G, attributed to the multiple oxidation states of iron and molybdenum, which facilitate more redox reactions [40]. Figure S3 shows the CV profiles of the FMS/G-3 composite at scan rates from 10 to 100 mV s−1, all of which reveal clear redox peaks, confirming its battery-type characteristics. According to the results of Figure S3, the specific capacitances of the FMS/G-3 composite at various scan rates were calculated as shown in Figure S4. The highest specific capacitance was 777 F g−1 at the scan rate of 10 mV s−1. Even at 100 mV s−1, the specific capacitance remains at 321 F g−1. To gain further insight, GCD tests were carried out, and the curves are shown in Figure 4b, acquired with current densities ranging from 1 to 20 A g−1. It exhibited nonlinear profiles, indicative of battery-type capacitance and consistent with the CV observations. The corresponding specific capacitances, calculated from these GCD curves, are summarized in Figure 4c. The FMS/G-3 composite delivered outstanding respective values of 931, 877, 805, 718, 656, and 582 F g−1 at 1, 2, 5, 10, 15, and 20 A g−1, outperforming all other samples. Even at 20 A g−1, it maintained 63% of its initial capacitance, confirming excellent rate performance. At 1 A g−1, increasing the iron content from 0 to 0.4 mmol enhanced the specific capacitance from 335 to 931 F g−1; however, exceeding 0.3 mmol results in a decline in capacitance. This behavior aligns with the EIS profiles in Figure 4d, where the high-frequency semicircle represents charge–transfer resistance (Rct), whereas the low-frequency linear region reflects ion transport in the electrolyte. The fitting parameters from the EIS plots of MS/G, FMS/G-1, FMS/G-2, FMS/G-3, and FMS/G-4 composites are depicted in Table S1. The FMS/G-3 composite demonstrated a lower Rct value of 2.86 Ω·cm−2 compared to MS/G (8.12 Ω·cm−2), FMS/G-1 (3.94 Ω·cm−2), FMS/G-2 (3.92 Ω·cm−2), and FMS/G-4 (7.83 Ω·cm−2). FMS/G-3 has the lowest W-R (4.848 Ω·cm2) and highest W-T (1.232 s1/2), indicating the fastest diffusion [41]. Figure S5 shows the cycling stability of the FMS/G-3 composite tested over 10,000 charge–discharge cycles at 10 A g−1. After cycling, the electrode retained 90.5% of its capacitance, a considerable improvement compared to the undoped MS/G composite. This enhancement is mainly due to iron incorporation, which enlarges the surface area and accelerates ion transport. The remarkable electrochemical performance of FMS/G-3 can be ascribed to several factors: 1. Iron incorporation creates lattice vacancies in MoS2, enabling more redox-active sites and improving charge storage capability. 2. Iron doping prevents agglomeration of MoS2-active sites on graphene sheets, ensuring uniform anchoring and increased effective surface area. This shortens ion diffusion and electron transfer pathways, improving capacitance and rate capability. 3. The highly conductive graphene matrix protects FMS-active sites from degradation during prolonged charge–discharge cycles, ensuring outstanding cycling stability. The energy storage mechanism of the FMS/G-3 electrode was examined by applying the following equations to the analysis of CV curves [42]:
i = a ν b
i V = k 1 ν + k 2 ν 1 2
Here, k1, k2, a, and b denote the constants, ν represents the scan rate, and i indicates the current. A b-value between 0.5 and 1 indicates a combined contribution from capacitive- and diffusion-controlled charge storage mechanisms. Figure 4e demonstrates that the FMS/G-3 electrode achieved a b-value of 0.61, reflecting the coexistence of capacitive- and diffusion-controlled charge storage. Meanwhile, Figure 4f shows that with increasing scan rates, the capacitive contribution became more pronounced due to the restricted ion diffusion at higher sweep rates. Moreover, as indicated in Table 2, the FMS/G-3 composite as a positive electrode exhibits superior performance in comparison to the electrode materials for supercapacitors that have been recently reported.
The FMS/G-3 composite also demonstrated excellent performance as a negative electrode in Figure 5. The CV curves in Figure 5a performed at scan rates between 10 and 100 mV s−1 and maintained a quasi-rectangular profile even under high scan rates, confirming its superior capacitive behavior. To learn more about the FMS/G-3 composite’s electrochemical performance, GCD measurements were carried out with current densities varying from 1 to 20 A g−1 in Figure 5b. It displays well-defined triangular shapes, confirming excellent capacitive characteristics in agreement with the CV results. Figure 5c shows the specific capacitance of the FMS/G-3 composite, derived from GCD measurements, with excellent values of 669, 635, 591, 556, 530, and 490 F g−1 at 1, 2, 5, 10, 15, and 20 A g−1, respectively. The performance of the FMS/G-3 composite as a negative electrode was compared to the reported works as shown in Table 3.
A SC device was constructed using FMS/G-3 as both positive and negative electrodes to assess the practical performance. The CV curves of FMS/G-3 electrodes at 50 mV s−1 at different voltage windows are shown in Figure 6a. Within the range of −1 to 0 V, the electrode exhibited capacitive features, while from 0.05 to 0.5 V, distinct faradaic behavior was observed. To identify a suitable operating window for the FMS/G-3//FMS/G-3 device, CV and GCD measurements were conducted over multiple potential ranges, as shown in Figure S6a,b. The potential range of 0 to 1.6 V was identified as stable for device operation, with noticeable polarization occurring at 1.8 V due to the oxygen evolution reaction. Therefore, 0 to 1.6 V was selected as the optimal potential window, and CV plots of the device at different scan rates are shown in Figure 6b, displaying redox behavior while maintaining curve shapes, indicating rapid electron transfer and excellent charge–discharge capabilities. The GCD curves of the SC device at various current densities are demonstrated in Figure 6c, with capacitance values derived from these profiles as shown in Figure 6d. The device exhibited 182 F g−1 at 1 A g−1 and sustained 102 F g−1 at 20 A g−1. The cycling stability of the SC device was examined at 10 A g−1 over 10,000 GCD cycles in Figure 6e, where it retained 92% of its capacitance, confirming excellent long-term durability. This superior electrochemical behavior resulted from the outstanding characteristics of FMS/G-3 when used as both anode and cathode. The Ragone plot of the FMS/G-3//FMS/G-3 device is presented in Figure 6f, demonstrating an impressive energy density of 64.7 Wh kg−1 at a power density of 800 W kg−1. The energy density remains at 36.3 Wh kg−1 even at a high-power density of 16,015 W kg−1, outperforming many previously documented SC devices such as Co3S4-Mo15S19/NF//rGO (40.8 W h kg−1 at 400 W kg−1) [59], NiS/NF//AC (23.58 W h kg−1 at 1320 W kg−1) [43], Ni-S//AC (2.142 W h kg−1 at 775 W kg−1) [44], CuCo2O4@40-rGO//AC (38.9 Wh kg−1 at 640 W kg−1) [60], Co3O4/Ag/rGO//rGO (35 W h kg−1 at 801 W kg−1) [61], and Mg-Co-Ni LDH/rG//AC (44.3 W h kg−1 at 800 W kg−1) [62].

3. Experimental

3.1. Materials

Ferric chloride hexahydrate (FeCl3·6H2O), thioacetamide, sodium dithiomolybdate (Na2MoO4·2H2O), potassium hydroxide (KOH), Poly(vinylidene fluoride) (PVDF), N-methyl-2-pyrrolidinone, ethylene glycol (EG), and graphene oxide (GO) powder were obtained from Aladdin Ltd. of Shanghai, China. All chemicals were utilized without any further purification.

3.2. Synthesis of FMS/G Composite

Take 80 mg of graphene oxide (GO), grind it into a powder, and dissolve it in 20 mL of deionized water, followed by ultrasonic treatment for 40 min. Dissolve 0.3 mmol of iron(III) chloride, 1.5 mmol of sodium molybdate, and 3 mmol of thioacetamide in 10 mL of deionized water. Add 0.5 mL of acetic acid to the aforementioned mixture and subject it to ultrasonic treatment for 30 min time duration to ensure thorough mixing. The solution was then transferred into a 50 mL hydrothermal reactor, which was then sealed and heated for 12 h time duration in an oven at 180 °C. Upon completion, the reaction mixture was brought to ambient temperature, after which the product (solid) was isolated and repeatedly rinsed with deionized water and ethanol to ensure thorough purification. Finally, place the processed material in an oven and dry it thoroughly at 70 °C. Grind the dried sample into a powder to obtain iron-doped molybdenum sulfide/graphene composite material powder, labeled as FMS/G-3.
To investigate the impact of different doping amounts of Fe on the composite material, composite materials were prepared with molar ratios of iron(III) chloride to sodium molybdate (Fe/Mo) set at 0.1:1.5, 0.2:1.5, and 0.4:1.5, and labeled as FMS/G-1, FMS/G-2, and FMS/G-4, respectively. An undoped molybdenum sulfide/graphene composite material (MS/G) was also prepared using the aforementioned method for comparative analysis.

3.3. Material Characterization

The morphological characteristics of the synthesized materials were characterized using a Hitachi JSM-7900F field emission scanning electron microscope (FE-SEM) from Hitachi (Tokyo, Japan) and a Tecnai G2 F20/F30 transmission electron microscope (TEM) from FEI Company (Hillsboro, OR, USA). Elemental composition and distribution were analyzed via energy-dispersive X-ray spectroscopy (EDS) from Hitachi (Tokyo, Japan). Powder X-ray diffraction (XRD) patterns were obtained using a Rigaku Miniflex600 diffractometer (Rigaku, Akishima, Japan) at 5°·min−1, whereas a LabRAM HR800 Raman spectrometer (Horiba Jobin Yvon, Longjumeau, France) was used to record Raman spectra. Specific surface area (SSA) and pore size distribution determination were performed using an SSA-4300 analyzer from Builder (Beijing, China). Furthermore, X-ray photoelectron spectroscopy (XPS; Thermo ESCALAB 250XI, Waltham, MA, USA) with an Al Kα monochromatic source was employed for characterizing the chemical states of the composite.

3.4. Electrochemical Analysis

The sample’s electrochemical performance was evaluated using a standard three-electrode setup. The preparation of the working electrode includes the slurry formation by mixing the sample with polyvinylidene fluoride (PVDF) and carbon black in an 8:1:1 ratio, using N-methyl-2-pyrrolidinone as the solvent. After ultrasonic treatment, the slurry was applied onto a nickel foam piece (1 cm × 1 cm), which was then oven-dried before use. For the electrochemical setup, a platinum foil was used and served as the auxiliary electrode, while Ag/AgCl was the reference, and the FMS/G composite was tested at a mass of 4 mg.

3.5. Fabrication of the Supercapacitor Device

SC device construction was carried out using the FMS/G composite serving as both the positive as well as negative electrodes, with a 3 M KOH solution as the electrolyte. The respective positive and negative electrode’s mass ratios were determined to be 7 mg and 4 mg.
The specific capacitance (C) of the electrodes was calculated from the charge–discharge curves using Equation (3):
C = I Δ t m Δ V
where I is the discharge current (A), m is the active material’s mass loading (g), Δ t is the discharge time, and Δ V is the applied potential window.
The energy density (E, in Wh kg−1) and power density (P, in W kg−1) of the SC device were calculated using Equations (4) and (5):
E = C c e l l   Δ V 2 2 × 3.6  
P = E 3600 t d i s c h a r g e  
where ΔV is the applied voltage range, Ccell is the specific capacitance of the SC device, and tdischarge is the discharge time during the galvanostatic charge–discharge (GCD) test.

4. Conclusions

In summary, we successfully synthesized the FMS/G-3 composite, which serves as both a highly effective positive and negative electrode material for SC devices. This material holds promise for scalable production and can be adapted to create other nanostructure-based hybrid architectures. The inclusion of iron in the composite introduces numerous active sites, significantly enhancing its electrochemical properties. The FMS/G-3 composite exhibited a remarkably high SSA of 181 m2 g−1 and delivered a maximum 931 F g−1 specific capacitance at 1 A g−1. In addition, the electrode showed outstanding durability, maintaining 90.5% of its capacitance following 10,000 cycles. The FMS/G-3//FMS/G-3 SC device exhibits excellent performance, achieving an outstanding energy density of 64.7 Wh kg−1 at a power density of 0.8 kW kg−1. Notably, it still maintained a considerable 36.3 Wh kg−1 even with a 16.02 kW kg−1. Additionally, the device shows exceptional durability, maintaining 92% of its capacitance after 10,000 cycles. The unique structure resulting from the incorporation of iron into MoS2 nanoflowers represents a significant advancement with promising applications, particularly in energy conversion and storage devices for modern electronics. Furthermore, this work presents a novel strategy for designing electrode materials for efficient application in energy storage systems, demonstrating significant promise for real-world applications.

Supplementary Materials

The following supporting information can be downloaded at: https://www.mdpi.com/article/10.3390/molecules30204045/s1, Figure S1: Survey and Mo 3d spectrum of FMS/G-1, FMS/G-2 and FMS/G-4 composites; Figure S2: C 1s spectrum of FMS/G-3; Figure S3: CV curves at various scan rates of FMS/G-3 composite at positive potential window; Figure S4: Specific capacitance of FMS/G-3 calculated by CV curves; Figure S5: Cycling stabilities for 10,000 cycles of FMS/G-3 composite; Figure S6: CV curves and GCD curves at different potential ranges of device. Table S1: Fitting parameters for MS/G, FMS/G-1, FMS/G-2, FMS/G-3, and FMS/G-4 composites.

Author Contributions

X.L.: Formal Analysis, Supervision, Writing—Original Draft, Investigation. M.Z.: Data Curation, Formal Analysis. S.L.: Formal Analysis, Validation. S.C.: Data Curation, Investigation. Y.Z.: Investigation. K.W.: Investigation. M.G.: Investigation, Resources, Editing Manuscript. All authors have read and agreed to the published version of the manuscript.

Funding

This work was financially supported by the International Science and Technology Cooperation Project of Henan Province (252102521040), the National Natural Science Foundation of China General Project Cultivation Fund Project of Nanyang Normal University (2025PY020), the special project on innovative experimental research on integration of science and education of Nanyang Normal University (KJRH2025021), and the Undergraduate Research Fund Project of Nanyang Institute of Technology (NGDJ-2024-89).

Data Availability Statement

The data presented in this study are available upon request from the corresponding author.

Conflicts of Interest

The authors declare that they have no known competing financial interests or personal relationships that could have appeared to influence the work reported in this paper.

References

  1. Banerjee, S.; Mordina, B.; Sinha, P.; Kar, K.K. Recent advancement of supercapacitors: A current era of supercapacitor devices through the development of electrical double layer, pseudo and their hybrid supercapacitor electrodes. J. Energy Storage 2024, 108, 115075. [Google Scholar] [CrossRef]
  2. Shuja, A.; Khan, H.R.; Murtaza, I.; Ashraf, S.; Abid, Y.; Farid, F.; Sajid, F. Supercapacitors for energy storage applications: Materials, devices and future directions: A comprehensive review. J. Alloys Compd. 2024, 1009, 176924. [Google Scholar] [CrossRef]
  3. Saghafizadeh, M.A.; Zardkhoshoui, A.M.; Davarani, S.S.H. Hybrid supercapacitors with MnTe@ZnMnTe hollow octahedrons encapsulated with reduced graphene oxide for high-performance hybrid supercapacitors. Chem. Eng. J. 2025, 508, 160817. [Google Scholar] [CrossRef]
  4. Jayakumar, S.; Chinnappan Santhosh, P.; Ramakrishna, S.; Radhamani, A.V. 2D (Ti3C2Tx) MXene: A comprehensive review of advancements in synthesis protocols, applications in supercapacitors, sustainability targets and future prospects. J. Energy Storage 2024, 97, 112741. [Google Scholar] [CrossRef]
  5. Li, W.; Zhang, W.; Xu, Y.; Wang, G.; Sui, W.; Xu, T.; Yuan, Z.; Si, C. Heteroatom-doped lignin derived carbon materials with improved electrochemical performance for advanced supercapacitors. Chem. Eng. J. 2024, 497, 154829. [Google Scholar] [CrossRef]
  6. Saha, P.; Nath, N.C.D.; Islam, M.M.; Abdul Aziz, M.; Saleh Ahammad, A.J. Recent progress of high-energy density supercapacitors based on nanostructured nickel oxides. Electrochim. Acta 2024, 504, 144892. [Google Scholar] [CrossRef]
  7. Zhang, A.; Zhang, Q.; Huang, J.; Fu, H.; Zong, H.; Guo, H. NiMnCo-LDH in-situ derived from ZIF-67@ZnO as self-supporting electrode for asymmetric supercapacitor device. Chem. Eng. J. 2024, 487, 150587. [Google Scholar] [CrossRef]
  8. Chen, W.; Yan, L.; Song, Z.; Li, X. NiMn2O4/CoS nanostructure electrode material for flexible asymmetric supercapacitors. Electrochim. Acta 2024, 491, 144329. [Google Scholar] [CrossRef]
  9. Chen, Z.; Xue, R.; Fan, B.; Wang, Y.; Tian, W.; Pei, L.; Jin, Y.; Guo, Z.; Sun, Z.; Ren, F.; et al. Bimetallic nickel-cobalt sulfide grown on graphene foam for high-performance asymmetric supercapacitor. J. Alloys Compd. 2024, 1007, 176483. [Google Scholar] [CrossRef]
  10. Wesley, R.J.; Vasanth, S.; Durairaj, A.; Justinabraham, R.; Viswanathan, C.; Obadiah, A.; Vasanthkumar, S. Nickel-molybdenum bimetallic sulfide decorated biomass derived carbon support for high performance asymmetric supercapacitor application. J. Energy Storage 2024, 91, 112092. [Google Scholar] [CrossRef]
  11. Su, Q.; Wang, S.; Feng, M.; Du, G.; Xu, B. Direct studies on the lithium-storage mechanism of molybdenum disulfide. Sci. Rep. 2017, 7, 7275. [Google Scholar] [CrossRef]
  12. Veeramalai, C.P.; Li, F.; Liu, Y.; Xu, Z.; Guo, T.; Kim, T.W. Enhanced field emission properties of molybdenum disulphide few layer nanosheets synthesized by hydrothermal method. Appl. Surf. Sci. 2016, 389, 1017–1022. [Google Scholar] [CrossRef]
  13. Tsyganov, A.; Vikulova, M.; Zotov, I.; Korotaev, E.; Plugin, I.; Sysoev, V.; Kirilenko, D.; Rabchinskii, M.; Asoyan, A.; Gorokhovsky, A.; et al. Application of W1.33CTz MXenes obtained by hydrothermal etching as an additive to enhance the electrochemical energy storage properties of binder-free Ti3C2Tx MXene films. Dalton Trans. 2025, 54, 8547–8558. [Google Scholar] [CrossRef]
  14. Yang, L.; Mukhopadhyay, A.; Jiao, Y.; Hamel, J.; Benamara, M.; Xing, Y.; Zhu, H. Aligned and stable metallic MoS2 on plasma-treated mass transfer channels for the hydrogen evolution reaction. J. Mater. Chem A 2017, 5, 25359–25367. [Google Scholar] [CrossRef]
  15. Wang, Y.; Zhen, M.; Liu, H.; Wang, C. Interlayer-expanded MoS2 /graphene composites as anode materials for high-performance lithium-ion batteries. J. Solid. State. Electr. 2018, 22, 3069–3076. [Google Scholar] [CrossRef]
  16. Liu, C.; Bai, Y.; Zhao, Y.; Yao, H.; Pang, H. MoS2/graphene composites: Fabrication and electrochemical energy storage. Energy Storage Mater. 2020, 33, 470–502. [Google Scholar] [CrossRef]
  17. Rahman, R.; Samanta, D.; Pathak, A.; Nath, T.K. Tuning of structural and optical properties with enhanced catalytic activity in chemically synthesized Co-doped MoS2 nanosheets. RSC Adv. 2021, 11, 1303. [Google Scholar] [CrossRef]
  18. Charapale, M.R.; Shembade, U.V.; Ahir, S.A.; Kothavale, V.P.; Jadhav, N.T.; Sankpal, V.G.; Waifalkarf, P.P.; Moholkar, A.V.; Dongale, T.D.; Masti, S.A. Enhancing capacitive performance of MoS2 through Fe doping: Synthesis, characterization, and electrochemical evaluation for supercapacitor applications. Surf. Interfaces 2024, 52, 104814. [Google Scholar] [CrossRef]
  19. Guo, M.; Liu, X.; Du, J.; Cao, Y.; Li, X.; Zhang, Y. Synthesis, analysis and characterization of Mo-doped Fe3O4 nanoparticles decorated on rGO as an anode for high-performance supercapacitors. J. Mater. Sci. Mater. Electron. 2024, 35, 1496. [Google Scholar] [CrossRef]
  20. Guo, M.; Du, J.; Liu, X.; Cao, Y.; Li, X.; Wu, K.; Li, Z. Cobalt-doped vanadium sulfide nanorods anchored on graphene for high-performance supercapacitors. ACS Appl. Nano Mater. 2024, 7, 15469–15477. [Google Scholar] [CrossRef]
  21. Kumbhar, M.B.; Patil, V.V.; Chandak, V.S.; Shaikh, S.B.; Chitare, Y.M.; Gunjakar, J.L.; Kulal, P.M. Exploring copper-doped nickel oxide as a superior cathode electrode material for flexible hybrid solid-state supercapacitor device. J. Ind. Eng. Chem. 2024, 147, 422–435. [Google Scholar] [CrossRef]
  22. Jimoh, M.F.; Carson, G.S.; Anderson, M.B.; El-Kady, M.F.; Kaner, R.B. Direct fabrication of 3D electrodes based on graphene and conducting polymers for supercapacitor applications. Adv. Funct. Mater. 2025, 35, 2405569. [Google Scholar] [CrossRef]
  23. Ryu, C.; Do, H.M.; In, J.B. Enhanced performance of densified laser-induced graphene supercapacitor electrodes in dimpled polyimide. Appl. Surf. Sci. 2024, 643, 158696. [Google Scholar] [CrossRef]
  24. Dighe, P.S.; Redekar, R.S.; Tarwal, N.L.; Sarawade, P.B. Unveiling the performance of nickel cobalt-layered double hydroxide/reduced graphene oxide composite for high performance aqueous supercapacitor. J. Power Sources 2025, 634, 236474. [Google Scholar] [CrossRef]
  25. Xu, X.; Liu, W.; Chen, Y.; Wang, S.; Wang, X.; Jiang, H.; Ma, S.; Yuan, F.; Zhang, Q. n-n heterogeneous MoS2/SnO2 nanotubes and the excellent triethylamine (TEA) sensing performances. Mater. Lett. 2022, 311, 131522. [Google Scholar] [CrossRef]
  26. Umar, A.; Ahmed, F.; Ullah, N.; Ansari, S.A.; Hussain, S.; Ibrahim, A.A.; Qasem, H.; Kumar, S.A.; Alhamami, M.A.; Almehbad, N.; et al. Exploring the potential of reduced graphene oxide/polyaniline (rGO@PANI) nanocomposites for high-performance supercapacitor application. Electrochim. Acta 2024, 479, 143743. [Google Scholar] [CrossRef]
  27. Jiang, J.; Zhou, W.; Li, W.; Huang, Z.; Zhang, M.; Jin, J.; Xie, J. Construction of electron-interactive CoMoO4@CoP core–shell structure on boron-doped graphene aerogel as strongly interface coupled hybrid electrodes for high flexible supercapacitor. Chem. Eng. J. 2024, 496, 154123. [Google Scholar] [CrossRef]
  28. Zhao, Y.; Hu, H.; Wang, F.; Yan, Y.; Ye, K.; Zeng, W.; Tang, K.; Huang, A.; Cai, S.; Lan, L.; et al. Dual-basic carbonate template-assisted construction of graphene-like porous carbon nanosheets from waste biomass for enhanced supercapacitor performance. J. Power Sources 2024, 629, 236016. [Google Scholar] [CrossRef]
  29. Najafi, M.; Ehsani, A.; Nabatian, M.; Hamza, Z.; Neekzad, N. Advanced supercapacitor electrodes: Synthesis and electrochemical characterization of graphene oxide-bismuth metal-organic framework composites for superior performance. Electrochim. Acta 2024, 498, 144636. [Google Scholar] [CrossRef]
  30. Li, Q.; Wei, Q.; Zuo, W.; Huang, L.; Luo, W.; An, Q.; Pelenovich, V.O.; Mai, L.; Zhang, Q. Greigite Fe3S4 as a new anode material for high-performance sodium-ion batteries. Chem. Sci. 2017, 8, 160–164. [Google Scholar] [CrossRef]
  31. Ravichandran, V.; Nardekar, S.S.; Kesavan, D.; Das, J.P.; Elumalai, V.; Kim, S.-J. High-performance redox-active organic molecule grafted graphene based on-chip micro-supercapacitor towards self-powered environmental monitoring station. Chem. Eng. J. 2024, 482, 148822. [Google Scholar] [CrossRef]
  32. Cheng, X.; Tian, X.; Liao, S.; Wang, Q.; Wei, Q. Wet spinning for high-performance fiber supercapacitor based on Fe-doped MnO2 and graphene. Carbon 2024, 230, 119572. [Google Scholar] [CrossRef]
  33. Guo, X.; Hou, Y.; Ren, R.; Chen, J. Temperature-dependent crystallization of MoS2 nanoflakes on graphene nanosheets for electrocatalysis. Nanoscale. Res. Lett. 2017, 12, 479. [Google Scholar] [CrossRef]
  34. Zhang, J.; Xie, Y.-L. Hierarchical porous hollow of carbon spheres with high surface area for high performance supercapacitor electrode materials. Sci. Rep. 2025, 15, 15125. [Google Scholar] [CrossRef]
  35. Li, P.; Xuan, Y.; Jiang, B.; S Zhang, H.; Xia, C. Hollow La0.6Sr0.4Ni0.2Fe0.75Mo0.05O3-δ electrodes with exsolved FeNi3 in quasi-symmetrical solid oxide electrolysis cells for direct CO2 electrolysis. Electrochem. Commun. 2021, 134, 107188. [Google Scholar] [CrossRef]
  36. Wang, Y.; Ma, B.; Chen, Y. Iron phosphides supported on three-dimensional iron foam as an efficient electrocatalyst for water splitting reactions. J. Mater. Sci. 2019, 54, 1–12. [Google Scholar] [CrossRef]
  37. Li, B.; Jiang, L.; Li, X.; Ran, P.; Zuo, P.; Wang, A.; Qu, L.; Zhao, Y.; Cheng, Z.; Lu, Y. Preparation of monolayer MoS2 quantum dots using temporally shaped femtosecond laser ablation of bulk MoS2 targets in water. Sci. Rep. 2025, 7, 11182. [Google Scholar] [CrossRef] [PubMed]
  38. Guo, M.; Du, J.; Liu, X.; Liu, W.; Zhao, M.; Wang, J.; Li, X. Rational fabrication of nickel vanadium sulfide encapsulated on graphene as an advanced electrode for high-performance supercapacitors. Molecules 2024, 29, 3642. [Google Scholar] [CrossRef] [PubMed]
  39. Johra, F.T.; Jung, W.-G. Hydrothermally reduced graphene oxide as a supercapacitor. Appl. Surf. Sci. 2015, 357, 1911–1914. [Google Scholar] [CrossRef]
  40. Sekhar, M.C.; Reddy, B.P.; Kuchi, C.; Basha, C.K.; Al-Zahrani, F.A.M.; Mangiri, R. Enhanced solar-driven photocatalytic hydrogen production, dye degradation, and supercapacitor functionality using MoS2–TiO2 nanocomposite. Ceram. Int. 2024, 50, 38679–38687. [Google Scholar] [CrossRef]
  41. Salagean, C.A.; Cotet, L.C.; Baia, M.; Fort, C.I.; Turdean, G.L.; Barbu-Tudoran, L.; Lazar, M.D.; Baia, L. Influence of precursors on physical characteristics of MoS2 and their correlation with potential electrochemical applications. Materials 2025, 18, 2111. [Google Scholar] [CrossRef]
  42. Lakshmi-Narayana, A.; Attarzadeh, N.; Shutthanandan, V.; Ramana, C.V. High-performance NiCo2O4/graphene quantum dots for asymmetric and symmetric supercapacitors with enhanced energy efficiency. Adv. Funct. Mater. 2024, 34, 2316379. [Google Scholar] [CrossRef]
  43. Nayak, S.; Kittur, A.A.; Nayak, S.; Murgunde, B. Binderless nano marigold flower like structure of nickel sulfide electrode for sustainable supercapacitor energy storage applications. J. Energy Storage 2023, 62, 106963. [Google Scholar] [CrossRef]
  44. Moradi, M.; Zolfaghari, S.; Pooriraj, M.; Babamoradi, M.; Hajati, S. One-step synthesis of Zn-doped nickel sulfide/graphene derived from Ni-MOF for supercapacitor application. Mater. Chem. Phys. 2025, 329, 130068. [Google Scholar] [CrossRef]
  45. Vinothkumar, V.; Naveenkumar, P.; Oh, D.E.; Maniyazagan, M.; Yang, H.W.; Bong, S.; Kim, S.J.; Kim, T.H. Nickel-mixed chromium sulfide nanoparticle synthesis, characterization, and supercapacitor applications. Vacuum 2024, 225, 113234. [Google Scholar] [CrossRef]
  46. Al-Abawi, B.T.; Parveen, N.; Ansari, S.A. Controllable synthesis of sphere-shaped interconnected interlinked binder-free nickel sulfide@nickel foam for high-performance supercapacitor applications. Sci. Rep. 2022, 12, 14413. [Google Scholar] [CrossRef] [PubMed]
  47. Balu, R.; Panneerselvam, A.; Rajabathar, J.R.; Devendrapandi, G.; Subburaj, S.; Anand, S.; Veerasamy, U.S.; Palani, S. Synergistic effect of Echinops flower-like Copper sulfide@Cadmium sulfide heterostructure for high-performance all-solid-state. J. Energy Storage 2023, 72, 108447. [Google Scholar] [CrossRef]
  48. Kuo, T.R.; Lin, K.H.; Chen, M.W.; Yougbare, S.; Lin, L.Y.; Wu, Y.F. Tailing copper cobalt sulfide particle-decorated tube-like structure as efficient active material of battery supercapacitor hybrid. J. Energy Storage 2023, 67, 107564. [Google Scholar] [CrossRef]
  49. Hussain, S.; Vikraman, D.; Sarfraz, M.; Faizan, M.; Patil, S.A.; Batoo, K.M.; Nam, K.W.; Kim, H.S.; Jung, J. Design of XS2 (X = W or Mo)-decorated VS2 hybrid nano-architectures with abundant active edge sites for high-rate asymmetric supercapacitors and hydrogen evolution reactions. Small 2023, 19, 2205881. [Google Scholar] [CrossRef]
  50. Mohamed, S.G.; Morad, M.M.; Siddiqui, M.R.; Mahmud, A.A.; Zoubi, W.A. Improving the electrochemical performance of zinc sulfides by iron doping toward supercapacitor applications. Adv. Mater. Interfaces 2024, 11, 2300790. [Google Scholar] [CrossRef]
  51. Azimov, F.; Lee, J.; Park, S.; Jung, H.M. Fabrication of assembled FeS2 nanosheet and application for high-performance supercapacitor electrodes. ACS Appl. Mater. Interfaces 2023, 15, 26967–26976. [Google Scholar] [CrossRef] [PubMed]
  52. Hu, R.Y.; Liu, L.Y.; He, J.H.; Zhou, Y.; Wu, S.B.; Zheng, M.X.; Demir, M.; Ma, P.P. Preparation and electrochemical properties of bimetallic carbide Fe3Mo3C/Mo2C@carbon nanotubes as negative electrode material for supercapacitor. J. Energy Storage 2023, 72, 108656. [Google Scholar] [CrossRef]
  53. Wu, S.; Hu, R.; Zhou, Y.; He, J.; Demir, M.; Ma, P. Phase modulation and electrochemical behavior of Fe3Mo3C/Mo2C composite nanofibers as supercapacitor negative electrodes. ACS Appl. Energy Mater. 2024, 7, 9827–9838. [Google Scholar] [CrossRef]
  54. Jabeen, N.; Hussain, A.; Elsaeedy, H.I.; Rahman, A.U.; Tarique, M. Unique hierarchical architecture of SnO2 hexagonal interconnected nanolayered arrays as negative electrode for high performance asymmetric supercapacitors. Mater. Chem. Phys. 2023, 303, 127796. [Google Scholar] [CrossRef]
  55. Jabeen, N.; Hassan, N.U.; Bokhari, A.; Khan, M.F.; Eldin, S.M.; Arifeen, W.U.; Hussain, A.; Bahajjaj, A.A.A. High performance δ-Bi2O3 nanosheets transformed Bi2S3 nanoflakes interconnected nanosheets as negative electrode for supercapacitor applications. Fuel 2023, 347, 128392. [Google Scholar] [CrossRef]
  56. Zhu, W.; Yan, X.; Huang, X.; Wu, S.; Chen, H.; Pan, J.; Li, T.; Shahnavaz, Z. Three-dimensional carbon-based endogenous-exogenous MoO2 composites as high-performance negative electrode in asymmetric supercapacitors and efficient electrocatalyst for oxygen evolution reaction. Ceram. Int. 2023, 49, 5646–5656.s. [Google Scholar] [CrossRef]
  57. Wang, Y.; Lu, W.; Wang, L.; Li, Y.; Wu, H.; Zhu, X.; Zhang, C.; Wang, K. Vanadate-based Fe-MOFs as promising negative electrode for hybrid supercapacitor device. Nanotechnology 2024, 35, 205402. [Google Scholar] [CrossRef]
  58. Wang, X.; Zhou, F.; Jing, R.; Gu, S.; Zhang, Q.; Li, Z.; Zhu, Y.; Xiao, Z.; Wang, L. The precise building units modulation of iron-bismuth sulfide triple-level hierarchical structure for enhanced supercapacitor performance. J. Power Sources 2024, 597, 234128. [Google Scholar] [CrossRef]
  59. Saha, S.; Kandasamy, M.; Potphode, D.; Sharma, C.S.; Chakraborty, B.; Hameed, N.; Salim, N. Zeolitic imidazolate framework derived stellate shaped cobalt-molybdenum hybrid sulfide microflower for enhanced supercapacitor properties. J. Energy Storage 2024, 99, 113294. [Google Scholar] [CrossRef]
  60. Semerci, F.; Egin, H. Step-wise synthesis of mesoporous CuCo2O4@reduced graphene oxide composites for supercapacitor applications. Electroanal. Chem. 2024, 970, 118550. [Google Scholar] [CrossRef]
  61. Kalia, S.; Choudhary, D.; Shrivastav, M.; Bala, R.; Singh, R.K.; Khan, M.S.; Dhiman, R. Synergistic effects of Ag nanoparticles in the rGO and Co3O4 based electrode materials for asymmetric supercapacitors. Electrochim. Acta 2024, 491, 144337. [Google Scholar] [CrossRef]
  62. Yao, Y.; Yu, Y.; Wan, L.; Du, C.; Zhang, Y.; Chen, J.; Xie, M. Structurally-stable Mg-Co-Ni LDH grown on reduced graphene by ball-milling and ion-exchange for highly-stable asymmetric supercapacitor. J. Colloid Interface Sci. 2023, 649, 519–527. [Google Scholar] [CrossRef] [PubMed]
Scheme 1. Depicts the preparation of FMS/G composite, achieved via a simple and efficient hydrothermal approach.
Scheme 1. Depicts the preparation of FMS/G composite, achieved via a simple and efficient hydrothermal approach.
Molecules 30 04045 sch001
Figure 1. (a,b) SEM images, (c,d) TEM images, (e) HR-TEM image, and (f) EDS elemental mapping of Fe, Mo, S, C, and O of FMS/G-3 composite.
Figure 1. (a,b) SEM images, (c,d) TEM images, (e) HR-TEM image, and (f) EDS elemental mapping of Fe, Mo, S, C, and O of FMS/G-3 composite.
Molecules 30 04045 g001
Figure 2. (a) XRD pattern of MS/G, FMS/G-1, FMS/G-2, FMS/G-3, and FMS/G-4 composite, (b) Raman spectra, (c) N2 sorption isotherms, (d) BJH pore size distribution plot of MS/G, FMS/G-1, FMS/G-2, FMS/G-3, and FMS/G-4 composite.
Figure 2. (a) XRD pattern of MS/G, FMS/G-1, FMS/G-2, FMS/G-3, and FMS/G-4 composite, (b) Raman spectra, (c) N2 sorption isotherms, (d) BJH pore size distribution plot of MS/G, FMS/G-1, FMS/G-2, FMS/G-3, and FMS/G-4 composite.
Molecules 30 04045 g002
Figure 3. (a) XPS survey of MS/G and FMS/G-3, (b) Fe 2p spectrum, (c) Mo 3d spectrum, and (d) S 2p spectrum of FMS/G-3, (e) Mo 3d spectrum, and (f) S 2p spectrum of MS/G.
Figure 3. (a) XPS survey of MS/G and FMS/G-3, (b) Fe 2p spectrum, (c) Mo 3d spectrum, and (d) S 2p spectrum of FMS/G-3, (e) Mo 3d spectrum, and (f) S 2p spectrum of MS/G.
Molecules 30 04045 g003
Figure 4. (a) CV curves of MS/G, FMS/G-1, FMS/G-2, FMS/G-3, and FMS/G-4 composites at 50 mV s−1, (b) GCD curves at different current densities of FMS/G-3 composite, (c) specific capacitance, (d) Nyquist plots of MS/G, FMS/G-1, FMS/G-2, FMS/G-3, and FMS/G-4 composites, (e) linear fitting plots of log (i) vs. log (ν), (f) capacitive contribution of FMS/G-3 composite.
Figure 4. (a) CV curves of MS/G, FMS/G-1, FMS/G-2, FMS/G-3, and FMS/G-4 composites at 50 mV s−1, (b) GCD curves at different current densities of FMS/G-3 composite, (c) specific capacitance, (d) Nyquist plots of MS/G, FMS/G-1, FMS/G-2, FMS/G-3, and FMS/G-4 composites, (e) linear fitting plots of log (i) vs. log (ν), (f) capacitive contribution of FMS/G-3 composite.
Molecules 30 04045 g004
Figure 5. (a) CV curves at various scan rates, (b) GCD curves at different current densities, and (c) specific capacitance of FMS/G-3 composite at negative potential window.
Figure 5. (a) CV curves at various scan rates, (b) GCD curves at different current densities, and (c) specific capacitance of FMS/G-3 composite at negative potential window.
Molecules 30 04045 g005
Figure 6. (a) CV curves of FMS/G-3 as positive and negative electrode at 50 mV s−1, (b) CVs at various sweep rates (10–100 mV s−1), (c) GCD curves at various current densities (1–20 A g−1), (d) specific capacitance vs. current density, (e) cycling stabilities for 10,000 cycles, and (f) Ragone plot of the FMS/G-3//FMS/G-3 SC device.
Figure 6. (a) CV curves of FMS/G-3 as positive and negative electrode at 50 mV s−1, (b) CVs at various sweep rates (10–100 mV s−1), (c) GCD curves at various current densities (1–20 A g−1), (d) specific capacitance vs. current density, (e) cycling stabilities for 10,000 cycles, and (f) Ragone plot of the FMS/G-3//FMS/G-3 SC device.
Molecules 30 04045 g006
Table 1. Variation peaks of the deconvoluted Mo with different iron doping.
Table 1. Variation peaks of the deconvoluted Mo with different iron doping.
SamplesMo 3d3/2 (eV)Mo 3d5/2 (eV)
2H1T2H1T
MS/G233.05230.7226.8226.0
FMS/G-1232.7231.4229.2228.2
FMS/G-2232.9231.7229.8228.6
FMS/G-3233.1231.9229.8228.8
FMS/G-4233.5 232.2230.4
Table 2. Comparison of the electrochemical performance of the reported materials as positive electrode for supercapacitors.
Table 2. Comparison of the electrochemical performance of the reported materials as positive electrode for supercapacitors.
MaterialsSpecific CapacitanceElectrolyteStabilityRef.
NiS613 F g−1 at 1.1 A g−13 M KOH97% (5000 cycles)[43]
Zn-NiS/G442.66 F g−1 at 1 A g−16 M KOH-[44]
Ni-Cr2S3187.53 F g−1 at 0.5 A g−13 M KOH93.31% (5000 cycles)[45]
SS-NiS@3DNF470 F g−1 at 1 A g−12 M KOH88% (6700 cycles)[46]
CuS/CdS543.6 F g−1 at 1 A g−13 M KOH89.06% (10,000 cycles)[47]
CuCo2S4831.7 F g−1 at 20 mV s−13 M KOH78.8% (10,000 cycles)[48]
WS2@VS2 615 F g−1 at 2.5 A g−11 M KOH98.85% (5000 cycles)[49]
Zn0.7Fe0.3S700 F g−1 at 0.5 A g−16 M KOH80% (2000 cycles)[50]
FMS/G931 F·g−1 at 1 A·g−13 M KOH90.5% (10,000 cycles)This work
Table 3. Comparison of the electrochemical performance of the reported materials as negative electrode for supercapacitors.
Table 3. Comparison of the electrochemical performance of the reported materials as negative electrode for supercapacitors.
MaterialsSpecific CapacitanceElectrolyteRef.
NSA-FeS2/polyaniline976 F g−1 at 0.5 A g−11 M Na2SO3[51]
Fe3Mo3C/Mo2C@CNTs202.3 F g−1 at 1 A g−11 M KOH[52]
Mo2C/Fe3Mo3C354.9 F g−1 at 1 A g−11 M KOH[53]
SnO2325 F g−1 at 1 A g−12 M Na2SO4[54]
Bi2S3565 F g−1 at 1 A g−12 M Na2SO4[55]
MoO2411 F g−1 at 1 A g−11 M Na2SO4[56]
GO/Fe-VO4-BIPY190 F g−1 at 0.5 A g−16 M KOH[57]
(Fe/Bi)2S3610 F g−1 at 1 A g−16 M KOH[58]
FMS/G669 F·g−1 at 1 A·g−13 M KOHThis work
Disclaimer/Publisher’s Note: The statements, opinions and data contained in all publications are solely those of the individual author(s) and contributor(s) and not of MDPI and/or the editor(s). MDPI and/or the editor(s) disclaim responsibility for any injury to people or property resulting from any ideas, methods, instructions or products referred to in the content.

Share and Cite

MDPI and ACS Style

Li, X.; Zhao, M.; Li, S.; Cheng, S.; Zuo, Y.; Wang, K.; Guo, M. Iron-Doped Molybdenum Sulfide Nanoflowers on Graphene for High-Performance Supercapacitors. Molecules 2025, 30, 4045. https://doi.org/10.3390/molecules30204045

AMA Style

Li X, Zhao M, Li S, Cheng S, Zuo Y, Wang K, Guo M. Iron-Doped Molybdenum Sulfide Nanoflowers on Graphene for High-Performance Supercapacitors. Molecules. 2025; 30(20):4045. https://doi.org/10.3390/molecules30204045

Chicago/Turabian Style

Li, Xuyang, Mingjian Zhao, Shuyi Li, Shiyuan Cheng, Yiting Zuo, Kaixuan Wang, and Meng Guo. 2025. "Iron-Doped Molybdenum Sulfide Nanoflowers on Graphene for High-Performance Supercapacitors" Molecules 30, no. 20: 4045. https://doi.org/10.3390/molecules30204045

APA Style

Li, X., Zhao, M., Li, S., Cheng, S., Zuo, Y., Wang, K., & Guo, M. (2025). Iron-Doped Molybdenum Sulfide Nanoflowers on Graphene for High-Performance Supercapacitors. Molecules, 30(20), 4045. https://doi.org/10.3390/molecules30204045

Article Metrics

Back to TopTop