Novel Synthesis of Phosphorus-Doped Porous Carbons from Lotus Petiole Using Sodium Phytate for Selective CO2 Capture
Abstract
1. Introduction
2. Synthesis and Characterization
3. Results and Discussion
3.1. Characterization Results of Porous Carbon
3.2. Textural Properties
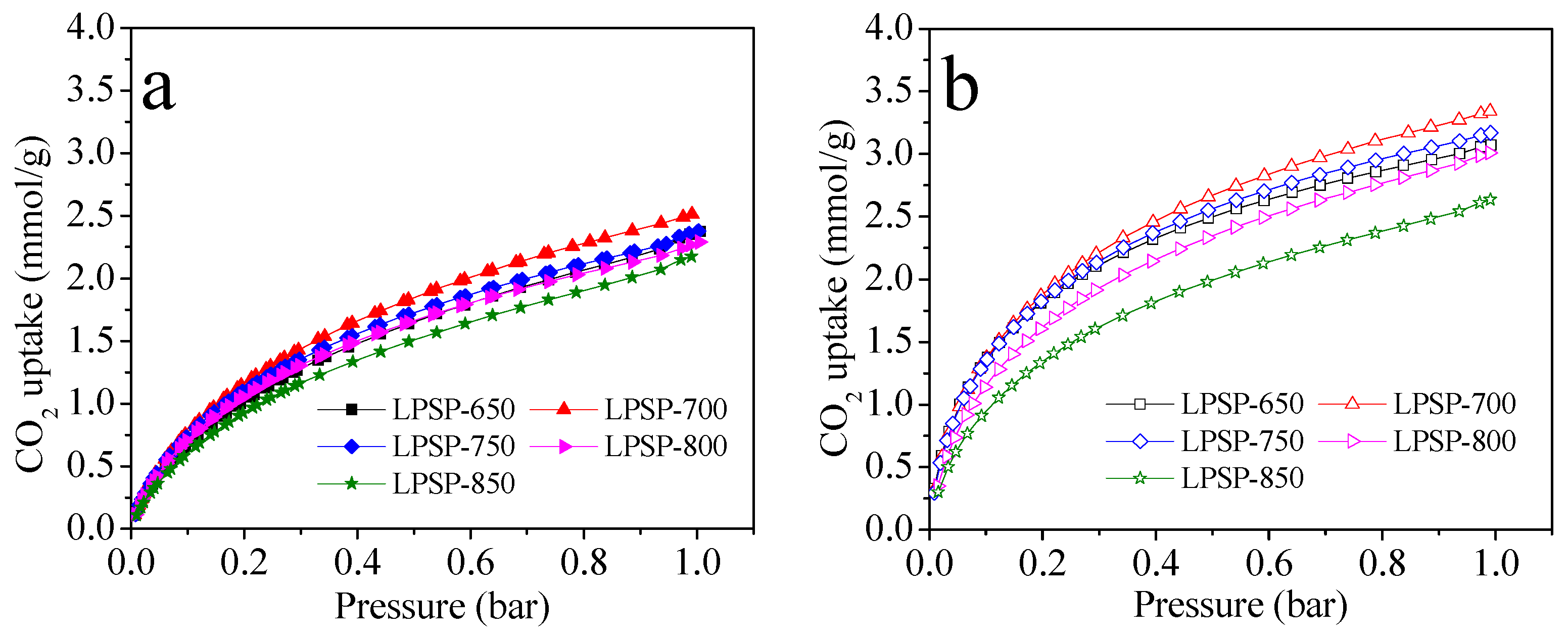
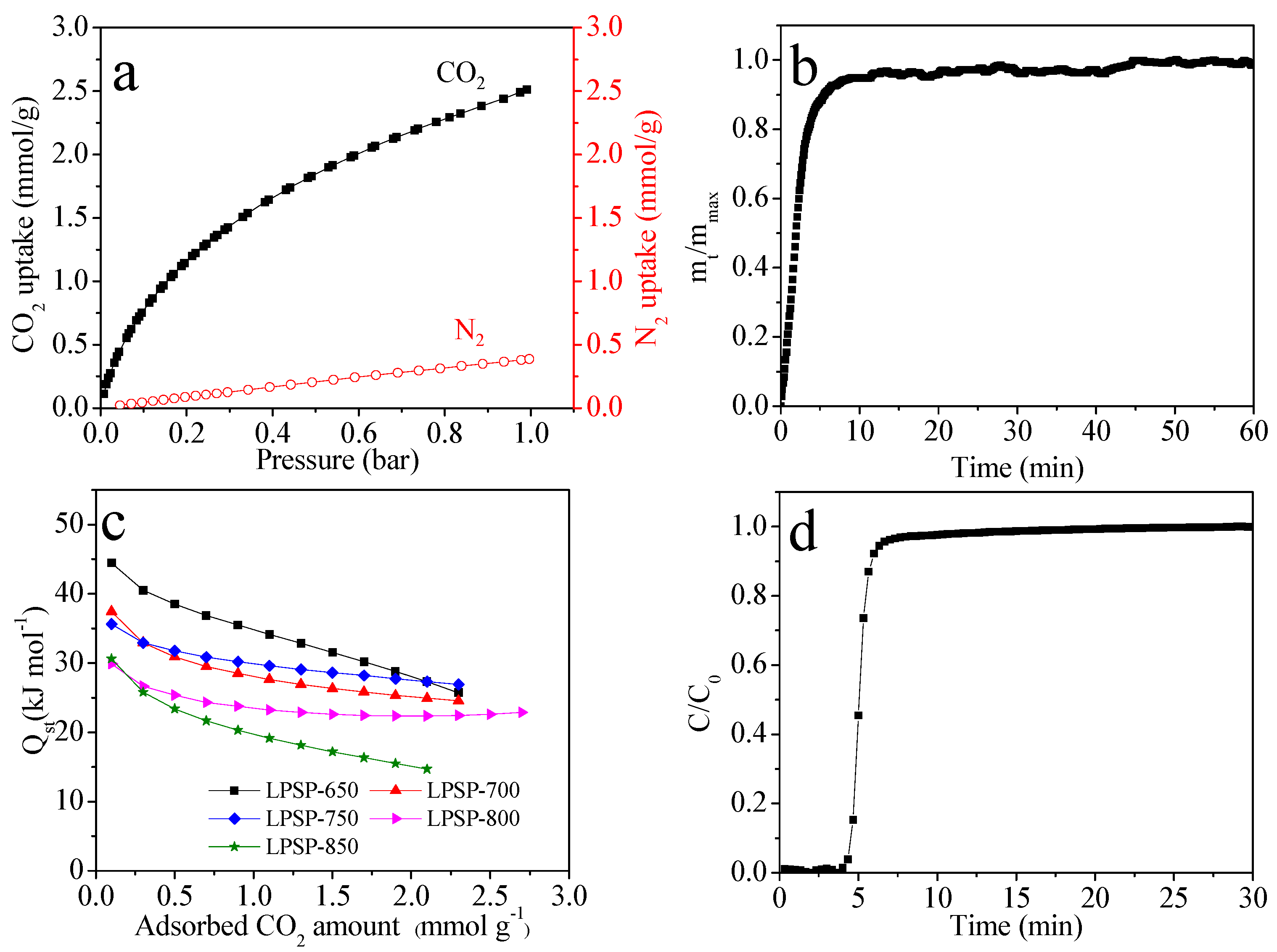
3.3. CO2 Adsorption Results of Porous Carbon
4. Conclusions
Supplementary Materials
Author Contributions
Funding
Institutional Review Board Statement
Informed Consent Statement
Data Availability Statement
Conflicts of Interest
References
- Dziejarski, B.; Serafin, J.; Andersson, K.; Krzyżyńska, R. CO2 capture materials: A review of current trends and future challenges. Mater. Today Sustain. 2023, 24, 100483. [Google Scholar] [CrossRef]
- Wennersten, R.; Sun, Q.; Li, H. The future potential for Carbon Capture and Storage in climate change mitigation—An overview from perspectives of technology, economy and risk. J. Clean. Prod. 2015, 103, 724–736. [Google Scholar] [CrossRef]
- Rochelle, G.T. Amine Scrubbing for CO2 Capture. Science 2009, 325, 1652–1654. [Google Scholar] [CrossRef]
- Soo, X.Y.D.; Lee, J.J.C.; Wu, W.-Y.; Tao, L.; Wang, C.; Zhu, Q.; Bu, J. Advancements in CO2 capture by absorption and adsorption: A comprehensive review. J. CO2 Util. 2024, 81, 102727. [Google Scholar] [CrossRef]
- Chatterjee, S.; Jeevanandham, S.; Mukherjee, M.; Vo, D.-V.N.; Mishra, V. Significance of re-engineered zeolites in climate mitigation—A review for carbon capture and separation. J. Environ. Chem. Eng. 2021, 9, 105957. [Google Scholar] [CrossRef]
- Millward, A.R.; Yaghi, O.M. Metal-Organic Frameworks with Exceptionally High Capacity for Storage of Carbon Dioxide at Room Temperature. J. Am. Chem. Soc. 2005, 127, 17998–17999. [Google Scholar] [CrossRef]
- Yu, J.; Xie, L.-H.; Li, J.-R.; Ma, Y.; Seminario, J.M.; Balbuena, P.B. CO2 Capture and Separations Using MOFs: Computational and Experimental Studies. Chem. Rev. 2017, 117, 9674–9754. [Google Scholar] [CrossRef]
- Guo, Y.F.; Tan, C.; Sun, J.; Li, W.L.; Zhang, J.B.; Zhao, C.W. Porous activated carbons derived from waste sugarcane bagasse for CO2 adsorption. Chem. Eng. J. 2020, 381, 122736. [Google Scholar] [CrossRef]
- Shi, J.; Cui, H.; Xu, J.; Yan, N.; Liu, Y. Design and fabrication of hierarchically porous carbon frameworks with Fe2O3 cubes as hard template for CO2 adsorption. Chem. Eng. J. 2020, 389, 124459. [Google Scholar] [CrossRef]
- Shao, J.; Wang, Y.; Che, M.; Xiao, Q.; Demir, M.; Al Mesfer, M.K.; Wang, L.; Hu, X.; Liu, Y. N,S Co-doped porous carbons from coconut shell for selective CO2 adsorption. J. Energy Inst. 2025, 123, 102273. [Google Scholar] [CrossRef]
- Rehman, A.; Nazir, G.; Rhee, K.Y.; Park, S.-J. A rational design of cellulose-based heteroatom-doped porous carbons: Promising contenders for CO2 adsorption and separation. Chem. Eng. J. 2021, 420, 130421. [Google Scholar] [CrossRef]
- Singh, G.; Ruban, A.M.; Geng, X.; Vinu, A. Recognizing the potential of K-salts, apart from KOH, for generating porous carbons using chemical activation. Chem. Eng. J. 2023, 451, 139045. [Google Scholar] [CrossRef]
- Khosrowshahi, M.S.; Mashhadimoslem, H.; Shayesteh, H.; Singh, G.; Khakpour, E.; Guan, X.W.; Rahimi, M.; Maleki, F.; Kumar, P.; Vinu, A. Natural Products Derived Porous Carbons for CO2 Capture. Adv. Sci. 2023, 10, 2304289. [Google Scholar] [CrossRef] [PubMed]
- Li, Y.; Chen, B.; Gao, Y.; Zhang, J.; Wang, B. Optimization performance of viscose rayon derived flexible porous carbon cloths in relation to their CO2 capture, CO2/CH4 separation and methanol adsorption. Colloids Surf. A Physicochem. Eng. Asp. 2023, 677, 132350. [Google Scholar] [CrossRef]
- Wang, L.; Ma, Y.; Liu, H.; Guo, Y.; Yang, B.; Chang, B. Leveraging porosity and morphology in hierarchically porous carbon microtubes for CO2 capture and separation from humid flue gases. Sep. Purif. Technol. 2025, 354, 128910. [Google Scholar] [CrossRef]
- Sun, L.-B.; Kang, Y.-H.; Shi, Y.-Q.; Jiang, Y.; Liu, X.-Q. Highly Selective Capture of the Greenhouse Gas CO2 in Polymers. ACS Sustain. Chem. Eng. 2015, 3, 3077–3085. [Google Scholar] [CrossRef]
- Shao, L.; Li, Y.; Huang, J.; Liu, Y.-N. Synthesis of Triazine-Based Porous Organic Polymers Derived N-Enriched Porous Carbons for CO2 Capture. Ind. Eng. Chem. Res. 2018, 57, 2856–2865. [Google Scholar] [CrossRef]
- Sang, Y.F.; Cao, Y.W.; Wang, L.Z.; Yan, W.; Chen, T.W.; Huang, J.H.; Liu, Y.N. N-rich porous organic polymers based on Schiff base reaction for CO2 capture and mercury(II) adsorption. J. Colloid. Interface Sci. 2021, 587, 121–130. [Google Scholar] [CrossRef]
- Wang, J.; Wang, Y.; Liu, X.; Xiao, Q.; Demir, M.; Almesfer, M.K.; Colak, S.G.; Wang, L.; Hu, X.; Liu, Y. The Synthesis of B-Doped Porous Carbons via a Sodium Metaborate Tetrahydrate Activating Agent: A Novel Approach for CO2 Adsorption. Molecules 2025, 30, 2564. [Google Scholar] [CrossRef] [PubMed]
- Wang, J.; Yin, Y.; Liu, X.; Liu, Y.; Xiao, Q.; Zhao, L.; Demir, M.; Alaş Çolak, M.Ö.; Wang, L.; Hu, X. Potassium metaborate-activated boron-doped porous carbons for selective CO2 adsorption. Sep. Purif. Technol. 2025, 376, 134079. [Google Scholar] [CrossRef]
- Guo, X.; Zhang, G.; Wu, C.; Liu, J.; Li, G.; Zhao, Y.; Wang, Y.; Xu, Y. A cost-effective synthesis of heteroatom-doped porous carbon by sulfur-containing waste liquid treatment: As a promising adsorbent for CO2 capture. J. Environ. Chem. Eng. 2021, 9, 105165. [Google Scholar] [CrossRef]
- Wu, W.; Wu, C.; Liu, J.; Yan, H.; Zhang, G.; Li, G.; Zhao, Y.; Wang, Y. Nitrogen-doped porous carbon through K2CO3 activated bamboo shoot shell for an efficient CO2 adsorption. Fuel 2024, 363, 130937. [Google Scholar] [CrossRef]
- Aghel, B.; Behaein, S.; Alobiad, F. CO2 capture from biogas by biomass-based adsorbents: A review. Fuel 2022, 328, 125276. [Google Scholar] [CrossRef]
- Kundu, S.; Khandaker, T.; Anik, M.A.-A.M.; Hasan, M.K.; Dhar, P.K.; Dutta, S.K.; Latif, M.A.; Hossain, M.S. A comprehensive review of enhanced CO2 capture using activated carbon derived from biomass feedstock. RSC Adv. 2024, 14, 29693–29736. [Google Scholar] [CrossRef]
- Vinayakumar, K.; Palliyarayil, A.; Prakash, P.S.; Kumar, N.S.; Sil, S. A facile one pot synthesis of biocarbon derived from water hyacinth and development of pellets for CO2 capture applications. Biomass Bioenergy 2022, 167, 106648. [Google Scholar] [CrossRef]
- Shao, J.; Wang, Y.; Liu, C.; Xiao, Q.; Demir, M.; Al Mesfer, M.K.; Danish, M.; Wang, L.; Hu, X. Advanced microporous carbon adsorbents for selective CO2 capture: Insights into heteroatom doping and pore structure optimization. J. Anal. Appl. Pyrolysis 2025, 186, 106946. [Google Scholar] [CrossRef]
- Shao, J.; Wang, J.; Yu, Q.; Yang, F.; Demir, M.; Altinci, O.C.; Umay, A.; Wang, L.; Hu, X. Unlocking the potential of N-doped porous Carbon: Facile synthesis and superior CO2 adsorption performance. Sep. Purif. Technol. 2024, 333, 125891. [Google Scholar] [CrossRef]
- Shao, J.; Wang, Y.; Che, M.; Liu, Y.; Jiang, Y.; Xiao, Q.; Demir, M.; Wang, L.; Hu, X. Sustainable CO2 Capture: N,S-Codoped Porous Carbons Derived from Petroleum Coke with High Selectivity and Stability. Molecules 2025, 30, 426. [Google Scholar] [CrossRef]
- Wang, Q.; He, D.; Mu, J. Hierarchically porous carbon from cork with tunable pore size and N-doped structure for adsorption of toluene and CO2. Sep. Purif. Technol. 2025, 360, 131256. [Google Scholar] [CrossRef]
- Wang, Y.; Suo, Y.; Xu, Y.; Zhang, Z. Enhancing CO2 adsorption performance of porous nitrogen-doped carbon materials derived from ZIFs: Insights into pore structure and surface chemistry. Sep. Purif. Technol. 2024, 335, 126117. [Google Scholar] [CrossRef]
- Xu, Q.; Wang, J.; Feng, J.; Liu, C.; Xiao, Q.; Demir, M.; Simsek, U.B.; Kılıç, M.; Wang, L.; Hu, X. D-glucose-derived S-doped porous carbon: Sustainable and effective CO2 adsorption. Colloids Surf. A Physicochem. Eng. Asp. 2025, 709, 136054. [Google Scholar] [CrossRef]
- Xiao, J.; Wang, Y.; Zhang, T.C.; Yuan, S. N,S-containing polycondensate-derived porous carbon materials for superior CO2 adsorption and supercapacitor. Appl. Surf. Sci. 2021, 562, 150128. [Google Scholar] [CrossRef]
- Xiao, J.; Yuan, X.; Zhang, T.C.; Ouyang, L.; Yuan, S. Nitrogen-doped porous carbon for excellent CO2 capture: A novel method for preparation and performance evaluation. Sep. Purif. Technol. 2022, 298, 121602. [Google Scholar] [CrossRef]
- Zhi, Y.; Shao, J.; Liu, C.; Xiao, Q.; Demir, M.; Al Mesfer, M.K.; Danish, M.; Wang, L.; Hu, X. High-performance CO2 adsorption with P-doped porous carbons from lotus petiole biomass. Sep. Purif. Technol. 2025, 361, 131253. [Google Scholar] [CrossRef]
- Zhi, Y.; Yin, Y.; Ciren, Q.; Xiao, Q.; Zhao, L.; Demir, M.; Simsek, U.B.; Hu, X.; Wang, L. One-step synthesis of K3PO4-activated phosphorus-enriched carbons for enhanced carbon capture. J. Environ. Chem. Eng. 2025, 13, 116694. [Google Scholar] [CrossRef]
- Bao, S.D.; Jian, W.; Li, J.H.; Bao, Y.S.; Bao, A. Phosphorus-induced formation of micropores and nitrogen groups for efficient CO2 capture: Experiments and DFT calculations. Chem. Eng. J. 2023, 475, 146149. [Google Scholar] [CrossRef]
- Wu, R.; Hang, Y.; Li, J.; Bao, A. Preparation of biomass-derived phosphorus-doped microporous carbon material and its application in dye adsorption and CO2 capture. Surf. Interface Anal. 2022, 54, 881–891. [Google Scholar] [CrossRef]
- Panda, P.; Roy, S.; Barman, S. Phosphorus and Nitrogen Codoped Porous Carbon Nanosheets for Energy Storage and Gas Adsorption. ACS Appl. Nano Mater. 2024, 7, 2382–2393. [Google Scholar] [CrossRef]
- Lin, G.; Wang, Q.; Yang, X.; Cai, Z.; Xiong, Y.; Huang, B. Preparation of phosphorus-doped porous carbon for high performance supercapacitors by one-step carbonization. RSC Adv. 2020, 10, 17768–17776. [Google Scholar] [CrossRef]
- Li, J.; Ma, X.; Yu, Z.; Zhang, X.; Yue, W. Green synthesis of N, O, P co-doped porous carbon from co-pyrolysis of bamboo and ammonium polyphosphate for supercapacitors. J. Anal. Appl. Pyrolysis 2024, 178, 106427. [Google Scholar] [CrossRef]
- Zhang, G.; Yang, F.; Liu, X.; Zhao, H.; Che, S.; Li, J.; Yan, X.; Sun, S.; Chen, F.; Xu, C.; et al. Tuning surface chemical property in hierarchical porous carbon via nitrogen and phosphorus doping for deep desulfurization. Sep. Purif. Technol. 2022, 280, 119923. [Google Scholar] [CrossRef]
- Shao, S.; Wang, Y.; Ma, L.; Huang, Z.; Li, X. Sustainable preparation of hierarchical porous carbon from discarded shells of crustaceans for efficient CO2 capture. Fuel 2024, 355, 129287. [Google Scholar] [CrossRef]
- Tang, J.; Li, B.; Isa, Y.M.; Xie, X.; Kozlov, A.; Penzik, M.; Liu, D. Nitrogen-doped porous biocarbon materials originated from heavy bio-oil and their CO2 adsorption characteristics. Biomass Bioenergy 2024, 182, 107113. [Google Scholar] [CrossRef]
- Wu, Y.; Liu, H.; Cheng, Z.; Liu, L.; Zhang, S.; Shen, G.; Chen, Q. Preparation of corn straw-based porous carbon with target pore structure for high-performance electrode materials via a one-step process. Bioresour. Technol. 2025, 435, 132852. [Google Scholar] [CrossRef]
- Sun, Y.; Sheng, Z.; Chen, E.; Tang, Z.; Wang, J.; Zhu, X.; Wang, Z.; Li, X.; Xie, X.; Lin, X. Tuning the pore structure of N/O co-doped porous carbon nanosheets for high-performance supercapacitors and zinc-ion capacitors. Int. J. Hydrogen Energy 2025, 118, 35–45. [Google Scholar] [CrossRef]
- Yuan, X.; Xiao, J.; Yilmaz, M.; Zhang, T.C.; Yuan, S. N,P Co-doped porous biochar derived from cornstalk for high performance CO2 adsorption and electrochemical energy storage. Sep. Purif. Technol. 2022, 299, 121719. [Google Scholar] [CrossRef]
- Gong, L.; Hang, Y.; Li, J.; Dai, G.; Bao, A. Simple fabrication of a phosphorus-doped hierarchical porous carbon via soft-template method for efficient CO2 capture. Surf. Interface Anal. 2022, 54, 899–908. [Google Scholar] [CrossRef]
- Li, D.; Li, W.B.; Shi, J.S.; Xin, F.W. Influence of doping nitrogen, sulfur, and phosphorus on activated carbons for gas adsorption of H2, CH4 and CO2. RSC Adv. 2016, 6, 50138–50143. [Google Scholar] [CrossRef]
- Myers, A.L.; Prausnitz, J.M. Thermodynamics of mixed-gas adsorption. AIChE J. 1965, 11, 121–127. [Google Scholar] [CrossRef]









| Sample | SBET a (m2/g) | V0 b (cm3/g) | Vt c (cm3/g) | Vn d (cm3/g) | XPS (at. %) | CO2 Uptake (mmol/g) | ||||
|---|---|---|---|---|---|---|---|---|---|---|
| N | C | P | O | 25 °C | 0 °C | |||||
| LPC | 2 | 0.10 | - | - | 1.49 | 78.51 | 0.57 | 19.43 | 0.23 | 0.36 |
| LPSP-650 | 418 | 0.31 | 0.15 | 0.25 | 1.49 | 73.25 | 2.84 | 22.42 | 2.37 | 3.07 |
| LPSP-700 | 525 | 0.39 | 0.19 | 0.28 | 1.58 | 73.06 | 2.92 | 22.44 | 2.51 | 3.34 |
| LPSP-750 | 341 | 0.32 | 0.12 | 0.26 | 1.40 | 71.88 | 3.28 | 23.43 | 2.38 | 3.17 |
| LPSP-800 | 237 | 0.26 | 0.08 | 0.28 | 1.46 | 72.42 | 2.45 | 23.66 | 2.29 | 3.01 |
| LPSP-850 | 132 | 0.19 | 0.04 | 0.28 | 1.31 | 72.11 | 3.09 | 23.49 | 2.18 | 2.63 |
Disclaimer/Publisher’s Note: The statements, opinions and data contained in all publications are solely those of the individual author(s) and contributor(s) and not of MDPI and/or the editor(s). MDPI and/or the editor(s) disclaim responsibility for any injury to people or property resulting from any ideas, methods, instructions or products referred to in the content. |
© 2025 by the authors. Licensee MDPI, Basel, Switzerland. This article is an open access article distributed under the terms and conditions of the Creative Commons Attribution (CC BY) license (https://creativecommons.org/licenses/by/4.0/).
Share and Cite
Zhi, Y.; Shao, J.; Wang, J.; Liu, X.; Xiao, Q.; Demir, M.; Simsek, U.B.; Wang, L.; Hu, X. Novel Synthesis of Phosphorus-Doped Porous Carbons from Lotus Petiole Using Sodium Phytate for Selective CO2 Capture. Molecules 2025, 30, 3990. https://doi.org/10.3390/molecules30193990
Zhi Y, Shao J, Wang J, Liu X, Xiao Q, Demir M, Simsek UB, Wang L, Hu X. Novel Synthesis of Phosphorus-Doped Porous Carbons from Lotus Petiole Using Sodium Phytate for Selective CO2 Capture. Molecules. 2025; 30(19):3990. https://doi.org/10.3390/molecules30193990
Chicago/Turabian StyleZhi, Yue, Jiawei Shao, Junting Wang, Xiaohan Liu, Qiang Xiao, Muslum Demir, Utku Bulut Simsek, Linlin Wang, and Xin Hu. 2025. "Novel Synthesis of Phosphorus-Doped Porous Carbons from Lotus Petiole Using Sodium Phytate for Selective CO2 Capture" Molecules 30, no. 19: 3990. https://doi.org/10.3390/molecules30193990
APA StyleZhi, Y., Shao, J., Wang, J., Liu, X., Xiao, Q., Demir, M., Simsek, U. B., Wang, L., & Hu, X. (2025). Novel Synthesis of Phosphorus-Doped Porous Carbons from Lotus Petiole Using Sodium Phytate for Selective CO2 Capture. Molecules, 30(19), 3990. https://doi.org/10.3390/molecules30193990

