Synthesis of Novel Tetra-Substituted Pyrazole Derivatives Using Microwave Irradiation and Their Anti-Leukemic Activity Against Jurkat Cells
Abstract
1. Introduction
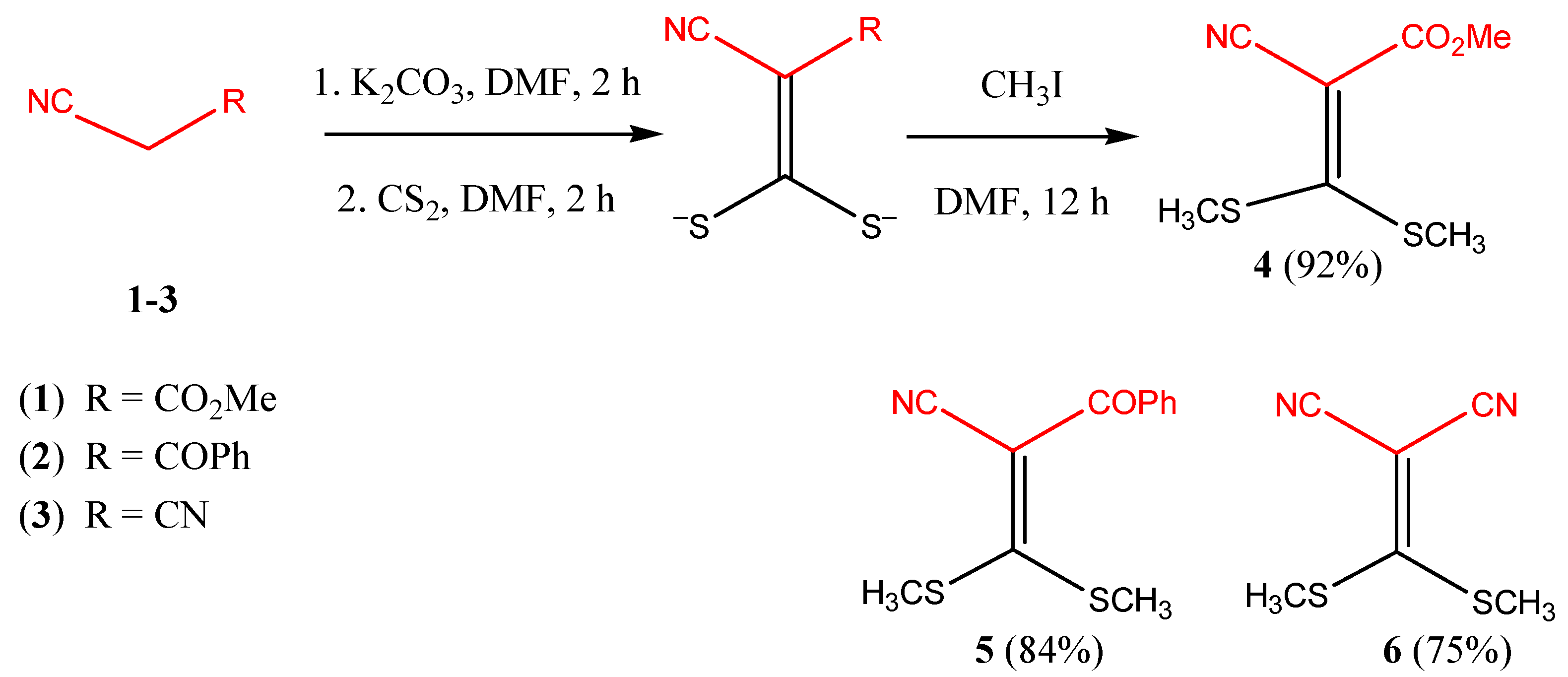
2. Results and Discussion
2.1. Synthesis
2.2. Biological Predictions and In Vitro Assays
3. Materials and Methods
3.1. Chemicals and Instruments
3.2. General Procedure for the Synthesis of Tetra-Substituted Pyrazoles (11–20)
- Methyl 5-amino-1-carbamothioyl-3-methylsulfanyl-1H-pyrazol-4-carboxylate (11): Yield 83%; light yellow solid; mp 189–191 °C; FTIR (ATR) ν/cm−1 3450, 3410, 3315, 3270, 1860, 1300, 700 cm−1; 1H NMR (500 MHz, DMSO-d6) δ 9.76 (s, 2H), 9.14 (s, 2H), 3.73 (s, 3H), 2.46 (s, 3H); 13C NMR (125 MHz, DMSO-d6) δ 176.6, 163.4, 155.0, 151.9, 128.0, 92.5, 51.3; HRMS (EIS) m/z [M + H]+ calcd. for C7H12N4O2S2+: 247.0318; found: 247.0342.
- Methyl 5-amino-3-methylsulfanyl-1H-pyrazol-4-carboxylate (12): Yield 86%; brown solid; mp 171–174 °C; FTIR (ATR) ν/cm−1 3450, 3300, 1750, 1350, 700 cm−1; 1H NMR (500 MHz, DMSO-d6) δ 6.27 (s, 1H), 3.67 (s, 2H), 2.34 (s, 3H); 13C NMR (125 MHz, DMSO-d6) δ 164.1, 153.4, 147.6, 12.9, 91.9, 50.7; HRMS (EIS) m/z [M + H]+ calcd. for C6H10N3O2S+: 188.0488; found: 188.0504.
- Methyl 5-amino-1-phenyl-3-methylsulfanyl-1H-pyrazol-4-carboxylate (13): Yield 75%; pearly white solid; mp 118–120 °C (close to the reported ethyl ester, 95–97 °C) [42]; FTIR (ATR) ν/cm−1 3340, 3320, 3100, 1680, 1600, 1460, 700 cm−1; 1H NMR (500 MHz, DMSO-d6) δ 7.55 (d, 4H, J 3.9 Hz), 7.54 (m, 1H), 6.41 (s, 2H), 3.74 (s, 3H), 2.40 (s, 3H); 13C NMR (125 MHz, DMSO-d6) δ 164.0, 151.4, 149.3, 138.2, 129.9, 128.8, 128.0, 124.2, 92.9, 51.1.
- 4-Cyano-3-methylsulfanyl-5-phenyl-1H-pyrazol-1-carbothioamide (14): Yield 72%; yellow solid; mp 123–127 °C; FTIR (ATR) ν/cm−1 34600, 3280, 2300, 1600, 1500, 700 cm−1; 1H NMR (500 MHz, DMSO-d6) δ 7.72–7,45 (m, 5H), 2.36 (s, 3H); 13C NMR (125 MHz, DMSO-d6) δ 164.0, 151.4, 149.3, 138.2, 129.9, 128.0, 124.2, 92.9, 51.1, 12.8; HRMS (EIS): m/z [M + H - HNCS]+ calcd. for [C12H11N4S2–HNCS]+: 214.0445; found: 214.0406.
- 3-Methylsulfanyl-5-phenyl-1H-pyrazol-4-carbononitrile (15): Yield 81%; beige solid; mp 152–153 °C (147–149 °C) [43]; FTIR (ATR) ν/cm−1 2300, 1600, 1550, 700 cm−1; 1H NMR (500 MHz, DMSO-d6) δ 11.63 (s, 1H), 7.62 (m, 5H), 2.72 (s, 3H); 13C NMR (125 MHz, DMSO-d6) δ 151.4, 148.3, 139.3, 129.0, 128.1, 127.8, 127.5, 127.3, 117.0, 88.9, 12.8.
- 5-Methylsulfanyl-1,3-diphenyl-4-carbonitrile (16): Yield 69%; pinkish white solid; mp 115–117 °C (119–120 °C) [44]; FTIR (ATR) ν/cm−1 3100, 2225, 1600, 1450, 655 cm−1; 1H NMR (500 MHz, DMSO-d6) δ 7.47–7.34 (m, 10H), 2.65 (s, 3H); 13C NMR (125 MHz, DMSO-d6) δ 151.3, 149.7, 138.6, 130.9, 129.7, 129.6, 129.5, 126.7, 126.1, 113.7, 92.8, 14.5.
- 5-Methylsulfanyl-1-methyl-3-phenyl-1H-pyrazol-4-carbonitrile (17): Yield: 91%; ocher-yellow solid; mp 85–89 °C; FTIR (ATR) ν/cm−1 3100, 2225, 1650, 1500, 655 cm−1; 1H NMR (500 MHz, DMSO-d6) δ 7.86–7.48 (m, 5H), 3.98 (s, 3H), 2.60 (s, 3H); 13C NMR (125 MHz, DMSO-d6) δ 151.8, 144.1, 130.7, 130.0, 126.4, 114.9, 93.8, 38.1, 18.4, 12.6; HRMS (EIS) m/z [M + H]+ calcd. for C12H12N3S+: 230.0746; found: 230.0756.
- 5-Amino-4-cyano-3-methylsulfanyl-1H-pyrazol-1-carbothioamide (18): Yield 74%; yellow solid; mp 147–151 °C; FTIR (ATR) ν/cm−1 3340, 3250, 3200, 3175, 2205, 730 cm−1; 1H NMR (500 MHz, DMSO-d6) δ 8.52 (s, 2H), 6.95 (s, 2H), 2.54 (s, 3H); 13C NMR (125 MHz, DMSO-d6) δ 181.2, 150.0, 145.9, 113.4, 76.1, 18.6, 50.7; HRMS (EIS) m/z [M + H]+ calcd. for C6H8N5S2+: 214.0227; found: 214.0256.
- 5-Amino-3-methylsulfanyl-1H-pyrazol-4-carbonitrile (19): Yield 68%; yellow solid; mp 149–150 °C (152 °C) [45] FTIR (ATR) ν/cm−1 3295, 3127, 2290, 700 cm−1; 1H NMR (500 MHz, DMSO-d6) δ 12.00 (s, 1H), 6.41 (s, 2H), 2.43 (s, 3H); 13C NMR (125 MHz, DMSO-d6) δ 155.1, 149.2, 115.3, 76.7, 14.3.
- 5-Amino-3-methylsulfanyl-1-phenyl-1H-pyrazol-4-carbonitrile (20): Yield: 77%; translucid solid; mp 129–134 °C (136 °C) [45,46]; FTIR (ATR) ν/cm−1 3450, 3330, 2305, 1600, 1550, 700 cm−1; 1H NMR (500 MHz, DMSO-d6) δ 7.47 (m, 5H), 6.70 (s, 2H), 2.46 (s, 3H); 13C NMR (125 MHz, DMSO-d6) δ 152.7, 149.5, 137.4, 130.6, 128.6, 124.6, 114.5, 73.9, 13.8.
3.3. In-Silico Prediction of Biological Activity
3.4. Molecular Docking Calculations
3.5. Artemia Salina Assays
3.6. Cell Viability Assays
3.7. Statistical Analysis
4. Conclusions
Supplementary Materials
Author Contributions
Funding
Institutional Review Board Statement
Informed Consent Statement
Data Availability Statement
Acknowledgments
Conflicts of Interest
References
- Zhang, L.; Li, M.; Wang, W.; Yu, W.; Liu, H.; Wang, K.; Chang, M.; Deng, C.; Ji, Y.; Chen, Y.; et al. Celecoxib alleviates denervation-induced muscle atrophy by suppressing inflammation and oxidative stress and improving microcirculation. Biochem. Pharmacol. 2022, 98, 1427. [Google Scholar]
- Alam, M.A. Antibacterial pyrazoles: Tackling resistant bacteria. Future Med. Chem. 2022, 14, 343–362. [Google Scholar] [CrossRef]
- Abderrahim, T.; Rachid, T.; Moliterni, A.; Hadda, T.B.; Messali, M.; Benabbes, R.; Berredjem, M.; Bouzina, A.; Zaqri, N.; Taleb, M.; et al. Synthesis, structural, biocomputational modeling and antifungal activity of novel armed pyrazoles. J. Mol. Struct. 2022, 1264, 133156. [Google Scholar]
- Xu, Z.; Zhuang, Y.; Chen, Q. Current scenario of pyrazole hybrids with in vivo therapeutic potential against cancers. Eur. J. Med. Chem. 2023, 257, 115495. [Google Scholar] [CrossRef] [PubMed]
- Parshad, M.; Kumar, D.; Verma, V. A mini review on applications of pyrazole ligands in coordination compounds and metal organic frameworks. Inorg. Chim. Acta 2024, 560, 121789. [Google Scholar] [CrossRef]
- Faria, J.V.; Vegi, P.F.; Miguita, A.G.C.; Santos, M.S.; Boechat, N.; Bernardino, A.M.R. Recently reported biological activities of pyrazole compounds. Bioorg Med. Chem. 2017, 25, 5891–5903. [Google Scholar] [CrossRef]
- Hongjin, Z.; Zhang, S.; Ampomah-Wireko, M.; Wang, H.; Cao, Y.; Yang, P.; Yang, Y.; Frejat, F.O.A.; Wang, L.; Zhao, B.; et al. Pyrazole: An important core in many marketed and clinical drugs. Russ. J. Bioorg. Chem. 2022, 48, 1175–1189. [Google Scholar] [CrossRef]
- McCormack, P.L. Celecoxib: A review of its use for symptomatic relief in the treatment of osteoarthritis, rheumatoid arthritis and ankylosing spondylitis. Drugs 2011, 71, 2457–2489. [Google Scholar] [CrossRef]
- Karrouchi, K.; Radi, S.; Ramli, Y.; Taoufik, J.; Mabkhot, Y.N.; Alaizari, F.A.; Ansar, M. Synthesis and Pharmacological Activities of Pyrazole Derivatives: A Review. Molecules 2018, 23, 134. [Google Scholar] [CrossRef]
- Helfman, T.; Falanga, V. Stanozolol as a novel therapeutic agent in dermatology. J. Am. Acad. Dermatol. 1995, 33, 254–258. [Google Scholar] [CrossRef]
- Nourelden, A.Z.; Kamal, I.; Hagrass, A.I. Safety and efficacy of edaravone in patients with amyotrophic lateral sclerosis: A systematic review and meta-analysis. Neurol Sci. 2023, 44, 3429–3442. [Google Scholar] [CrossRef] [PubMed]
- Zhang, Y.; Wu, C.; Zhang, N.; Fan, R.; Ye, Y.; Xu, J. Recent advances in the development of pyrazole derivatives as anticancer agents. Int. J. Mol. Sci. 2023, 24, 12724. [Google Scholar] [CrossRef]
- Wagner, V.P.; Ferrarotto, R.; Vargas, P.A.; Martins, M.D.; Bingle, C.D.; Bingle, L. Drug-based therapy for advanced adenoid cystic carcinoma: Current landscape and challenges based on an overview of registered clinical trials. Crit. Rev. Oncol. Hematol. 2023, 181, 103886. [Google Scholar] [CrossRef]
- Cho, H.; Madden, R.; Nisanci, B.; Torok, B. The Paal–Knorr reaction revisited. A catalyst and solvent-free synthesis of underivatized and N-substituted pyrroles. Green Chem. 2015, 17, 1088–1099. [Google Scholar] [CrossRef]
- Konwar, M.; Saikia, M.; Hazarika, R.; Sarma, D. Nickel chloride catalyzed synthesis of pyrazoles and phthalazin-1(2H) ones from hydrazines at room temperature. Tetrahedron Lett. 2022, 98, 153842. [Google Scholar] [CrossRef]
- Aggarwal, V.K.; Vicente, J.; Bonnert, R.V. A novel one-pot method for the preparation of pyrazoles by 1,3-dipolar cycloadditions of diazo compounds generated in situ. J. Org. Chem. 2003, 68, 5381–5383. [Google Scholar] [CrossRef]
- Kawai, H.; Yuan, Z.; Tokunaga, E.; Shibata, N. Regioselective synthesis of pyrazole triflone based on triflyl alkyne cycloadditions. Org. Lett. 2012, 14, 5330–5333. [Google Scholar] [CrossRef]
- Dadiboyena, S.; Nefzi, A. Synthesis of functionalized tetrasubstituted pyrazolyl heterocycles. A review. Eur. J. Med. Chem. 2011, 46, 5258–5275. [Google Scholar] [CrossRef]
- Decuypére, E.; Plougastel, L.; Audisio, D.; Taran, F. Sydnone-alkyne cycloaddition: Applications in synthesis and bioconjugation. ChemComm. 2017, 53, 11515–11527. [Google Scholar] [CrossRef]
- Kolodych, S.; Rasolofonjatovo, E.; Chaumontet, M.; Nevers, M.-C.; Créminon, C.; Taran, F. Discovery of chemoselective and biocompatible reactions using a high-throughput immunoassay screening. Angew. Chem. Int. Ed. 2013, 52, 12056–12060. [Google Scholar] [CrossRef]
- Szilágyi, B.; Egyed, A.; Mándity, I.; Nagy, T.; Kátai-Fadgyas, K.; Volk, B.; Keserü, G.M. Safe and efficient continuous-flow synthesis and batchwise hydrolysis of ethyl 5-acetyl-1H-pyrazole-3-carboxylate: A key synthon of Darolutamide. Synthesis 2023, 55, 959–966. [Google Scholar]
- Nazeri, M.T.; Farhid, H.; Javanbakht, S.; Shaabani, A.; Notash, B. Highly efficient chemoselective synthesis of pyrrolo[2,3-c]pyrazole bearing oxindole via sequential condensation-Michael addition-intramolecular cyclization reactions. Synlett 2020, 31, 965–971. [Google Scholar]
- Mondal, S.; Khan, A.T. α-Sulfenylation between 4-hydroxydithiocoumarin and 1,3-dicarbonyl compounds: A key precursor for the synthesis of new pyrazole derivatives. Synthesis 2022, 54, 4521–4528. [Google Scholar]
- Dawood, D.H.; Nossier, E.S.; Ali, M.M.; Mahmoud, A.E. Synthesis and molecular docking study of new pyrazole derivatives as potent anti-breast cancer agents targeting VEGFR-2 kinase. Bioorg. Chem. 2020, 101, 103916. [Google Scholar] [CrossRef]
- Elmorsy, M.R.; Abdel-Latif, E.; Gaffer, H.E.; Mahmoud, S.E.; Fadda, A.A. Anticancer evaluation and molecular docking of new pyridopyrazolo-triazine and pyridopyrazolo-triazole derivatives. Sci. Rep. 2023, 13, 2782. [Google Scholar] [CrossRef]
- El-Mawgoud, H.K.A.; Abd-Rabou, A.A.; El-Atawy, M.A.; Ahmed, H.A.; Mansour, E. Synthesis, DFT analysis, and molecular docking of pyrazole derivatives as targeted inhibitors of PI3K/AKT and JAK/STAT pathways in lung cancer cells. J. Mol. Struct. 2025, 1334, 141875. [Google Scholar] [CrossRef]
- Nawaz, F.; Alam, O.; Perwez, A.; Rizvi, M.A.; Naim, M.J.; Siddiqui, N.; Firdaus, J.U.; Rahman, S.; Jha, M.; Sheikh, A.A. Design, synthesis, molecular docking, and anticancer evaluation of pyrazole linked pyrazoline derivatives with carbothioamide tail as EGFR kinase inhibitors. Anti-Cancer Agents Med. Chem. 2021, 21, 42–60. [Google Scholar] [CrossRef]
- Thomae, D.F.; Perspicace, E.; Henryon, D.; Xu, Z.; Scheinder, S.; Hesse, S.; Kirsch, G.; Seck, P. One-pot synthesis of new tetrasubstituted thiophenes and selenophenes. Tetrahedron 2009, 65, 10453–10458. [Google Scholar] [CrossRef]
- Sangi, D.P.; Corrêa, A.G. Microwave-assisted synthesis of nitroketene N,S-arylaminoacetals. J. Braz. Chem. Soc. 2010, 21, 795–799. [Google Scholar] [CrossRef]
- Sangi, D.P.; Monteiro, J.L.; Vanzolini, K.L.; Cass, Q.B.; Paixão, M.W.; Corrêa, A.G. Microwave-assisted synthesis of n-heterocycles and their evaluation using an acetylcholinesterase immobilized capillary reactor. J. Braz. Chem. Soc. 2014, 25, 887–889. [Google Scholar] [CrossRef]
- Baliza, L.R.S.P.; Freitas, T.R.; Gonçalves, E.K.S.; Antunes, G.R.; Souza, A.J.F.; Yoneda, J.; Duarte, C.L.; Andrade, S.N.; Sabino, A.P.; Varotti, F.P.; et al. Synthesis and cytotoxic evaluation of heterocyclic compounds by vinylic substitution of ketene dithioacetals. Chem. Biol. Drug Design. 2024, 104, e14581. [Google Scholar] [CrossRef]
- Lusardi, M.; Profumo, A.; Rotolo, C.; Iervasi, E.; Rosano, C.; Spallarossa, A.; Ponassi, M. Regioselective synthesis, structural characterization, and antiproliferative activity of novel tetra-substituted phenylaminopyrazole derivatives. Molecules 2022, 27, 5814. [Google Scholar] [CrossRef]
- Lagunin, A.A.; Rudik, A.V.; Pogodin, P.V.; Savosina, P.I.; Tarasova, O.A.; Dmitriev, A.V.; Ivanov, S.M.; Biziukova, N.Y.; Druzhilovskiy, D.S.; Filimonov, D.A.; et al. CLC-Pred 2.0: A freely available web application for in silico prediction of human cell line cytotoxicity and molecular mechanisms of action for druglike compounds. Int. J. Mol. Sci. 2023, 24, 1689. [Google Scholar] [CrossRef]
- Lagunin, A.A.; Dubovskaja, V.I.; Rudik, A.V.; Pogodin, P.V.; Druzhilovskiy, D.S.; Gloriozova, T.A.; Filimonov, D.A.; Sastry, N.G.; Poroikov, V.V. CLC-Pred: A freely available web-service for in silico prediction of human cell line cytotoxicity for drug-like compounds. PLoS ONE 2018, 13, 0191838. [Google Scholar] [CrossRef]
- Yang, H.; Lou, C.; Sun, L.; Li, J.; Cai, Y.C.; Wang, Z.; Li, W.; Liu, G.; Tang, Y. AdmetSAR 2.0: Web-service for prediction and optimization of chemical ADMET properties. Bioinformatics 2019, 35, 1067–1069. [Google Scholar] [CrossRef]
- Daina, A.; Michielin, O.; Zoete, V. SwissADME: A free web tool to evaluate pharmacokinetics, drug-likeness and medicinal chemistry friendliness of small molecules. Sci. Rep. 2017, 7, 42717. [Google Scholar] [CrossRef]
- Jones, G.; Willett, P.; Glen, R.C.; Leach, A.R.; Taylor, R. Development and validation of a genetic algorithm for flexible docking. J. Mol. Biol. 1997, 267, 727–748. [Google Scholar] [CrossRef]
- Ashwell, M.A.; Lapierre, J.-M.; Brassard, C.; Bresciano, K.; Bull, C.; Cornell-Kennon, S.; Eathiraj, S.; France, D.S.; Hall, T.; Hill, J.; et al. Discovery and optimization of a series of 3-(3-phenyl-3H-imidazo[4,5-b]pyridin-2-yl)pyridin-2-amines: Orally bioavailable, selective, and potent ATP-independent Akt inhibitors. J. Med. Chem. 2012, 55, 5291–5310. [Google Scholar] [CrossRef]
- Polo-Cuadrado, E.; Acosta-Quiroga, K.; Rojas-Pena, C.; Rodruiguez-Nunez, Y.A.; Duarte, Y.; Brito, I.; Cisterna, J.; Gutierrez, M. Molecular modeling and structural analysis of some tetrahydroindazole and cyclopentanepyrazole derivatives as COX-2 inhibitors. Arab. J. Chem. 2022, 15, 103540. [Google Scholar] [CrossRef]
- Sugimoto, K.; Tamayose, K.; Sasaki, M.; Hayashi, K.; Oshimi, K. Low-dose doxorubicin-induced necrosis in Jurkat cells and its acceleration and conversion to apoptosis by antioxidants. Br. J. Haematol. 2002, 118, 229–238. [Google Scholar] [CrossRef] [PubMed]
- Kamińska, K.; Cudnoch-Jędrzejewska, A.A. Review on the neurotoxic effects of doxorubicin. Neurotox. Res. 2023, 41, 383–397. [Google Scholar] [CrossRef]
- Gokulan, P.D.; Jayakar, B.; Alagarsamy, V.; Solomon, V.R. Synthesis and pharmacological investigation of 5-substituted-3-methylsulfanyl-1 H-pyrazole-4-carboxylic acid ethyl esters as new analgesic and anti-inflammatory agents. Arzneimittelforschung Drug Res. 2012, 62, 457–462. [Google Scholar] [CrossRef]
- Gompper, R.; Toepfl, W.; Carbonsäurederivate, V. Substituierte dithiocarbonsäuren und ketenmercaptale. Chem Ber. 1962, 95, 2861–2970. [Google Scholar] [CrossRef]
- Elgemeie, G.; Fathy, N.; Zaghary, W.; Farag, A. S-glycosides in medicinal chemistry: Novel synthesis of cyanoethylene thioglycosides and their pyrazole derivatives. Nucleos. Nucleot. Nucl. 2017, 36, 198–2012. [Google Scholar] [CrossRef]
- Rudorf, W.D.; Augustin, M. Acylketen-S,S- und acylketen-S,N-acetale als bausteine für heterocyclen: Pyrazole und isoxazole. J. Prakt. Chem. 1978, 320, 585–599. [Google Scholar] [CrossRef]
- Tominaga, Y.; Honkawa, Y.; Hara, M.; Hosomi, A. Synthesis of pyrazolo[3,4-d]pyrimidine derivatives using ketene dithioacetals. J. Heterocycl. Chem. 1990, 27, 775–783. [Google Scholar] [CrossRef]
- Yun, C.-H.; Boggon, T.J.; Li, Y.; Woo, M.S.; Greulich, H.; Meyerson, M.; Eck, M.J. Structures of lung cancer-derived EGFR mutants and inhibitor complexes: Mechanism of activation and insights into differential inhibitor sensitivity. Cancer Cell 2007, 11, 217–227. [Google Scholar] [CrossRef] [PubMed]
- McTigue, M.; Murray, B.W.; Chen, J.H.; Deng, Y.-L.; Solowiej, J.; Kania, R.S. Molecular conformations, interactions, and properties associated with drug efficiency and clinical performance among VEGFR TK inhibitors. Proc. Natl. Acad. Sci. USA 2012, 109, 18281–18289. [Google Scholar] [CrossRef]
- Chen, P.; Deng, Y.-L.; Bergqvist, S.; Falk, M.D.; Liu, W.; Timofeevski, S.; Brooun, A. Engineering of an isolated p110α subunit of PI3Kα permits crystallization and provides a platform for structure-based drug design. Prot. Sci. 2014, 23, 1332–1340. [Google Scholar] [CrossRef]
- Shao, Y.; Molnar, L.F.; Jung, Y.; Kussmann, J.; Ochsenfeld, C.; Brown, S.T.; Gilbert, A.T.; Slipchenko, L.V.; Levchenko, S.V.; O’Neill, D.P.; et al. Advances in methods and algorithms in a modern quantum chemistry program package. Chem. Soc. Rev. 2005, 34, 517–528. [Google Scholar] [CrossRef]
- de Souza, G.A.; Chaves, L.d.S.; Velez, A.S.M.M.; Lacerda, J.L.F.; Pitasse-Santos, P.; Santos, J.C.C.d.; Chaves, O.A.; Serpa, C.; Valente, R.d.C.; da Fonseca, L.M.; et al. Design and synthesis of bis-chalcones as curcumin simplified analogs and assessment of their antiproliferative activities against human lung cancer cells and trypanosoma cruzi amastigotes. Pharmaceuticals 2025, 18, 456. [Google Scholar] [CrossRef] [PubMed]
- Martins, F.M.; Iglesias, B.A.; Chaves, O.A.; da Silva, J.L.G.; Leal, D.B.R.; Back, D.F. Vanadium(V) complexes derived from triphenylphosphonium and hydrazides: Cytotoxicity evaluation and interaction with biomolecules. Dalton Trans. 2024, 53, 8315–8327. [Google Scholar] [CrossRef]
- Adasme, M.F.; Linnemann, K.L.; Bolz, S.N.; Kaiser, F.; Salentin, S.; Haupt, V.J.; Schroeder, M. PLIP 2021: Expanding the scope of the protein–ligand interaction profiler to DNA and RNA. Nucleic Acids Res. 2021, 49, W530–W534. [Google Scholar] [CrossRef]
- Yuan, S.; Chan, H.C.S.; Hu, Z. Using PyMOL as a platform for computational drug design. Wiley Interdiscip. Rev. Comput. Mol. Sci. 2014, 4, 391–404. [Google Scholar] [CrossRef]
- Meyer, B.; Ferrigni, N.; Putnam, J.; Jacobsen, L.; Nichols, D.; Mclaughlin, J. Brine shrimp: A convenient general bioassay for active plant constituents. Planta Med. 1982, 45, 31–34. [Google Scholar] [CrossRef]
- Libralato, G.; Prato, E.; Migliore, L.; Cicero, A.M.; Manfra, L. A review of toxicity testing protocols and endpoints with Artemia spp. Ecol. Indic. 2016, 69, 35–49. [Google Scholar] [CrossRef]
- Carballo, J.L.; Hernández-Inda, Z.L.; Pérez, P.; García-Grávalos, M.D. A comparison between two brine shrimp assays to detect in vitro cytotoxicity in marine natural products. BMC Biotechnol. 2002, 2, 17. [Google Scholar] [CrossRef]
- Waghulde, S.; Kale, M.K.; Patil, V.R. Brine shrimp lethality assay of the aqueous and ethanolic extracts of the selected species of medicinal plants. Proceedings 2019, 41, 47. [Google Scholar] [CrossRef]








| Compounds | Pa 1 | Non-Tumor Cell Lineage Prediction Results |
|---|---|---|
| 11 | 0.2110 | BJ (foreskin fibroblast) |
| 12 | 0.2070 | HEL299 (fibroblast) |
| 13 | 0.2400 | BJ (foreskin fibroblast) |
| 17 | 0.2120 | HEL299 (fibroblast) |
| 19 | 0.2190 | BJ (foreskin fibroblast) |
| 20 | 0.2070 | HEL299 (fibroblast) |
| Compounds | 2ITY | 4ASD | 4EJN | 4TV3 |
|---|---|---|---|---|
| 11 | 40.2 | 36.9 | 65.1 | 43.0 |
| 12 | 32.9 | 32.2 | 43.3 | 40.4 |
| 13 | 42.5 | 60.3 | 67.3 | 58.0 |
| 14 | 41.9 | 48.5 | 63.5 | 53.8 |
| 15 | 38.8 | 52.6 | 67.2 | 52.1 |
| 16 | 51.5 | 52.0 | 46.1 | 62.9 |
| 17 | 43.8 | 50.6 | 64.4 | 50.8 |
| 18 | 32.5 | 39.8 | 68.4 | 40.7 |
| 19 | 26.7 | 30.2 | 39.6 | 36.9 |
| 20 | 43.1 | 52.7 | 63.7 | 58.1 |
Disclaimer/Publisher’s Note: The statements, opinions and data contained in all publications are solely those of the individual author(s) and contributor(s) and not of MDPI and/or the editor(s). MDPI and/or the editor(s) disclaim responsibility for any injury to people or property resulting from any ideas, methods, instructions or products referred to in the content. |
© 2025 by the authors. Licensee MDPI, Basel, Switzerland. This article is an open access article distributed under the terms and conditions of the Creative Commons Attribution (CC BY) license (https://creativecommons.org/licenses/by/4.0/).
Share and Cite
Machado, F.P.; Campos, M.C.; Echevarria-Lima, J.; Sangi, D.P.; Serpa, C.; Chaves, O.A.; Echevarria, A. Synthesis of Novel Tetra-Substituted Pyrazole Derivatives Using Microwave Irradiation and Their Anti-Leukemic Activity Against Jurkat Cells. Molecules 2025, 30, 2880. https://doi.org/10.3390/molecules30132880
Machado FP, Campos MC, Echevarria-Lima J, Sangi DP, Serpa C, Chaves OA, Echevarria A. Synthesis of Novel Tetra-Substituted Pyrazole Derivatives Using Microwave Irradiation and Their Anti-Leukemic Activity Against Jurkat Cells. Molecules. 2025; 30(13):2880. https://doi.org/10.3390/molecules30132880
Chicago/Turabian StyleMachado, Felipe P., Maria Clara Campos, Juliana Echevarria-Lima, Diego P. Sangi, Carlos Serpa, Otávio Augusto Chaves, and Aurea Echevarria. 2025. "Synthesis of Novel Tetra-Substituted Pyrazole Derivatives Using Microwave Irradiation and Their Anti-Leukemic Activity Against Jurkat Cells" Molecules 30, no. 13: 2880. https://doi.org/10.3390/molecules30132880
APA StyleMachado, F. P., Campos, M. C., Echevarria-Lima, J., Sangi, D. P., Serpa, C., Chaves, O. A., & Echevarria, A. (2025). Synthesis of Novel Tetra-Substituted Pyrazole Derivatives Using Microwave Irradiation and Their Anti-Leukemic Activity Against Jurkat Cells. Molecules, 30(13), 2880. https://doi.org/10.3390/molecules30132880

