Caffeine as an Active Molecule in Cosmetic Products for Hair Loss: Its Mechanisms of Action in the Context of Hair Physiology and Pathology
Abstract
1. Introduction
- Phosphodiesterase inhibition—caffeine acts as a phosphodiesterase inhibitor that prevents the breakdown of cyclic adenosine monophosphate (cAMP), thus contributing to its accumulation in the cell. Elevated levels of cyclic AMP (cAMP) upregulate cell signaling pathways that promote cell proliferation and metabolic activity in the skin cells and hair follicles (HFs).
- Adenosine receptor antagonism—caffeine blocks adenosine receptors, specifically the A1 and A2A subtypes. This results in vasodilation and increased microcirculation in the skin and HFs, with increased blood flow facilitating better oxygen and nutrient delivery as well as waste removal.
- Antioxidant properties—caffeine also has antioxidant effects which makes it capable of neutralizing free radicals that could otherwise damage skin cells and HFs. Thus, caffeine counteracts oxidative stress, a factor contributing to skin aging and HF degradation (hair loss; balding).
- Stimulation of IGF-1 expression—caffeine has been demonstrated to increase the expression of insulin-like growth factor 1 (IGF-1) in HFs. IGF-1 has been implicated as a factor initiating and sustaining the anagen (growth) phase in the hair cycle, thus promoting hair growth and reducing hair loss.
2. Caffeine as a Chemical Molecule
3. Caffeine and Adenosine Receptors
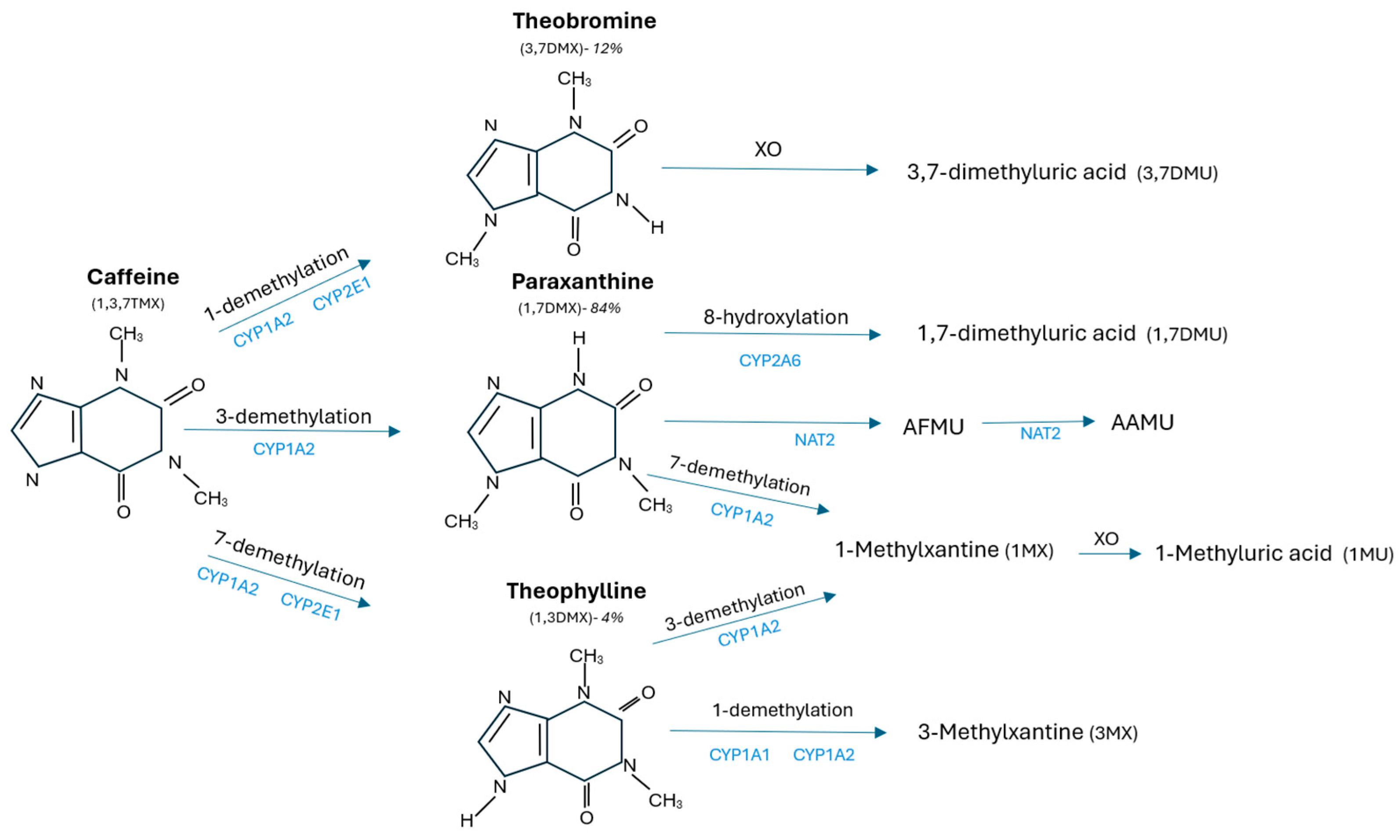
4. Metabolic Pathways of Caffeine
5. Pharmacodynamics of Caffeine in the Skin
- Transepidermal (through the stratum corneum);
- Transadnexal (through the skin appendages, i.e., sweat glands and HFs, as shown in Figure 4).
6. The Risk of Adverse Effects of Topical Caffeine
7. Caffeine and Stem Cells
8. The Skin from a Molecular Viewpoint
- The basal layer is the deepest layer of proliferating keratinocytes, it also contains Merkel cells that are responsible for tactile sensations [60];
- The stratum spinosum, which is the thickest layer of the epidermis consisting of spiny-shaped keratinocytes, also harbors Langerhans cells, which are the main components of the skin’s immune response [61];
- The granular layer formed of keratinocytes containing keratohyalin granules—formations that mainly consist of keratin, profilaggrin, loricrin and trichohyalin [62]. The granules are also filled with glycolipids that support cell cohesion and contribute to the integrity of the skin within the granular layer [63];
- The clear layer (stratum lucidum) that occurs only on the palms of the hands and the soles of the feet in order to prevent the cracking of the thick skin [64];
- The stratum corneum which is the most superficial layer, consisting of korneocytes—non-viable keratinocytes devoid of nuclei and organelles. Arranged in stratified horny layer of various thickness, stratum corneum acts as a physical skin barrier [65].
9. Caffeine and the Skin
10. The Pilosebaceous Unit (PSU)
11. The Hair and Hair Cycle
12. Caffeine and the PSU
13. Caffeine in Hair Loss Products
14. Conclusions
15. Future Directions
Author Contributions
Funding
Institutional Review Board Statement
Informed Consent Statement
Data Availability Statement
Conflicts of Interest
References
- Echeverri, D.; Montes, F.R.; Cabrera, M.; Galan, A.; Prieto, A. Caffeine’s Vascular Mechanisms of Action. Int. J. Vasc. Med. 2010, 2010, 834060. [Google Scholar] [CrossRef]
- Armani, A.; Feraco, A.; Camajani, E.; Gorini, S.; Lombardo, M.; Caprio, M. Nutraceuticals in Brown Adipose Tissue Activation. Cells 2022, 11, 3996. [Google Scholar] [CrossRef] [PubMed]
- Zeli, C.; Lombardo, M.; Storz, M.A.; Ottaviani, M.; Rizzo, G. Chocolate and Cocoa-Derived Biomolecules for Brain Cognition during Ageing. Antioxidants 2022, 11, 1353. [Google Scholar] [CrossRef]
- Sharma, A.; Mohapatra, H.; Arora, K.; Babbar, R.; Arora, R.; Arora, P.; Kumar, P.; Algın Yapar, E.; Rani, K.; Meenu, M.; et al. Bioactive nanocarriers loaded with compounds for hair growth promotion: Current status and future perspectives. Plants 2023, 12, 3739. [Google Scholar] [CrossRef] [PubMed]
- Reddy, V.S.; Manikantan, S.S.; Ramakrishna, S. Pharmacology of caffeine and its effects on the human body. Eur. Med. Chem. Rep. 2024, 10, 100138. [Google Scholar] [CrossRef]
- Rodrigues, R.; Oliveira, M.B.P.P.; Alves, R.C. Chlorogenic Acids and Caffeine from Coffee By-Products: A Review on Skincare Applications. Cosmetics 2023, 10, 12. [Google Scholar] [CrossRef]
- Blanco-Llamero, C.; Macário, H.F.; Guedes, B.N.; Fathi, F.; Oliveira, M.B.P.P.; Souto, E.B. Bioactives in Nutricosmetics: A Focus on Caffeine from Tea to Coffee. Cosmetics 2024, 11, 149. [Google Scholar] [CrossRef]
- National Library of Medicine. PubChem Compound Summary for CID 2519, Caffeine; National Center for Biotechnology Information: Bethesda, MD, USA, 2024. Available online: https://pubchem.ncbi.nlm.nih.gov/compound/Caffeine (accessed on 30 July 2024).
- El-Arabey, A.A.; Abdalla, M. Formononetin: Novel Deal for Androgenetic Alopecia. Arch. Med. Res. 2020, 51, 30–31. [Google Scholar] [CrossRef] [PubMed]
- Oliveira-Soares, R.; Andre, M.C.; Peres-Correia, M. Adverse Effects with Finasteride 5 mg/day for Patterned Hair Loss in Premenopausal Women. Int. J. Trichology 2018, 10, 48–50. [Google Scholar] [CrossRef] [PubMed]
- Kiratiwongwan, R.; Boonchai, W.; Kanokrungsee, S. Allergic Contact Dermatitis to Topical Preparations Containing Minoxidil: A Systematic Review and Individual Participant Data Meta-Analysis. Dermatisis 2024. [Google Scholar] [CrossRef]
- Pyzik, M.; Plichta, D.; Spiewak, R. An occurrence analysis of ingredients declared as active in anti-hair loss products and systematic review of studies on their effectiveness. Estetol. Med. Kosmetol. 2020, 10, 006. (In Polish) [Google Scholar] [CrossRef]
- Szendzielorz, E.; Spiewak, R. An analysis of the presence of ingredients that were declared by the producers as „active” in trichological shampoos for hair loss. Estetol. Med. Kosmetol. 2024, 14, 001.en. [Google Scholar] [CrossRef]
- Szendzielorz, E.; Spiewak, R. Placental extracts, proteins, and hydrolyzed proteins as active ingredients in cosmetic preparations for hair loss: A systematic review of available clinical evidence. Appl. Sci. 2024, 14, 10301. [Google Scholar] [CrossRef]
- O’Keefe, J.H.; Bhatti, S.K.; Patil, H.R. Effects of habitual coffee consumption on cardiometabolic disease, cardiovascular health, and all-cause mortality. J. Am. Coll. Cardiol. 2013, 62, 1043–1051. [Google Scholar] [CrossRef] [PubMed]
- Saraiva, S.M.; Jacinto, T.A.; Gonçalves, A.C.; Gaspar, D.; Silva, L.R. Overview of Caffeine Effects on Human Health and Emerging Delivery Strategies. Pharmaceuticals 2023, 16, 1067. [Google Scholar] [CrossRef]
- Saimaiti, A.; Zhou, D.D.; Li, J.; Xiong, R.G.; Gan, R.Y.; Huang, S.Y.; Shang, A.; Zhao, C.N.; Li, H.Y.; Li, H.B. Dietary sources, health benefits, and risks of caffeine. Crit. Rev. Food Sci. Nutr. 2023, 63, 9648–9666. [Google Scholar] [CrossRef]
- Lopes, C.R.; Oliveira, A.; Gaspar, I.; Rodrigues, M.S.; Santos, J.; Szabó, E.; Silva, H.B.; Tomé, Â.R.; Canas, P.M.; Agostinho, P.; et al. Effects of Chronic Caffeine Consumption on Synaptic Function, Metabolism and Adenosine Modulation in Different Brain Areas. Biomolecules 2023, 13, 106. [Google Scholar] [CrossRef]
- Otberg, N.; Richter, H.; Schaefer, H.; Blume-Peytavi, U.; Sterry, W.; Lademann, J. Variations of hair follicle size and distribution in different body sites. J. Invest. Dermatol. 2004, 122, 14–19. [Google Scholar] [CrossRef]
- Herman, A.; Herman, A.P. Caffeine’s mechanisms of action and its cosmetic use. Skin Pharmacol. Physiol. 2013, 26, 8–14. [Google Scholar] [CrossRef]
- Szendzielorz, E.; Spiewak, R. Caffeine as an active ingredient in cosmetic preparations against hair loss: A systematic review of available clinical evidence. Healthcare 2024. (submitted). [Google Scholar]
- Temple, J.L.; Bernard, C.; Lipshultz, S.E.; Czachor, J.D.; Westphal, J.A.; Mestre, M.A. The safety of ingested caffeine: A comprehensive review. Front. Psychiatr. 2017, 8, 80. [Google Scholar] [CrossRef]
- Nehlig, A. Are we dependent upon coffee and caffeine? A review on human and animal data. Neurosci. Biobehav. Rev. 1999, 23, 563–576. [Google Scholar] [CrossRef]
- Ősz, B.E.; Jîtcă, G.; Ștefănescu, R.E.; Pușcaș, A.; Tero-Vescan, A.; Vari, C.E. Caffeine and Its Antioxidant Properties—It Is All about Dose and Source. Int. J. Mol. Sci. 2022, 28, 13074. [Google Scholar] [CrossRef] [PubMed]
- Azam, S.; Hadi, N.; Khan, N.U.; Hadi, S.M. Antioxidant and prooxidant properties of caffeine, theobromine and xanthine. Med. Sci. Monit. 2003, 9, 325–330. [Google Scholar]
- Meng, S.; Cao, J.; Feng, Q.; Peng, J.; Hu, Y. Roles of chlorogenic Acid on regulating glucose and lipids metabolism: A review. Evid. Based Complement. Alternat. Med. 2013, 2013, 801457. [Google Scholar] [CrossRef] [PubMed]
- Santana-Galvez, J.; Cisneros-Zevallos, L.; Jacobo-Velazquez, D.A. Chlorogenic acid: Recent advances on its dual role as a food additive and a nutraceutical against metabolic syndrome. Molecules 2017, 22, 358. [Google Scholar] [CrossRef] [PubMed]
- Naveed, M.; Hejazi, V.; Abbas, M.; Kamboh, A.A.; Khan, G.J.; Shumzaid, M.; Ahmad, F.; Babazadeh, D.; FangFang, X.; Modarresi-Ghazani, F. Chlorogenic acid (CGA): A pharmacological review and call for further research. Biomed. Pharmacother. 2018, 97, 67–74. [Google Scholar] [CrossRef] [PubMed]
- Devasagayam, T.P.; Kamat, J.P.; Mohan, H.; Kesavan, P.C. Caffeine as an antioxidant: Inhibition of lipid peroxidation induced by reactive oxygen species. Biochim. Biophys. Acta 1996, 1282, 63–70. [Google Scholar] [CrossRef] [PubMed]
- Wang, L.T.; He, P.C.; Li, A.Q.; Cao, K.X.; Yan, J.W.; Guo, S.; Jiang, L.; Yao, L.; Dai, X.Y.; Feng, D.; et al. Caffeine promotes angiogenesis through modulating endothelial mitochondrial dynamics. Acta Pharmacol. Sin. 2021, 42, 2033–2045. [Google Scholar] [CrossRef] [PubMed]
- Duangjai, A.; Suphrom, N.; Wungrath, J.; Ontawong, A.; Nuengchamnong, N.; Yosboonruang, A. Comparison of antioxidant, antimicrobial activities and chemical profiles of three coffee (Coffea arabica L.) pulp aqueous extracts. Integr. Med. Res. 2016, 5, 324–331. [Google Scholar] [CrossRef]
- Hui, A.M.; Jagdeo, J.R.; Brody, N.; Rupani, R. Cutaneous applications of caffeine. In Cosmeceuticals and Active Cosmetics, 3rd ed.; Taylor & Francis: Boca Raton, FL, USA, 2016; pp. 19–31. Available online: https://rudiapt.wordpress.com/wp-content/uploads/2017/11/cosmeceuticals-and-active-cosmetics-3rd-ed-2016.pdf (accessed on 28 October 2024).
- Institute of Medicine (US) Committee on Military Nutrition Research. Caffeine for the Sustainment of Mental Task Performance: Formulations for Military Operations: 1, Basic Concepts; National Academies Press: Washington, DC, USA, 2001. Available online: https://www.ncbi.nlm.nih.gov/books/NBK223799/ (accessed on 28 October 2024).
- Etherton, G.M.; Kochar, M.S. Coffee facts and controversies. Arch. Family Med. 1993, 2, 317–322. [Google Scholar] [CrossRef]
- National Library of Medicine. PubChem Compound Summary for CID 4687, Paraxanthine; National Center for Biotechnology Information: Bethesda, MD, USA, 2004. Available online: https://pubchem.ncbi.nlm.nih.gov/compound/Paraxanthine (accessed on 18 October 2024).
- National Library of Medicine. PubChem Compound Summary for CID 5429, Theobromine; National Center for Biotechnology Information: Bethesda, MD, USA, 2004. Available online: https://pubchem.ncbi.nlm.nih.gov/compound/Theobromine (accessed on 18 October 2024).
- National Library of Medicine. PubChem Compound Summary for CID 2153, Theophylline; National Center for Biotechnology Information: Bethesda, MD, USA, 2004. Available online: https://pubchem.ncbi.nlm.nih.gov/compound/Theophylline (accessed on 18 October 2024).
- Dias, M.; Farinha, A.; Faustino, E.; Hadgraft, J.; Pais, J.; Toscano, C. Topical delivery of caffeine from some commercial formulations. Int. J. Pharm. 1999, 182, 41–47. [Google Scholar] [CrossRef] [PubMed]
- Krumpholz, L.; Polak, S.; Wisniowska, B. Towards the understanding of the IVPT results variability-Development, verification and validation of the PBPK model of caffeine in vitro human skin permeation. Eur. J. Pharm. Sci. 2025, 204, 106943. [Google Scholar] [CrossRef] [PubMed]
- Khater, D.; Nsairat, H.; Odeh, F.; Saleh, M.; Jaber, A.; Alshaer, W.; Al Bawab, A.; Mubarak, M.S. Design, preparation, and characterization of effective dermal and transdermal lipid nanoparticles: A review. Cosmetics 2021, 8, 39. [Google Scholar] [CrossRef]
- Schmieder, S.; Patel, P.; Krishnamurthy, K. Research Techniques Made Simple: Drug Delivery Techniques, Part 1: Concepts in Transepidermal Penetration and Absorption. J. Investig. Dermatol. 2015, 135, e38. [Google Scholar] [CrossRef]
- Chen, Q.; Wang, T.; Wu, X.; Yuan, H.; Wei, Y.; Xiao, Y. The role of the cytochrome P450 superfamily in the skin. Expert Rev. Mol. Med. 2024, 26, e15. [Google Scholar] [CrossRef] [PubMed]
- Shah, V.P.; Maibach, H.I.; Jenner, J. Topical Drug Bioavailability, Bioequivalence, and Penetration, 2nd ed.; Springer: New York, NY, USA, 2014; p. 402. [Google Scholar] [CrossRef]
- Kolb, H.; Kempf, K.; Martin, S. Health Effects of Coffee: Mechanism Unraveled? Nutrients 2020, 12, 1842. [Google Scholar] [CrossRef]
- Varothai, S.; Bergfeld, W.F. Androgenetic alopecia: An evidence-based treatment update. Am. J. Clin. Dermatol. 2014, 15, 217–230. [Google Scholar] [CrossRef]
- Cherian, P.A.; Bergfeld, W.F.; Belsito, D.V.; Hill, R.A.; Klaassen, C.D.; Liebler, D.C.; Marks, J.G., Jr.; Shank, R.C.; Slaga, T.J.; Snyder, P.W.; et al. Safety Assessment of Methylxanthines as Used in Cosmetics. Int. J. Toxicol. 2024, 43, 42–77. [Google Scholar] [CrossRef]
- Lee, J.H.; Choi, S. Deciphering the molecular mechanisms of stem cell dynamics in hair follicle regeneration. Exp. Mol. Med. 2024, 56, 110–117. [Google Scholar] [CrossRef]
- Zhang, H.L.; Qiu, X.X.; Liao, X.H. Dermal Papilla Cells from Basic Research to Translational Applications. Biology 2024, 13, 842. [Google Scholar] [CrossRef]
- Rosenthal, A.; Conde, G.; Greco, J.F.; Gharavi, N.M. Management of androgenic alopecia: A systematic review of the literature. J. Cosmet. Laser Ther. 2024, 26, 1–16. [Google Scholar] [CrossRef]
- Otberg, N.; Teichmann, A.; Rasuljev, U.; Sinkgraven, R.; Sterry, W.; Lademann, J. Follicular penetration of topically applied caffeine via a shampoo formulation. Skin Pharmacol. Physiol. 2007, 20, 195–198. [Google Scholar] [CrossRef]
- Fischer, T.W.; Herczeg-Lisztes, E.; Funk, W.; Zillikens, D.; Biro, T.; Paus, R. Differential effects of caffeine on hair shaft elongation, matrix and outer root sheath keratinocyte proliferation, and transforming growth factor-beta2/insulin-like growth factor-1-mediated regulation of the hair cycle in male and female human hair follicles in vitro. Br. J. Dermatol. 2014, 171, 1031–1043. [Google Scholar] [CrossRef]
- Natarelli, N.; Gahoonia, N.; Sivamani, R.K. Integrative and Mechanistic Approach to the Hair Growth Cycle and Hair Loss. J. Clin. Med. 2023, 12, 893. [Google Scholar] [CrossRef] [PubMed]
- Lee, H.; Hong, Y.; Kim, M. Structural and Functional Changes and Possible Molecular Mechanisms in Aged Skin. Int. J. Mol. Sci. 2021, 22, 12489. [Google Scholar] [CrossRef] [PubMed]
- Błaszczyk, M.M.; Sęk, J.P. The New Attempt at Modeling of the Three-Dimensional Geometry of the Epidermal Skin Layer and the Diffusion Processes of Nanomolecular Drug Carriers in Such Structures. Molecules 2022, 28, 205. [Google Scholar] [CrossRef]
- Ariotti, S.; Veldhoen, M. Immunology: Skin T Cells Switch Identity to Protect and Heal. Curr. Biol. 2019, 29, R220–R223. [Google Scholar] [CrossRef] [PubMed]
- Datta, D.; Madke, B.; Das, A. Skin as an endocrine organ: A narrative review. Indian J. Dermatol. Venereol. Leprol. 2022, 88, 590–597. [Google Scholar] [CrossRef] [PubMed]
- Jin, R.; Luo, L.; Zheng, J. The Trinity of Skin: Skin Homeostasis as a Neuro-Endocrine-Immune Organ. Life 2022, 12, 725. [Google Scholar] [CrossRef]
- Dermitzakis, I.; Chatzi, D.; Kyriakoudi, S.A.; Evangelidis, N.; Vakirlis, E.; Meditskou, S.; Theotokis, P.; Manthou, M.E. Skin Development and Disease: A Molecular Perspective. Curr. Issues Mol. Biol. 2024, 46, 8239–8267. [Google Scholar] [CrossRef] [PubMed]
- Gilberte, Y.; Prieto-Torres, L.; Pastushenko, I.; Juarranz, Á. Chapter 1—Anatomy and Function of the Skin. In Nanoscience in Dermatology; Hamblin, M.R., Avci, P., Prow, T.W., Eds.; Academic Press: Boston, MA, USA, 2016; pp. 1–14. ISBN 978-0-12-802926-8. [Google Scholar]
- Castellano-Pellicena, I.; Morrison, C.G.; Bell, M.; O’Connor, C.; Tobin, D.J. Melanin Distribution in Human Skin: Influence of Cytoskeletal, Polarity, and Centrosome-Related Machinery of Stratum Basale Keratinocytes. Int. J. Mol. Sci. 2021, 22, 3143. [Google Scholar] [CrossRef] [PubMed]
- Merad, M.; Ginhoux, F.; Collin, M. Origin, Homeostasis and Function of Langerhans Cells and Other Langerin-Expressing Dendritic Cells. Nat. Rev. Immunol. 2008, 8, 935–947. [Google Scholar] [CrossRef] [PubMed]
- Hoober, J.K.; Eggink, L.L. The Discovery and Function of Filaggrin. Int. J. Mol. Sci. 2022, 23, 1455. [Google Scholar] [CrossRef] [PubMed]
- Madison, K.C.; Swartzendruber, D.C.; Wertz, P.W.; Downing, D.T. Lamellar Granule Extrusion and Stratum Corneum Intercellular Lamellae in Murine Keratinocyte Cultures. J. Investig. Dermatol. 1988, 90, 110–116. [Google Scholar] [CrossRef] [PubMed]
- Nguyen, A.V.; Soulika, A.M. The Dynamics of the Skin’s Immune System. Int. J. Mol. Sci. 2019, 20, 1881. [Google Scholar] [CrossRef] [PubMed]
- Harding, C.R. The Stratum Corneum: Structure and Function in Health and Disease. Dermatol. Ther. 2004, 17, 6–15. [Google Scholar] [CrossRef]
- Yousef, H.; Miao, J.H.; Alhajj, M.; Badri, T. Histology, Skin Appendages. NCBI Bookshelf; A service of the National Library of Medicine, National Institutes Health; StatPearls Publishing: Treasure Island, FL, USA, 2024. [Google Scholar]
- Brown, T.M.; Krishnamurthy, K. Histology, Hair and Follicle. In StatPearls [Internet]; StatPearls Publishing: Treasure Island, FL, USA, 2024. Available online: https://www.ncbi.nlm.nih.gov/books/NBK532929/ (accessed on 11 December 2024).
- Mittal, B. Subcutaneous Adipose Tissue & Visceral Adipose Tissue. Indian J. Med. Res. 2019, 149, 571–573. [Google Scholar] [PubMed]
- Boss, J.D.; Meinardi, M.M.H.M. The 500 Dalton rule for the skin penetration of chemical compounds and drugs. Exp. Dermatol. 2000, 9, 165–169. [Google Scholar] [CrossRef] [PubMed]
- Schulze, H.-J.; Mahrle, G.; Steigleder, G.K. Topical cyclosporin A in psoriasis. Br. J. Dermatol. 1990, 122, 113–114. [Google Scholar] [CrossRef]
- Billich, A.; Vyplel, H.; Grassberger, M.; Schmook, F.P.; Steck, A.; Stuetz, A. Novel cyclosporin derivatives featuring enhanced skin penetration despite increased molecular weight. Bioorg. Med. Chem. 2005, 13, 3157–3167. [Google Scholar] [CrossRef]
- Kattou, P.; Lian, G.; Glavin, S.; Sorrell, I.; Chen, T. Development of a Two-Dimensional Model for Predicting Transdermal Permeation with the Follicular Pathway: Demonstration with a Caffeine Study. Pharm. Res. 2017, 34, 2036–2048. [Google Scholar] [CrossRef] [PubMed]
- Moser, K.; Kriwet, K.; Naik, A.; Kalia, Y.N.; Guy, R.H. Passive skin penetration enhancement and its quantification in vitro. Eur. J. Pharm. Biopharm. 2001, 52, 103–112. [Google Scholar] [CrossRef]
- Choe, C.; Pak, G.J.; Ascencio, S.M.; Darvin, M.E. Quantification of skin penetration of caffeine and propylene glycol applied topically in a mixture by tailored multivariate curve resolution-alternating least squares of depth-resolved Raman spectra. J. Biophotonics 2023, 16, e202300146. [Google Scholar] [CrossRef]
- Kourbaj, G.; Gaiser, A.; Bielfeldt, S.; Lunter, D. Assessment of penetration and permeation of caffeine by confocal Raman spectroscopy in vivo and ex vivo by tape stripping. Int. J. Cosmet. Sci. 2023, 45, 14–28. [Google Scholar] [CrossRef]
- Steiner, K.; Hubel, P.; Srndic, A.; Klang, V. Optimizing ex vivo penetration tests via quantitative confocal Raman spectroscopy: Impact of incubation time, skin hydration, surfactant treatment and UVA irradiation on caffeine distribution. Int. J. Pharm. 2024, 667, 124932. [Google Scholar] [CrossRef]
- Vijayarangan, V.; Dozias, S.; Heusèle, C.; Jeanneton, O.; Nizard, C.; Pichon, C.; Pouvesle, J.M.; Stancampiano, A.; Robert, E. Boost of cosmetic active ingredient penetration triggered and controlled by the delivery of kHz plasma jet on human skin explants. Front. Phys. 2023, 11, 1173349. [Google Scholar] [CrossRef]
- Kichou, H.; Carita, A.C.; Gillet, G.; Bougassaa, L.; Perse, X.; Souce, M.; Gressin, L.; Chourpa, I.; Bonnier, F.; Munnier, E. Efficiency of emulsifier-free emulsions in delivering caffeine and alpha-tocopherol to human skin. Int. J. Cosmet. Sci. 2023, 45, 329–344. [Google Scholar] [CrossRef] [PubMed]
- Albash, R.; Abdelbari, M.A.; Elbesh, R.M.; Khaleel, E.F.; Badi, R.M.; Eldehna, W.M.; Elkaeed, E.B.; El Hassab, M.A.; Ahmed, S.M.; Mosallam, S. Sonophoresis mediated diffusion of caffeine loaded Transcutol(R) enriched cerosomes for topical management of cellulite. Eur. J. Pharm. Sci. 2024, 201, 106875. [Google Scholar] [CrossRef] [PubMed]
- de Almeida, I.A.A.; Honorio, T.D.S.; do Carmo, F.A.; de Freitas, Z.M.F.; Simon, A.; Rangel Rodrigues, C.; Pereira de Sousa, V.; Cabral, L.M.; de Abreu, L.C.L. Development of SEDDS formulation containing caffeine for dermal delivery. Int. J. Cosmet. Sci. 2023, 45, 255–265. [Google Scholar] [CrossRef] [PubMed]
- Thepphankulngarm, N.; Manmuan, S.; Hirun, N.; Kraisit, P. Nanotechnology-Driven Delivery of Caffeine Using Ultradeformable Liposomes-Coated Hollow Mesoporous Silica Nanoparticles for Enhanced Follicular Delivery and Treatment of Androgenetic Alopecia. Int. J. Mol. Sci. 2024, 25, 12170. [Google Scholar] [CrossRef]
- Khalil, L.M.; El-Refaie, W.M.; Elnaggar, Y.S.R.; Abdelkader, H.; Al Fatease, A.; Abdallah, O.Y. Non-invasive caffeinated nanovesicles as adipocytes-targeted therapy for cellulite and localized fats. Int. J. Pharm. 2024, 7, 100236. [Google Scholar] [CrossRef] [PubMed]
- Fouad, S.A.; Badr, T.A.; Abdelbary, A.; Fadel, M.; Abdelmonem, R.; Jasti, B.R.; El-Nabarawi, M. New Insight for Enhanced Topical Targeting of Caffeine for Effective Cellulite Treatment: In Vitro Characterization, Permeation Studies, and Histological Evaluation in Rats. AAPS PharmSciTech 2024, 25, 237. [Google Scholar] [CrossRef] [PubMed]
- Zaid Alkilani, A.; Abo-Zour, H.; Basheer, H.A.; Abu-Zour, H.; Donnelly, R.F. Development and Evaluation of an Innovative Approach Using Niosomes Based Polymeric Microneedles to Deliver Dual Antioxidant Drugs. Polymers 2023, 15, 1962. [Google Scholar] [CrossRef]
- Kim, S.; Han, J.H.; Park, E.; Kim, H.G.; Lee, J.; Shin, D.; Oh, E.S.; Shin, J.W. Arc-poration improves transdermal delivery of biomolecules. J. Cosmet. Dermatol. 2024, 23, 2240–2248. [Google Scholar] [CrossRef]
- Lauer, A.C.; Lieb, L.M.; Ramachandran, C.; Flynn, G.L.; Weiner, N.D. Transfollicular drug delivery. Pharm. Res. 1995, 12, 179–186. [Google Scholar] [CrossRef]
- Abreu, C.M.; Marques, A.P. Recreation of a hair follicle regenerative microenvironment: Successes and pitfalls. Bioeng. Transl. Med. 2022, 7, 10235. [Google Scholar] [CrossRef]
- Mok, K.W.; Saxena, N.; Heitman, N.; Grisanti, L.; Srivastava, D.; Muraro, M.J.; Jacob, T.; Sennett, R.; Wang, Z.; Su, Y. Dermal condensate niche fate specification occurs before formation and is dependent on the plate progenitor. Dev. Cell 2019, 48, 32–48. [Google Scholar] [CrossRef]
- Fuchs, E. Scratching the Surface of Skin Development. Nature 2007, 445, 834–842. [Google Scholar] [CrossRef]
- Schaefer, H.; Redelmeier, T.E. Skin Barrier: Principles of Percutaneous Absorption; Karger Publishers: Basel, Switzerland, 1996; p. 18. [Google Scholar]
- Meidan, V.M.; Bonner, M.C.; Michniak, B.B. Transfollicular drug delivery—Is it a reality? Int. J. Pharm. 2005, 306, 1–14. [Google Scholar] [CrossRef] [PubMed]
- Valiveti, S.; Wesley, J.; Lu, G.W. Investigation of drug partition property in artificial sebum. Int. J. Pharm. 2008, 346, 10–16. [Google Scholar] [CrossRef] [PubMed]
- Chen, D.; Yu, F.; Wang, C.; Chen, H.; Tan, J.; Shi, Q.; He, X.; Liu, X.; Wang, F.; Zhao, H. Anti-hair loss effect of a shampoo containing caffeine and adenosine. J. Cosmet. Dermatol. 2024, 23, 2927–2933. [Google Scholar] [CrossRef] [PubMed]
- Völker, J.K.; Koch, N.; Becker, M.; Klenk, A. Caffeine and Its Pharmacological Benefits in the Management of Androgenetic Alopecia: A Review. Skin Pharmacol. Physiol. 2020, 33, 153–169. [Google Scholar] [CrossRef] [PubMed]
- Lin, X.; Zhu, L.; He, J. Morphogenesis, growth cycle and molecular regulation of hair follicles. Front. Cell. Dev. Biol. 2022, 10, 899095. [Google Scholar] [CrossRef] [PubMed]
- Wang, E.C.E.; Higgins, C.A. Immune cell regulation of the hair cycle. Exp. Dermatol. 2020, 29, 322–333. [Google Scholar] [CrossRef] [PubMed]
- Niu, Y.; Wang, Y.; Chen, H.; Liu, X.; Liu, J. A review of the circadian clock in hair follicle cycle. Biomolecules 2023, 13, 1068. [Google Scholar] [CrossRef] [PubMed]
- Müller-Röver, S.; Handjiski, B.; van der Veen, C.; Eichmüller, S.; Foitzik, K.; McKay, I.A.; Stenn, K.S.; Paus, R.A. Comprehensive guide for the accurate classification of murine hair follicles in distinct hair cycle stages. J. Invest. Dermatol. 2001, 117, 3–15. [Google Scholar] [CrossRef] [PubMed]
- Wang, W.; Wang, H.; Long, Y.; Li, Z.; Li, J. Controlling Hair Loss by Regulating Apoptosis in Hair Follicles: A Comprehensive Overview. Biomolecules 2023, 14, 20. [Google Scholar] [CrossRef]
- Fischer, T.W.; Hipler, U.C.; Elsner, P. Effect of caffeine and testosterone on the proliferation of human hair follicles in vitro. Int. J. Dermatol. 2007, 46, 27–35. [Google Scholar] [CrossRef] [PubMed]
- Saewan, N. Effect of Coffee Berry Extract on Anti-Aging for Skin and Hair—In Vitro Approach. Cosmetics 2022, 9, 66. [Google Scholar] [CrossRef]
- Muangsanguan, A.; Linsaenkart, P.; Chaitep, T.; Sangta, J.; Sommano, S.R.; Sringarm, K.; Arjin, C.; Rachtanapun, P.; Jantanasakulwong, K.; Phimolsiripol, Y.; et al. Hair Growth Promotion and Anti-Hair Loss Effects of By-Products Arabica Coffee Pulp Extracts Using Supercritical Fluid Extraction. Foods 2023, 12, 4116. [Google Scholar] [CrossRef] [PubMed]
- Kim, C.; Shim, J.; Han, S.; Chang, I. The skin-permeation-enhancing effect of phosphatidylcholine: Caffeine as a model active ingredient. J. Cosmet. Sci. 2002, 53, 363–374. [Google Scholar]
- Trauer, S.; Patzelt, A.; Otberg, N.; Knorr, F.; Rozycki, C.; Balizs, G. Permeation of topically applied caffeine through human skin: A comparison of in vivo and in vitro data. Br. J. Clin. Pharmacol. 2009, 68, 181–186. [Google Scholar] [CrossRef] [PubMed]
- Elias, M.L.; Israeli, A.F.; Madan, R. Caffeine in Skincare: Its Role in Skin Cancer, Sun Protection and Cosmetics. Indian J. Dermatol. 2023, 68, 546–550. [Google Scholar] [CrossRef] [PubMed]
- Busch, L.; Klein, A.L.; Schwartz, J.R.; Pearson, K.; Richter, H.; Schanzer, S.; Lohan, S.B.; Schumacher, F.; Kleuser, B.; Meinke, M.C. Follicular Delivery of Caffeine from a Shampoo for Hair Retention. Cosmetics 2023, 10, 104. [Google Scholar] [CrossRef]
- Mekarun, J.; Treepet, S.; Rujiravanit, R.; Theeramunkong, S.; Watthanaphanit, A. Caffeine-Containing Emulsion: Influence of the HLB and Mixing Proportions, the Oil’s Chemical Composition, and the Existence of Caffeine on Emulsion Properties. ACS Omega 2024, 9, 2113–2122. [Google Scholar] [CrossRef]
- Skarmoutsos, I.; Tzeli, D.; Petsalakis, I.D. Hydration structure and dynamics, ultraviolet–visible and fluorescence spectra of caffeine in ambient liquid water. A combined classical molecular dynamics and quantum chemical study. J. Mol. Liq. 2023, 391, 123220. [Google Scholar] [CrossRef]
- Ángeles, P.M.; Kaproulia, A.; Delgado, D.R.; Jouyban, A.; Machuca, J.M.; Martínez, F. Investigation on Hansen Solubility Parameter of Caffeine Dissolved in Different Pure Solvents. J. Pharm. Res. Int. 2024, 36, 167–181. [Google Scholar] [CrossRef]
- Shen, Y.; Xiao, Y.; Edkins, R.M.; Youngs, T.G.A.; Hughes, T.L.; Tellam, J.; Edkins, K. Elucidating the hydrotropism behaviour of aqueous caffeine and sodium benzoate solution through NMR and neutron total scattering analysis. Int. J. Pharm. 2023, 647, 123520. [Google Scholar] [CrossRef]
- Abraham, A.B.; Alzahrani, A.Y.; Thomas, R. Exploring non-covalent interactions between caffeine and ascorbic acid: Their significance in the physical chemistry of drug efficacy. Z. Phys. Chem. 2024, 238, 401–420. [Google Scholar] [CrossRef]
- Sherefedin, U.; Belay, A.; Gudishe, K.; Kebede, A.; Kumela, A.G.; Asemare, S. Photophysical Properties of Sinapic Acid and Ferulic Acid and Their Binding Mechanism with Caffeine. J. Fluoresc. 2024. [Google Scholar] [CrossRef] [PubMed]
- Syed, T.A.; Ansari, K.B.; Banerjee, A.; Wood, D.A.; Khan, M.S.; Al Mesfer, M.K. Machine-learning predictions of caffeine co-crystal formation accompanying experimental and molecular validations. J. Food Process Eng. 2023, 46, e14230. [Google Scholar] [CrossRef]
- Krumpholz, L.; Polak, S.; Wiśniowska, B. Computational Methods as Part of Scientific Research in Cosmetic Sciences—Are We Using the Opportunity? Cosmetics 2024, 11, 79. [Google Scholar] [CrossRef]
- Welzel, J.; Wolff, H.H.; Gehring, W. Reduction of telogen rate and increase of hair density in androgenetic alopecia by a cosmetic product: Results of a randomized, prospective, vehicle-controlled double-blind study in men. J. Cosmet. Dermatol. 2022, 21, 1057–1064. [Google Scholar] [CrossRef]
- Merja, A.; Patel, N.; Patel, M.; Patnaik, S.; Ahmed, A.; Maulekhi, S. Safety and efficacy of REGENDIL™ infused hair growth promoting product in adult human subject having hair fall complaints (alopecia). J. Cosmet. Dermatol. 2024, 23, 938–948. [Google Scholar] [CrossRef]
- Rapaport, J.; Sadgrove, N.J.; Arruda, S.; Swearingen, A.; Abidi, Z.; Sadick, N. Real World, Open-Label Study of the Efficacy and Safety of a Nowel Serum in Androgenetic Alopecia. J. Drugs Dermatol. 2023, 22, 559–564. [Google Scholar] [CrossRef] [PubMed]
- Dhurat, R.; Chitallia, J.; May, T.W.; Ammani, M.; Madhukara, J.J.; Anandan, S.; Vaidya, P.; Klenk, A. An Open-Label Randomized Multicenter Study Assessing the Noninferiority of a Caffeine-Based Topical Liquid 0.2% versus Minoxidil 5% Solution in Male Androgenetic Alopecia. Skin Pharmacol. Physiol. 2017, 30, 298–305. [Google Scholar] [CrossRef]
- Bussoletti, C.; Mastropietro, F.; Tolaini, M.V.; Celleno, L. Use of a Caffeine Shampoo for the Treatment of Male Androgenetic Alopecia. J. Appl. Cosmetol. 2010, 28, 753–762. [Google Scholar]
- Sisto, T.; Bussoletti, C.; Celleno, L. Efficacy of a Cosmetic Caffeine Shampoo in Androgenetic Alopecia management. II Note. J. Appl. Cosmetol. 2013, 31, 57–66. [Google Scholar]
- Sisto, T.; Bussoletti, C.; Celleno, L. Role of a Caffeine Shampoo in Cosmetic Management of Telogen Effluvium. J. Appl. Cosmetol. 2013, 31, 139–145. [Google Scholar]
- Schaefer, H.; Lademann, J. The Role of Follicular Penetration. A Differential View. Skin Pharmacol. Appl. Skin Physiol. 2001, 14, 23–27. [Google Scholar] [CrossRef] [PubMed]
- Hadgraft, J. Modulation of the Barrier Function of the Skin. Skin Pharmacol. Appl. Skin Physiol. 2001, 14, 72–81. [Google Scholar] [CrossRef]
- Teichmann, A.; Richter, H.; Knorr, F.; Antoniou, C.; Sterry, W.; Lademann, J. Investigation of the penetration and storage of a shampoo formulation containing caffeine into the hair follicles by in vivo laser scanning microscopy. Laser Phys. Lett. 2007, 4, 464–468. [Google Scholar] [CrossRef]
- Golpour, M.; Rabbani, H.; Farzin, D.; Azizi, F. Comparing the Effectiveness of Local Solution of Minoxidil and Caffeine 2.5% with Local Solution of Minoxidil 2.5% in Treatment of Androgenetic Alopecia. J. Mazand. Univ. Med. Sci. 2013, 23, 30–36. [Google Scholar]
- Samadi, A.; Rokhsat, E.; Saffarian, Z.; Goudarzi, M.M.; Kardeh, S.; Nasrollahi, S.A.; Firooz, A. Assessment of the efficacy and tolerability of a topical formulation containing caffeine and Procapil 3% for improvement of male pattern hair loss. J. Cosmet. Dermatol. 2024, 23, 1492–1494. [Google Scholar] [CrossRef] [PubMed]
- Balshem, H.; Helfand, M.; Schunemann, H.J.; Oxman, A.D.; Kunz, R.; Brozek, J.; Vist, G.E.; Falck-Ytter, Y.; Meerpohl, J.; Norris, S.; et al. GRADE guidelines: 3. Rating the quality of evidence. J. Clin. Epidemiol. 2011, 64, 401–406. [Google Scholar] [CrossRef] [PubMed]






| Chemical Name | IUPAC Name | CAS | EC |
|---|---|---|---|
| Caffeine | 1,3,7-trimethylpurine-2,6-dione | 58-08-2 | 200-362-1 |
| Chemical Name | IUPAC Name | CAS | EC | Ref. |
|---|---|---|---|---|
| Paraxanthine | 1,7-dimethyl-3H-purine-2,6-dione | 611-59-6 | 210-271-9 | [35] |
| Theobromine | 3,7-dimethylpurine-2,6-dione | 83-67-0 | 201-494-2 | [36] |
| Theophylline | 1,3-dimethyl-7H-purine-2,6-dione | 58-55-9 | 200-385-7 | [37] |
| Year | Study Group | Caffeine Formulation | Comparator | Main Outcome | Evidence Level * | Ref. |
|---|---|---|---|---|---|---|
| 2010 | 30 M with AGA | Shampoo with caffeine | None | Objective and subjective improvement | Very low | [119] |
| 2013 | 66 M with AGA | Shampoo with caffeine | Shampoo base | Objective and subjective improvement | Very low | [120] |
| 2013 | 30 F with TE | Shampoo with caffeine | None | Objective and subjective improvement | Very low | [121] |
| 2013 | 60 M with AGA | Minoxidil and caffeine solution | Minoxidil solution | Caffeine + minoxidil more effective than minoxidil alone | Impossible to assess (article in Persian) | [125] |
| 2017 | 210 M with AGA | Caffeine solution (0.2%) | Minoxidil solution (5%) | Effects of 0.2% caffeine comparable to 5% minoxidil | Medium | [118] |
| 2022 | 62 M with AGA | Foam with 10 ingredients including caffeine | Foam base | Foam with caffeine. better than foam base | Medium | [115] |
| 2023 | 150 M and F with AGA | Serum with a complex mixture including caffeine | None | Improvement of hair parameters in some areas | Very low | [117] |
| 2024 | 32 F and M with hair loss | Serum with 30 ingredients including caffeine | None | Improvement of hair condition and growth | Very low | [116] |
| 2024 | 84 F and M with thinning hair | Shampoo with caffeine (0.4%) and adenosine | Shampoo base | Improvement after active shampoo but not the control | Medium | [93] |
| 2024 | 20 M with AGA | Topical formulation containing caffeine, 3% Procapil™ (Croda International, Snaith, UK) and zinc PCA | None | Improvement in hair growth, decrease in hair loss | Very low | [126] |
Disclaimer/Publisher’s Note: The statements, opinions and data contained in all publications are solely those of the individual author(s) and contributor(s) and not of MDPI and/or the editor(s). MDPI and/or the editor(s) disclaim responsibility for any injury to people or property resulting from any ideas, methods, instructions or products referred to in the content. |
© 2025 by the authors. Licensee MDPI, Basel, Switzerland. This article is an open access article distributed under the terms and conditions of the Creative Commons Attribution (CC BY) license (https://creativecommons.org/licenses/by/4.0/).
Share and Cite
Szendzielorz, E.; Spiewak, R. Caffeine as an Active Molecule in Cosmetic Products for Hair Loss: Its Mechanisms of Action in the Context of Hair Physiology and Pathology. Molecules 2025, 30, 167. https://doi.org/10.3390/molecules30010167
Szendzielorz E, Spiewak R. Caffeine as an Active Molecule in Cosmetic Products for Hair Loss: Its Mechanisms of Action in the Context of Hair Physiology and Pathology. Molecules. 2025; 30(1):167. https://doi.org/10.3390/molecules30010167
Chicago/Turabian StyleSzendzielorz, Ewelina, and Radoslaw Spiewak. 2025. "Caffeine as an Active Molecule in Cosmetic Products for Hair Loss: Its Mechanisms of Action in the Context of Hair Physiology and Pathology" Molecules 30, no. 1: 167. https://doi.org/10.3390/molecules30010167
APA StyleSzendzielorz, E., & Spiewak, R. (2025). Caffeine as an Active Molecule in Cosmetic Products for Hair Loss: Its Mechanisms of Action in the Context of Hair Physiology and Pathology. Molecules, 30(1), 167. https://doi.org/10.3390/molecules30010167

