Laser Desorption-Ion Mobility Spectrometry of Explosives for Forensic and Security Applications
Abstract
1. Introduction
2. Materials and Methods
2.1. Instruments
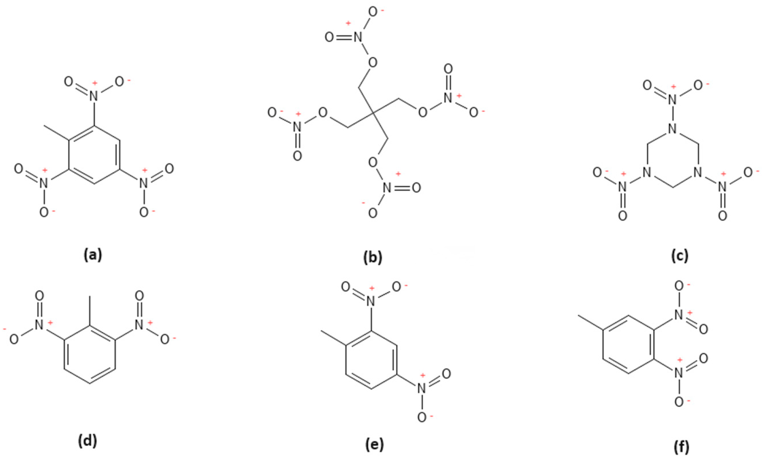
2.2. Target Compounds
3. Results and Discussion
3.1. Validation Results
3.2. IMS Multivariate Data Analysis
- Pre-processing of raw data;
- Unsupervised pattern recognition;
- Supervised pattern recognition;
- Model assessment by means of cross-validation.
4. Conclusions
Author Contributions
Funding
Institutional Review Board Statement
Informed Consent Statement
Data Availability Statement
Conflicts of Interest
References
- Fernandez-Maestre, R.; Daza, M.C. Ion mobility spectrometry experiments should be carried out at high temperatures to reduce uncertainties in the measurement of reduced mobilities. Anal. Methods 2021, 13, 2878–2887. [Google Scholar] [CrossRef]
- Moravský, L.; Borkhari, A.F.; Adamov, A.Y.; Sysoev, A.A.; Papp, P.; Matejčík, S. Negative Atmospheric Pressure Chemical Ionization of Chlorinated Hydrocarbons Studied by Ion Mobility Spectrometry (IMS) and IMS-MS Techniques. J. Am. Soc. Mass Spectrom. 2022, 33, 1569–1576. [Google Scholar] [CrossRef]
- Eiceman, G. Ion-mobility spectrometry as a fast monitor of chemical composition. TrAC Trends Anal. Chem. 2002, 21, 259–275. [Google Scholar] [CrossRef]
- Gabelica, V.; Marklund, E. Fundamentals of ion mobility spectrometry. Curr. Opin. Chem. Biol. 2018, 42, 51–59. [Google Scholar] [CrossRef] [PubMed]
- Fernandez-Maestre, R. Accuracy of reduced mobilities and measurement of instrumental parameters in ion mobility spectrometry. Int. J. Mass Spectrom. 2017, 421, 8–13. [Google Scholar] [CrossRef]
- Szymańska, E.; Davies, A.N.; Buydens, L.M.C. Chemometrics for ion mobility spectrometry data: Recent advances and future prospects. Analyst 2016, 141, 5689–5708. [Google Scholar] [CrossRef][Green Version]
- Schaefer, C.; Allers, M.; Hitzemann, M.; Nitschke, A.; Kobelt, T.; Mörtel, M.; Schröder, S.; Ficks, A.; Zimmermann, S. Reliable Detection of Chemical Warfare Agents Using High Kinetic Energy Ion Mobility Spectrometry. J. Am. Soc. Mass Spectrom. 2024, 35, 2008–2019. [Google Scholar] [CrossRef]
- Hill, H.H.; Steiner, W.E. Ion Mobility Spectrometry for Monitoring the Destruction of Chemical Warfare Agents. In Ecological Risks Associated with the Destruction of Chemical Weapons; Springer: Dordrecht, The Netherlands, 2006; pp. 157–166. [Google Scholar] [CrossRef]
- Allers, M.; Ahrens, A.; Hitzemann, M.; Bock, H.; Wolf, T.; Radunz, J.; Meyer, F.; Wilsenack, F.; Zimmermann, S.; Ficks, A. Real-Time Remote Detection of Airborne Chemical Hazards—An Unmanned Aerial Vehicle (UAV) Carrying an Ion Mobility Spectrometer. IEEE Sens. J. 2023, 23, 16562–16570. [Google Scholar] [CrossRef]
- Wang, W.; Li, H.; Huang, W.; Chen, C.; Xu, C.; Ruan, H.; Li, B.; Li, H. Recent development and trends in the detection of peroxide-based explosives. Talanta 2023, 264, 124763. [Google Scholar] [CrossRef]
- Anzar, N.; Suleman, S.; Parvez, S.; Narang, J. A review on Illicit drugs and biosensing advances for its rapid detection. Process. Biochem. 2022, 113, 113–124. [Google Scholar] [CrossRef]
- Purohit, S.; Pandey, G.; Tharmavaram, M.; Rawtani, D.; Mustansar Hussain, C. Sensors for the Detection of Illicit Drugs. In Technology in Forensic Science; Wiley-VCH Verlag GmbH & Co. KGaA: Weinheim, Germany, 2020; pp. 221–238. [Google Scholar] [CrossRef]
- Najarro, M.; Morris, M.E.D.; Staymates, M.E.; Fletcher, R.; Gillen, G. Optimized thermal desorption for improved sensitivity in trace explosives detection by ion mobility spectrometry. Analyst 2012, 137, 2614–2622. [Google Scholar] [CrossRef]
- Kerry, G.L.; Ross, K.E.; Walker, G.S.; Wright, J. Determining extent and distribution of methamphetamine in cars: Air vs. surface vs. fabrics. Forensic Chem. 2024, 42, 100628. [Google Scholar] [CrossRef]
- Romolo, F.S.; Cassioli, L.; Grossi, S.; Cinelli, G.; Russo, M.V. Surface-sampling and analysis of TATP by swabbing and gas chromatography/mass spectrometry. Forensic Sci. Int. 2013, 224, 96–100. [Google Scholar] [CrossRef]
- Huang, S.D.; Kolaitis, L.; Lubman, D.M. Detection of Explosives Using Laser Desorption in Ion Mobility Spectrometry/Mass Spectrometry. Appl. Spectrosc. 1987, 41, 1371–1376. [Google Scholar] [CrossRef]
- Sabo, M.; Malásková, M.; Matejčík, Š. Laser desorption with corona discharge ion mobility spectrometry for direct surface detection of explosives. Analyst 2014, 139, 5112–5117. [Google Scholar] [CrossRef]
- ENFSI, European Network of Forensic Science Institutes Drugs Working Group. Guideline for the Use of Chemometrics in Forensic Chemistry; ENFSI: The Hague, The Netherlands, 2020. [Google Scholar]
- Sabo, M.; Michalczuk, B.; Lichvanová, Z.; Kavický, V.; Radjenovic, B.; Matejčík, Š. Interactions of multiple reactant ions with 2,4,6-trinitrotoluene studied by corona discharge ion mobility-mass spectrometry. Int. J. Mass Spectrom. 2015, 380, 12–20. [Google Scholar] [CrossRef]
- Andrew, T.L.; Swager, T.M. Detection of Explosives via Photolytic Cleavage of Nitroesters and Nitramines. J. Org. Chem. 2011, 76, 2976–2993. [Google Scholar] [CrossRef]
- da Silva, F.F.; Sulzer, P.; Denifl, S.; Märk, T.; Limão-Vieira, P.; Scheier, P. Semtex 1A and H negative ion resonances for explosives’ detection. Int. J. Mass Spectrom. 2012, 309, 39–43. [Google Scholar] [CrossRef]
- Zapata, F.; García-Ruiz, C. Chemical classification of explosives. Crit. Rev. Anal. Chem. 2021, 51, 656–673. [Google Scholar] [CrossRef] [PubMed]
- Harris, C.R.; Millman, K.J.; van der Walt, S.J.; Gommers, R.; Virtanen, P.; Cournapeau, D.; Wieser, E.; Taylor, J.; Berg, S.; Smith, N.J.; et al. Array programming with NumPy. Nature 2020, 585, 357–362. [Google Scholar] [CrossRef] [PubMed]
- The Pandas Development Team. pandas-dev/pandas: Pandas, Zenodo. 2020. Available online: https://zenodo.org/records/13819579 (accessed on 1 August 2024).
- Hunter, J.D. Matplotlib: A 2D graphics environment. Comput. Sci. Eng. 2007, 9, 90–95. [Google Scholar] [CrossRef]
- Plotly Technologies Inc. Collaborative Data Science; Plotly Technologies Inc.: Montréal, QC, Canada, 2015. [Google Scholar]
- Pedregosa, F.; Varoquaux, G.; Gramfort, A.; Michel, V.; Thirion, B.; Grisel, O.; Blondel, M.; Prettenhofer, P.; Weiss, R.; Dubourg, V.; et al. Scikit-learn: Machine learning in Python. J. Mach. Learn. Res. 2011, 12, 2825–2830. [Google Scholar]
- European Network of Forensic Science Institute. Best Practice Manual (BPM) for Controlled Drug Analysis; European Network of Forensic Science Institute: Wiesbaden, Germany, 2020. [Google Scholar]
- Commission Implementing Regulation (EU) 2021/808 of 22 March 2021 on the Performance of Analytical Methods for Residues of Pharmacologically Active Substances Used in Food-Producing Animals and on the Interpretation of Results as Well as on the Methods to Be Used for Sampling and Repealing Decisions 2002/657/EC and 98/179/EC. Available online: https://eurlex.euopa.eu/eli/reg_impl/2021/808/oj (accessed on 1 August 2024).
- Mishra, P.; Biancolillo, A.; Roger, J.M.; Marini, F.; Rutledge, D.N. New data preprocessing trends based on ensemble of multiple preprocessing techniques. TrAC Trends Anal. Chem. 2020, 132, 116045. [Google Scholar] [CrossRef]
- Gerretzen, J.; Szymańska, E.; Jansen, J.J.; Bart, J.; van Manen, H.-J.; Heuvel, E.R.v.D.; Buydens, L.M.C. Simple and Effective Way for Data Preprocessing Selection Based on Design of Experiments. Anal. Chem. 2015, 87, 12096–12103. [Google Scholar] [CrossRef]
- Lasalvia, M.; Capozzi, V.; Perna, G. A Comparison of PCA-LDA and PLS-DA Techniques for Classification of Vibrational Spectra. Appl. Sci. 2022, 12, 5345. [Google Scholar] [CrossRef]
- Yang, J.; Yang, J.-Y. Why can LDA be performed in PCA transformed space? Pattern Recognit. 2002, 36, 563–566. [Google Scholar] [CrossRef]
- Asri, M.N.M.; Verma, R.; Mahat, N.A.; Nor, N.A.M.; Desa, W.N.S.M.; Ismail, D. Discrimination and source correspondence of black gel inks using Raman spectroscopy and chemometric analysis with UMAP and PLS-DA. Chemom. Intell. Lab. Syst. 2022, 225, 104557. [Google Scholar] [CrossRef]
- Biosa, G.; Giurghita, D.; Alladio, E.; Vincenti, M.; Neocleous, T. Evaluation of Forensic Data Using Logistic Regression-Based Classification Methods and an R Shiny Implementation. Front. Chem. 2020, 8, 738. [Google Scholar] [CrossRef]
- Adekunle, F.O. A Binary Logistic Regression Model for Prediction of Feed Conversion Ratio of Clarias gariepinus from Feed Composition Data. Mar. Sci. Technol. Bull. 2021, 10, 134–141. [Google Scholar] [CrossRef]
- Cervantes, J.; Garcia-Lamont, F.; Rodríguez-Mazahua, L.; Lopez, A. A comprehensive survey on support vector machine classification: Applications, challenges and trends. Neurocomputing 2020, 408, 189–215. [Google Scholar] [CrossRef]
- Kim, G.; Chae, B.K.; Olson, D.L. A support vector machine (SVM) approach to imbalanced datasets of customer responses: Comparison with other customer response models. Serv. Bus. 2012, 7, 167–182. [Google Scholar] [CrossRef]








| Repeatability | Within-Laboratory Reproducibility | |||||
|---|---|---|---|---|---|---|
| Compound | Mean Peak Position (K0) | Standard Deviation | RDS% | Mean Peak Position (K0) | Standard Deviation | RDS% |
| C4 | 1.39 | 0.00268 | 0.193 | 1.39 | 0.00385 | 0.278 |
| PETN | 1.16 | 0.00297 | 0.256 | 1.16 | 0.00339 | 0.292 |
| RDX | 1.39 | 0.00257 | 0.184 | 1.39 | 0.00340 | 0.244 |
| SEMTEX | 1.16 | 0.00259 | 0.223 | 1.16 | 0.00245 | 0.210 |
| TNT | 1.45 | 0.00221 | 0.152 | 1.45 | 0.00230 | 0.159 |
| 2-4-DNT | 1.36 | 0.00277 | 0.204 | 1.36 | 0.00277 | 0.204 |
| 2-6-DNT | 1.48 | 0.00549 | 0.372 | 1.48 | 0.00422 | 0.286 |
| 3-4-DNT | 1.35 | 0.0028 | 0.209 | 1.36 | 0.00391 | 0.289 |
| Experimental Condition | |
|---|---|
| Drift field intensity [V/cm] | 509.314 |
| Pressure [mbar] | 602.339 |
| Temperature [k] | 335.5313 |
| Drift tube length [cm] | 11.14 |
| Experiments | Smoothing | Standard Normal Variate | Autoscaling |
|---|---|---|---|
| 1 | − | − | − |
| 2 | + | − | − |
| 3 | − | + | − |
| 4 | − | − | + |
| 5 | + | + | − |
| 6 | + | − | + |
| 7 | − | + | + |
| 8 | + | + | + |
| Model Accuracy | ||||||||||
|---|---|---|---|---|---|---|---|---|---|---|
| PCA-LDA | PLS-DA | PCA-LR | Support Vector Machines | |||||||
| Plasmagram Pre-Processing | “Newton-cg” Solver | “Liblinear” Solver | Linear Kernel | Poly Kernel | Rbf Kernel | Sigmoid Kernel | ||||
| Experiments | Smoothing | Standard Normal Variate | ||||||||
| 1 | − | − | 0.90 | 0.55 | 0.75 | 0.75 | 0.85 | 0.95 | 0.85 | 0.60 |
| 2 | + | − | 0.90 | 0.60 | 0.90 | 0.80 | 0.70 | 0.75 | 0.80 | 0.60 |
| 3 | − | + | 0.85 | 0.55 | 0.90 | 0.75 | 0.80 | 0.80 | 0.75 | 0.60 |
| 4 | − | − | 0.95 | 0.50 | 0.85 | 0.75 | 0.90 | 0.20 | 0.75 | 0.90 |
| 5 | + | + | 0.80 | 0.50 | 0.80 | 0.80 | 0.85 | 0.85 | 0.85 | 0.65 |
| 6 | + | − | 0.90 | 0.50 | 0.80 | 0.65 | 0.95 | 0.20 | 0.95 | 0.95 |
Disclaimer/Publisher’s Note: The statements, opinions and data contained in all publications are solely those of the individual author(s) and contributor(s) and not of MDPI and/or the editor(s). MDPI and/or the editor(s) disclaim responsibility for any injury to people or property resulting from any ideas, methods, instructions or products referred to in the content. |
© 2025 by the authors. Licensee MDPI, Basel, Switzerland. This article is an open access article distributed under the terms and conditions of the Creative Commons Attribution (CC BY) license (https://creativecommons.org/licenses/by/4.0/).
Share and Cite
Felizzato, G.; Sabo, M.; Petrìk, M.; Romolo, F.S. Laser Desorption-Ion Mobility Spectrometry of Explosives for Forensic and Security Applications. Molecules 2025, 30, 138. https://doi.org/10.3390/molecules30010138
Felizzato G, Sabo M, Petrìk M, Romolo FS. Laser Desorption-Ion Mobility Spectrometry of Explosives for Forensic and Security Applications. Molecules. 2025; 30(1):138. https://doi.org/10.3390/molecules30010138
Chicago/Turabian StyleFelizzato, Giorgio, Martin Sabo, Matej Petrìk, and Francesco Saverio Romolo. 2025. "Laser Desorption-Ion Mobility Spectrometry of Explosives for Forensic and Security Applications" Molecules 30, no. 1: 138. https://doi.org/10.3390/molecules30010138
APA StyleFelizzato, G., Sabo, M., Petrìk, M., & Romolo, F. S. (2025). Laser Desorption-Ion Mobility Spectrometry of Explosives for Forensic and Security Applications. Molecules, 30(1), 138. https://doi.org/10.3390/molecules30010138

