Abstract
The carboxylation of unsaturated amine and alcohol compounds, including 4-benzylamino-1-phenyl-1-butyne (homopropargylamine), 2-butyne-1-ol (propargylic alcohol), and 2,3-butadiene-1-ol (allenylmethyl alcohol), using the hydroxidogold(I) complex, AuOH(IPr) [IPr = 1,3-bis(2,6-diisopropylphenyl)-imidazol-2-ylidene], produces corresponding alkenylgold(I) complexes with a cyclic urethane or carbonate framework in high yields. The reaction takes place in aprotic THF at room temperature under the atmospheric pressure of CO2 in the absence of base additives. The products were characterized by NMR spectroscopy, elemental analysis, and X-ray crystallography. The functionalized alkenyl complexes prepared from the alkynes can be protonated by treatment with an equimolar amount of acetic acid to afford five- or six-membered carboxylation products, whereas the related alkenyl complex derived from allenylmethyl alcohol decomposed to recover the starting allene via ring-opening decarboxylation.
1. Introduction
The activation of unsaturated bonds by coordination to a Lewis acidic metal center and the following functionalization have been broadly utilized for catalytic applications. Among the intense research efforts in gold catalysis, a range of addition reactions of nucleophilic functional groups to C–C multiple bonds have been established [1,2,3,4]. In this context, organogold intermediates are proposed in mechanistic pathways involving the gold–carbon bond cleavage by a proton (i.e., protodeauration) to generate the products. Synthetic studies on alkenylgold complexes relevant to the gold-promoted transformations of alkynes and allenes have received much interest for gaining insight into catalytic behavior [5,6,7].
In our continuing studies on cyclic urethane synthesis from unsaturated amines and CO2 [8,9,10,11,12], it has been reported that gold(I) complexes bearing N-heterocyclic carbene (NHC) ligands serve as highly effective catalysts in alcoholic solvents for the carboxylative cyclization of propargylamines to yield 5-alkylidene-1,3-oxazolidin-2-ones with perfect regio- and stereoselectivities under mild temperature and pressure conditions (Scheme 1) [10,11]. A smooth carbamate formation from aminoalkyne and CO2 favors the attack of the alkyne moiety activated on the gold center, leading to the generation of alkenylgold species followed by subsequent protodeauration to release cyclic urethane. The treatment of AuOH(IPr) (1) and propargylic amines such as 1-(methylamino)-2-butyne (2a) and 1-(methylamino)-3-phenyl-2-propyne (2b) with atmospheric CO2 under aprotic and nonacidic conditions allowed the isolation of the corresponding alkenylgold(I) complexes (3a [10] and 3b [11]) with a five-membered urethane moiety as the model intermediates (Scheme 2A). Separately, the related NHC–silver(I) carboxylate complexes proved to be rather effective for the carboxylative cyclization of 1-(methylamino)-2,3-butadiene (4; allenylmethylamine) using CO2 [12]. The superiority of the Ag catalyst over the Au catalyst corroborates the fact that an isolable alkenylgold complex (5) [12] derived from 4 and CO2 showed poor reactivity toward the protonolysis of the alkenyl–metal bond involved in the product-releasing step of the catalytic cycle (Scheme 2B).
Scheme 1.
Au-catalyzed carboxylative cyclization of propargylamines.
Scheme 2.
Synthesis of alkenylgold complexes using propargylic amine (A) and allenylmethylamine (B) as catalytic intermediates.
These results prompted us to explore the feasibility of related alkyne or allene analogs for carbonylative cyclization using CO2. The identification of catalytic intermediate models via the intramolecular attack of carbamate and carbonate anions to C–C multiple bonds is an effective way to gain insight into extending the catalytic carboxylation system. In this paper, we disclose the reaction of several unsaturated amines and alcohols with a stoichiometric amount of NHC–gold(I) complex, leading to new alkenylgold complexes.
2. Results and Discussion
2.1. Synthesis and Characterization of Alkenylgold(I) Complex Derived from Homopropargylamine
Compared to the synthesis of five-membered cyclic urethanes by the carboxylative cyclization of propargylamines, there are limited examples of the catalytic construction of six-membered variants [13,14,15,16,17,18,19]. As a model for 6-exo-dig cyclization, we initially focused on the reactivity of a one-carbon homologated aminoalkyne. Following the synthesis of alkenylgold(I) complexes from propargylic amines, we performed the reaction of homopropargylamine (6) with an equimolar amount of 1 under a CO2 atmosphere in dehydrated tetrahydrofuran (THF) at room temperature for 22 h. The desired alkenyl complex (6) having a six-membered urethane structure was successfully isolated as colorless and thermally stable crystals in 45% yield after recrystallization from a mixed solution of acetone and n-hexane (Scheme 3).
Scheme 3.
Synthesis of alkenylgold 7 from 1, homopropargylamine, and CO2.
The alkenylgold complex 7 was fully characterized using NMR spectroscopy, elemental analysis, and X-ray crystallography. In 13C{1H} NMR, characteristic signals at 153.1 and 195.3 ppm were ascribed to the carbene carbon bound to the Au center and the carbonyl group derived from CO2, respectively. The chemical shift of 127.9 ppm, attributed to the alkenyl carbon adjacent to the Au center, was reasonable relative to the signals at 131.6 and 135.9 ppm for 3a and 3b, respectively, with a five-membered urethane framework [11]. The composition of formal CO2-adduct was also confirmed by CHN elemental analysis, as well as the C=O stretching band at 1691 cm–1 in ATR–IR. As shown in Figure 1, the crystallographic structure of 7 revealed that the Au(I) complex adopts a two-coordinate geometry with a C–Au–C angle of 172.6(3)°. The C(alkenyl)–Au bond length of 2.056(6) Å is slightly longer than that of 3a and 3b (2.046 and 2.049 Å, respectively) [11], possibly due to the sterically demanding substructure of the six-membered urethane. The structural data indicate that the carboxylation of 6 provided the anti addition product via the nucleophilic attack of the CO2-derived carbamate moiety on the alkyne coordinated to the Au center.
Figure 1.
X-ray crystal structure of 7. The hydrogen atoms are omitted for clarity. Thermal ellipsoids are shown at the 30% probability level.
We next examined the catalytic version of the carboxylative cyclization of homopropargylic amine. According to the original reaction of propargylamines, 6 was treated in methanol under Ar (0.1 MPa) in the presence of 1 with a substrate/catalyst ratio of 50 at 40 °C for 15 h; however, a complicated mixture was obtained. By switching the solvent to toluene, the corresponding cyclic urethane was obtained as the 6-exo-dig cyclization product in 28% yield and 22% of the unreacted substrate still remained in the reaction mixture. Due to a low catalytic activity of the Au complex, the carboxylation could not be completed even under pressurized CO2 (3.0 MPa).
2.2. Synthesis and Characterization of Alkenylgold(I) Complex Derived from Propargy Alcohol
The carboxylative cyclization of propargylic alcohols has also been investigated using metal and base catalysts. In most catalytic systems, tertiary alcohols have been exclusively used as the substrates, whereas few examples have been reported for the synthesis of cyclic carbonate from primary propargylic alcohol [20,21,22,23]. In light of the potential for expanding the substrate scope, we next explore the synthesis of alkenylgold from CO2 and 2-butyne-1-ol (8) without the virtue of the Thorpe–Ingold effect. When stoichiometric carboxylative cyclization was performed by the treatment of 1 with 8 in THF under a CO2 atmosphere for 1 h, the desired alkenylgold complex (9) was formed and successfully isolated in 80% yield after recrystallization (Scheme 4). The 13C{1H} NMR spectrum in CDCl3 displayed a carbonate resonance at 155.7 ppm, along with a signal at 195.8 ppm ascribed to the carbene carbon bound to the Au center. Two alkenyl carbon signals observed at 131.7 and 139.0 ppm were identical to those at 131.6 and 139.6 ppm for the carbamate analog 3a derived from 1-(methylamino)-2-butyne.
Scheme 4.
Synthesis of alkenylgold 9 from 1, propargylic alcohol, and CO2.
A single-crystal X-ray diffraction analysis revealed that the structure of 9 resembles that of the monomeric alkenylgold complex of 3a, as shown in Figure 2. The bond lengths and angles within the alkenyl ligand (Table S2) were roughly similar to those of the urethane analog 3a [11]. The sum of angles around each alkene carbon atom is consistent with a planar geometry of the alkenyl ligand. A comparable distance (1.432(5) Å) between the alkenyl carbon atom at the β-position to the Au center and the carbonate oxygen atom originated from CO2 was identified, relative to the corresponding bond length of 1.437 Å (mean value) in the carbamate derivative of 3a [11]. These results are indicative of the smooth capture of CO2 at the alcoholic moiety followed by nucleophilic cyclization to construct the five-membered carbonate ring.
Figure 2.
X-ray crystal structure of 9. The hydrogen atoms are omitted for clarity. Thermal ellipsoids are shown at the 30% probability level.
In the trial catalytic carbonate synthesis from 8 and CO2 (5.0 MPa) with reference to the carboxylative cyclization of propargylic amines [10], the alcoholic substrate was mostly recovered from the reaction mixture containing a catalytic amount of 9 in methanol even after an elongated reaction time of 48 h. The alcohol, unlike unsaturated amines, was less susceptible to the catalytic release of cyclic carbonate, while the basicity of hydroxidogold complex possibly contributes to enhancing the nucleophilicity of propargylic alcohols for carboxylation.
2.3. Synthesis and Characterization of Alkenylgold(I) Complex Derived from Allenylmethyl Alcohol
The carboxylative cyclization of allenylated alcohols has not been reported (related cyclic carbonate synthesis from allenyl alcohols and CO2 via Mizoroki-Heck type reaction was reported by Inoue, et al., as cited in ref. [24]), whereas allenylmethylamine has successfully been converted into corresponding cyclic urethane. To investigate nucleophilic attack on the carbon–carbon double bond by a carbonate moiety generated from CO2, we next focused on the reaction of allenylmethyl alcohol (10). In a similar manner to the synthesis of 7 and 9, the reaction of 1 and 10 proceeded in THF under CO2 (5.0 MPa) at room temperature to give a colorless solution. After the evaporation of the solvent, the desired alkenylgold complex (11) having a cyclic carbonate structure was isolated in 76% yield as crystals which were formed by slow diffusion of n-pentane into the solution in acetone (Scheme 5).
Scheme 5.
Synthesis of alkenylgold 11 from 1, allenylmethyl alcohol, and CO2.
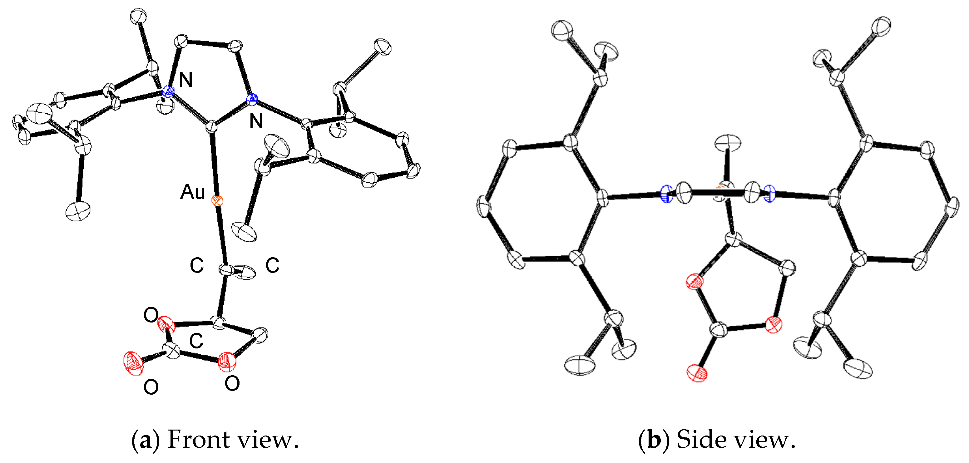
The product was characterized by NMR spectroscopy, elemental analysis, and X-ray crystallography. In the 1H NMR spectrum of 11 in CDCl3, the unsymmetrical terminal vinyl protons appeared as double doublet signals at 4.61 and 5.47 ppm with 2JHH and 4JHH couplings, which is comparable to those at 4.46 and 5.35 ppm for the alkenylgold complex 5 [12] synthesized from allenylmethylamine. Compared to the alkenylgold isomer 9, a marked downfield shift of the 13C{1H} NMR signal to 172.0 ppm, which was assigned to the alkenyl carbon adjacent to the Au center, was observed, as with the case of 5 (175.4 ppm) having a cyclic urethane framework. The carbonate signal appeared at 156.1 ppm in a similar manner to that of 9 (155.7 ppm). In addition, the carbonate function was confirmed by a C=O stretching frequency at 1782 cm–1 in ATR–IR. As shown in Figure 3a, the X-ray crystallographic structure shows a typical two-coordinate geometry around the Au center attached to the NHC carbene and alkenyl carbons. The distance between alkene carbons (1.322(6) Å) is close to that of other alkenyl complexes including the isomer 9 (1.321(5) Å). Other bond lengths and angles within the alkenyl ligand (Table S3) were roughly similar to those of the urethane analog 5 [12]. Apart from the alkenyl complexes (3a, 3b, 5, 7, and 9) displaying similar structures where the urethane or carbonate ring and the NHC ligand lie in the nearly same plane, the carbonate ring and double bond of the alkenyl ligand in 11 are perpendicular to the NHC ring, as illustrated in Figure 3b.
Figure 3.
X-ray crystal structure of 11. The hydrogen atoms are omitted for clarity. Thermal ellipsoids are shown at the 30% probability level.
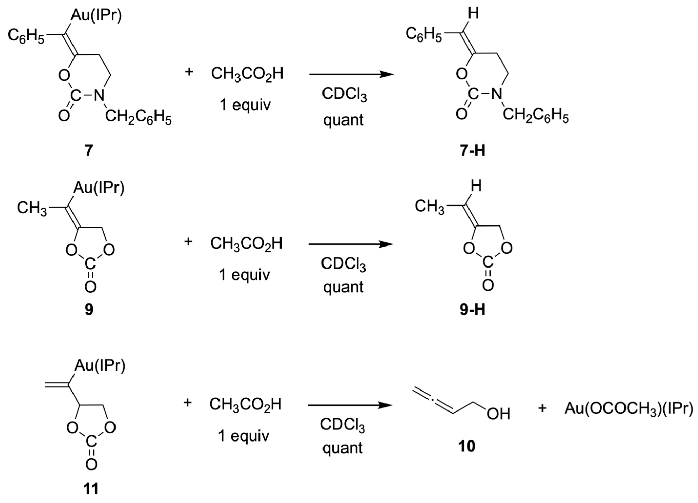
2.4. Protonolysis of Alkenylgold Complexes 7, 9, and 11
Alkenylgold complexes produce corresponding alkenes via the protodeauration step in catalysis [25,26,27]. For example, the complexes 2a and 2b produced corresponding urethanes via protonolysis and showed catalytic reactivity in the carboxylative cyclization of propargylamines. Therefore, we tested the protonolysis of the obtained alkenylgold complexes as the models of the new catalytic carboxylative cyclizations. NMR monitoring experiments by the treatment of 7 or 9 with an equimolar amount of acetic acid (pKa = 4.76 in H2O) in CDCl3 showed that the protodeauration proceeded to yield only Z products (7-H and 9-H) quantitatively (Scheme 6). Contrastingly, the reaction of 11 with acetic acid produced the parent allenyl alcohol 10 and Au(OCOCH3)(IPr) readily and quantitatively via ring opening and decarboxylation, owing to the relatively weak C–O bond in the allylic carbonate.
Scheme 6.
Protonolysis of alkenylgold complexes 7, 9, and 11.
3. Materials and Methods
All syntheses were performed under a purified argon atmosphere using standard Schlenk techniques. 2-Butyn-1-ol (8) was purchased from Tokyo Chemical Industry Co., Ltd. (Tokyo, Japan), and dried by calcium hydride and distilled under argon. 1-Benzylamino-4-phenyl-3-butyne (6) [28] and 1-hydroxy-2,3-butadiene (10) [29] were prepared according to the literature. Solvents were purchased from Kanto Chemical Co., Inc. (Tokyo, Japan) and dried by refluxing over sodium benzophenone ketyl (THF, diethyl ether, and toluene), acetone (B2O3), or CaH2 (methanol, hexane, and pentane) and distilled under argon before use. Carbon dioxide (99.999%) was purchased from Resonac Gas Products Corp. (Kawasaki, Japan). Au(OH)(IPr) (1) [30] was prepared according to the literature. 1H (399.8 MHz) and 13C{1H} (100.5 MHz) NMR spectra were acquired on a JNM-ECX400 spectrometer (JEOL Ltd., Tokyo, Japan) as solutions in CDCl3. The NMR chemical shifts were referenced to an external tetramethylsilane signal (0.0 ppm) by using the signals of residual proton impurities in the deuterated solvents. Elemental analyses were carried out using a PE2400 Series II CHNS/O Analyzer (PerkinElmer, Inc., Waltham, MA, USA). IR spectra were recorded on a JASCO FT/IR-610 spectrometer (JASCO Corporation, Tokyo, Japan).
3.1. Synthesis of the Alkenylgold Complexes
Complex 7: 1-Benzylamino-4-phenyl-3-butyne 6 (120 mg, 0.51 mmol) was added to a THF (5 mL) solution of 1 (312 mg, 0.52 mmol) in a 20 mL Schlenk flask under an Ar atmosphere. The Schlenk flask was charged with CO2 and stirred at room temperature for 22 h. The resulting mixture was evaporated and washed with hexane with a small portion of ether. Colorless crystals of 7 were collected by crystallization from acetone/hexane (200 mg, 45% yield). 1H NMR (399.78 MHz, CDCl3, rt): δ 1.20 (d, 3JHH = 6.9 Hz, 12H, (CH3)2CH), 1.25 (d, 3JHH = 6.9 Hz, 12H, (CH3)2CH), 2.21 (t, 3JHH = 6.1 Hz, 2H, COCH2CH2), 2.59 (sept, 3JHH = 6.9 Hz, 4H, (CH3)2CH), 2.83 (t, 3JHH = 6.1 Hz, 2H, CH2CH2N), 4.48 (s, 2H, NCH2C6H5), 6.84 (t, 3JHH = 7.3 Hz, 1H, Ar), 6.93 (t, JHH = 7.5 Hz, 2H, Ar), 7.03 (dd, JHH = 8.2 Hz, 1.2 Hz, 2H, Ar), 7.16 (s, 2H, NCH=CHN), 7.24-7.34 (m, 7H, Ar), 7.46 (t, 3JHH = 7.8 Hz, 2H, Ar); 13C{1H} NMR (100.53 MHz, CDCl3, rt): δ 24.1, 24.2, 28.8, 30.1, 44.4, 52.4, 58.3, 122.6, 123.5, 123.9, 126.8, 127.2, 127.9 (AuC=C), 128.5, 130.0, 130.1, 134.0, 134.6, 137.3, 142.8, 143.5 (AuC=C), 144.8, 145.9, 153.1 (C=O), 195.3 (NCN). IR (cm−1, KBr): 1691 (C=O). Anal. Calcd for C45H52AuN3O2 (863.90): C, 62.56; H, 6.07; N, 4.86. Found: C, 62.35; H, 6.34; N, 4.84.
Complex 9: 2-Butyne-1-ol (40 mg, 0.57 mmol) was added to a THF (3 mL) solution of 1 (304 mg, 0.50 mmol) in a 20 mL Schlenk flask under Ar atmosphere. The Schlenk flask was charged with CO2 and stirred at rt for 2 h. The resulting mixture was evaporated and washed with ether. Colorless crystals of 9 were collected by crystallization from wet acetone/hexane (281 mg, 80% yield). 1H NMR (399.78 MHz, CDCl3, rt): δ 1.23 (d, 3JHH = 6.9 Hz, 12H, (CH3)2CH), 1.32 (d, 3JHH = 6.9 Hz, 12H, (CH3)2CH), 1.56 (t, 3H, 5JHH = 2.0 Hz, CH3C=C), 2.64 (sept, 3JHH = 6.9 Hz, 4H, (CH3)2CH), 4.16 (q, 5JHH = 2.0 Hz, 2H, CH2), 7.15 (s, 2H, NCH=CHN), 7.30 (d, 3JHH = 7.7 Hz, 4H, Ar), 7.51 (t, 3JHH = 7.7 Hz, 2H, Ar); 13C{1H} NMR (100.53 MHz, CDCl3, rt): δ 19.1, 24.1, 24.5, 28.9, 68.1, 122.9, 124.0, 130.5, 131.7 (AuC=C), 134.4, 139.0 (AuC=C), 145.9, 155.7 (C=O), 195.8(NCN). IR (cm−1, KBr): 1799 (C=O). Anal. Calcd for C32H41AuN2O3+H2O (716.67): C, 53.63; H, 6.05; N, 3.91. Found: C, 53.55; H, 5.88; N, 3.86.
Complex 11: 1-Hydroxy-2,3-butadiene 10 (14 mg, 0.20 mmol) was added to a THF (1 mL) solution of 1 (103 mg, 0.17 mmol) in a 50 mL steel autoclave under Ar atmosphere. The reaction mixture was charged with pressurized CO2 (5.0 MPa) and stirred at rt for 18 h. The resulting mixture was evaporated and washed with hexane. Colorless crystals of 11 were collected by crystallization from acetone/pentane (91 mg, 76%). Colorless crystals. 1H NMR (399.78 MHz, CD2Cl2, rt): δ 1.22 (d, 3JHH = 7.0 Hz, 12H; (CH3)2CH), 1.33 (d, 3JHH = 6.7 Hz, 12H; (CH3)2CH), 2.57 (overlapped sept, 3JHH = 6.7 Hz, 4H; (CH3)2CH), 3.44 (dd, 3JHH = 8.3 Hz, 3JHH = 7.9 Hz, 1H; COCHH), 3.88 (dd, 3JHH = 8.1 Hz, 3JHH = 8.1 Hz, 1H; COCHH), 4.61 (dd, 2JHH = 4.1 Hz, 4JHH = 1.4 Hz, 1H; CHH=CAu), 4.86 (dd, 3JHH = 8.2 Hz, 3JHH = 8.2 Hz, 1H; CH2=CCH), 5.47 (dd, 2JHH = 4.0 Hz, 4JHH = 1.3 Hz, 1H; CHH=CAu), 7.16 (s, 2H; NCH=CHN), 7.29 (d, 3JHH = 7.8 Hz. 4H; Ar), 7.51 (t, 3JHH = 7.8 Hz, 2H; Ar) ppm. 13C{1H} NMR (100.53 MHz, CD2Cl2, rt): δ 24.0, 24.4, 28.73, 28.77, 70.4 (CHCH2O), 87.0 (AuCCHO), 120.8, 122.9, 123.9, 124.0, 134.2, 145.69, 145.72, 156.0 (OCO2), 172.0 (AuC=CH2), 195.8 (NCN) ppm. IR (cm−1, ATR): 1782 (C=O). Anal. Calcd for C32H41AuN2O3 (698.66): C, 55.01; H, 5.92; N, 4.01. Found: C, 55.21; H, 6.14; N, 4.00.
3.2. Protonolysis of the Alkenylgold Complexes with Acetic Acid
An NMR tube equipped with a J-Young valve was charged with alkenylgold complex (10 μmol), durene and CDCl3 (0.5 mL), and acetic acid (10 μmol) was added to the solution. The reaction was monitored via 1H NMR spectroscopy at room temperature.
7-H: 1H NMR (399.78 MHz, CDCl3, rt): δ 2.66 (t, 3JHH = 6.1 Hz, 2H; COCH2CH2), 3.29 (t, 3JHH = 6.1 Hz, 2H; CH2CH2N), 4.63 (s, 2H; NCH2C6H5), 5.43 (s, 1H; C6H5CH), 7.19-7.23 (m, 1H; Ar), 7.26-7.30 (m, 7H; Ar), 7.66 (dd, JHH = 8.7 Hz, JHH = 1.3 Hz, 1H; Ar).
9-H: 1H NMR (399.78 MHz, CDCl3, rt): δ 1.73 (dt, 3JHH = 7.0 Hz, 5JHH = 2.1 Hz, 3H; CH3), 4.72 (qt, 3JHH = 7.0 Hz, 4JHH = 2.1 Hz, 1H; CH3CH), 4.95 (dq, 4JHH = 2.1 Hz, 5JHH = 2.1 Hz, 2H; CH2O).
3.3. X-ray Crystal Structure Determination
Diffraction experiments were performed on a Rigaku Saturn CCD area detector (Rigaku Corporation, Tokyo, Japan) using graphite-monochromated Mo-Kα radiation (λ = 0.71075 Å) under a nitrogen stream at 193 K. Single crystals suitable for X-ray analyses were mounted on glass fibers. The crystal-to-detector distance was 45.0 mm. Data were collected to a maximum 2θ value of 55.0°. A total of 720 oscillation images were collected. A sweep of the data was carried out by using ω scans from −110.0 to 70.0° in 0.5° steps at χ = 45.0° and ϕ = 0.0°. A second sweep was performed by using ω scans from −110.0 to 70.0° in 0.5° steps at χ = 45.0° and ϕ = 90.0°. Intensity data were collected for Lorentz-polarization effects and absorption. Details of the crystal and data collection parameters for the compounds 7, 9, and 11 are summarized in Table S1. The structure solution and refinements were performed with the CrystalStructure program package [31]. The heavy atom positions were determined by a direct program method (SIR92) [32] and the remaining non-hydrogen atoms were found by subsequent Fourier syntheses and were refined by full-matrix least-squares techniques against F2 using the SHELXL-2014/7 program [33]. The hydrogen atoms were placed at calculated positions and were refined with a riding model. These crystallographic data have been deposited with Cambridge Crystallographic Data Centre as supplementary publication numbers CCDC-2339858 (7), CCDC-2339859 (9), and CCDC-2339860 (11).
4. Conclusions
Functionalized alkenylgold(I) complexes can be versatilely synthesized by the reaction of AuOH(IPr) and unsaturated amines or alcohols under a CO2 atmosphere. The isolated complexes are regarded as possible catalytic intermediates for the carboxylative cyclization using CO2. The feasibility of this method for Au catalysis can be evaluated by performing protonolysis, which is the fundamental process in catalytic carboxylative cyclization. The carboxylative cyclizations of homopropargylamine and primary propargylic alcohol were demonstrated by stepwise stoichiometric carboxyauration and protonolysis. Based on these fundamental aspects on the catalytic carboxylative cyclizations, further investigations involving the transformation of the related alkynes and alkenes are now underway.
Supplementary Materials
The following supporting information can be downloaded at: https://www.mdpi.com/article/10.3390/molecules29061331/s1, Table S1: X-ray crystallographic data table for 7, 9, and 11; Figures S1–S3: Selected bond lengths and angles for 7, 9, and 11. File S1–S3: checkcif.
Author Contributions
Conceptualization, Y.K.; methodology, S.H. and K.Y.; validation, S.H., K.Y. and Y.K.; formal analysis, S.H., K.Y. and Y.K.; investigation, S.H. and K.Y.; data curation, S.H., K.Y. and Y.K.; writing, S.H. and Y.K.; project administration, Y.K.; funding acquisition, Y.K.; supervision, Y.K. All authors have read and agreed to the published version of the manuscript.
Funding
This research was funded by International Polyurethane Technology Foundation.
Institutional Review Board Statement
Not applicable.
Informed Consent Statement
Not applicable.
Data Availability Statement
The data presented in this study are available in the Supplementary Materials.
Acknowledgments
We are grateful for the financial support from artience Co., Ltd. We thank Shigeki Kuwata (Ritsumeikan University) for help with X-ray crystallography and fruitful discussion.
Conflicts of Interest
The authors declare no conflicts of interest.
References
- Arcadi, A. Alternative Synthetic Methods through New Developments in Catalysis by Gold. Chem. Rev. 2008, 108, 3266–3325. [Google Scholar] [CrossRef]
- Debrouwer, W.; Heugebaert, T.S.A.; Roman, B.I.; Stevens, C.V. Homogeneous Gold-Catalyzed Cyclization Reactions of Alkynes with N- and S-Nucleophiles. Adv. Synth. Catal. 2015, 357, 2975–3006. [Google Scholar] [CrossRef]
- Houple, D.B.; Ghorpade, S.; Liu, R.-S. Recent Advances in Gold-Catalyzed N- and O-Functionalizations of Alkynes with Nitrones, Nitroso, Nitro and Nitroxy Species. Adv. Synth. Catal. 2016, 358, 1348–1367. [Google Scholar] [CrossRef]
- Campeau, D.; Rayo, D.F.L.; Mansour, A.; Muratov, K.; Gagosz, F. Gold-Catalyzed Reactions of Specifically Activated Alkynes, Allenes, and Alkenes. Chem. Rev. 2021, 121, 8756–8867. [Google Scholar] [CrossRef] [PubMed]
- Lauterbach, T.; Asiri, A.M.; Hashmi, A.S.K. Organometallic Intermediates of Gold Catalysis. Adv. Organomet. Chem. 2014, 62, 261–297. [Google Scholar]
- Liu, L.-P.; Hammond, G.B. Recent advances in the isolation and reactivity of organogold complexes. Chem. Soc. Rev. 2012, 41, 3129–3139. [Google Scholar] [CrossRef] [PubMed]
- Obradors, C.; Echavarren, A.M. Intriguing mechanistic labyrinths in gold(I) catalysis. Chem. Commun. 2014, 50, 16–28. [Google Scholar] [CrossRef] [PubMed]
- Kayaki, Y.; Yamamoto, M.; Suzuki, T.; Ikariya, T. Carboxylative cyclization of propargylamines with supercritical carbon dioxide. Green Chem. 2006, 8, 1019–1021. [Google Scholar] [CrossRef]
- Kayaki, Y.; Mori, N.; Ikariya, T. Palladium-catalyzed carboxylative cyclization of α-allenyl amines in dense carbon dioxide. Tetrahedron Lett. 2009, 50, 6491–6493. [Google Scholar] [CrossRef]
- Hase, S.; Kayaki, Y.; Ikariya, T. NHC–Gold(I) Complexes as Effective Catalysts for the Carboxylative Cyclization of Propargylamines with Carbon Dioxide. Organometallics 2013, 32, 5285–5288. [Google Scholar] [CrossRef]
- Hase, S.; Kayaki, Y.; Ikariya, T. Mechanistic Aspects of the Carboxylative Cyclization of Propargylamines and Carbon Dioxide Catalyzed by Gold(I) Complexes Bearing an N-Heterocyclic Carbene Ligand. ACS Catal. 2015, 5, 5135–5140. [Google Scholar] [CrossRef]
- Yamashita, K.; Hase, S.; Kayaki, Y.; Ikariya, T. Highly Selective Carboxylative Cyclization of Allenylmethylamines with Carbon Dioxide Using N-Heterocyclic Carbene-Silver(I) Catalysts. Org. Lett. 2015, 17, 2334–2337. [Google Scholar] [CrossRef]
- Brunel, P.; Monot, J.; Kefalidis, C.E.; Maron, L.; Martin-Vaca, B.; Bourissou, D. Valorizationof CO2: Preparation of 2-Oxazolidinones by Metal-Ligand Cooperative Catalysis with SCS Indenediide Pd Complexes. ACS Catal. 2017, 7, 2652–2660. [Google Scholar] [CrossRef]
- Wang, W.; Fu, Y.; Li, Y.; Yao, R.; Liu, L.; Chang, W.; Li, J. Ag(I)-Catalyzed solvent-free CO2 capture with homopropargylic amines: An efficient access to 1,3-oxazinan-2-ones. Org. Chem. Front. 2018, 5, 3331–3335. [Google Scholar] [CrossRef]
- Gao, X.-T.; Xie, S.-L.; Zhou, F.; Wu, H.-H.; Zhou, J. Multifunctional 1,3-diphenylguanidine for the carboxylative cyclization of homopropargyl amines with CO2 under ambient temperature and pressure. Chem. Commun. 2019, 55, 14303–14306. [Google Scholar] [CrossRef] [PubMed]
- Mancuso, R.; Ziccarelli, I.; Pomelli, C.S.; Cuocci, C.; Ca’, N.D.; Olivieri, D.; Cartfagna, C.; Gabriele, B. Unexpected cooperative DBU-CuCl2 catalysis for the incorporation of carbon dioxide into homopropargylic amines leading to 6-methylene-1,3-oxazin-2-ones. J. Catal. 2020, 387, 145–153. [Google Scholar] [CrossRef]
- Ghosh, S.; Riyajuddin, S.; Sarkar, S.; Ghosh, K.; Islam, S.M. Pd NPs Decorated on POPs as Recyclable Catalysts for the Synthesis of 2-Oxazolidinones from Propargylic Amines via Atmospheric Cyclizative CO2 Incorporation. ChemNanoMat 2020, 6, 160–172. [Google Scholar] [CrossRef]
- Ghosh, S.; Khan, S.; Ghosh, A.; Chowdhury, A.H.; Haider, M.A.; Khan, A.; Islam, S.M. Utility of Silver Nanoparticles Embedded Covalent Organic Frameworks as Recyclable Catalysts for the Sustainable Synthesis of Cyclic Carbamates and 2-Oxazolidinones via Atmospheric Cyclizative CO2 Capture. ACS Sustain. Chem. Eng. 2020, 8, 5495–5513. [Google Scholar] [CrossRef]
- Chen, F.; Tao, S.; Deng, Q.-Q.; Wei, D.; Liu, D.B. Binuclear Tridentate Hemilabile Copper(I) Cataysts for Utilization of CO2 into Oxazolidinones from Propargylic Amines. J. Org. Chem. 2020, 85, 15197–15212. [Google Scholar] [CrossRef]
- Dabral, S.; Bayarmagnai, B.; Hermsen, M.; Schießl, J.; Mormul, V.; Hashmi, A.S.K.; Schaub, T. Silver-Catalyzed Carboxylative Cyclization of Primary Propargyl Alcohols with CO2. Org. Lett. 2019, 21, 1422–1425. [Google Scholar] [CrossRef]
- Johnson, C.; Dabral, S.; Rudolf, P.; Licht, U.; Hashmi, A.S.K.; Schaub, T. Liquid-liquid-phase Synthesis of exo-Vinylene Carbonates from Primary Propargyl Alcohols: Catalyst Design and Recycling. ChemCatChem 2021, 13, 353–361. [Google Scholar] [CrossRef]
- Cervantes-Reyes, A.; Farshadfar, K.; Rudolph, M.; Dabral, S.; Rudolf, P.; Rominger, F.; Schaub, T.; Ariafard, A.; Hashmi, A.S.K. Copper-catalysed synthesis of α-alkylidene cyclic carbonates from propargylic alcohols and CO2. Green Chem. 2021, 23, 889–897. [Google Scholar] [CrossRef]
- Cervantes-Reyes, A.; Saxl, T.; Stein, P.M.; Rudolph, M.; Dabral, S.; Rudolf, P.; Rominger, F.; Asiri, A.M.; Hashmi, A.S.K. Expanded Ring NHC Silver Carboxylate Complexes as Efficient and Reusable Catalysts for the Carboxylative Cyclization of Unsubstituted Propargylic Derivatives. ChemSusChem 2021, 14, 2367–2374. [Google Scholar] [CrossRef]
- Uemura, K.; Shiraishi, D.; Noziri, M.; Inoue, Y. Preparation of Cyclic Carbonates from Alkadienols, CO2, and Aryl or Vinylic Halides Catalyzed by a Palladium Complex. Bull. Chem. Soc. Jpn. 1999, 72, 1063–1069. [Google Scholar] [CrossRef]
- Wang, W.; Hammond, G.B.; Xu, B. Ligand Effects and Ligand Design in Homogeneous Gold(I) Catalysis. J. Am. Chem. Soc. 2012, 134, 5697–5705. [Google Scholar] [CrossRef]
- BabaAhmadi, R.; Ghanbari, P.; Rajabi, N.A.; Hashmi, A.S.K.; Yates, B.F.; Ariafard, A. A Theoretical Study on the Protodeauration Step of the Gold(I)-Catalyzed Organic Reactions. Organometallics 2015, 34, 3186–3195. [Google Scholar] [CrossRef]
- Jo, T.; Taschinski, S.; Leach, I.F.; Bauer, C.; Hashmi, A.S.K.; Klein, J.E.M.N. On the Role of Noncovalent Ligand-Substrate Interactions in Au(I) Catalysis: An Experimental and Computational Study of Protodeauration. ACS Catal. 2022, 12, 13158–13163. [Google Scholar] [CrossRef] [PubMed]
- Hess, W.; Burton, J.W. Palladium-Catalysed Cyclisation of N-Alkynyl Aminomalonates. Chem. Eur. J. 2010, 16, 12303–12306. [Google Scholar] [CrossRef] [PubMed]
- Luo, H.; Ma, S. CuI-Catalyzed Synthesis of Functionalized Terminal Allenes from 1-Alkynes. Eur. J. Org. Chem. 2013, 3041–3048. [Google Scholar] [CrossRef]
- Gómez-Suárez, A.; Ramón, R.S.; Slawin, A.M.Z.; Nolan, S.P. Synthetic routes to [Au(NHC)(OH)] (NHC = N-heterocyclic carbene) complexes. Dalton Trans. 2012, 41, 5461–5463. [Google Scholar] [CrossRef] [PubMed]
- CrystalStructure 4.1: Crystal Structure Analysis Package, Version 4.1.; Rigaku Coorporation: Tokyo, Japan, 2015.
- Altomare, A.; Cascarano, G.; Giacovazzo, C.; Guagliardi, A.; Burla, M.; Polidori, G.; Camalli, M. SIR92—A program for automatic solution of crystal structures by direct methods. J. Appl. Cryst. 1994, 27, 435. [Google Scholar] [CrossRef]
- Sheldrick, G.M. Crystal structure refinement with SHELXL. Acta Crystallogr. Sect. C 2015, 71, 3–8. [Google Scholar] [CrossRef] [PubMed]
Disclaimer/Publisher’s Note: The statements, opinions and data contained in all publications are solely those of the individual author(s) and contributor(s) and not of MDPI and/or the editor(s). MDPI and/or the editor(s) disclaim responsibility for any injury to people or property resulting from any ideas, methods, instructions or products referred to in the content. |
© 2024 by the authors. Licensee MDPI, Basel, Switzerland. This article is an open access article distributed under the terms and conditions of the Creative Commons Attribution (CC BY) license (https://creativecommons.org/licenses/by/4.0/).








