A Novel Pot-Economy Approach to the Synthesis of Triantennary GalNAc-Oligonucleotide
Abstract
1. Introduction
2. Results and Discussion
2.1. Original Methods’ Issues
2.2. Alternative Synthesis Path
3. Materials and Methods
3.1. Materials
3.2. Methods
3.2.1. 1st Pot
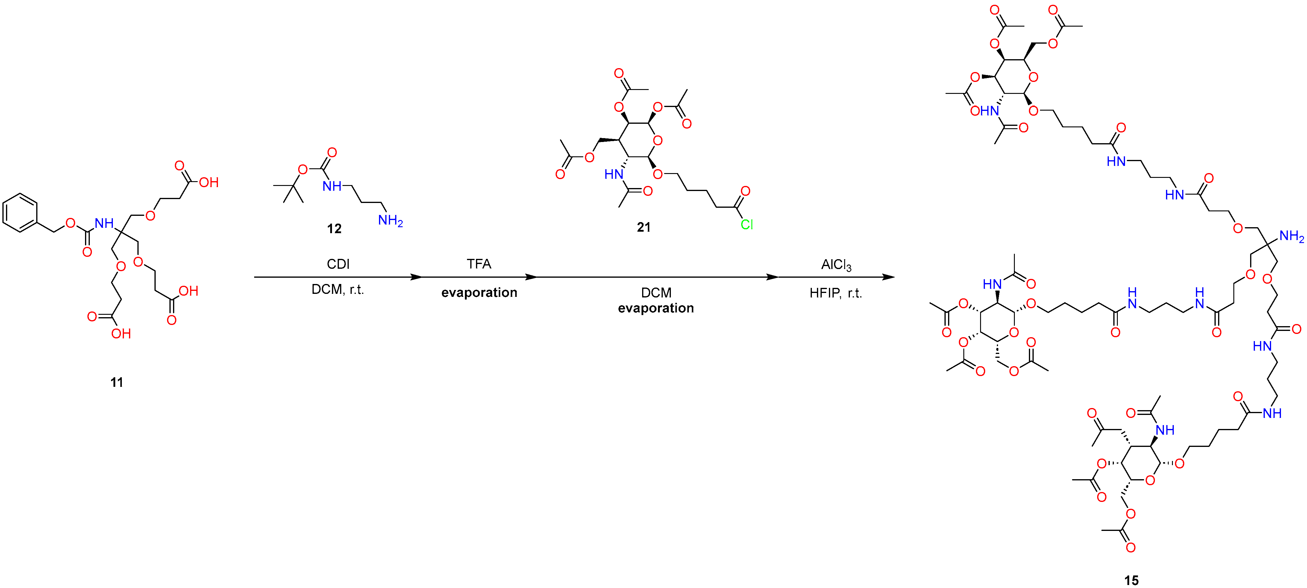
- The following operations are demonstrated in Figure 7.
- To the solution of acid 11 (5.00 g, 10.61 mmol) in DCM (110 mL), CDI (1.72 g, 10.61 mmol, 1 eq.) was added by one portion, and the resulting mixture was stirred for 1 h.
- Then, tert-butyl(3-aminopropyl)carbamate (12) (1.85 g, 10.61 mmol, 1 eq.) was added, and the resulting solution was stirred for 8 h.
- After completion of the coupling reaction (TLC control), TFA (4.09 mL, 53.02 mmol, 5 eq.) was added, and the resulting solution was stirred for 24 h.
- After completion of the cleavage of protecting groups, the reaction mixture was evaporated under reduced pressure to remove the excess TFA.
- Then, the residue was dissolved in DCM (55 mL), and a solution of GalNAc acid chloride (21) in DCM (55 mL) (which was prepared from GalNAc acid (2) (14.23 g, 31.80 mmol, 3 eq.), oxalyl chloride (2.71 mL, 31.80 mmol, 3 eq.) and Et3N (4.43 mL, 31.78 mmol, 3 eq.) was added dropwise, by following the standard procedure using a catalytic amount of DMF). After stirring the reaction mixture for an additional 5 h, the resulting solution was concentrated in vacuo (55 °C, 1 h).
- Then, to the solution of crude Cbz-amine (3) (20.43 g, 10.60 mmol) in HFIP (45 mL) was added AlCl3 (4.24 g, 31.79 mmol, 3 eq.) at room temperature, and the resulting suspension was stirred at the same temperature for 6 h. After the completion of the reaction, as observed by TLC and MALDI−TOF analysis, a partial amount of HFIP was recovered by using the downward distillation method.
- The reaction mixture was diluted with DCM (100 mL). The reaction mixture was quenched with aqueous NaHCO3 (100 mL) and extracted with DCM (3 × 100 mL). The combined organic layers were washed with brine (100 mL), dried over anhydrous Na2SO4, filtered, and evaporated to give the 19.21 g crude desired product (15).
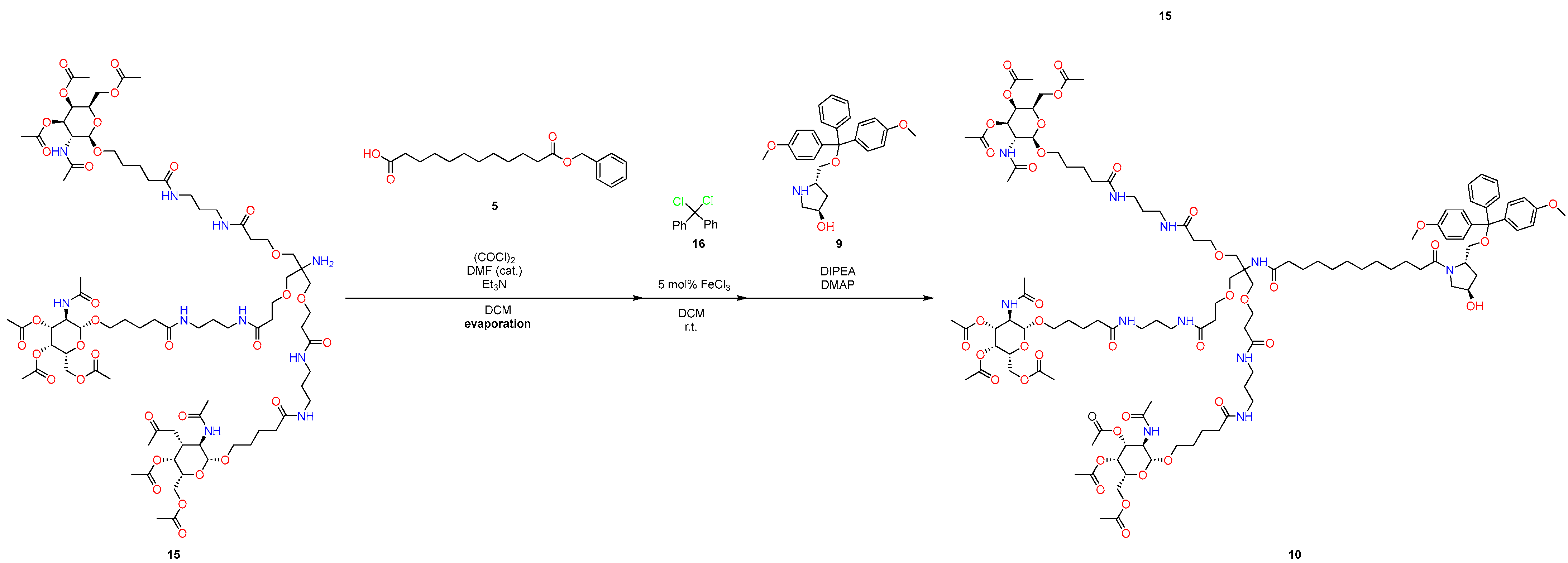
3.2.2. 2nd Pot
- The following operations are demonstrated in Figure 8.
- The crude residue of compound 15 was dissolved in DCM (55 mL), and the resulting solution was added dropwise to the solution of 12-(benzyloxy)-12-oxododecanoic acid chloride in DCM (55 mL) (which was prepared from 12-(benzyloxy)-12-oxododecanoic acid (5) (3.40 g, 10.60 mmol, 1 eq.), oxalyl chloride (902.92 µL, 10.60 mmol, 1 eq.) and Et3N (1.48 mL, 10.60 mmol, 1 eq.), by following the standard procedure using a catalytic amount of DMF). After stirring the reaction mixture for an additional 5 h, the resulting solution was concentrated in vacuo (55 °C, 1 h).
- Then, the residue was dissolved in DCM (100 mL), and to the solution of benzyl benzoate (6), dichlorodiphenylmethane (16) (3.02 g, 12.72 mmol, 1.2 eq.) was added, followed by FeCl3 (86.1 mg, 530 µmol, 5.0 mol%), and the resulting mixture was stirred at room temperature for 2 h.
- Then, (3R,5S)-5-[[bis(4-methoxyphenyl)-phenylmethoxy]methyl]pyrrolidin-3-ol (9) (5.34 g, 12.72 mmol, 1.2 eq.), DIPEA (2.77 mL, 15.90 mmol, 1.5 eq.), and DMAP (259.0 mg, 2.12 mmol, 0.2 eq.) were added to the reaction mixture and stirred for 8 h at room temperature.
- The mixture was poured into water (150 mL) and extracted with DCM (2 × 100 mL). The combined organic layers were washed with brine (200 mL), dried over anhydrous Na2SO4, filtered, and concentrated.
- The resulting residue was purified by flash column chromatography on silica gel with DCM-EtOH-Et3N (3%) as an eluent from 20:1 to 5:1 (5:1 Rf = 0.6) to afford 15.59 g. of the desired product (10). Total yield: 61%.
3.2.3. Chemical Modification for Further Oligonucleotide Synthesis
- Alcohol (10) (2.407 g, 1 mmol, 1 eq) was dissolved in DCM (20 mL), and to a clear solution in an argon atmosphere, 3-((bis(diisopropylamino)phosphaneyl)oxy)propanenitrile (18) (0.7525 g, 2.5 mmol, 2.5 eq) and DCI (0.118 g, 1 mmol, 1 eq) in 10 mL of MeCN were added. The reaction mixture was stirred in an argon atmosphere for 12 h. Then, the reaction mixture was poured into water, extracted with DCM, and dried over sodium sulfate. The organic phase was evaporated under reduced pressure. The crude material was precipitated with ethyl acetate and dried in vacuo to afford 2.1 g, a yield of 81% with 98.5% purity.
- 3.
- We charged (1.0 g, 0.4 mmol, 10 eq) compound 10 in a 25 mL round bottom flask and dissolved it in 8 mL of a 1:1 v/v pyridine-DMF mixture. Sequentially, we added (12 mg, 0.1 mmol, 2.5 eq) of DMAP, 1.0 g of succinylated LCAA-CPG 40 μmol/g, and diisopropylcarbodiimide (62 μL, 0.4 mmol, 10 eq), under stirring. We left the mixture at ambient temperature for 48 h and gently shook the mix daily. We gently shook the mix and immediately took a small portion, 150 μL, of the CPG suspension into a 1.5 mL tube and separated the CPG by decanting. We washed the CPG twice with 1 mL of DCM, twice with 2 mL of acetonitrile, and 5 times with 1 mL of diethyl ether. We dried the CPG in high vacuo for 1 h.
- 4.
- We accurately transferred ~15 mg of CPG 20 into a 25 mL flask and added 10 mL 5% TFA in DCM to it. After 15 min of exposure, we measured the absorbance of the mixture at 505 nm using a UV–Vis spectrophotometer, with DCM used as a blank, and we calculated the loading of GalNAc CPG using the following equation: L (μmol/g) = (V × 1000 × Abs)/78 × m, where m is the mass of 20 (in mg), Abs is the absorbance of the mixture at 505 nm, V is the total volume of the solution (mL), and 78 is the extinction coefficient of dimethoxytrityl cation (ml/μmol). The loading of the solid support 20 was calculated at ~32 μmol/g CPG. The yield of this step is over 80%. In addition, we set up the synthesis using a PolyGen oligo synthesizer, using 5 mg of the obtained CPG.
4. Conclusions
Author Contributions
Funding
Institutional Review Board Statement
Informed Consent Statement
Data Availability Statement
Conflicts of Interest
References
- Khvorova, A.; Watts, J.K. The chemical evolution of oligonucleotide therapies of clinical utility. Nat. Biotechnol. 2017, 35, 238–248. [Google Scholar] [CrossRef]
- Jorge, A.F.; Grijalvo, S.; Fàbrega, C.; Aviñó, A.; Eritja, R. Advances in therapeutic oligonucleotide chemistry. In Nucleic Acids Chemistry; Eritja, R., Ed.; Modifications and Conjugates for Biomedicine and Nanotechnology; De Gruyter: Berlin, Germany, 2021; pp. 273–329. [Google Scholar] [CrossRef]
- Goga, A.; Stoffel, M. Therapeutic RNA-silencing oligonucleotides in metabolic diseases. Nat. Rev. Drug Discov. 2022, 21, 417–439. [Google Scholar] [CrossRef]
- Martini PG, V.; Guey, L.T. A New Era for Rare Genetic Diseases: Messenger RNA Therapy. Hum. Gene Ther. 2019, 30, 1180–1189. [Google Scholar] [CrossRef] [PubMed]
- Xie, X.; Yu, T.; Li, X.; Zhang, N.; Foster, L.J.; Peng, C.; Huang, W.; He, G. Recent advances in targeting the “undruggable” proteins: From drug discovery to clinical trials. Signal Transduct. Target. Ther. 2023, 8, 335. [Google Scholar] [CrossRef]
- Chakraborty, C.; Sharma, A.R.; Sharma, G.; Doss CG, P.; Lee, S.-S. Therapeutic miRNA and siRNA: Moving from Bench to Clinic as Next Generation Medicine. Mol. Ther. Nucleic Acids 2017, 8, 132–143. [Google Scholar] [CrossRef]
- Mendell, J.T. Targeting a Long Noncoding RNA in Breast Cancer. N. Engl. J. Med. 2016, 374, 2287–2289. [Google Scholar] [CrossRef] [PubMed]
- Zhang, Y.; Sun, C.; Wang, C.; Jankovic, K.E.; Dong, Y. Lipids and Lipid Derivatives for RNA Delivery. Chem. Rev. 2021, 121, 12181–12277. [Google Scholar] [CrossRef] [PubMed]
- Dong, Y.; Siegwart, D.J.; Anderson, D.G. Strategies, design, and chemistry in siRNA delivery systems. Adv. Drug Deliv. Rev. 2019, 144, 133–147. [Google Scholar] [CrossRef]
- Seymour, L.W.; Ferry, D.R.; Anderson, D.; Hesslewood, S.; Julyan, P.J.; Poyner, R.; Doran, J.; Young, A.M.; Burtles, S.; Kerr, D.J. Hepatic Drug Targeting: Phase I Evaluation of Polymer-Bound Doxorubicin. J. Clin. Oncol. 2002, 20, 1668–1676. [Google Scholar] [CrossRef] [PubMed]
- Baenziger, J.U.; Fiete, D. Galactose and N-acetylgalactosamine-specific endocytosis of glycopeptides by isolated rat hepatocytes. Cell 1980, 22, 611–620. [Google Scholar] [CrossRef]
- Debacker, A.J.; Voutila, J.; Catley, M.; Blakey, D.; Habib, N. Delivery of Oligonucleotides to the Liver with GalNAc: From Research to Registered Therapeutic Drug. Mol. Ther. 2020, 28, 1759–1771. [Google Scholar] [CrossRef] [PubMed]
- Shen, X.; Corey, D.R. Chemistry, mechanism and clinical status of antisense oligonucleotides and duplex RNAs. Nucleic Acids Res. 2018, 46, 1584–1600. [Google Scholar] [CrossRef] [PubMed]
- Nair, J.K.; Willoughby, J.L.S.; Chan, A.; Charisse, K.; Alam, M.R.; Wang, Q.; Hoekstra, M.; Kandasamy, P.; Kel’in, A.V.; Milstein, S.; et al. Multivalent N-acetylgalactosamine-conjugated siRNA localizes in hepatocytes and elicits robust RNAi-mediated gene silencing. J. Am. Chem. Soc. 2014, 136, 16958–16961. [Google Scholar] [CrossRef] [PubMed]
- Zhou, Y.; Teng, P.; Montgomery, N.T.; Li, X.; Tang, W. Development of Triantennary N-Acetylgalactosamine Conjugates as Degraders for Extracellular Proteins. ACS Cent. Sci. 2021, 7, 499–506. [Google Scholar] [CrossRef] [PubMed]
- Tang, Q.; Khvorova, A. RNAi-based drug design: Considerations and future directions. Nat. Rev. Drug Discov. 2024, 23, 341–364. [Google Scholar] [CrossRef] [PubMed]
- FDA Approves Add-On Therapy to Lower Cholesterol Among Certain High-Risk Adults. Available online: https://www.fda.gov/drugs/news-events-human-drugs/fda-approves-add-therapy-lower-cholesterol-among-certain-high-risk-adults (accessed on 22 December 2021).
- FDA Approves Novartis Leqvio® (Inclisiran), First-in-Class siRNA to Lower Cholesterol and Keep It Low with Two Doses a Year. Available online: https://www.novartis.com/news/media-releases/fda-approves-novartis-leqvio-inclisiran-first-class-sirna-lower-cholesterol-and-keep-it-low-two-doses-year (accessed on 22 December 2021).
- Zhang, Y.; Chen, H.; Hong, L.; Wang, H.; Li, B.; Zhang, M.; Li, J.; Yang, L.; Liu, F. Inclisiran: A new generation of lipid-lowering siRNA therapeutic. Front. Pharmacol. 2023, 14, 1260921. [Google Scholar] [CrossRef]
- Lamb, Y.N. Inclisiran: First Approval. Drugs 2021, 81, 389–395. [Google Scholar] [CrossRef] [PubMed]
- Khorev, O.; Stokmaier, D.; Schwardt, O.; Cutting, B.; Ernst, B. Trivalent, Gal/GalNAc-containing ligands designed for the asialoglycoprotein receptor. Bioorganic Med. Chem. 2008, 16, 5216–5231. [Google Scholar] [CrossRef] [PubMed]
- Ebenezer, O.; Comoglio, P.; Wong GK, S.; Tuszynski, J.A. Development of Novel siRNA Therapeutics: A Review with a Focus on Inclisiran for the Treatment of Hypercholesterolemia. Int. J. Mol. Sci. 2023, 24, 4019. [Google Scholar] [CrossRef]
- Ulashchik, E.A.; Martynenko-Makaev, Y.V.; Akhlamionok, T.P.; Melnik, D.M.; Shmanai, V.V.; Zatsepin, T.S. Synthesis of GalNAc-Oligonucleotide Conjugates Using GalNAc Phosphoramidite and Triple-GalNAc CPG Solid Support. Methods Mol. Biol. 2021, 2282, 101–118. [Google Scholar] [CrossRef]
- Yamamoto, T.; Sawamura, M.; Wada, F.; Harada-Shiba, M.; Obika, S. Serial incorporation of a monovalent GalNAc phosphoramidite unit into hepatocyte-targeting antisense oligonucleotides. Bioorg. Med. Chem. 2016, 24, 26–32. [Google Scholar] [CrossRef] [PubMed]
- Manoharan, M.; Nair, J.K.; Kandasamy, P.; Matsuda, S.; Kelin, A.V.; Jayaraman, M.; Rajeev, K.G. Oligonucleotide-Ligand Conjugates and Process for Their Preparation. U.S. Patent No. WO2015006740A2, 15 January 2015. [Google Scholar]
- Li, Z.; Pei, T.; Glebocka, A.; Lawler, M.; Fleitz, F.; Altenhofer, E.; Kumar, P. Targeting Ligands. U.S. Patent No. WO2018044350A1, 8 March 2018. [Google Scholar]
- Anastas, P.; Eghbali, N. Green Chemistry: Principles and Practice. Chem. Soc. Rev. 2010, 39, 301–312. [Google Scholar] [CrossRef]
- Hayashi, Y. Pot economy and one-pot synthesis. Chem. Sci. 2016, 7, 866–880. [Google Scholar] [CrossRef]
- Available online: https://reagents.acsgcipr.org/reagent-guides/o-dealkylation-reagent-guide/list-of-reagents/hydrogenolysis/ (accessed on 14 April 2021).
- Vinayagam, V.; Sadhukhan, S.K.; Botla, D.V.; Chittem, R.R.; Kasu, S.R.; Hajay Kumar, T.V. Mild Method for Deprotection of the N -Benzyloxycarbonyl (N -Cbz) Group by the Combination of AlCl 3 and HFIP. J. Org. Chem. 2024, 89, 5665–5674. [Google Scholar] [CrossRef] [PubMed]
- Arp, H.P.; Hale, S. REACH: Improvement of Guidance and Methods for the Identification and Assessment of PMT/vPvM Substances Final Report. 2019. Available online: https://www.umweltbundesamt.de/sites/default/files/medien/1410/publikationen/2019-11-29_texte_126-2019_reach-pmt.pdf (accessed on 29 November 2019).
- Tran, V.H.; Luu, T.G.; Nguyen, A.T.; Kim, H.-K. Direct transformation of benzyl esters into esters, amides, and anhydrides using catalytic ferric(III) chloride under mild conditions. Org. Biomol. Chem. 2023, 21, 8494–8499. [Google Scholar] [CrossRef] [PubMed]










| Parameter | [24] | [26] | [25] | [23] | Current Approach | |||
|---|---|---|---|---|---|---|---|---|
| Yields, % | 12 | 13 | 19 | 32 | 45 (best 61) | |||
| Rare metals used | Yes | Yes | Yes | Yes | No | |||
| mL | Diff, times | mL | Diff, times | mL | Diff, times | mL | ||
| Total reagents used | NA | 715 | 10 | 460 | 7 | 240 | 3 | 70 |
| Solvents | NA | 520 | 8 | 415 | 6 | 230 | 3 | 69 |
| Basic reagents | NA | 10 | 55 | 45 | 240 | 5 | 23 | <1 |
| Acidic reagents | NA | 180 | 685 | NA | 1 | 6 | <1 | |
Disclaimer/Publisher’s Note: The statements, opinions and data contained in all publications are solely those of the individual author(s) and contributor(s) and not of MDPI and/or the editor(s). MDPI and/or the editor(s) disclaim responsibility for any injury to people or property resulting from any ideas, methods, instructions or products referred to in the content. |
© 2024 by the authors. Licensee MDPI, Basel, Switzerland. This article is an open access article distributed under the terms and conditions of the Creative Commons Attribution (CC BY) license (https://creativecommons.org/licenses/by/4.0/).
Share and Cite
Gusev, A.E.; Ivanov, V.N.; Dmitriev, N.A.; Kholstov, A.V.; Vasilichin, V.A.; Kofiadi, I.A.; Khaitov, M.R. A Novel Pot-Economy Approach to the Synthesis of Triantennary GalNAc-Oligonucleotide. Molecules 2024, 29, 5959. https://doi.org/10.3390/molecules29245959
Gusev AE, Ivanov VN, Dmitriev NA, Kholstov AV, Vasilichin VA, Kofiadi IA, Khaitov MR. A Novel Pot-Economy Approach to the Synthesis of Triantennary GalNAc-Oligonucleotide. Molecules. 2024; 29(24):5959. https://doi.org/10.3390/molecules29245959
Chicago/Turabian StyleGusev, Artem Evgenievich, Vladimir Nikolaevich Ivanov, Nikolai Andreevich Dmitriev, Aleksandr Viktorovich Kholstov, Vladislav Aleksandrovich Vasilichin, Ilya Andreevich Kofiadi, and Musa Rakhimovich Khaitov. 2024. "A Novel Pot-Economy Approach to the Synthesis of Triantennary GalNAc-Oligonucleotide" Molecules 29, no. 24: 5959. https://doi.org/10.3390/molecules29245959
APA StyleGusev, A. E., Ivanov, V. N., Dmitriev, N. A., Kholstov, A. V., Vasilichin, V. A., Kofiadi, I. A., & Khaitov, M. R. (2024). A Novel Pot-Economy Approach to the Synthesis of Triantennary GalNAc-Oligonucleotide. Molecules, 29(24), 5959. https://doi.org/10.3390/molecules29245959

