From Psychoactivity to Antimicrobial Agents: Multifaceted Applications of Synthetic Cathinones and Catha edulis Extracts
Abstract
1. Introduction
2. Synthetic Cathinones
2.1. Availability of Synthetic Cathinones
2.2. Routes of Administration
- Intramuscular or subcutaneous injection,
- Rectal insertion (often called “booty bumping” or “plugging”),
- Gingival or sublingual absorption,
- Inhalation (smoking or vaping with e-cigarettes), and
- Ocular insertion (“eyeballing”).
2.3. Classification of Synthetic Cathinones
2.3.1. N-alkyl Cathinones
2.3.2. N-pyrrolidine Cathinones
2.3.3. 3,4-Methylenedioxy-N-pyrrolidine Cathinones
2.3.4. 3,4-Methylenedioxy-N-alkyl Cathinones
2.3.5. Stereoisomers of Synthetic Cathinones
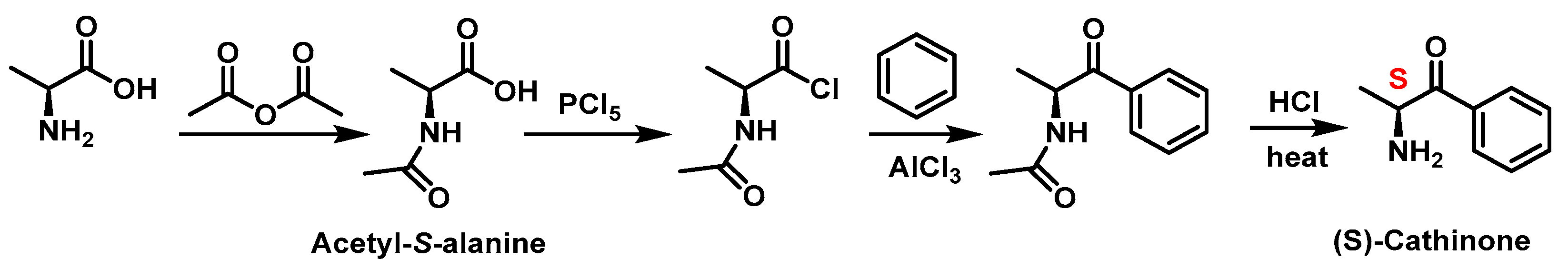
3. Chemical Synthesis of Cathinones
- (a)
- Starting from an aryl ketone,
- (b)
- Neber rearrangement, and
- (c)
- Modified Neber rearrangement.
3.1. Synthesis from Aryl Ketones
3.2. The Neber Rearrangement and the Modified Neber Rearrangement
3.3. Synthesis of Enantiomerically Pure Cathinones
- Enantioselective synthesis, which directly produces the desired enantiomer, and
3.4. Analytical Techniques for Enantiomeric Separation
3.4.1. Capillary Electrophoresis (CE)
3.4.2. Gas Chromatography (GC)
3.4.3. Liquid Chromatography Using CSPs
3.4.4. Supercritical Fluid Chromatography (SFC)
3.4.5. Capillary Electrochromatography (CEC)
4. Pharmacological Classification of Synthetic Cathinones
- Non-selective Monoamine Uptake Inhibitors: Examples include methylone, mephedrone, and naphirone, which inhibit the reuptake of monoamines but exhibit a stronger affinity for DAT than for SERT, similarly to how cocaine operates. With the exception of naphirone, these cathinones also promote serotonin release, resembling the action of MDMA [40,132,133].
- Methamphetamine-like Cathinones: This group includes cathinone, methcathinone, and 4-fluoromethcathinone (4-FMC), which predominantly inhibit the reuptake of catecholamines (dopamine and norepinephrine) and act as dopamine-releasing agents. Their pharmacological profile closely aligns with methamphetamine.
- Serotonin-Norepinephrine Inhibitors with Low Dopamine Affinity: Cathinones in this category, such as methedrone and MDMA, display strong inhibition of NAT and SERT but have a relatively weak affinity for DAT.
- Pyrovalerone Derivatives: These cathinones, including α-PVP, are potent inhibitors of DAT and NET, but show weak or negligible activity at SERT. They are not substrates for monoamine transporters and have minimal affinity for monoamine receptors, making them highly dopaminergic without significant serotonergic effects.
4.1. Interaction of Monoamine Receptors and Transporters with Cathinones and Comparison with Related Amphetamines
4.2. Monoamine Transporter Inhibition
5. Metabolism of Synthetic Cathinones
- Phase I metabolism, which involves oxidation, reduction, and hydrolysis reactions, increases the molecule’s polarity by introducing functional groups.
- Phase II metabolism, which aims to make Phase I metabolites more water soluble for easier excretion. This process includes glucuronidation, sulfation, and reactions involving glutathione, N-acetylation, or methylation.
5.1. Mephedrone Metabolism
- N-dealkylation to form a primary amine,
- Reduction of the β-ketone group to produce an alcohol,
- Aromatic hydroxylation when halogen substituents are present on the aromatic ring, and
- Hydroxylation of the alkyl side chain (if present) or the α-alkyl side chain, which may lead to further oxidation into carboxylic acids.
5.2. Methylone Metabolism
- Demethylation followed by O-methylation at the 3,4-methylenedioxy ring,
- N-dealkylation to yield a primary amine, and
- Reduction of the β-ketone group to form the corresponding alcohol.
5.3. Methylenedioxypyrovalerone (MDPV) Metabolism
6. Analytical Detection of Synthetic Cathinones in Biological Samples
- Gas Chromatography–Mass Spectrometry (GC–MS): This method requires cathinone derivatization before analysis.
- Liquid Chromatography–Mass Spectrometry (LC–MS/MS) and Liquid Chromatography–High-Resolution Mass Spectrometry (LC–HRMS): These are commonly employed for high-efficiency detection.
- Electrochemical techniques: Emerging methods for cathinone detection.
7. Toxicity of Synthetic Cathinones
- The toxicity of one or more substances consumed,
- Suicide, possibly triggered by severe psychiatric effects, or
- Accidents caused by driving under the influence of these substances [63].
8. Antimicrobial Properties of Catha edulis Extracts
9. Nanotechnological Applications of Catha edulis Extracts
10. Interactions Between Cathinone and Antibiotics
11. Conclusions
Author Contributions
Funding
Conflicts of Interest
References
- Al-Motarreb, A.; Baker, K.; Broadley, K.J. Khat: Pharmacological and medical aspects and its social use in Yemen. Phytother. Res. 2002, 16, 403–413. [Google Scholar] [CrossRef] [PubMed]
- Balint, E.E.; Falkay, G.; Balint, G.A. Khat—A controversial plant. Wien. Klin. Wochenschr. 2009, 121, 604–614. [Google Scholar] [CrossRef] [PubMed]
- Carvalho, F. The toxicological potential of khat. J. Ethnopharmacol. 2003, 87, 1–2. [Google Scholar] [CrossRef] [PubMed]
- Getasetegn, M. Chemical composition of Catha edulis (khat): A review. Phytochem. Rev. 2016, 15, 907–920. [Google Scholar] [CrossRef]
- Valente, M.J.; Guedes de Pinho, P.; de Lourdes Bastos, M.; Carvalho, F.; Carvalho, M. Khat and synthetic cathinones: A review. Arch. Toxicol. 2014, 88, 15–45. [Google Scholar] [CrossRef] [PubMed]
- Friebel, H.; Brilla, R. Über den zentralerregenden Wirkstoff der frischen Blätter und Zweigspitzen von Catha edulis Forskal. Naturwissenschaften 1963, 50, 354–355. [Google Scholar] [CrossRef]
- Bentur, Y.; Bloom-Krasik, A.; Raikhlin-Eisenkraft, B. Illicit cathinone (“Hagigat”) poisoning. Clin. Toxicol. 2008, 46, 206–210. [Google Scholar] [CrossRef] [PubMed]
- Huxley, C.; Biddle, T.J.; Shand, E.; Loughlin, W.A.; Cresswell, S.L.; Wermuth, U.D.; Boyd, S.E.; Coster, M.J. Forensic implications of novel synthesis of cathinone derivatives by Neber and modified Neber rearrangements. Forensic Chem. 2024, 38, 100558. [Google Scholar] [CrossRef]
- Berrang, B.D.; Lewin, A.H.; Carroll, F.I. Enantiomeric .alpha.-aminopropiophenones (cathinone): Preparation and investigation. J. Org. Chem. 1982, 47, 2643–2647. [Google Scholar] [CrossRef]
- Chappell, J.S.; Lee, M.M. Cathinone preservation in khat evidence via drying. Forensic Sci. Int. 2010, 195, 108–120. [Google Scholar] [CrossRef] [PubMed]
- Graddy, R.; Buresh, M.E.; Rastegar, D.A. New and Emerging Illicit Psychoactive Substances. Med. Clin. N. Am. 2018, 102, 697–714. [Google Scholar] [CrossRef]
- Zaitsu, K.; Katagi, M.; Tatsuno, M.; Sato, T.; Tsuchihashi, H.; Suzuki, K. Recently abused β-keto derivatives of 3, 4-methylenedioxyphenylalkylamines: A review of their metabolisms and toxicological analysis. Forensic Toxicol. 2011, 29, 73–84. [Google Scholar] [CrossRef]
- Baumann, M.H.; Walters, H.M.; Niello, M.; Sitte, H.H. Neuropharmacology of Synthetic Cathinones. Handb. Exp. Pharmacol. 2018, 252, 113–142. [Google Scholar] [CrossRef] [PubMed]
- German, C.L.; Fleckenstein, A.E.; Hanson, G.R. Bath salts and synthetic cathinones: An emerging designer drug phenomenon. Life Sci. 2014, 97, 2–8. [Google Scholar] [CrossRef]
- Prosser, J.M.; Nelson, L.S. The toxicology of bath salts: A review of synthetic cathinones. J. Med. Toxicol. 2012, 8, 33–42. [Google Scholar] [CrossRef]
- Fass, J.A.; Fass, A.D.; Garcia, A.S. Synthetic cathinones (bath salts): Legal status and patterns of abuse. Ann. Pharmacother. 2012, 46, 436–441. [Google Scholar] [CrossRef] [PubMed]
- Lee, H.G.; Kwon, J.Y.; Chung, D.S. Sensitive arsenic speciation by capillary electrophoresis using UV absorbance detection with on-line sample preconcentration techniques. Talanta 2018, 181, 366–372. [Google Scholar] [CrossRef] [PubMed]
- Pascual-Caro, S.; Borrull, F.; Aguilar, C.; Calull, M. Determination of Synthetic Cathinones in Urine and Oral Fluid by Liquid Chromatography High-Resolution Mass Spectrometry and Low-Resolution Mass Spectrometry: A Method Comparison. Separations 2020, 7, 53. [Google Scholar] [CrossRef]
- Simmler, L.D.; Buser, T.A.; Donzelli, M.; Schramm, Y.; Dieu, L.H.; Huwyler, J.; Chaboz, S.; Hoener, M.C.; Liechti, M.E. Pharmacological characterization of designer cathinones in vitro. Br. J. Pharmacol. 2013, 168, 458–470. [Google Scholar] [CrossRef] [PubMed]
- Nagy, E.K.; Overby, P.F.; Olive, M.F. Reinforcing Effects of the Synthetic Cathinone α-Pyrrolidinopropiophenone (α-PPP) in a Repeated Extended Access Binge Paradigm. Front. Psychiatry 2020, 11, 862. [Google Scholar] [CrossRef] [PubMed]
- Gannon, B.M.; Galindo, K.I.; Mesmin, M.P.; Rice, K.C.; Collins, G.T. Reinforcing Effects of Binary Mixtures of Common Bath Salt Constituents: Studies with 3,4-Methylenedioxypyrovalerone (MDPV), 3,4-Methylenedioxymethcathinone (methylone), and Caffeine in Rats. Neuropsychopharmacology 2018, 43, 761–769. [Google Scholar] [CrossRef] [PubMed]
- Guirguis, A.; Corkery, J.M.; Stair, J.L.; Kirton, S.B.; Zloh, M.; Schifano, F. Intended and unintended use of cathinone mixtures. Human. Psychopharmacol. Clin. Exp. 2017, 32, e2598. [Google Scholar] [CrossRef]
- Pieprzyca, E.; Skowronek, R.; Nižnanský, Ľ.; Czekaj, P. Synthetic cathinones—From natural plant stimulant to new drug of abuse. Eur. J. Pharmacol. 2020, 875, 173012. [Google Scholar] [CrossRef] [PubMed]
- Karila, L.; Megarbane, B.; Cottencin, O.; Lejoyeux, M. Synthetic cathinones: A new public health problem. Curr. Neuropharmacol. 2015, 13, 12–20. [Google Scholar] [CrossRef]
- Riley, A.L.; Nelson, K.H.; To, P.; López-Arnau, R.; Xu, P.; Wang, D.; Wang, Y.; Shen, H.W.; Kuhn, D.M.; Angoa-Perez, M.; et al. Abuse potential and toxicity of the synthetic cathinones (i.e., “Bath salts”). Neurosci. Biobehav. Rev. 2020, 110, 150–173. [Google Scholar] [CrossRef]
- Czerwinska, J. Mephedrone: A Single-Dose Administration Sudy to Determine Human Pharmacokinetics After Nasal Insufflation and to Detect Mephedrone and Its Metabolites in Novel Biological Matrices. Ph.D. Thesis, King’s College London, London, UK, 2020. [Google Scholar]
- Papaseit, E.; Pérez-Mañá, C.; Mateus, J.A.; Pujadas, M.; Fonseca, F.; Torrens, M.; Olesti, E.; de la Torre, R.; Farré, M. Human Pharmacology of Mephedrone in Comparison with MDMA. Neuropsychopharmacology 2016, 41, 2704–2713. [Google Scholar] [CrossRef]
- Angoa-Perez, M.; Kuhn, D.M. Chapter Three—The pharmacology and neurotoxicology of synthetic cathinones. In Advances in Pharmacology; Gnegy, M.E., Ed.; Academic Press: Cambridge, MA, USA, 2024; Volume 99, pp. 61–82. [Google Scholar]
- Simão, A.Y.; Antunes, M.; Cabral, E.; Oliveira, P.; Rosendo, L.M.; Brinca, A.T.; Alves, E.; Marques, H.; Rosado, T.; Passarinha, L.A.; et al. An Update on the Implications of New Psychoactive Substances in Public Health. Int. J. Environ. Res. Public. Health 2022, 19, 4869. [Google Scholar] [CrossRef] [PubMed]
- Rouxinol, D.; Carmo, H.; Carvalho, F.; Bastos, M.d.L.; Dias da Silva, D. Pharmacokinetics, pharmacodynamics, and toxicity of the new psychoactive substance 3, 4-dimethylmethcathinone (3, 4-DMMC). Forensic Toxicol. 2020, 38, 15–29. [Google Scholar] [CrossRef]
- Ashrafioun, L.; Bonadio, F.A.; Baik, K.D.; Bradbury, S.L.; Carhart, V.L.; Cross, N.A.; Davis, A.K.; Feuille, M.; Harper, A.R.; Lackey, J.H. Patterns of use, acute subjective experiences, and motivations for using synthetic cathinones (“bath salts”) in recreational users. J. Psychoact. Drugs 2016, 48, 336–343. [Google Scholar] [CrossRef]
- Namera, A.; Kawamura, M.; Nakamoto, A.; Saito, T.; Nagao, M. Comprehensive review of the detection methods for synthetic cannabinoids and cathinones. Forensic Toxicol. 2015, 33, 175–194. [Google Scholar] [CrossRef]
- Mounteney, J.; Griffiths, P.; Sedefov, R.; Noor, A.; Vicente, J.; Simon, R. The drug situation in Europe: An overview of data available on illicit drugs and new psychoactive substances from European monitoring in 2015. Addiction 2016, 111, 34–48. [Google Scholar] [CrossRef]
- Kelly, J.P. Cathinone derivatives: A review of their chemistry, pharmacology and toxicology. Drug Test. Anal. 2011, 3, 439–453. [Google Scholar] [CrossRef]
- Chen, S.; Zhou, W.; Lai, M. Synthetic Cathinones: Epidemiology, Toxicity, Potential for Abuse, and Current Public Health Perspective. Brain Sci. 2024, 14, 334. [Google Scholar] [CrossRef] [PubMed]
- Dal Cason, T.A.; Young, R.; Glennon, R.A. Cathinone: An investigation of several N-alkyl and methylenedioxy-substituted analogs. Pharmacol. Biochem. Behav. 1997, 58, 1109–1116. [Google Scholar] [CrossRef]
- Young, R.; Glennon, R.A. Cocaine-stimulus generalization to two new designer drugs: Methcathinone and 4-methylaminorex. Pharmacol. Biochem. Behav. 1993, 45, 229–231. [Google Scholar] [CrossRef]
- Almeida, A.S.; Silva, B.; Pinho, P.G.; Remião, F.; Fernandes, C. Synthetic Cathinones: Recent Developments, Enantioselectivity Studies and Enantioseparation Methods. Molecules 2022, 27, 2057. [Google Scholar] [CrossRef] [PubMed]
- Nadal-Gratacós, N.; Pazos, M.D.; Pubill, D.; Camarasa, J.; Escubedo, E.; Berzosa, X.; López-Arnau, R. Structure–Activity Relationship of Synthetic Cathinones: An Updated Review. ACS Pharmacol. Transl. Sci. 2024, 7, 2588–2603. [Google Scholar] [CrossRef] [PubMed]
- Dasgupta, A. 3—Designer drugs including bath salts and spices. In Alcohol, Drugs, Genes and the Clinical Laboratory; Dasgupta, A., Ed.; Academic Press: Cambridge, MA, USA, 2017; pp. 53–73. [Google Scholar]
- Gonçalves, J.L.; Alves, V.L.; Aguiar, J.; Teixeira, H.M.; Câmara, J.S. Synthetic cathinones: An evolving class of new psychoactive substances. Crit. Rev. Toxicol. 2019, 49, 549–566. [Google Scholar] [CrossRef]
- Stahl, S.M.; Pradko, J.F.; Haight, B.R.; Modell, J.G.; Rockett, C.B.; Learned-Coughlin, S. A review of the neuropharmacology of bupropion, a dual norepinephrine and dopamine reuptake inhibitor. Prim. Care Companion J. Clin. Psychiatry 2004, 6, 159. [Google Scholar] [CrossRef] [PubMed]
- Dhillon, S.; Yang, L.P.; Curran, M.P. Bupropion: A review of its use in the management of major depressive disorder. Drugs 2008, 68, 653–689. [Google Scholar] [CrossRef]
- Rothschild, A.J. Sexual side effects of antidepressants. J. Clin. Psychiatry 2000, 61, 28–36. [Google Scholar] [PubMed]
- Fernstrom, M.H.; Kupfer, D.J. Antidepressant-induced weight gain: A comparison study of four medications. Psychiatry Res. 1988, 26, 265–271. [Google Scholar] [CrossRef]
- MD, H.S.; Spyres, M.B. The ToxIC NOSE (Novel Opioid and Stimulant Exposure). Organ 2023. [Google Scholar]
- Clark, A.; Tate, B.; Urban, B.; Schroeder, R.; Gennuso, S.; Ahmadzadeh, S.; McGregor, D.; Girma, B.; Shekoohi, S.; Kaye, A.D. Bupropion Mediated Effects on Depression, Attention Deficit Hyperactivity Disorder, and Smoking Cessation. Health Psychol. Res. 2023, 11, 81043. [Google Scholar] [CrossRef] [PubMed]
- Nadal-Gratacós, N.; Ríos-Rodríguez, E.; Pubill, D.; Batllori, X.; Camarasa, J.; Escubedo, E.; Berzosa, X.; López-Arnau, R. Structure–Activity Relationship of N-Ethyl-Hexedrone Analogues: Role of the α-Carbon Side-Chain Length in the Mechanism of Action, Cytotoxicity, and Behavioral Effects in Mice. ACS Chem. Neurosci. 2023, 14, 787–799. [Google Scholar] [CrossRef] [PubMed]
- Kovács, K.; Kereszty, É.; Berkecz, R.; Tiszlavicz, L.; Sija, É.; Körmöczi, T.; Jenei, N.; Révész-Schmehl, H.; Institóris, L. Fatal intoxication of a regular drug user following N-ethyl-hexedrone and ADB-FUBINACA consumption. J. Forensic Leg. Med. 2019, 65, 92–100. [Google Scholar] [CrossRef] [PubMed]
- Bonson, K.R.; Dalton, T.; Chiapperino, D. Scheduling synthetic cathinone substances under the Controlled Substances Act. Psychopharmacology 2019, 236, 845–860. [Google Scholar] [CrossRef] [PubMed]
- Diana Lima, C.; Arantes, L.C.; Machado, L.L.; Paixão, T.R.L.C.; dos Santos, W.T.P. Synthetic Cathinones’ Comprehensive Screening and Classification by Voltammetric and Chemometric Analyses: A Powerful Method for On-Site Forensic Applications. Anal. Chem. 2024, 96, 17746–17753. [Google Scholar] [CrossRef]
- Gannon, B.M.; Baumann, M.H.; Walther, D.; Jimenez-Morigosa, C.; Sulima, A.; Rice, K.C.; Collins, G.T. The abuse-related effects of pyrrolidine-containing cathinones are related to their potency and selectivity to inhibit the dopamine transporter. Neuropsychopharmacology 2018, 43, 2399–2407. [Google Scholar] [CrossRef] [PubMed]
- Bilinski, P.; Holownia, P.; Kapka-Skrzypczak, L.; Wojtyla, A. Designer Drug (DD) abuse in Poland; a review of the psychoactive and toxic properties of substances found from seizures of illegal drug products and the legal consequences thereof. Part 1–Cannabinoids and Cathinones. Ann. Agric. Environ. Med. 2012, 19, 857–870. [Google Scholar] [PubMed]
- Crespi, C. Flakka-Induced Prolonged Psychosis. Case Rep. Psychiatry 2016, 2016, 3460849. [Google Scholar] [CrossRef]
- Kolesnikova, T.O.; Khatsko, S.L.; Demin, K.A.; Shevyrin, V.A.; Kalueff, A.V. DARK Classics in Chemical Neuroscience: α-Pyrrolidinovalerophenone (“Flakka”). ACS Chem. Neurosci. 2019, 10, 168–174. [Google Scholar] [CrossRef] [PubMed]
- Brandt, S.D.; Wootton, R.C.; De Paoli, G.; Freeman, S. The naphyrone story: The alpha or beta-naphthyl isomer? Drug Test. Anal. 2010, 2, 496–502. [Google Scholar] [CrossRef]
- Brandt, S.D.; Freeman, S.; Sumnall, H.R.; Measham, F.; Cole, J. Analysis of NRG ‘legal highs’ in the UK: Identification and formation of novel cathinones. Drug Test. Anal. 2011, 3, 569–575. [Google Scholar] [CrossRef] [PubMed]
- Anizan, S.; Ellefsen, K.; Concheiro, M.; Suzuki, M.; Rice, K.C.; Baumann, M.H.; Huestis, M.A. 3, 4-Methylenedioxypyrovalerone (MDPV) and metabolites quantification in human and rat plasma by liquid chromatography–high resolution mass spectrometry. Anal. Chim. Acta 2014, 827, 54–63. [Google Scholar] [CrossRef] [PubMed]
- Kikura-Hanajiri, R.; Uchiyama, N.; Goda, Y. Survey of current trends in the abuse of psychotropic substances and plants in Japan. Leg. Med. 2011, 13, 109–115. [Google Scholar] [CrossRef] [PubMed]
- Coppola, M.; Mondola, R. 3,4-Methylenedioxypyrovalerone (MDPV): Chemistry, pharmacology and toxicology of a new designer drug of abuse marketed online. Toxicol. Lett. 2012, 208, 12–15. [Google Scholar] [CrossRef]
- Rickli, A.; Hoener, M.C.; Liechti, M.E. Monoamine transporter and receptor interaction profiles of novel psychoactive substances: Para-halogenated amphetamines and pyrovalerone cathinones. Eur. Neuropsychopharmacol. 2015, 25, 365–376. [Google Scholar] [CrossRef] [PubMed]
- Spiller, H.A.; Ryan, M.L.; Weston, R.G.; Jansen, J. Clinical experience with and analytical confirmation of “bath salts” and “legal highs” (synthetic cathinones) in the United States. Clin. Toxicol. 2011, 49, 499–505. [Google Scholar] [CrossRef] [PubMed]
- Soares, J.; Costa, V.M.; Bastos, M.d.L.; Carvalho, F.; Capela, J.P. An updated review on synthetic cathinones. Arch. Toxicol. 2021, 95, 2895–2940. [Google Scholar] [CrossRef] [PubMed]
- Dunlap, L.E.; Andrews, A.M.; Olson, D.E. Dark Classics in Chemical Neuroscience: 3,4-Methylenedioxymethamphetamine. ACS Chem. Neurosci. 2018, 9, 2408–2427. [Google Scholar] [CrossRef] [PubMed]
- Philogene-Khalid, H.L.; Hicks, C.; Reitz, A.B.; Liu-Chen, L.Y.; Rawls, S.M. Synthetic cathinones and stereochemistry: S enantiomer of mephedrone reduces anxiety- and depressant-like effects in cocaine- or MDPV-abstinent rats. Drug Alcohol. Depend. 2017, 178, 119–125. [Google Scholar] [CrossRef] [PubMed]
- Wabe, N.T. Chemistry, pharmacology, and toxicology of khat (Catha edulis forsk): A review. Addict. Health 2011, 3, 137–149. [Google Scholar] [PubMed]
- Glennon, R.A.; Dukat, M. Structure-activity relationships of synthetic cathinones. In Neuropharmacology of New Psychoactive Substances (NPS) The Science Behind the Headlines; Springer: Cham, Switzerland, 2017; pp. 19–47. [Google Scholar]
- Davies, R.A.; Baird, T.R.; Nguyen, V.T.; Ruiz, B.; Sakloth, F.; Eltit, J.M.; Negus, S.S.; Glennon, R.A. Investigation of the optical isomers of methcathinone, and two achiral analogs, at monoamine transporters and in intracranial self-stimulation studies in rats. ACS Chem. Neurosci. 2020, 11, 1762–1769. [Google Scholar] [CrossRef] [PubMed]
- Gregg, R.A.; Baumann, M.H.; Partilla, J.S.; Bonano, J.S.; Vouga, A.; Tallarida, C.S.; Velvadapu, V.; Smith, G.R.; Peet, M.M.; Reitz, A.B. Stereochemistry of mephedrone neuropharmacology: Enantiomer-specific behavioural and neurochemical effects in rats. Br. J. Pharmacol. 2015, 172, 883–894. [Google Scholar] [CrossRef]
- Hutsell, B.A.; Baumann, M.H.; Partilla, J.S.; Banks, M.L.; Vekariya, R.; Glennon, R.A.; Negus, S.S. Abuse-related neurochemical and behavioral effects of cathinone and 4-methylcathinone stereoisomers in rats. Eur. Neuropsychopharmacol. 2016, 26, 288–297. [Google Scholar] [CrossRef] [PubMed]
- Kolanos, R.; Partilla, J.; Baumann, M.; Hutsell, B.; Banks, M.; Negus, S.; Glennon, R. Stereoselective actions of methylenedioxypyrovalerone (MDPV) to inhibit dopamine and norepinephrine transporters and facilitate intracranial self-stimulation in rats. ACS Chem. Neurosci. 2015, 6, 771–777. [Google Scholar] [CrossRef] [PubMed]
- Schindler, C.W.; Thorndike, E.B.; Walters, H.M.; Walther, D.; Rice, K.C.; Baumann, M.H. Stereoselective neurochemical, behavioral, and cardiovascular effects of α-pyrrolidinovalerophenone enantiomers in male rats. Addict. Biol. 2020, 25, e12842. [Google Scholar] [CrossRef] [PubMed]
- Silva, B.; Silva, R.; Fernandes, C.; de Pinho, P.G.; Remião, F. Enantioselectivity on the absorption of methylone and pentedrone using Caco-2 cell line: Development and validation of an UHPLC method for cathinones quantification. Toxicol. Appl. Pharmacol. 2020, 395, 114970. [Google Scholar] [CrossRef] [PubMed]
- Daziani, G.; Lo Faro, A.F.; Montana, V.; Goteri, G.; Pesaresi, M.; Bambagiotti, G.; Montanari, E.; Giorgetti, R.; Montana, A. Synthetic cathinones and neurotoxicity risks: A systematic review. Int. J. Mol. Sci. 2023, 24, 6230. [Google Scholar] [CrossRef] [PubMed]
- Katz, D.P.; Bhattacharya, D.; Bhattacharya, S.; Deruiter, J.; Clark, C.R.; Suppiramaniam, V.; Dhanasekaran, M. Synthetic cathinones: “A khat and mouse game”. Toxicol. Lett. 2014, 229, 349–356. [Google Scholar] [CrossRef] [PubMed]
- Collins, M.; Doddridge, A.; Salouros, H. Cathinones: Isotopic profiling as an aid to linking seizures. Drug Test. Anal. 2016, 8, 903–909. [Google Scholar] [CrossRef] [PubMed]
- Santali, E.Y.; Cadogan, A.-K.; Daeid, N.N.; Savage, K.A.; Sutcliffe, O.B. Synthesis, full chemical characterisation and development of validated methods for the quantification of (±)-4′-methylmethcathinone (mephedrone): A new “legal high”. J. Pharm. Biomed. Anal. 2011, 56, 246–255. [Google Scholar] [CrossRef] [PubMed]
- Berkowitz, W.F. The Neber Rearrangement. In Organic Reactions; John Wiley & Sons: Hoboken, NJ, USA, 2012; pp. 321–410. [Google Scholar]
- Neber, P.W.v.; Friedolsheim, A.V. Über eine neue Art der Umlagerung von Oximen. Justus Liebigs Ann. Der Chem. 1926, 449, 109–134. [Google Scholar] [CrossRef]
- SMITH, P.A.; Most Jr, E. Quaternary hydrazones and their rearrangement. J. Org. Chem. 1957, 22, 358–362. [Google Scholar] [CrossRef]
- Hassner, A.; Wiegand, N.H.; Gottlieb, H.E. Kinetics of thermolysis of vinyl azides. Empirical rules for formation of azirines and rearranged nitriles. J. Org. Chem. 1986, 51, 3176–3180. [Google Scholar] [CrossRef]
- House, H.O.; Berkowitz, W.F. The stereochemistry of the Neber rearrangement. J. Org. Chem. 1963, 28, 2271–2276. [Google Scholar] [CrossRef]
- Palacios, F.; de Retana, A.M.O.; de Marigorta, E.M.; de los Santos, J.M. 2H-Azirines as Synthetic Tools in Organic Chemistry. Eur. J. Org. Chem. 2001, 2001, 2401–2414. [Google Scholar] [CrossRef]
- O’Brien, C. The Rearrangement of Ketoxime O-Sulfonates to Amino Ketones (The Neber Rearrangement). Chem. Rev. 1964, 64, 81–89. [Google Scholar] [CrossRef]
- Mangelinckx, S.; Giubellina, N.; De Kimpe, N. 1-Azaallylic Anions in Heterocyclic Chemistry. Chem. Rev. 2004, 104, 2353–2400. [Google Scholar] [CrossRef]
- Katritzky, A.R.; Wang, M.; Wilkerson, C.R.; Yang, H. A novel approach to substituted 2 H-azirines. J. Org. Chem. 2003, 68, 9105–9108. [Google Scholar] [CrossRef] [PubMed]
- Lämmerhofer, M. Chiral recognition by enantioselective liquid chromatography: Mechanisms and modern chiral stationary phases. J. Chromatogr. A 2010, 1217, 814–856. [Google Scholar] [CrossRef] [PubMed]
- Smith, S.W. Chiral toxicology: It’s the same thing…only different. Toxicol. Sci. 2009, 110, 4–30. [Google Scholar] [CrossRef] [PubMed]
- Scriba, G.K. Chiral recognition mechanisms in analytical separation sciences. Chromatographia 2012, 75, 815–838. [Google Scholar] [CrossRef]
- Nguyen, L.A.; He, H.; Pham-Huy, C. Chiral drugs: An overview. Int. J. Biomed. Sci. 2006, 2, 85–100. [Google Scholar] [PubMed]
- Osorio-Olivares, M.; Rezende, M.C.; Sepúlveda-Boza, S.; Cassels, B.K.; Baggio, R.F.; Muñoz-Acevedo, J.C. A two-step method for the preparation of homochiral cathinones. Tetrahedron Asymmetry 2003, 14, 1473–1477. [Google Scholar] [CrossRef]
- DeRuiter, J.; Hayes, L.; Valaer, A.; Clark, C.R.; Noggle, F.T. Methcathinone and Designer Analogues: Synthesis, Stereochemical Analysis, and Analytical Properties. J. Chromatogr. Sci. 1994, 32, 552–564. [Google Scholar] [CrossRef]
- Wolrab, D.; Frühauf, P.; Moulisová, A.; Kuchař, M.; Gerner, C.; Lindner, W.; Kohout, M. Chiral separation of new designer drugs (Cathinones) on chiral ion-exchange type stationary phases. J. Pharm. Biomed. Anal. 2016, 120, 306–315. [Google Scholar] [CrossRef] [PubMed]
- Mohr, S.; Taschwer, M.; Schmid, M.G. Chiral separation of cathinone derivatives used as recreational drugs by HPLC-UV using a CHIRALPAK® AS-H column as stationary phase. Chirality 2012, 24, 486–492. [Google Scholar] [CrossRef] [PubMed]
- Alremeithi, R.; Meetani, M.A.; Alaidaros, A.A.; Lanjawi, A.; Alsumaiti, K. Simultaneous Quantitative Determination of Synthetic Cathinone Enantiomers in Urine and Plasma Using GC-NCI-MS. J. Anal. Methods Chem. 2018, 2018, 4396043. [Google Scholar] [CrossRef]
- Silva, B.; Fernandes, C.; Guedes de Pinho, P.; Remião, F. Chiral Resolution and Enantioselectivity of Synthetic Cathinones: A Brief Review. J. Anal. Toxicol. 2017, 42, 17–24. [Google Scholar] [CrossRef]
- Alremeithi, R.H.; Meetani, M.A.; Khalil, S.A. A validated gas chromatography mass spectrometry method for simultaneous determination of cathinone related drug enantiomers in urine and plasma. RSC Adv. 2016, 6, 80576–80584. [Google Scholar] [CrossRef]
- Weiß, J.A.; Mohr, S.; Schmid, M.G. Indirect chiral separation of new recreational drugs by gas chromatography-mass spectrometry using trifluoroacetyl-L-prolyl chloride as chiral derivatization reagent. Chirality 2015, 27, 211–215. [Google Scholar] [CrossRef]
- Mohr, S.; Weiß, J.A.; Spreitz, J.; Schmid, M.G. Chiral separation of new cathinone- and amphetamine-related designer drugs by gas chromatography-mass spectrometry using trifluoroacetyl-l-prolyl chloride as chiral derivatization reagent. J. Chromatogr. A 2012, 1269, 352–359. [Google Scholar] [CrossRef]
- Tao, Q.F.; Zeng, S. Analysis of enantiomers of chiral phenethylamine drugs by capillary gas chromatography/mass spectrometry/flame-ionization detection and pre-column chiral derivatization. J. Biochem. Biophys. Methods 2002, 54, 103–113. [Google Scholar] [CrossRef]
- Schwaninger, A.E.; Meyer, M.R.; Maurer, H.H. Chiral drug analysis using mass spectrometric detection relevant to research and practice in clinical and forensic toxicology. J. Chromatogr. A 2012, 1269, 122–135. [Google Scholar] [CrossRef] [PubMed]
- Płotka, J.M.; Biziuk, M.; Morrison, C. Common methods for the chiral determination of amphetamine and related compounds I. Gas, liquid and thin-layer chromatography. TrAC Trends Anal. Chem. 2011, 30, 1139–1158. [Google Scholar] [CrossRef]
- Fernandes, C.; Tiritan, M.E.; Pinto, M. Small molecules as chromatographic tools for HPLC enantiomeric resolution: Pirkle-type chiral stationary phases evolution. Chromatographia 2013, 76, 871–897. [Google Scholar] [CrossRef]
- Schurig, V. Chiral separations using gas chromatography. TrAC Trends Anal. Chem. 2002, 21, 647–661. [Google Scholar] [CrossRef]
- Roberts, J.B.; Colyer, C.L. Enantioselective Separation of Synthetic Cathinones by Capillary Electrophoresis with Ionic Liquid and Cyclodextrin Buffer Co-Additives. Separations 2023, 10, 417. [Google Scholar] [CrossRef]
- Hägele, J.S.; Hubner, E.-M.; Schmid, M.G. Chiral separation of cathinone derivatives using β-cyclodextrin-assisted capillary electrophoresis–Comparison of four different β-cyclodextrin derivatives used as chiral selectors. Electrophoresis 2019, 40, 1787–1794. [Google Scholar] [CrossRef] [PubMed]
- Tai, S.; Morrison, C. Chiral and stable isotope analysis of synthetic cathinones. TrAC Trends Anal. Chem. 2017, 86, 251–262. [Google Scholar] [CrossRef]
- Řezanka, P.; Macková, D.; Jurok, R.; Himl, M.; Kuchař, M. Enantioseparation and Determination of Mephedrone and Its Metabolites by Capillary Electrophoresis Using Cyclodextrins as Chiral Selectors. Molecules 2020, 25, 2879. [Google Scholar] [CrossRef] [PubMed]
- Merola, G.; Fu, H.; Tagliaro, F.; Macchia, T.; McCord, B.R. Chiral separation of 12 cathinone analogs by cyclodextrin-assisted capillary electrophoresis with UV and mass spectrometry detection. Electrophoresis 2014, 35, 3231–3241. [Google Scholar] [CrossRef] [PubMed]
- Krizevski, R.; Dudai, N.; Bar, E.; Dessow, I.; Ravid, U.; Lewinsohn, E. Quantitative stereoisomeric determination of phenylpropylamino alkaloids in khat (Catha edulis Forsk.) using chiral GC-MS. Isr. J. Plant Sci. 2008, 56, 207–213. [Google Scholar] [CrossRef]
- Herráez-Hernández, R.; Campíns-Falcó, P.; Verdú-Andrés, J. Strategies for the enantiomeric determination of amphetamine and related compounds by liquid chromatography. J. Biochem. Biophys. Methods 2002, 54, 147–167. [Google Scholar] [CrossRef]
- Makino, Y.; Ohta, S.; Hirobe, M. Enantiomeric separation of amphetamine by high-performance liquid chromatography using chiral crown ether-coated reversed-phase packing: Application to forensic analysis. Forensic Sci. Int. 1996, 78, 65–70. [Google Scholar] [CrossRef]
- Rizzi, A.; Hirz, R.; Cladrowa-Runge, S.; Jonsson, H. Enantiomeric separation of amphetamine, methamphetamine and ring substituted amphetamines by means of a β-cyclodextrin-chiral stationary phase. Chromatographia 1994, 39, 131–137. [Google Scholar] [CrossRef]
- Ho Hyun, M.; Tan, G.; Cho, Y.J. Liquid chromatographic enantioseparation of aryl alpha-amino ketones on a crown ether-based chiral stationary phase. Biomed. Chromatogr. 2005, 19, 208–213. [Google Scholar] [CrossRef] [PubMed]
- Pihlainen, K.; Kostiainen, R. Effect of the eluent on enantiomer separation of controlled drugs by liquid chromatography-ultraviolet absorbance detection-electrospray ionisation tandem mass spectrometry using vancomycin and native beta-cyclodextrin chiral stationary phases. J. Chromatogr. A 2004, 1033, 91–99. [Google Scholar] [CrossRef] [PubMed]
- Taschwer, M.; Seidl, Y.; Mohr, S.; Schmid, M.G. Chiral separation of cathinone and amphetamine derivatives by HPLC/UV using sulfated ß-cyclodextrin as chiral mobile phase additive. Chirality 2014, 26, 411–418. [Google Scholar] [CrossRef] [PubMed]
- Okamoto, Y.; Ikai, T. Chiral HPLC for efficient resolution of enantiomers. Chem. Soc. Rev. 2008, 37, 2593–2608. [Google Scholar] [CrossRef] [PubMed]
- Ismail, O.H.; Ciogli, A.; Villani, C.; De Martino, M.; Pierini, M.; Cavazzini, A.; Bell, D.S.; Gasparrini, F. Ultra-fast high-efficiency enantioseparations by means of a teicoplanin-based chiral stationary phase made on sub-2 μm totally porous silica particles of narrow size distribution. J. Chromatogr. A 2016, 1427, 55–68. [Google Scholar] [CrossRef] [PubMed]
- Teixeira, J.; Tiritan, M.E.; Pinto, M.M.M.; Fernandes, C. Chiral Stationary Phases for Liquid Chromatography: Recent Developments. Molecules 2019, 24, 865. [Google Scholar] [CrossRef]
- Hyun, M.H.; Han, S.C.; Choi, H.J.; Kang, B.S.; Ha, H.J. Effect of the residual silanol group protection on the liquid chromatographic resolution of racemic primary amino compounds on a chiral stationary phase based on optically active (3,3′-diphenyl-1,1′-binaphthyl)-20-crown-6. J. Chromatogr. A 2007, 1138, 169–174. [Google Scholar] [CrossRef]
- Weiß, J.A.; Taschwer, M.; Kunert, O.; Schmid, M.G. Analysis of a new drug of abuse: Cathinone derivative 1-(3,4-dimethoxyphenyl)-2-(ethylamino)pentan-1-one. J. Sep. Sci. 2015, 38, 825–828. [Google Scholar] [CrossRef] [PubMed]
- Dobšíková, K.; Javorská, Ž.; Paškan, M.; Spálovská, D.; Trembulaková, P.; Herciková, J.; Kuchař, M.; Kozmík, V.; Kohout, M.; Setnička, V. Enantioseparation and a comprehensive spectroscopic analysis of novel synthetic cathinones laterally substituted with a trifluoromethyl group. Spectrochim. Acta Part A Mol. Biomol. Spectrosc. 2023, 291, 122320. [Google Scholar] [CrossRef] [PubMed]
- Meetani, M.A.; Alremeithi, R.H.; Mousa, M.K. Enantioseparation of Synthetic Cathinones Enantiomers with Tertiary Amine Structure in Urine and Plasma. J. Chromatogr. Sci. 2019, 57, 361–368. [Google Scholar] [CrossRef]
- Wolrab, D.; Kohout, M.; Boras, M.; Lindner, W. Strong cation exchange-type chiral stationary phase for enantioseparation of chiral amines in subcritical fluid chromatography. J. Chromatogr. A 2013, 1289, 94–104. [Google Scholar] [CrossRef]
- Schmid, M.G.; Hägele, J.S. Separation of enantiomers and positional isomers of novel psychoactive substances in solid samples by chromatographic and electrophoretic techniques—A selective review. J. Chromatogr. A 2020, 1624, 461256. [Google Scholar] [CrossRef] [PubMed]
- Pauk, V.; Žihlová, V.; Borovcová, L.; Havlíček, V.; Schug, K.; Lemr, K. Fast separation of selected cathinones and phenylethylamines by supercritical fluid chromatography. J. Chromatogr. A 2015, 1423, 169–176. [Google Scholar] [CrossRef] [PubMed]
- Ward, T.J.; Ward, K.D. Chiral separations: A review of current topics and trends. Anal. Chem. 2012, 84, 626–635. [Google Scholar] [CrossRef] [PubMed]
- Ribeiro, A.R.; Castro, P.M.; Tiritan, M.E. Chiral pharmaceuticals in the environment. Environ. Chem. Lett. 2012, 10, 239–253. [Google Scholar] [CrossRef]
- Aturki, Z.; Schmid, M.G.; Chankvetadze, B.; Fanali, S. Enantiomeric separation of new cathinone derivatives designer drugs by capillary electrochromatography using a chiral stationary phase, based on amylose tris(5-chloro-2-methylphenylcarbamate). Electrophoresis 2014, 35, 3242–3249. [Google Scholar] [CrossRef]
- Simmler, L.D.; Rickli, A.; Hoener, M.C.; Liechti, M.E. Monoamine transporter and receptor interaction profiles of a new series of designer cathinones. Neuropharmacology 2014, 79, 152–160. [Google Scholar] [CrossRef]
- Altun, B.; Çok, İ. Psychoactive Bath Salts and Neurotoxicity Risk. Turk. J. Pharm. Sci. 2020, 17, 235–241. [Google Scholar] [CrossRef] [PubMed]
- Majchrzak, M.; Celiński, R.; Kuś, P.; Kowalska, T.; Sajewicz, M. The newest cathinone derivatives as designer drugs: An analytical and toxicological review. Forensic Toxicol. 2018, 36, 33–50. [Google Scholar] [CrossRef] [PubMed]
- Zawilska, J.B. “Legal highs”–an emerging epidemic of novel psychoactive substances. Int. Rev. Neurobiol. 2015, 120, 273–300. [Google Scholar] [PubMed]
- Tatsumi, M.; Groshan, K.; Blakely, R.D.; Richelson, E. Pharmacological profile of antidepressants and related compounds at human monoamine transporters. Eur. J. Pharmacol. 1997, 340, 249–258. [Google Scholar] [CrossRef] [PubMed]
- Hysek, C.M.; Simmler, L.D.; Nicola, V.G.; Vischer, N.; Donzelli, M.; Krähenbühl, S.; Grouzmann, E.; Huwyler, J.; Hoener, M.C.; Liechti, M.E. Duloxetine inhibits effects of MDMA (“ecstasy”) in vitro and in humans in a randomized placebo-controlled laboratory study. PLoS ONE 2012, 7, e36476. [Google Scholar] [CrossRef] [PubMed]
- Luethi, D.; Kolaczynska, K.E.; Docci, L.; Krähenbühl, S.; Hoener, M.C.; Liechti, M.E. Pharmacological profile of mephedrone analogs and related new psychoactive substances. Neuropharmacology 2018, 134, 4–12. [Google Scholar] [CrossRef] [PubMed]
- Zaitsu, K. Metabolism of synthetic cathinones. In Synthetic Cathinones: Novel Addictive and Stimulatory Psychoactive Substances; Springer: Cham, Switzerland, 2018; pp. 71–96. [Google Scholar]
- Tyrkkö, E.; Andersson, M.; Kronstrand, R. The Toxicology of New Psychoactive Substances: Synthetic Cathinones and Phenylethylamines. Ther. Drug Monit. 2016, 38, 190–216. [Google Scholar] [CrossRef] [PubMed]
- Pozo, Ó.J.; Ibáñez, M.; Sancho, J.V.; Lahoz-Beneytez, J.; Farré, M.; Papaseit, E.; de la Torre, R.; Hernández, F. Mass spectrometric evaluation of mephedrone in vivo human metabolism: Identification of phase I and phase II metabolites, including a novel succinyl conjugate. Drug Metab. Dispos. 2015, 43, 248–257. [Google Scholar] [CrossRef]
- Meyer, M.R.; Wilhelm, J.; Peters, F.T.; Maurer, H.H. Beta-keto amphetamines: Studies on the metabolism of the designer drug mephedrone and toxicological detection of mephedrone, butylone, and methylone in urine using gas chromatography-mass spectrometry. Anal. Bioanal. Chem. 2010, 397, 1225–1233. [Google Scholar] [CrossRef]
- Martínez-Clemente, J.; López-Arnau, R.; Carbó, M.; Pubill, D.; Camarasa, J.; Escubedo, E. Mephedrone pharmacokinetics after intravenous and oral administration in rats: Relation to pharmacodynamics. Psychopharmacology 2013, 229, 295–306. [Google Scholar] [CrossRef] [PubMed]
- Kamata, H.T.; Shima, N.; Zaitsu, K.; Kamata, T.; Miki, A.; Nishikawa, M.; Katagi, M.; Tsuchihashi, H. Metabolism of the recently encountered designer drug, methylone, in humans and rats. Xenobiotica 2006, 36, 709–723. [Google Scholar] [CrossRef] [PubMed]
- Pedersen, A.J.; Petersen, T.H.; Linnet, K. In vitro metabolism and pharmacokinetic studies on methylone. Drug Metab. Dispos. 2013, 41, 1247–1255. [Google Scholar] [CrossRef] [PubMed]
- Zaitsu, K.; Katagi, M.; Kamata, H.T.; Kamata, T.; Shima, N.; Miki, A.; Tsuchihashi, H.; Mori, Y. Determination of the metabolites of the new designer drugs bk-MBDB and bk-MDEA in human urine. Forensic Sci. Int. 2009, 188, 131–139. [Google Scholar] [CrossRef] [PubMed]
- Strano-Rossi, S.; Cadwallader, A.B.; de la Torre, X.; Botrè, F. Toxicological determination and in vitro metabolism of the designer drug methylenedioxypyrovalerone (MDPV) by gas chromatography/mass spectrometry and liquid chromatography/quadrupole time-of-flight mass spectrometry. Rapid Commun. Mass. Spectrom. 2010, 24, 2706–2714. [Google Scholar] [CrossRef]
- Coppola, M.; Mondola, R. Synthetic cathinones: Chemistry, pharmacology and toxicology of a new class of designer drugs of abuse marketed as “bath salts” or “plant food”. Toxicol. Lett. 2012, 211, 144–149. [Google Scholar] [CrossRef] [PubMed]
- Lugo-Vargas, A.; Chaves-Silva, D.; Quevedo-Buitrago, W.; Martínez-Suárez, J. Catinonas sintéticas: Una revisión del panorama actual y las estrategias de detección analítica. Rev. De Toxicol. 2020, 37, 31–40. [Google Scholar]
- Švidrnoch, M.; Lněníčková, L.; Válka, I.; Ondra, P.; Maier, V. Utilization of micellar electrokinetic chromatography–tandem mass spectrometry employed volatile micellar phase in the analysis of cathinone designer drugs. J. Chromatogr. A 2014, 1356, 258–265. [Google Scholar] [CrossRef] [PubMed]
- Niebel, A.; Pragst, F.; Krumbiegel, F.; Hartwig, S. Prevalence of cathinones and other new psychoactive substances in hair of parents and children of families with known or suspected parental abuse of conventional illegal drugs. Forensic Sci. Int. 2022, 331, 111148. [Google Scholar] [CrossRef] [PubMed]
- Freni, F.; Bianco, S.; Vignali, C.; Groppi, A.; Moretti, M.; Osculati, A.M.M.; Morini, L. A multi-analyte LC-MS/MS method for screening and quantification of 16 synthetic cathinones in hair: Application to postmortem cases. Forensic Sci. Int. 2019, 298, 115–120. [Google Scholar] [CrossRef] [PubMed]
- Cooman, T.; Santos, H.; Cox, J.; Allochio Filho, J.F.; Borges, K.B.; Romao, W.; Arroyo-Mora, L.E. Development, validation and evaluation of a quantitative method for the analysis of twenty-four new psychoactive substances in oral fluid by LC–MS/MS. Forensic Chem. 2020, 19, 100231. [Google Scholar] [CrossRef]
- Fernández, P.; Regenjo, M.; Ares, A.; Fernández, A.M.; Lorenzo, R.A.; Carro, A.M. Simultaneous determination of 20 drugs of abuse in oral fluid using ultrasound-assisted dispersive liquid-liquid microextraction. Anal. Bioanal. Chem. 2019, 411, 193–203. [Google Scholar] [CrossRef]
- Sorribes-Soriano, A.; Esteve-Turrillas, F.A.; Armenta, S.; Amorós, P.; Herrero-Martínez, J.M. Amphetamine-type stimulants analysis in oral fluid based on molecularly imprinting extraction. Anal. Chim. Acta 2019, 1052, 73–83. [Google Scholar] [CrossRef] [PubMed]
- Nowak, K.; Szpot, P.; Zawadzki, M. The Stability of 4-Chloromethcathinone in Blood and Vitreous Humor. J. Forensic Sci. 2020, 65, 1784–1790. [Google Scholar] [CrossRef] [PubMed]
- López-Rabuñal, Á.; Lendoiro, E.; Concheiro, M.; López-Rivadulla, M.; Cruz, A.; de-Castro-Ríos, A. A LC-MS/MS method for the determination of common synthetic cathinones in meconium. J. Chromatogr. B 2019, 1124, 349–355. [Google Scholar] [CrossRef] [PubMed]
- Elbardisy, H.M.; Garcia-Miranda Ferrari, A.; Foster, C.W.; Sutcliffe, O.B.; Brownson, D.A.; Belal, T.S.; Talaat, W.; Daabees, H.G.; Banks, C.E. Forensic electrochemistry: The electroanalytical sensing of mephedrone metabolites. ACS Omega 2019, 4, 1947–1954. [Google Scholar] [CrossRef]
- Zuway, K.Y.; Smith, J.P.; Foster, C.W.; Kapur, N.; Banks, C.E.; Sutcliffe, O.B. Detection and quantification of new psychoactive substances (NPSs) within the evolved “legal high” product, NRG-2, using high performance liquid chromatography-amperometric detection (HPLC-AD). Analyst 2015, 140, 6283–6294. [Google Scholar] [CrossRef]
- Smith, J.P.; Metters, J.P.; Irving, C.; Sutcliffe, O.B.; Banks, C.E. Forensic electrochemistry: The electroanalytical sensing of synthetic cathinone-derivatives and their accompanying adulterants in “legal high” products. Analyst 2014, 139, 389–400. [Google Scholar] [CrossRef] [PubMed]
- Hernández-Contreras, J.; Parra, M.; Gil, S.; Costero, A.M.; Arroyo, P.; Sancenón, F.; Martínez-Máñez, R.; Sáez, J.A.; Gaviña, P. Colorimetric and fluorescent detection of synthetic cathinones in oral fluid with meso-aryl BODIPYs and Cu(ii). RSC Adv. 2022, 12, 28580–28585. [Google Scholar] [CrossRef] [PubMed]
- Rodríguez-Nuévalos, S.; Costero, A.M.; Parra, M.; Gil, S.; Arroyo, P.; Sáez, J.A.; Gaviña, P.; Ceroni, P.; Fermi, A. Colorimetric and fluorescent hydrazone-BODIPY probes for the detection of γ-hydroxybutyric acid (GHB) and cathinones. Dye. Pigment. 2022, 207, 110757. [Google Scholar] [CrossRef]
- Winstock, A.; Mitcheson, L.; Ramsey, J.; Davies, S.; Puchnarewicz, M.; Marsden, J. Mephedrone: Use, subjective effects and health risks. Addiction 2011, 106, 1991–1996. [Google Scholar] [CrossRef] [PubMed]
- Wikström, M.; Thelander, G.; Nyström, I.; Kronstrand, R. Two fatal intoxications with the new designer drug methedrone (4-methoxymethcathinone). J. Anal. Toxicol. 2010, 34, 594–598. [Google Scholar] [CrossRef]
- Gregg, R.A.; Rawls, S.M. Behavioral pharmacology of designer cathinones: A review of the preclinical literature. Life Sci. 2014, 97, 27–30. [Google Scholar] [CrossRef]
- Brunetti, P.; Pirani, F.; Carlier, J.; Giorgetti, R.; Busardò, F.P.; Lo Faro, A.F. A 2017-2019 Update on Acute Intoxications and Fatalities from Illicit Fentanyl and Analogs. J. Anal. Toxicol. 2021, 45, 537–554. [Google Scholar] [CrossRef] [PubMed]
- Brunetti, P.; Giorgetti, R.; Tagliabracci, A.; Huestis, M.A.; Busardò, F.P. Designer Benzodiazepines: A Review of Toxicology and Public Health Risks. Pharmaceuticals 2021, 14, 560. [Google Scholar] [CrossRef]
- La Maida, N.; Di Trana, A.; Giorgetti, R.; Tagliabracci, A.; Busardò, F.P.; Huestis, M.A. A Review of Synthetic Cathinone-Related Fatalities From 2017 to 2020. Ther Drug Monit 2021, 43, 52–68. [Google Scholar] [CrossRef] [PubMed]
- Maida, N.; Papaseit, E.; Martínez, L.; Pérez-Mañá, C.; Poyatos, L.; Pellegrini, M.; Pichini, S.; Pacifici, R.; Ventura, M.; Galindo, L.; et al. Acute Pharmacological Effects and Oral Fluid Biomarkers of the Synthetic Cannabinoid UR-144 and THC in Recreational Users. Biology 2021, 10, 257. [Google Scholar] [CrossRef]
- Radaelli, D.; Manfredi, A.; Zanon, M.; Fattorini, P.; Scopetti, M.; Neri, M.; Frisoni, P.; D’Errico, S. Synthetic Cannabinoids and Cathinones Cardiotoxicity: Facts and Perspectives. Curr. Neuropharmacol. 2021, 19, 2038–2048. [Google Scholar] [CrossRef] [PubMed]
- Busardò, F.P.; Pichini, S. Molecular Insights on New Psychoactive Substances (NPSs). Int. J. Mol. Sci. 2022, 23, 3282. [Google Scholar] [CrossRef]
- Busardò, F.P.; Zaami, S. Current Design of New Psychoactive Substances. Curr. Pharm. Des. 2022, 28, 1211–1212. [Google Scholar] [CrossRef]
- Zwartsen, A.; de Korte, T.; Nacken, P.; de Lange, D.W.; Westerink, R.H.S.; Hondebrink, L. Cardiotoxicity screening of illicit drugs and new psychoactive substances (NPS) in human iPSC-derived cardiomyocytes using microelectrode array (MEA) recordings. J. Mol. Cell Cardiol. 2019, 136, 102–112. [Google Scholar] [CrossRef] [PubMed]
- Palai, S. Chapter 27—Catha edulis in antimicrobial drug development. In Cannabis and Khat in Drug Discovery; Mtewa, A.G., Mekuriya, T., Alele, P.E., Igoli, J.O., Lampiao, F., Eds.; Elsevier Science: Amsterdam, The Netherlands, 2024; pp. 577–593. [Google Scholar]
- Kithinji, D.; Maina, S.; Ndwigah, S.; Mugo, H.; Oyugi, J. Antimicrobial properties of Catha edulis (Miraa) against selected bacterial and fungal pathogens, an in-vitro experimental study. J. Pharmacogn. Phytochem. 2023, 12, 53–62. [Google Scholar] [CrossRef]
- Fatima, N.; Rizwan, M.; Hobani, Y.H.; Marwan, A.E.S.; Kumar, B.V.; Al Sunosi, R.; Abdulwahab, S.I.; Areeshi, M.Y.; Alvi, A.; Oriaby, M.E. Gas chromatography/Mass spectroscopy analysis of Catha edulis Forsk, A psycho stimulant revealed potent solvent dependent antimicrobial activity. J. Pharmacogn. Phytochem. 2017, 6, 197–204. [Google Scholar]
- Taiwo, O.M. Phytochemistry of Catha edulis. In Cannabis and Khat in Drug Discovery; Elsevier: Amsterdam, The Netherlands, 2024; pp. 227–246. [Google Scholar]
- Githua, K.K.; Maitho, T.E.; Nguta, J.M.; Okumu, M.O. Studies on the ethnopharmacology, antimicrobial activity, and toxicity of Catha edulis (Vahl.) Endl., in Sprague Dawley rats. F1000Research 2022, 11, 286. [Google Scholar] [CrossRef]
- Siddiqui, R.; Warsame, A.; Khan, N. Antibacterial and anti-acanthamoebic properties of Catha edulis (Khat). J. Bacteriol. Parasitol. 2012, 3, 1. [Google Scholar] [CrossRef]
- Lu, Y.; Li, Y.; Xiang, M.; Zhou, J.; Chen, J. Khat promotes human breast cancer MDA-MB-231 cell apoptosis via mitochondria and MAPK-associated pathways. Oncol. Lett. 2017, 14, 3947–3952. [Google Scholar] [CrossRef] [PubMed]
- Bredholt, T. Delineating Cellular and Molecular Mechanisms of Toxicity of an Extract of Khat (Catha edulis Forsk.) in Leukemia and Normal Peripheral Blood Cells. Ph.D. Thesis, Bergen Open Research Archive, Bergen, Norway, 2010. [Google Scholar]
- Numan, A.A.; Ahmed, M.; Galil, M.S.; Al-Qubati, M.; Raweh, A.A.; Helmi, E.A. Bio-Fabrication of silver nanoparticles using Catha edulis extract: Procedure optimization and antimicrobial efficacy encountering antibiotic-resistant pathogens. Adv. Nanoparticles 2022, 11, 31–54. [Google Scholar] [CrossRef]
- Mathanmohun, M.; Sagadevan, S.; Rahman, M.Z.; Lett, J.A.; Fatimah, I.; Moharana, S.; Garg, S.; Al-Anber, M.A. Unveiling sustainable, greener synthesis strategies and multifaceted applications of copper oxide nanoparticles. J. Mol. Struct. 2024, 1305, 137788. [Google Scholar] [CrossRef]
- Andualem, W.W.; Sabir, F.K.; Mohammed, E.T.; Belay, H.H.; Gonfa, B.A. Synthesis of copper oxide nanoparticles using plant leaf extract of Catha edulis and its antibacterial activity. J. Nanotechnol. 2020, 2020, 2932434. [Google Scholar] [CrossRef]
- Song, Y.; Zhang, S.; Fan, T.; Yang, Z.; Li, P.; Zhang, L.; Gao, N.; Mei, W. Exploring the efficacy of Catha edulis extract-loaded nanofibrous scaffolds seeded with bone marrow-derived stem cells for diabetic wound healing: A preclinical investigation. J. Bioact. Compat. Polym. 2024, 39, 08839115241248190. [Google Scholar] [CrossRef]
- Lyu, P.; Chen, X. Catha edulis Extract Loaded Nanofibrous Neural Channels Augment Sciatic Nerve Injury Repair Trough Upregulation of BDNF and NGF Genes. J. Biomed. Nanotechnol. 2023, 19, 864–871. [Google Scholar] [CrossRef]
- Saini, N.; Sarma, M.P.; Rani, S.; Roy, M. Recent Advances in Phytochemical Based Cost-Effective Metal Oxide Nanoparticles Towards Wastewater Treatment. In Medicinal and Aromatic Plants: Current Research Status, Value-Addition to Their Waste, and Agro-Industrial Potential (Vol II); Springer: Cham, Switzerland, 2024; pp. 173–183. [Google Scholar]
- Chala, G.H.; Zeleke, T.D. Green synthesis of magnetite nanoparticles using Catha edulis plant leaf extract for removal of hexavalent Chromium from aqueous solution. Int. J. Nano Dimens. 2023, 14, 73–90. [Google Scholar]
- Aiyegoro, O.; Okoh, A. Use of bioactive plant products in combination with standard antibiotics: Implications in antimicrobial chemotherapy. J. Med. Plants Res. 2009, 3, 1147–1152. [Google Scholar]
- Arab, A.O.; Alasmari, F.; Albaker, A.B.; Alhazmi, H.A.; Alameen, A.A.; Alagail, N.M.; Alwaeli, S.A.; Rizwan Ahamad, S.; AlAsmari, A.F.; AlSharari, S.D. Clavulanic Acid Improves Memory Dysfunction and Anxiety Behaviors through Upregulating Glutamatergic Transporters in the Nucleus Accumbens of Mice Repeatedly Exposed to Khat Extract. Int. J. Mol. Sci. 2023, 24, 15657. [Google Scholar] [CrossRef]
- Abebe, W. Khat: A substance of growing abuse with adverse drug interaction risks. J. Natl. Med. Assoc. 2018, 110, 624–634. [Google Scholar] [CrossRef]
- Simmons, S.J.; Leyrer-Jackson, J.M.; Oliver, C.F.; Hicks, C.; Muschamp, J.W.; Rawls, S.M.; Olive, M.F. DARK classics in chemical neuroscience: Cathinone-derived psychostimulants. ACS Chem. Neurosci. 2018, 9, 2379–2394. [Google Scholar] [CrossRef]






























| NET | DAT | SERT | DAT/SERT Ratio | |
|---|---|---|---|---|
| IC50 (µM) (95% CI) | IC50 (µM) (95% CI) | IC50 (µM) (95%CI) | ||
| Cocaine (a) | 0.451 (0.38–0.59) | 0.768 (0.6–1.0) | 2.37 (2.0–2.9) | 3.1 |
| MDMA (a),(c) | 0.447 (0.33–0.60) | 17 (12–24) | 1.36 (1.0–2.0) | 0.08 |
| Methamphetamine (a),(c) | 0.064 (0.04–0.09) | 1.05 (0.74–1.5) | >10 | >10 |
| NET > SERT > DAT selectivity | ||||
| 2,3-Dimethylmethcathnone (d) | 0.53 (0.36–0.78) | 7.4 (5.4–10.1) | 1.2 (1.0–1.4) | 0.16 |
| 2,4-Dimethylmethcathnone (d) | 1.5 (1.1–2.0) | 83 (65–105) | 1.5 (1.0–2.2) | 0.02 |
| 3,4-Dimethylmethcathnone (d) | 0.45 (0.33–0.60) | 9.4 (7.6–11.7) | 1.1 (0.9–1.4) | 0.12 |
| 4-Ethylmethcathinone (c) | 2.5 (1.7–3.7) | 31 (13–72) | 4.3 (3.2–5.9) | 0.14 |
| Methedrone (b) | 2.24 (1.4–3.5) | 35 (15–79) | 4.73 (3.2–6.9) | 0.14 |
| 4-Methylmethcathinone (d) | 0.26 (0.19–0.35) | 5.7 (4.5–7.2) | 3.6 (2.8–4.6) | 0.63 |
| 4-Bromomethcathinone (c) | 0.41 (0.30–0.57) | 5.6 (2.7–12) | 2.2 (1.7–2.8) | 0.4 |
| NET > DAT ≥ SERT selectivity | ||||
| Buthylone (a) | 2.02 (1.5–2.7) | 2.90 (2.5–3.4) | 6.22 (4.3–9.0) | 2.1 |
| Ethylone (a) | 2.54 (2.0–3.2) | 5.68 (4.9–6.5) | 4.46 (3.8–5.2) | 0.8 |
| Mephedrone (a),(c) | 0.254 (0.22–0.30) | 3.31 (2.6–4.2) | 4.64 (3.7–5.9) | 1.4 |
| 4-Methylethcathinone (b) | 2.23 (1.6–3.2) | 4.28 (3.4–5.4) | 7.93 (3.5–18) | 1.85 |
| 3-Methylmethcathinone (d) | 0.27 (0.21–0.36) | 2.6 (2.0–3.3) | 9.5 (6.9–13.2) | 3.7 |
| Methylone (a) | 0.542(0.39–0.75) | 4.82 (3.8–6.1) | 15.5 (10–26) | 3.3 |
| Naphyrone (a),(c) | 0.25 (0.20–0.32) | 0.47 (0.40–0.55) | 0.96 (0.85–1.09) | 2.0 |
| Pentylone (b) | 0.99 (0.72–1.4) | 1.34 (1.0–1.7) | 8.37 (5.4–13) | 6.2 |
| NET > DAT ≫ SERT selectivity | ||||
| Buphedrone (b) | 0.65 (0.51–0.81) | 4.24 (3.3–5.5) | 70 (2–2700) | >10 |
| Cathinone (a) | 0.199 (0.15–0.26) | 14.0 (10–20) | >100 | >10 |
| N,N-Dimethylcathinone (b) | 7.71 (5–12) | 27 (21–36) | >500 | >10 |
| Ethcathinone (b) | 0.44 (0.34–0.56) | 5.00 (3.7–6.8) | 48 (4–529) | 9.6 |
| Flephedrone (a),(c) | 0.246 (0.16–0.37) | 6.35 (4.2–9.5) | >10 | 5.8 |
| 3-Fluoromethcathinone (b) | 0.19 (0.13–0.29) | 1.7 (1.0–3.0) | 56 (7–472) | >10 |
| Methcathinone (a),(c) | 0.085 (0.06–0.17) | 1.12 (0.83–1.5) | >10 | >10 |
| Pentedrone (b) | 0.61 (0.52–0.72) | 2.50 (2.0–3.2) | 135 (5–3700) | >10 |
| Highly potent NET and DAT blockers | ||||
| MDPBP (c) | 16 (0.11–0.24) | 0.11 (0.07–0.16) | 15 (5.4–39) | 132 |
| MDPPP (c) | 0.97 (0.62–1.5) | 0.53 (0.27–1.1) | 75 (49–114) | 141 |
| MDPV (a),(c) | 0.044 (0.03–0.07) | 0.031 (0.03–0.04) | 9.30 (6.8–12.8) | >100 |
| Pyrovalerone (a),(c) | 0.043 (0.03–0.06) | 0.035 (0.03–0.04) | 13.0 (10.8–15.8) | >100 |
| α-PVP (c) | 0.02 (0.01–0.03) | 0.04 (0.01–0.1) | >100 | >1000 |
| 5-HT1A | 5-HT2A | 5-HT2C | α1A | α2A | |
|---|---|---|---|---|---|
| Cocaine (a) | >20 | >13 | >13 | >6 | >20 |
| MDMA (a),(c) | 12.2 ± 0.8 | 7.8 ± 2.4 | >13 | >6 | 15.0 ± 10 |
| Methamphetamine (a),(c) | 8.07 ± 0.75 | >13 | >13 | >6 | 6.1 ± 1.6 |
| NET > SERT > DAT selectivity | |||||
| 2,3-Dimethylmethcathnone (d) | >17 | 0.64 ± 0.19 | 2.4 ± 0.9 | 0.78 ± 0.10 | 3.0 ± 0.1 |
| 2,4-Dimethylmethcathnone (d) | 15 ± 3 | 1.3 ± 0.1 | 1.3 ± 0.3 | 0.16 ± 0.02 | 3.0 ± 0.3 |
| 3,4-Dimethylmethcathnone (d) | >17 | 1.9 ± 0.3 | 1.5 ± 0.2 | 1.9 ± 0.3 | 3.5 ± 0.2 |
| 4-Ethylmethcathinone (c) | >20 | 6.5 ± 0.9 | 9.6 ± 0.4 | 8.4 ± 3.4 | 21.1 ± 7.6 |
| Methedrone (b) | >20 | >13 | >13 | >6 | >25 |
| 4-Methylmethcathinone (d) | >17 | 1.6 ± 0.2 | 8.1 ± 5.4 | 1.1 ± 0.1 | 11 ± 1 |
| 4-Bromomethcathinone (c) | >20 | 3.2 ± 0.6 | >13 | 8.2 ± 3.0 | 12.7 ± 0.2 |
| NET > DAT ≥ SERT selectivity | |||||
| Buthylone (a) | >20 | >13 | >13 | >6 | >25 |
| Ethylone (a) | 17.0 ± 2.4 | >13 | >13 | >6 | >25 |
| Mephedrone (a),(c) | >20 | 2.1 ± 0.7 | >13 | 3.48 ± 2.2 | 11.0 ± 5.0 |
| 4-Methylethcathinone (b) | >20 | 3.8 ± 1.6 | 5.2 ± 0,3 | >6 | >18 |
| 3-Methylmethcathinone (d) | 4.8 ± 0.5 | 3.4 ± 0.8 | 3.6 ± 1.0 | 7.9 ± 0.2 | 1.1 ± 0.1 |
| Methylone (a) | >20 | >13 | >13 | >6 | >20 |
| Naphyrone (a),(c) | 6.00 ± 0.21 | 11 ± 2.2 | >13 | >6 | 8.0 ± 2.8 |
| Pentylone (b) | >18 | >13 | >13 | >6 | >25 |
| NET > DAT ≫ SERTselectivity | |||||
| Buphedrone (b) | >18 | >13 | >13 | >6 | 23.9 ± 4.2 |
| Cathinone (a) | >20 | >13 | >13 | 5.40 ± 1.1 | 8.9 ± 2.7 |
| N,N-Dimethylcathinone (b) | >18 | 6.5 ± 0.8 | 6.5 ± 0.8 | >6 | 25.4 ± 11 |
| Ethcathinone (b) | 8.5 ± 1.1 | >13 | 9.3 ± 0.2 | >6 | 15.5 ± 1.9 |
| Flephedrone (a),(c) | >20 | 1.4 ± 0.6 | >13 | 1.52 ± 0.05 | >20 |
| 3-Fluoromethcathinone (b) | >18 | >13 | 6.1 ± 2.2 | >6 | 10 ± 2.2 |
| Methcathinone (a),(c) | 2.7 ± 3.5 | 3.0 ± 0.6 | >13 | 3.93 ± 1.3 | 11.9 ± 3.9 |
| Pentedrone (b) | >18 | >13 | >13 | >6 | 35.4 ± 16 |
| Highly potent NET and DAT blockers | |||||
| MDPBP (c) | 13.0 ± 0.02 | >13 | >13 | >4.9 | 9.4 ± 1.6 |
| MDPPP (c) | 2.5 ± 0.3 | 7.5 ± 0.1 | >13 | >15 | 13.9 ± 0.9 |
| MDPV (a),(c) | 10.29 ± 4.7 | >13 | >13 | >6 | >20 |
| Pyrovalerone (a),(c) | 13.4 ± 2.1 | >13 | >13 | >6 | >20 |
| α-PVP (c) | 5.2 ± 0.1 | >13 | >13 | >15 | >20 |
| Biological Matrix | Advantages | Disadvantages |
|---|---|---|
| Urine | Non-invasive sampling High volume High concentrations of analytes and metabolites | Easily manipulated Unstable if not preserved in some suitable conditions |
| Blood | There is a correlation between the concentration found and the amount of drug consumed | Invasive extraction method Specialized personnel required Limited volume Unstable if not preserved in some suitable conditions |
| Saliva | Difficult handling Non-invasive sampling Whole drug (not metabolized) | Low volume Sample contamination food waste |
| Hair | Simple sampling Difficult to manipulate Non-invasive sampling Allows drug detection consumed and their metabolites | Complex sample treatment Possible contamination of the sample for use of products cosmetics. |
Disclaimer/Publisher’s Note: The statements, opinions and data contained in all publications are solely those of the individual author(s) and contributor(s) and not of MDPI and/or the editor(s). MDPI and/or the editor(s) disclaim responsibility for any injury to people or property resulting from any ideas, methods, instructions or products referred to in the content. |
© 2024 by the authors. Licensee MDPI, Basel, Switzerland. This article is an open access article distributed under the terms and conditions of the Creative Commons Attribution (CC BY) license (https://creativecommons.org/licenses/by/4.0/).
Share and Cite
Andrés, C.M.C.; Pérez de la Lastra, J.M.; Munguira, E.B.; Juan, C.A.; Pérez-Lebeña, E. From Psychoactivity to Antimicrobial Agents: Multifaceted Applications of Synthetic Cathinones and Catha edulis Extracts. Molecules 2024, 29, 5918. https://doi.org/10.3390/molecules29245918
Andrés CMC, Pérez de la Lastra JM, Munguira EB, Juan CA, Pérez-Lebeña E. From Psychoactivity to Antimicrobial Agents: Multifaceted Applications of Synthetic Cathinones and Catha edulis Extracts. Molecules. 2024; 29(24):5918. https://doi.org/10.3390/molecules29245918
Chicago/Turabian StyleAndrés, Celia María Curieses, José Manuel Pérez de la Lastra, Elena Bustamante Munguira, Celia Andrés Juan, and Eduardo Pérez-Lebeña. 2024. "From Psychoactivity to Antimicrobial Agents: Multifaceted Applications of Synthetic Cathinones and Catha edulis Extracts" Molecules 29, no. 24: 5918. https://doi.org/10.3390/molecules29245918
APA StyleAndrés, C. M. C., Pérez de la Lastra, J. M., Munguira, E. B., Juan, C. A., & Pérez-Lebeña, E. (2024). From Psychoactivity to Antimicrobial Agents: Multifaceted Applications of Synthetic Cathinones and Catha edulis Extracts. Molecules, 29(24), 5918. https://doi.org/10.3390/molecules29245918

