Quercetin and Mesenchymal Stem Cell Metabolism: A Comparative Analysis of Young and Senescent States
Abstract
1. Introduction
2. Results
2.1. Senescence-Associated β-Galactosidase (SA-β-Gal) Assay
2.2. Cytotoxicity Assay
2.3. Oxygen Consumption
2.4. Assessment of Fatty Acid Content in SHED Cells
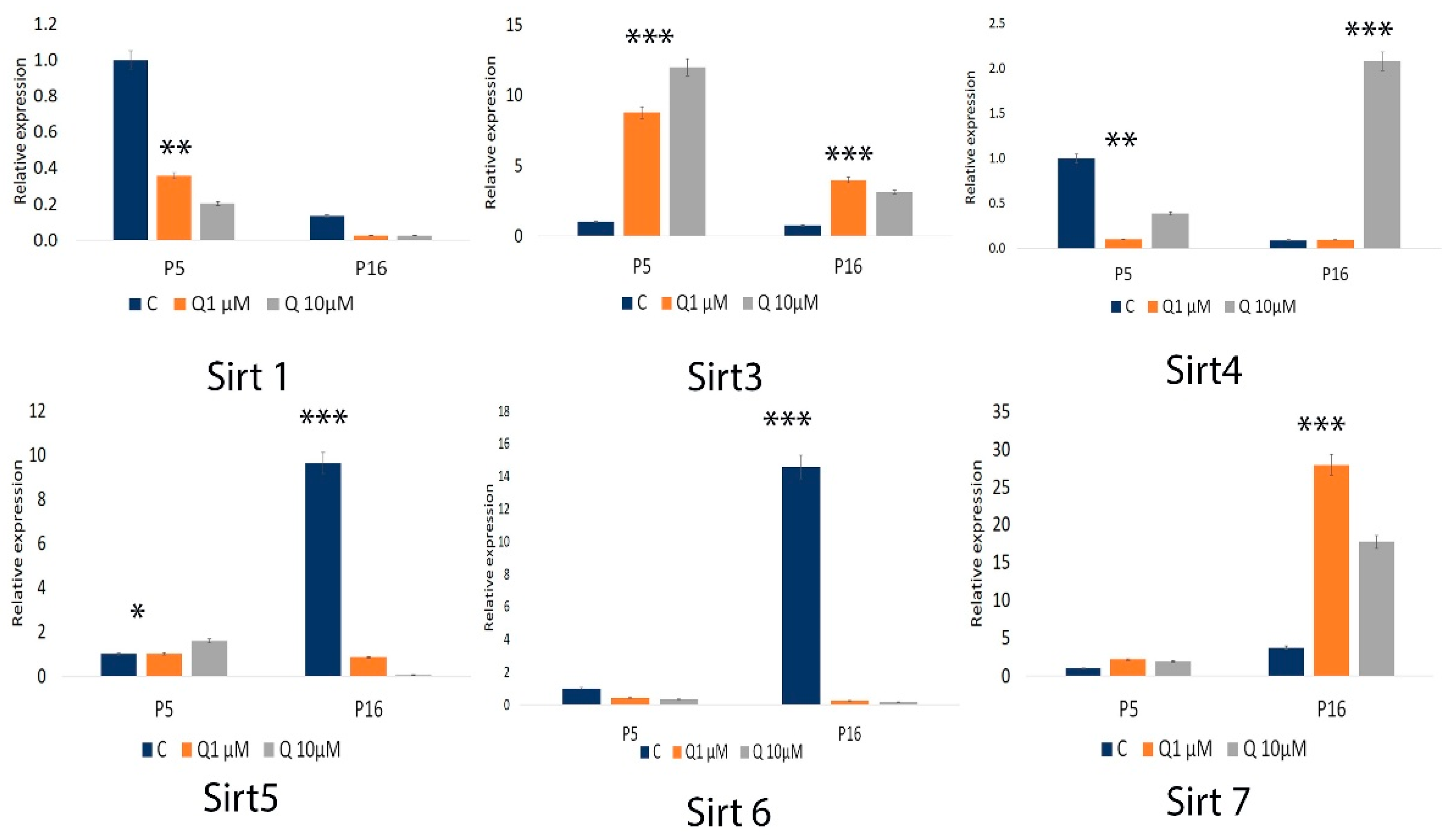
2.5. Antioxidant and Sirtuins Gene Expression Analysis by qPCR
3. Discussion
4. Materials and Methods
4.1. Cell Culture and Quercetin Treatment
4.2. Senescence-Associated β-Galactosidase (SA-β-Gal) Assay
4.3. Cytotoxicity Assay
4.4. Oxygen Consumption/Mitochondrial Respiration Oroboros
4.5. Assessment of Fatty Acid Content in SHED Cells
4.6. Antioxidant and Sirtuins Gene Expression by qPCR
4.7. Statistical Analyses
5. Conclusions
Supplementary Materials
Author Contributions
Funding
Institutional Review Board Statement
Informed Consent Statement
Data Availability Statement
Acknowledgments
Conflicts of Interest
References
- Blanc, K.L.; Pittenger, M.F. Mesenchymal Stem Cells: Progress toward Promise. Cytotherapy 2005, 7, 36–45. [Google Scholar] [CrossRef]
- Wang, H.; Zhong, Q.; Yang, T.; Qi, Y.; Fu, M.; Yang, X.; Qiao, L.; Ling, Q.; Liu, S.; Zhao, Y. Comparative Characterization of SHED and DPSCs during Extended Cultivation In Vitro. Mol. Med. Rep. 2018, 17, 6551–6559. [Google Scholar] [CrossRef]
- Kashyap, R. SHED-Basic Structure for Stem Cell Research. J. Clin. Diagn. Res. JCDR 2015, 9, ZE07. [Google Scholar] [CrossRef]
- Brar, G.S.; Toor, R.S.S. Dental Stem Cells: Dentinogenic, Osteogenic, and Neurogenic Differentiation and Its Clinical Cell Based Therapies. Indian J. Dent. Res. 2012, 23, 393–397. [Google Scholar] [CrossRef]
- Anoop, M.; Datta, I. Stem Cells Derived from Human Exfoliated Deciduous Teeth (SHED) in Neuronal Disorders: A Review. Curr. Stem Cell Res. Ther. 2021, 16, 535–550. [Google Scholar] [CrossRef]
- Miura, M.; Gronthos, S.; Zhao, M.; Lu, B.; Fisher, L.W.; Robey, P.G.; Shi, S. SHED: Stem Cells from Human Exfoliated Deciduous Teeth. Proc. Natl. Acad. Sci. USA 2003, 100, 5807–5812. [Google Scholar] [CrossRef]
- Wagner, W.; Horn, P.; Castoldi, M.; Diehlmann, A.; Bork, S.; Saffrich, R.; Benes, V.; Blake, J.; Pfister, S.; Eckstein, V.; et al. Replicative Senescence of Mesenchymal Stem Cells: A Continuous and Organized Process. PLoS ONE 2008, 3, e2213. [Google Scholar] [CrossRef]
- Grezella, C.; Fernandez-Rebollo, E.; Franzen, J.; Ventura Ferreira, M.S.; Beier, F.; Wagner, W. Effects of Senolytic Drugs on Human Mesenchymal Stromal Cells. Stem Cell Res. Ther. 2018, 9, 108. [Google Scholar] [CrossRef]
- López-Otín, C.; Blasco, M.A.; Partridge, L.; Serrano, M.; Kroemer, G. The Hallmarks of Aging. Cell 2013, 153, 1194. [Google Scholar] [CrossRef]
- Liu, L.; Cheung, T.H.; Charville, G.W.; Hurgo, B.M.C.; Leavitt, T.; Shih, J.; Brunet, A.; Rando, T.A. Chromatin Modifications as Determinants of Muscle Stem Cell Quiescence and Chronological Aging. Cell Rep. 2013, 4, 189. [Google Scholar] [CrossRef]
- Lepperdinger, G. Inflammation and Mesenchymal Stem Cell Aging. Curr. Opin. Immunol. 2011, 23, 518. [Google Scholar] [CrossRef] [PubMed]
- Pan, H.; Guan, D.; Liu, X.; Li, J.; Wang, L.; Wu, J.; Zhou, J.; Zhang, W.; Ren, R.; Zhang, W.; et al. SIRT6 Safeguards Human Mesenchymal Stem Cells from Oxidative Stress by Coactivating NRF2. Cell Res. 2016, 26, 190–205. [Google Scholar] [CrossRef] [PubMed]
- Lavasani, M.; Robinson, A.R.; Lu, A.; Song, M.; Feduska, J.M.; Ahani, B.; Tilstra, J.S.; Feldman, C.H.; Robbins, P.D.; Niedernhofer, L.J.; et al. Muscle-Derived Stem/Progenitor Cell Dysfunction Limits Healthspan and Lifespan in a Murine Progeria Model. Nat. Commun. 2012, 3, 608. [Google Scholar] [CrossRef] [PubMed]
- Singh, L.; Brennan, T.A.; Kim, J.-H.; Egan, K.P.; McMillan, E.A.; Chen, Q.; Hankenson, K.D.; Zhang, Y.; Emerson, S.G.; Johnson, F.B.; et al. Long-Term Functional Engraftment of Mesenchymal Progenitor Cells in a Mouse Model of Accelerated Aging. Stem Cell. Dayt. Ohio 2013, 31, 607–611. [Google Scholar] [CrossRef]
- Kaplon, J.; Zheng, L.; Meissl, K.; Chaneton, B.; Selivanov, V.A.; Mackay, G.; van der Burg, S.H.; Verdegaal, E.M.E.; Cascante, M.; Shlomi, T.; et al. A Key Role for Mitochondrial Gatekeeper Pyruvate Dehydrogenase in Oncogene-Induced Senescence. Nature 2013, 498, 109–112. [Google Scholar] [CrossRef]
- Herranz, N.; Gil, J. Mitochondria and Senescence: New Actors for an Old Play. EMBO J. 2016, 35, 701–702. [Google Scholar] [CrossRef]
- Liu, B.; Meng, Q.; Gao, X.; Sun, H.; Xu, Z.; Wang, Y.; Zhou, H. Lipid and Glucose Metabolism in Senescence. Front. Nutr. 2023, 10, 1157352. [Google Scholar] [CrossRef]
- Takubo, K.; Nagamatsu, G.; Kobayashi, C.I.; Nakamura-Ishizu, A.; Kobayashi, H.; Ikeda, E.; Goda, N.; Rahimi, Y.; Johnson, R.S.; Soga, T.; et al. Regulation of Glycolysis by Pdk Functions as a Metabolic Checkpoint for Cell Cycle Quiescence in Hematopoietic Stem Cells. Cell Stem Cell 2013, 12, 49–61. [Google Scholar] [CrossRef]
- Simsek, T.; Kocabas, F.; Zheng, J.; DeBerardinis, R.J.; Mahmoud, A.I.; Olson, E.N.; Schneider, J.W.; Zhang, C.C.; Sadek, H.A. The Distinct Metabolic Profile of Hematopoietic Stem Cells Reflects Their Location in a Hypoxic Niche. Cell Stem Cell 2010, 7, 380. [Google Scholar] [CrossRef]
- Ray, P.D.; Huang, B.-W.; Tsuji, Y. Reactive Oxygen Species (ROS) Homeostasis and Redox Regulation in Cellular Signaling. Cell. Signal. 2012, 24, 981–990. [Google Scholar] [CrossRef]
- Ahlqvist, K.J.; Suomalainen, A.; Hämäläinen, R.H. Stem Cells, Mitochondria and Aging. Biochim. Biophys. Acta BBA-Bioenerg. 2015, 1847, 1380–1386. [Google Scholar] [CrossRef] [PubMed]
- Zhao, Y.; Chen, B.; Shen, J.; Wan, L.; Zhu, Y.; Yi, T.; Xiao, Z. The Beneficial Effects of Quercetin, Curcumin, and Resveratrol in Obesity. Oxid. Med. Cell. Longev. 2017, 2017, 1459497. [Google Scholar] [CrossRef] [PubMed]
- Anand David, A.V.; Arulmoli, R.; Parasuraman, S. Overviews of Biological Importance of Quercetin: A Bioactive Flavonoid. Pharmacogn. Rev. 2016, 10, 84–89. [Google Scholar] [CrossRef]
- Guo, C.-Y.; Yang, C.-F.; Li, Q.-L.; Tan, Q.; Xi, Y.-W.; Liu, W.-N.; Zhai, G.-X. Development of a Quercetin-Loaded Nanostructured Lipid Carrier Formulation for Topical Delivery. Int. J. Pharm. 2012, 430, 292–298. [Google Scholar] [CrossRef]
- Vicentini, F.T.M.C.; Fonseca, Y.M.; Pitol, D.L.; Iyomasa, M.M.; Bentley, M.V.L.B.; Fonseca, M.J.V. Evaluation of Protective Effect of a Water-in-Oil Microemulsion Incorporating Quercetin against UVB-Induced Damage in Hairless Mice Skin. J. Pharm. Pharm. Sci. 2010, 13, 274–285. [Google Scholar] [CrossRef] [PubMed]
- de Oliveira, M.R.; Nabavi, S.M.; Braidy, N.; Setzer, W.N.; Ahmed, T.; Nabavi, S.F. Quercetin and the Mitochondria: A Mechanistic View. Biotechnol. Adv. 2016, 34, 532–549. [Google Scholar] [CrossRef]
- Ramanan, M.; Sinha, S.; Sudarshan, K.; Aidhen, I.S.; Doble, M. Inhibition of the Enzymes in the Leukotriene and Prostaglandin Pathways in Inflammation by 3-Aryl Isocoumarins. Eur. J. Med. Chem. 2016, 124, 428–434. [Google Scholar] [CrossRef]
- Sudarshan, K.; Boda, A.K.; Dogra, S.; Bose, I.; Yadav, P.N.; Aidhen, I.S. Discovery of an Isocoumarin Analogue That Modulates Neuronal Functions via Neurotrophin Receptor TrkB. Bioorg. Med. Chem. Lett. 2019, 29, 585–590. [Google Scholar] [CrossRef]
- Mirza, M.A.; Mahmood, S.; Hilles, A.R.; Ali, A.; Khan, M.Z.; Zaidi, S.A.A.; Iqbal, Z.; Ge, Y. Quercetin as a Therapeutic Product: Evaluation of Its Pharmacological Action and Clinical Applications—A Review. Pharmaceuticals 2023, 16, 1631. [Google Scholar] [CrossRef]
- Ivan, A.; Cristea, M.I.; Telea, A.; Oprean, C.; Galuscan, A.; Tatu, C.A.; Paunescu, V. Stem Cells Derived from Human Exfoliated Deciduous Teeth Functional Assessment: Exploring the Changes of Free Fatty Acids Composition during Cultivation. Int. J. Mol. Sci. 2023, 24, 17249. [Google Scholar] [CrossRef]
- Jin, X.; Su, R.; Li, R.; Song, L.; Chen, M.; Cheng, L.; Li, Z. Amelioration of Particulate Matter-Induced Oxidative Damage by Vitamin c and Quercetin in Human Bronchial Epithelial Cells. Chemosphere 2016, 144, 459–466. [Google Scholar] [CrossRef] [PubMed]
- Mutlu, A.S.; Duffy, J.; Wang, M.C. Lipid Metabolism and Lipid Signals in Aging and Longevity. Dev. Cell 2021, 56, 1394–1407. [Google Scholar] [CrossRef] [PubMed]
- Currie, E.; Schulze, A.; Zechner, R.; Walther, T.C.; Farese, R.V. Cellular Fatty Acid Metabolism and Cancer. Cell Metab. 2013, 18, 153–161. [Google Scholar] [CrossRef] [PubMed]
- Leekumjorn, S.; Cho, H.J.; Wu, Y.; Wright, N.T.; Sum, A.K.; Chan, C. The Role of Fatty Acid Unsaturation in Minimizing Biophysical Changes on the Structure and Local Effects of Bilayer Membranes. Biochim. Biophys. Acta 2009, 1788, 1508–1516. [Google Scholar] [CrossRef] [PubMed]
- Wang, Z.-J.; Liang, C.-L.; Li, G.-M.; Yu, C.-Y.; Yin, M. Stearic Acid Protects Primary Cultured Cortical Neurons against Oxidative Stress. Acta Pharmacol. Sin. 2007, 28, 315–326. [Google Scholar] [CrossRef]
- Fukaya, M.; Sato, Y.; Kondo, S.; Adachi, S.-I.; Yoshizawa, F.; Sato, Y. Quercetin Enhances Fatty Acid β-Oxidation by Inducing Lipophagy in AML12 Hepatocytes. Heliyon 2021, 7, e07324. [Google Scholar] [CrossRef]
- Hamsanathan, S.; Gurkar, A.U. Lipids as Regulators of Cellular Senescence. Front. Physiol. 2022, 13, 796850. [Google Scholar] [CrossRef]
- Périchon, R.; Bourre, J.M. Peroxisomal β-Oxidation Activity and Catalase Activity during Development and Aging in Mouse Liver. Biochimie 1995, 77, 288–293. [Google Scholar] [CrossRef]
- Sampath, H.; Ntambi, J.M. The Fate and Intermediary Metabolism of Stearic Acid. Lipids 2005, 40, 1187–1191. [Google Scholar] [CrossRef]
- Park, S.-H.; Nam, B.E.; Kim, J.G. Shade and Physical Support Are Necessary for Conserving the Aristolochia Contorta Population. Ecol. Eng. 2019, 135, 108–115. [Google Scholar] [CrossRef]
- Bermudez, B.; Dahl, T.B.; Medina, I.; Groeneweg, M.; Holm, S.; Montserrat-de la Paz, S.; Rousch, M.; Otten, J.; Herias, V.; Varela, L.M.; et al. Leukocyte Overexpression of Intracellular NAMPT Attenuates Atherosclerosis by Regulating PPARγ-Dependent Monocyte Differentiation and Function. Arterioscler. Thromb. Vasc. Biol. 2017, 37, 1157–1167. [Google Scholar] [CrossRef] [PubMed]
- Wang, M.; Wang, B.; Wang, S.; Lu, H.; Wu, H.; Ding, M.; Ying, L.; Mao, Y.; Li, Y. Effect of Quercetin on Lipids Metabolism Through Modulating the Gut Microbial and AMPK/PPAR Signaling Pathway in Broilers. Front. Cell Dev. Biol. 2021, 9, 616219. [Google Scholar] [CrossRef] [PubMed]
- Wang, M.; Wang, B.; Zhou, S.; Liu, J.; Lu, H.; Wu, H.; Ding, M.; Li, Y. Quercetin Ameliorates Chicken Quality by Activating the PI3K/PKB/AMPK Signaling Pathway in Broilers. Front. Vet. Sci. 2022, 9, 951512. [Google Scholar] [CrossRef] [PubMed]
- Chistiakov, D.A.; Sobenin, I.A.; Revin, V.V.; Orekhov, A.N.; Bobryshev, Y.V. Mitochondrial Aging and Age-Related Dysfunction of Mitochondria. BioMed Res. Int. 2014, 2014, 238463. [Google Scholar] [CrossRef]
- Röhrdanz, E.; Bittner, A.; Tran-Thi, Q.-H.; Kahl, R. The Effect of Quercetin on the mRNA Expression of Different Antioxidant Enzymes in Hepatoma Cells. Arch. Toxicol. 2003, 77, 506–510. [Google Scholar] [CrossRef]
- Gao, W.; Pu, L.; Chen, M.; Wei, J.; Xin, Z.; Wang, Y.; Yao, Z.; Shi, T.; Guo, C. Glutathione Homeostasis Is Significantly Altered by Quercetin via the Keap1/Nrf2 and MAPK Signaling Pathways in Rats. J. Clin. Biochem. Nutr. 2017, 62, 56. [Google Scholar] [CrossRef]
- Perez-Vizcaino, F.; Fraga, C.G. Research Trends in Flavonoids and Health. Arch. Biochem. Biophys. 2018, 646, 107–112. [Google Scholar] [CrossRef]
- Brawner, K.M.; Yeramilli, V.A.; Duck, L.W.; Van Der Pol, W.; Smythies, L.E.; Morrow, C.D.; Elson, C.O.; Martin, C.A. Depletion of Dietary Aryl Hydrocarbon Receptor Ligands Alters Microbiota Composition and Function. Sci. Rep. 2019, 9, 14724. [Google Scholar] [CrossRef]
- Huang, J.; Wang, Y.; Zhou, Y. Beneficial Roles of the AhR Ligand FICZ on the Regenerative Potentials of BMSCs and Primed Cartilage Templates. RSC Adv. 2022, 12, 11505–11516. [Google Scholar] [CrossRef]
- Salehi, B.; Machin, L.; Monzote, L.; Sharifi-Rad, J.; Ezzat, S.M.; Salem, M.A.; Merghany, R.M.; El Mahdy, N.M.; Kılıç, C.S.; Sytar, O.; et al. Therapeutic Potential of Quercetin: New Insights and Perspectives for Human Health. ACS Omega 2020, 5, 11849–11872. [Google Scholar] [CrossRef]
- Wu, Q.-J.; Zhang, T.-N.; Chen, H.-H.; Yu, X.-F.; Lv, J.-L.; Liu, Y.-Y.; Liu, Y.-S.; Zheng, G.; Zhao, J.-Q.; Wei, Y.-F.; et al. The Sirtuin Family in Health and Disease. Signal Transduct. Target. Ther. 2022, 7, 402. [Google Scholar] [CrossRef] [PubMed]
- Yoshida, K.; Kusama, K.; Shinohara, G.; Sato, S.; Yoshie, M.; Tamura, K. Quercetin Stimulates Trophoblast Fusion via the Mitochondrial Function. Sci. Rep. 2024, 14, 287. [Google Scholar] [CrossRef] [PubMed]
- Santos-Lozano, A.; Santamarina, A.; Pareja-Galeano, H.; Sanchis-Gomar, F.; Fiuza-Luces, C.; Cristi-Montero, C.; Bernal-Pino, A.; Lucia, A.; Garatachea, N. The Genetics of Exceptional Longevity: Insights from Centenarians. Maturitas 2016, 90, 49–57. [Google Scholar] [CrossRef]
- Kabziński, J.; Walczak, A.; Mik, M.; Majsterek, I. Sirt3 Regulates the Level of Mitochondrial DNA Repair Activity through Deacetylation of NEIL1, NEIL2, OGG1, MUTYH, APE1 and LIG3 in Colorectal Cancer. Pol. Przegl. Chir. 2019, 92, 1–4. [Google Scholar] [CrossRef]
- Xin, T.; Lu, C. SirT3 Activates AMPK-Related Mitochondrial Biogenesis and Ameliorates Sepsis-Induced Myocardial Injury. Aging 2020, 12, 16224–16237. [Google Scholar] [CrossRef]
- Smirnov, D.; Eremenko, E.; Stein, D.; Kaluski, S.; Jasinska, W.; Cosentino, C.; Martinez-Pastor, B.; Brotman, Y.; Mostoslavsky, R.; Khrameeva, E.; et al. SIRT6 Is a Key Regulator of Mitochondrial Function in the Brain. Cell Death Dis. 2023, 14, 35. [Google Scholar] [CrossRef]
- Mei, Z.; Zhang, X.; Yi, J.; Huang, J.; He, J.; Tao, Y. Sirtuins in Metabolism, DNA Repair and Cancer. J. Exp. Clin. Cancer Res. 2016, 35, 182. [Google Scholar] [CrossRef]
- Mao, Z.; Hine, C.; Tian, X.; Van Meter, M.; Au, M.; Vaidya, A.; Seluanov, A.; Gorbunova, V. SIRT6 Promotes DNA Repair under Stress by Activating PARP1. Science 2011, 332, 1443–1446. [Google Scholar] [CrossRef]
- Tang, M.; Tang, H.; Tu, B.; Zhu, W.-G. SIRT7: A Sentinel of Genome Stability. Open Biol. 2021, 11, 210047. [Google Scholar] [CrossRef]
- Lagunas-Rangel, F.A. Current Role of Mammalian Sirtuins in DNA Repair. DNA Repair 2019, 80, 85–92. [Google Scholar] [CrossRef]







Disclaimer/Publisher’s Note: The statements, opinions and data contained in all publications are solely those of the individual author(s) and contributor(s) and not of MDPI and/or the editor(s). MDPI and/or the editor(s) disclaim responsibility for any injury to people or property resulting from any ideas, methods, instructions or products referred to in the content. |
© 2024 by the authors. Licensee MDPI, Basel, Switzerland. This article is an open access article distributed under the terms and conditions of the Creative Commons Attribution (CC BY) license (https://creativecommons.org/licenses/by/4.0/).
Share and Cite
Ivan, A.; Lukinich-Gruia, A.T.; Cristea, I.-M.; Pricop, M.-A.; Calma, C.L.; Simina, A.-G.; Tatu, C.A.; Galuscan, A.; Păunescu, V. Quercetin and Mesenchymal Stem Cell Metabolism: A Comparative Analysis of Young and Senescent States. Molecules 2024, 29, 5755. https://doi.org/10.3390/molecules29235755
Ivan A, Lukinich-Gruia AT, Cristea I-M, Pricop M-A, Calma CL, Simina A-G, Tatu CA, Galuscan A, Păunescu V. Quercetin and Mesenchymal Stem Cell Metabolism: A Comparative Analysis of Young and Senescent States. Molecules. 2024; 29(23):5755. https://doi.org/10.3390/molecules29235755
Chicago/Turabian StyleIvan, Alexandra, Alexandra Teodora Lukinich-Gruia, Iustina-Mirabela Cristea, Maria-Alexandra Pricop, Crenguta Livia Calma, Alina-Georgiana Simina, Călin Adrian Tatu, Atena Galuscan, and Virgil Păunescu. 2024. "Quercetin and Mesenchymal Stem Cell Metabolism: A Comparative Analysis of Young and Senescent States" Molecules 29, no. 23: 5755. https://doi.org/10.3390/molecules29235755
APA StyleIvan, A., Lukinich-Gruia, A. T., Cristea, I.-M., Pricop, M.-A., Calma, C. L., Simina, A.-G., Tatu, C. A., Galuscan, A., & Păunescu, V. (2024). Quercetin and Mesenchymal Stem Cell Metabolism: A Comparative Analysis of Young and Senescent States. Molecules, 29(23), 5755. https://doi.org/10.3390/molecules29235755

