Zeolitic Imidazole Framework (ZIF)–Sponge Composite for Highly Efficient U(VI) Elimination
Abstract
1. Introduction
2. Results and Discussion
2.1. Properties of the Synthesized Samples
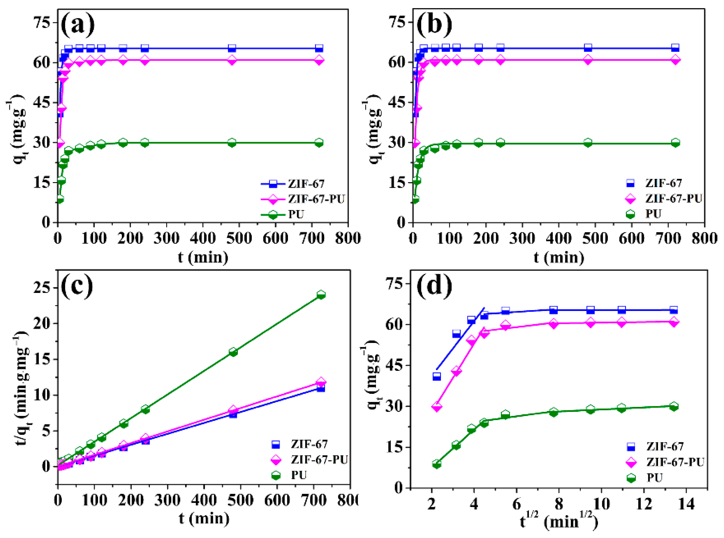
2.2. Contact Time Effect and Kinetics Study
2.3. pH and Ionic Strength Effect
2.4. Adsorption Isotherms
2.5. Adsorption Mechanism
3. Experimental Section
3.1. Materials and Reagents
3.2. Synthesis of ZIF-67 Nanoparticles
3.3. Preparation of ZIF-67-PU
3.4. Characterization
3.5. Adsorption Experiment
4. Conclusions
Supplementary Materials
Author Contributions
Funding
Data Availability Statement
Conflicts of Interest
References
- Huang, S.Y.; Pang, H.W.; Li, L.; Jiang, S.B.; Wen, T.; Zhuang, L.; Hu, B.W.; Wang, X.K. Unexpected ultrafast and high adsorption of U(VI) and Eu(III) from solution using porous Al2O3 microspheres derived from MIL-53. Chem. Eng. J. 2018, 353, 157–166. [Google Scholar] [CrossRef]
- Zhao, G.X.; Huang, X.B.; Tang, Z.W.; Huang, Q.F.; Niu, F.L.; Wang, X.K. Polymer-based nanocomposites for heavy metal ions removal from aqueous solution: A review. Polym. Chem. 2018, 9, 3562–3582. [Google Scholar] [CrossRef]
- Ohba, T.; Tanigawa, K.; Liutsko, L. Evacuation after a nuclear accident: Critical reviews of past nuclear accidents and proposal for future planning. Environ. Int. 2021, 148, 106379. [Google Scholar] [CrossRef]
- Duan, S.X.; Xu, X.T.; Liu, X.; Wang, Y.N.; Hayat, T.; Alsaedi, A.; Meng, Y.D.; Li, J.X. Highly enhanced adsorption performance of U(VI) by non-thermal plasma modified magnetic Fe3O4 nanoparticles. J. Colloid Interface Sci. 2018, 513, 92–103. [Google Scholar] [CrossRef] [PubMed]
- Li, Z.J.; Huang, Z.W.; Guo, W.L.; Wang, L.; Zheng, L.R.; Chai, Z.F.; Shi, W.Q. Enhanced photocatalytic removal of uranium (VI) from aqueous solution by magnetic TiO2/Fe3O4 and its graphene composite. Environ. Sci. Technol. 2017, 51, 5666–5674. [Google Scholar] [CrossRef]
- Zhu, L.; Sheng, D.P.; Xu, C.; Dai, X.; Silver, M.A.; Li, J.; Li, P.; Wang, Y.X.; Wang, Y.L.; Chen, L.H.; et al. Identifying the recognition site for selective trapping of 99TcO4− in a hydrolytically stable and radiation resistant cationic metal-organic framework. J. Am. Chem. Soc. 2017, 139, 14873–14876. [Google Scholar] [CrossRef]
- Fryxell, G.E.; Lin, Y.; Fiskum, S.; Birnbaum, J.C.; Wu, H.; Kemner, K.; Kelly, S. Actinide sequestration using self-assembled monolayers on mesoporous supports. Environ. Sci. Technol. 2005, 39, 1324–1331. [Google Scholar] [CrossRef]
- Mellah, A.; Chegrouche, S.; Barkat, M. The removal of uranium(VI) from aqueous solutions onto activated carbon: Kinetic and thermodynamic investigations. J. Colloid Interface Sci. 2006, 296, 434–441. [Google Scholar] [CrossRef]
- Liu, M.C.; Chen, C.L.; Wen, T.; Wang, X.K. Synthesis of magnetic ion-imprinted composites and selective separation and preconcentration of U(VI). Dalton Trans. 2014, 43, 7050–7056. [Google Scholar] [CrossRef]
- Liu, C.; Hsu, P.C.; Xie, J.; Zhao, J.; Wu, T.; Wang, H.T.; Liu, W.; Zhang, J.S.; Chu, S.; Cui, Y. A half-wave rectified alternating current electrochemical method for uranium extraction from seawater. Nat. Energy 2017, 2, 17007. [Google Scholar] [CrossRef]
- Renock, D.; Mueller, M.; Yuan, K.; Ewing, R.C.; Becker, U. The energetics and kinetics of uranyl reduction on pyrite, hematite, and magnetite surfaces: A powder microelectrode study. Geochim. Cosmochim. Acta 2013, 118, 56–71. [Google Scholar] [CrossRef]
- Liu, X.; Sun, J.; Xu, X.T.; Alsaedi, A.; Hayat, T.; Li, J.X. Adsorption and desorption of U(VI) on different-size graphene oxide. Chem. Eng. J. 2019, 360, 941–950. [Google Scholar] [CrossRef]
- Duan, S.X.; Wu, L.S.; Li, J.X.; Huang, Y.S.; Tan, X.L.; Wen, T.; Hayat, T.; Alsaedi, A.; Wang, X.K. Two-dimensional copper-based metal−organic frameworks nano-sheets composites: One-step synthesis and highly efficient U(VI) immobilization. J. Hazard. Mater. 2019, 373, 580–590. [Google Scholar] [CrossRef] [PubMed]
- Wang, L.; Tao, W.Q.; Yuan, L.Y.; Liu, Z.R.; Huang, Q.; Chai, Z.F.; Gibson, J.K.; Shi, W.Q. Rational control of the interlayer space inside two-dimensional titanium carbides for highly efficient uranium removal and imprisonment. Chem. Commun. 2017, 53, 12084–12087. [Google Scholar] [CrossRef] [PubMed]
- Wang, D.; Xu, Y.B.; Xiao, D.F.; Qiao, Q.G.; Yin, P.; Yang, Z.L.; Li, J.X.; Winchester, W.; Wang, Z.; Hayat, T. Ultra-thin iron phosphate nanosheets for high efficient U(VI) adsorption. J. Hazard. Mater. 2019, 371, 83–93. [Google Scholar] [CrossRef] [PubMed]
- Hu, T.; Ding, S.J.; Deng, H.J. Application of three surface complexation models on U(VI) adsorption onto graphene oxide. Chem. Eng. J. 2016, 289, 270–276. [Google Scholar] [CrossRef]
- Hu, J.S.; Zhong, L.S.; Song, W.G.; Wan, L.J. Synthesis of hierarchically structured metal oxides and their application in heavy metal ion removal. Adv. Mater. 2008, 20, 2977–2982. [Google Scholar] [CrossRef]
- Wang, Z.; Zhao, D.L.; Wu, C.N.; Chen, S.H.; Wang, Y.Y.; Chen, C.L. Magnetic metal organic frameworks/graphene oxide adsorbent for the removal of U(VI) from aqueous solution. Appl. Radiat. Isotopes 2020, 162, 109160. [Google Scholar] [CrossRef]
- Gao, Q.H.; Wang, M.L.; Zhao, J.C.; Zhang, M.X.; Shao, D.D.; Hu, J.T.; Wu, G.Z. Fabrication of amidoxime-appended UiO-66 for the efficient and rapid removal of U(VI) from aqueous solution. Micropor. Mesopor. Mater. 2022, 329, 111511. [Google Scholar] [CrossRef]
- Pei, J.Y.; Chen, Z.S.; Wang, Y.Q.; Xiao, B.; Zhang, Z.B.; Gao, X.H.; Liu, Y.H. Preparation of phosphorylated iron-doped ZIF-8 and their adsorption application for U(VI). Solid State Chem. 2022, 305, 122650. [Google Scholar] [CrossRef]
- Xuan, K.; Wang, J.; Gong, Z.H.; Wang, X.G.; Li, J.; Guo, Y.D.; Sun, Z.X. Hydroxyapatite modified ZIF-67 composite with abundant binding groups for the highly efficient and selective elimination of uranium (VI) from wastewater. J. Hazard. Mater. 2022, 426, 127834. [Google Scholar] [CrossRef] [PubMed]
- Zhang, G.; Fan, H.M.; Zhou, R.Y.; Yin, W.Y.; Wang, R.B.; Yang, M.; Xue, Z.Y.; Yang, Y.S.; Yu, J.X. Decorating UiO-66-NH2 crystals on recyclable fibre bearing polyamine and amidoxime bifunctional groups via cross-linking method with good stability for highly efficient capture of U(VI) from aqueous solution. J. Hazard. Mater. 2022, 424, 127273. [Google Scholar] [CrossRef] [PubMed]
- Lin, K.A.; Chang, H. Zeolitic imidazole framework (ZIF)-Sponge composite prepared via a surfactant-assisted dip-coating method. J. Mater. Chem. A 2015, 3, 20060–20064. [Google Scholar]
- Gross, A.F.; Sherman, E.; Vajo, J.J. Aqueous room temperature synthesis of cobalt and zinc sodalite zeolitic imidizolate frameworks. Dalton Trans. 2012, 41, 5458–5460. [Google Scholar] [CrossRef] [PubMed]
- Qian, J.; Sun, F.; Qin, L. Hydrothermal synthesis of zeolitic imidazolate framework-67 (ZIF-67) nanocrystals. Mater. Lett. 2012, 82, 220–223. [Google Scholar] [CrossRef]
- Zeng, P.Y.; Li, J.W.; Ye, M.; Zhu, K.F.; Fang, Z. In-situ formation of Co9S8/N-C hollow nanospheres by pyrolysis and sulfurization of ZIF-67 for high performance lithium-ion batteries. Chem.-Eur. J. 2017, 23, 9517–9524. [Google Scholar] [CrossRef]
- Zhou, K.; Mousavi, B.; Luo, Z.X.; Phatanasri, S.; Chaemchuen, S.; Verpoort, F. Characterization and properties of Zn/Co zeolitic imidazolate frameworks vs. ZIF-8 and ZIF-67. J. Mater. Chem. A 2017, 5, 952–957. [Google Scholar] [CrossRef]
- Hachuła, B.; Nowak, M.; Kusz, J. Crystal and molecular structure analysis of 2-Methylimidazole. J. Chem. Crystallogr. 2010, 40, 201–206. [Google Scholar] [CrossRef]
- Butova, V.V.; Budnyk, A.P.; Bulanova, E.A.; Lamberti, C.; Soldatov, A.V. Hydrothermal synthesis of high surface area ZIF-8 with minimal use of TEA. Solid State Sci. 2017, 69, 13–21. [Google Scholar] [CrossRef]
- Jian, M.J.; Liu, B.; Zhang, G.S.; Liu, R.P.; Zhang, X.W. Adsorptive removal of arsenic from aqueous solution by zeolitic imidazolate framework-8 (ZIF-8) nanoparticles. Colloids Surf. A 2015, 465, 67–76. [Google Scholar] [CrossRef]
- Vasconcelos, I.B.; da Silva, T.G.; Militão, G.C.; Soares, T.A.; Rodrigues, N.M.; Rodrigues, M.O.; da Costa, N.B.; Freire, R.O.; Junior, S.A. Cytotoxicity and slow release of the anti-cancer drugdoxorubicin from ZIF-8. RSC Adv. 2012, 2, 9437–9442. [Google Scholar] [CrossRef]
- Lagergren, S. About the theory of so-called adsorption of soluble substances. K. Sven. Vetenskapsakademiens 1998, 24, 1–39. [Google Scholar]
- Ho, Y.S.; Mckay, G. Pseudo-second order model for sorption processes. Process. Biochem. 1999, 34, 451–465. [Google Scholar] [CrossRef]
- Wu, F.; Tseng, R.L.; Juang, R. Initial behavior of intra-particle diffusion model used in the description of adsorption kinetic. Chem. Eng. J. 2009, 153, 1–8. [Google Scholar] [CrossRef]
- Yang, P.P.; Liu, Q.; Liu, J.Y.; Chen, R.R.; Li, R.M.; Bai, X.F.; Wang, J. Highly efficient immobilization of uranium(VI) from aqueous solution by phosphonate-functionalized dendritic fibrous nanosilica (DFNS). J. Hazard. Mater. 2019, 363, 248–257. [Google Scholar] [CrossRef] [PubMed]
- Yu, S.J.; Yin, L.; Pang, H.W.; Wu, Y.H.; Wang, X.X.; Zhang, P.; Hu, B.W.; Chen, Z.S.; Wang, X.K. Constructing sphere-like Cobalt-molybdenum-nickel ternary hydroxide and calcined ternary oxide nanocomposites for efficient removal of U(VI) from aqueous solutions. Chem. Eng. J. 2018, 352, 360–370. [Google Scholar] [CrossRef]
- Wang, X.X.; Yu, S.Q.; Wu, Y.H.; Pang, H.W.; Yu, S.J.; Chen, Z.S.; Hou, J.; Alsaedi, A.; Hayat, T.; Wang, S.H. The synergistic elimination of uranium (VI) species from aqueous solution using bi-functional nanocomposite of carbon sphere and layered double hydroxide. Chem. Eng. J. 2018, 342, 321–330. [Google Scholar] [CrossRef]
- Yu, S.J.; Wang, J.; Song, S.; Sun, K.Y.; Li, J.; Wang, X.X.; Chen, Z.S.; Wang, X.K. One-pot synthesis of graphene oxide and Ni-Al layered double hydroxides nanocomposites for the efficient removal of U(VI) from wastewater. Sci. China Chem. 2017, 60, 415–422. [Google Scholar] [CrossRef]
- Langmuir, I. The adsorption of gases on plane surfaces of glass, mica and platinum. J. Am. Chem. Soc. 1918, 40, 1361–1403. [Google Scholar] [CrossRef]
- Freundlich, H. Concerning adsorption in solutions. Z. Fur Phys. Chem.-Stochiom. Und Verwandtschaftslehre 1906, 57, 385–470. [Google Scholar]
- Hutson, N.D.; Yang, R.T. Theoretical basis for the Dubinin–Radushkevitch (D–R) adsorption isotherm equation. Adsorption 1997, 3, 189–1950. [Google Scholar] [CrossRef]
- Liu, J.M.; Yin, X.H. Amidoxime-functionalized metal-organic frameworks UiO-66 for U(VI) adsorption from aqueous solution. J. Taiwan Inst. Chem. Eng. 2019, 95, 416–423. [Google Scholar] [CrossRef]
- Li, M.X.; Liu, H.B.; Chen, T.H.; Dong, C.; Sun, Y.B. Synthesis of magnetic biochar composites for enhanced uranium(VI) adsorption. Sci. Total Environ. 2019, 651, 1020–1028. [Google Scholar] [CrossRef]
- Lu, S.H.; Hu, J.S.; Chen, C.L.; Chen, X.J.; Gong, Y.; Sun, Y.B.; Tan, X.L. Spectroscopic and modelling investigation of efficient removal of U(VI) on a novel magnesium silicate/diatomite. Sep. Purif. Technol. 2017, 174, 425–431. [Google Scholar] [CrossRef]
- Sun, Y.B.; Wang, X.X.; Ai, Y.J.; Yu, Z.M.; Huang, W.; Chen, C.C.; Hayat, T.; Alsaedi, A.; Wang, X.K. Interaction of sulfonated graphene oxide with U(VI) studied by spectroscopic analysis and theoretical calculations. Chem. Eng. J. 2017, 310, 292–299. [Google Scholar] [CrossRef]
- Tripathi, S.V.; Sravani, V.V.; Sreenivasulu, B.; Kumar, S.; Maji, S.; Suresh, A.; Rao, C.V.S.B.; Sivaraman, N. ZIF-90: PSM assisted acid resistance, accelerated sequestration and selective sensing of actinides. Surf. Interfaces 2022, 32, 102095. [Google Scholar] [CrossRef]
- Wang, L.L.; Luo, F.; Dang, L.L.; Li, J.Q.; Wu, X.L.; Liu, S.J.; Luo, M.B. Ultrafast high-performance extraction of uranium from seawater without pretreatment using an acylamide- and carboxyl-functionalized metal–organic framework. J. Mater. Chem. A 2015, 3, 13724–13730. [Google Scholar] [CrossRef]
- Carboni, M.; Abney, C.W.; Liu, S.B.; Lin, W.B. Highly porous and stable metal–organic frameworks for uranium extraction. Chem. Sci. 2013, 4, 2396–2402. [Google Scholar] [CrossRef]
- Yang, W.T.; Bai, Z.Q.; Shi, W.Q.; Yuan, L.Y.; Tian, T.; Chai, Z.F.; Wang, H.; Sun, Z.M. MOF-76: From a luminescent probe to highly efficient U(VI) sorption material. Chem. Commun. 2013, 49, 10415–10417. [Google Scholar] [CrossRef]
- Li, L.N.; Ma, W.; Shen, S.S.; Huang, H.X.; Bai, Y.; Liu, H.W. A combined experimental and theoretical study on the extraction of uranium by amino-derived metal−organic frameworks through post-synthetic strategy. ACS Appl. Mater. Interfaces 2016, 8, 31032–31041. [Google Scholar] [CrossRef]
- Feng, M.L.; Sarma, D.; Qi, X.H.; Du, K.Z.; Huang, X.Y.; Kanatzidis, M.G. Efficient removal and recovery of uranium by a layered organic−inorganic hybrid thiostannate. J. Am. Chem. Soc. 2016, 138, 12578–12585. [Google Scholar] [CrossRef]
- Zhou, Q.; Chen, J.J.; Jin, B.; Chu, S.J.; Peng, R.F. Modification of ZIF-8 on bacterial cellulose for an efficient selective capture of U(VI). Cellulose 2021, 28, 5241–5256. [Google Scholar] [CrossRef]
- Min, X.; Yang, W.; Hui, Y.F.; Gao, C.Y.; Dang, S.; Sun, Z.M. Fe3O4@ZIF-8: A magnetic nanocomposite for highly efficient UO22+ adsorption and selective UO22+/Ln3+ separation. Chem. Comm. 2017, 53, 4199–4202. [Google Scholar] [CrossRef] [PubMed]
- Wang, C.; Zheng, T.; Luo, R.; Liu, C.; Zhang, M.; Li, J.; Sun, X.; Shen, J.; Han, W.; Wang, L. In situ growth of ZIF-8 on PAN fibrous filters for highly efficient U(VI) removal. ACS Appl. Mater. Interface 2018, 10, 24164–24171. [Google Scholar] [CrossRef] [PubMed]
- Zhong, X.; Liang, W.; Wang, H.F.; Xue, C.; Hu, B.W. Aluminum-based metal-organic frameworks (CAU-1) highly efficient UO22+and TcO4− ions immobilization from aqueous solution. J. Hazard. Mater. 2021, 407, 124729. [Google Scholar] [CrossRef]
- Duan, S.X.; Wang, Y.N.; Liu, X.; Shao, D.D.; Hayat, T.; Alsaedi, A.; Li, J.X. Removal of U(VI) from aqueous solution by amino functionalized flake graphite prepared by plasma treatment. ACS Sustain. Chem. Eng. 2017, 5, 4073–4085. [Google Scholar] [CrossRef]
- Duan, S.X.; Liu, X.; Wang, Y.N.; Shao, D.D.; Alharbi, N.S.; Alsaedi, A.; Li, J.X. Highly efficient entrapment of U(VI) by using porous magnetic Ni0.6Fe2.4O4 micro-particles as the adsorbent. J. Taiwan Inst. Chem. Eng. 2016, 65, 367–377. [Google Scholar] [CrossRef]









| Sample | SBET (m2·g−1) | Vpore (cm3·g−1) | Pore Diameters (nm) |
|---|---|---|---|
| ZIF-67 | 1190.0 | 0.13 | 2.74 |
| PU | 1.0 | 0.02 | 1.95 |
| ZIF-67-PU | 3.0 | 0.01 | 1.67 |
| Samples | Models | Pseudo-First-Order | Pseudo-Second-Order | ||
|---|---|---|---|---|---|
| ZIF-67 | Parameters | k1 (min−1) | 0.1977 | k2 (g·mg·min−1) | 0.0186 |
| qe (mg·g−1) | 65.30 | qe (mg·g−1) | 65.53 | ||
| R2 | 0.9985 | R2 | 0.9998 | ||
| PU | Parameters | k1 (min−1) | 0.0805 | k2 (g·mg·min−1) | 0.0058 |
| qe (mg·g−1) | 29.51 | qe (mg·g−1) | 30.30 | ||
| R2 | 0.9874 | R2 | 0.9998 | ||
| ZIF-67-PU | Parameters | k1 (min−1) | 0.1324 | k2 (g·mg·min−1) | 0.0081 |
| qe (mg·g−1) | 60.92 | qe (mg·g−1) | 61.20 | ||
| R2 | 0.9932 | R2 | 0.9995 | ||
| Models | Adsorbent | Parameters | ||
|---|---|---|---|---|
| Langmuir | Q0 (mg·g−1) | b (L·mg−1) | R2 | |
| ZIF-67 | 389.23 | 0.7154 | 0.9811 | |
| ZIF-67-PU | 150.86 | 0.2719 | 0.9988 | |
| PU | 45.16 | 0.1085 | 0.9994 | |
| Freundlich | KF (mg1−n∙Ln∙g−1) | n | R2 | |
| ZIF-67 | 183.03 | 1.223 | 0.9828 | |
| ZIF-67-PU | 34.94 | 1.701 | 0.9912 | |
| PU | 10.52 | 2.812 | 0.9872 | |
| D-R | β (mol2·J−2) | E (kJ·mol−1) | R2 | |
| ZIF-67 | 4.856 × 10−9 | 10.15 | 0.9822 | |
| ZIF-67-PU | 4.143 × 10−9 | 10.98 | 0.9983 | |
| PU | 2.996 × 10−9 | 12.92 | 0.9910 | |
| Adsorbent Sample | Adsorption Capacity (mg·g−1) | pH | Reference |
|---|---|---|---|
| Biochar | 2.12 | 3.9 | [43] |
| Silicate/diatomite | 31.54 | 5 | [44] |
| Sulfonated GO | 45.05 | 5 | [45] |
| ZIF-90 | 77.6 | 4 | [46] |
| ZIF-90-SA | 85.1 | 4 | [46] |
| Zn(HBTC)(L)·(H2O)2 | 115.0 | 2.0 | [47] |
| UiO-68 | 217 | 2.0 | [48] |
| MOF-76 | 298 | 3.0 | [49] |
| MOF-3 | 304 | 7.0 | [50] |
| FJSM-SnS | 338.43 | 5.8 | [51] |
| Fe-ZIF-8-300 | 343.5 | 4.5 | [20] |
| BZCA-ZIF-8 | 429.56 | 3.0 | [52] |
| HAP/ZIF-67 | 453.1 | 5.0 | [22] |
| Fe3O4@ZIF-8 | 523.5 | 3.0 | [53] |
| PAN@ZIF-8 | 530.3 | 3.0 | [54] |
| CAU-1 | 648.37 | 4.0 | [55] |
| Fe-ZIF-8-300-PO4 | 691.8 | 4.5 | [20] |
| ZIF-67 | 389.23 | 5.5 | This work |
| ZIF-67-PU | 150.86 | 5.5 |
Disclaimer/Publisher’s Note: The statements, opinions and data contained in all publications are solely those of the individual author(s) and contributor(s) and not of MDPI and/or the editor(s). MDPI and/or the editor(s) disclaim responsibility for any injury to people or property resulting from any ideas, methods, instructions or products referred to in the content. |
© 2024 by the authors. Licensee MDPI, Basel, Switzerland. This article is an open access article distributed under the terms and conditions of the Creative Commons Attribution (CC BY) license (https://creativecommons.org/licenses/by/4.0/).
Share and Cite
Duan, S.; Long, X.; Liu, J.; Jin, X.; Zhao, G.; Li, J.; Liu, Z. Zeolitic Imidazole Framework (ZIF)–Sponge Composite for Highly Efficient U(VI) Elimination. Molecules 2024, 29, 408. https://doi.org/10.3390/molecules29020408
Duan S, Long X, Liu J, Jin X, Zhao G, Li J, Liu Z. Zeolitic Imidazole Framework (ZIF)–Sponge Composite for Highly Efficient U(VI) Elimination. Molecules. 2024; 29(2):408. https://doi.org/10.3390/molecules29020408
Chicago/Turabian StyleDuan, Shengxia, Xinshu Long, Jian Liu, Xiaomin Jin, Guihong Zhao, Jiaxing Li, and Zaidao Liu. 2024. "Zeolitic Imidazole Framework (ZIF)–Sponge Composite for Highly Efficient U(VI) Elimination" Molecules 29, no. 2: 408. https://doi.org/10.3390/molecules29020408
APA StyleDuan, S., Long, X., Liu, J., Jin, X., Zhao, G., Li, J., & Liu, Z. (2024). Zeolitic Imidazole Framework (ZIF)–Sponge Composite for Highly Efficient U(VI) Elimination. Molecules, 29(2), 408. https://doi.org/10.3390/molecules29020408

