New Trends in Biosurfactants: From Renewable Origin to Green Enhanced Oil Recovery Applications
Abstract
1. Introduction
2. EOR Techniques
2.1. Chemical EOR
2.1.1. Surfactant-Based EOR
- Bio-based anionic surfactants. These are surfactants with a negatively charged head and they are the most widely used group of surfactants; hence, they are produced in large quantities in industries. Amino acids and fatty acids obtained from natural oils are viable sources of anionic surfactants. Methyl and ethyl ester sulfonates are derived from these amino and fatty acids via trans-esterification and sulfonation reactions [40]. The sulfonate group () present in the chemical structure of these surfactants is responsible for their anionic nature and thermal stability [41]. Another class of anionic amphiphiles can be obtained by linking one or two hydrophobic chains to the DNA nucleotides, giving them the ability to generate supramolecular colloidal structures [42,43,44,45].
- Bio-based cationic surfactants. These are surfactants with a positively charged headgroup, and although they are not commonly used in EOR due to their high adsorption in sandstone reservoirs, they are very useful in carbonate reservoirs. Although many plant extracts are considered to be non-ionic, some plant extracts, such as mulberry leaves, olive leaves, and henna leaves, are examples of cationic surfactants [46].
- Bio-based non-ionic surfactants. These are surfactants that have no charge on their head. They do not ionize in water, and their solubility is influenced by hydrogen bonds and van der Waal interactions. Most non-ionic surfactants have a high biodegradability and are very cost-effective. Saponins, which are triterpenic or steroidal glycosides, are the most common type of non-ionic surfactant, and they can be obtained from natural plant extracts. They are highly emulsifiable, having excellent solubility and foaming properties, which gives them a wide range of applicability in industrial processes [46,47,48]. Alkyl polyglucoside is a common non-ionic surfactant from a natural and renewable source. Ziziphus Spina-christy and soap nut saponin are excellent sources of natural non-ionic surfactants, which have been evaluated for their potential in EOR applications [49,50].
- Bio-based zwitterionic surfactants. These surfactants contain both positively and negatively charged residues in their head polar groups having zero net charge. They are very versatile, and natural zwitterionic surfactants have excellent properties that are ideal for EOR applications. For example, a zwitterionic surfactant derived from castor oil, N-phenyl-fattyamido-propyl-N, N-dimethyl-carboxyl betaine (CPDB) has been shown to have excellent thermal properties, dispersion efficiency, optimal wetting and foaming performance and also strong electrolyte tolerance [51]. Despite the versatility and compatibility of zwitterionic surfactants, they are one of the least applied for EOR operations. This is mostly associated with the high costs involved in their production. More work has to be performed to develop cheaper base materials for the synthesis of zwitterionic surfactants and apply this class of surfactants in EOR contexts.
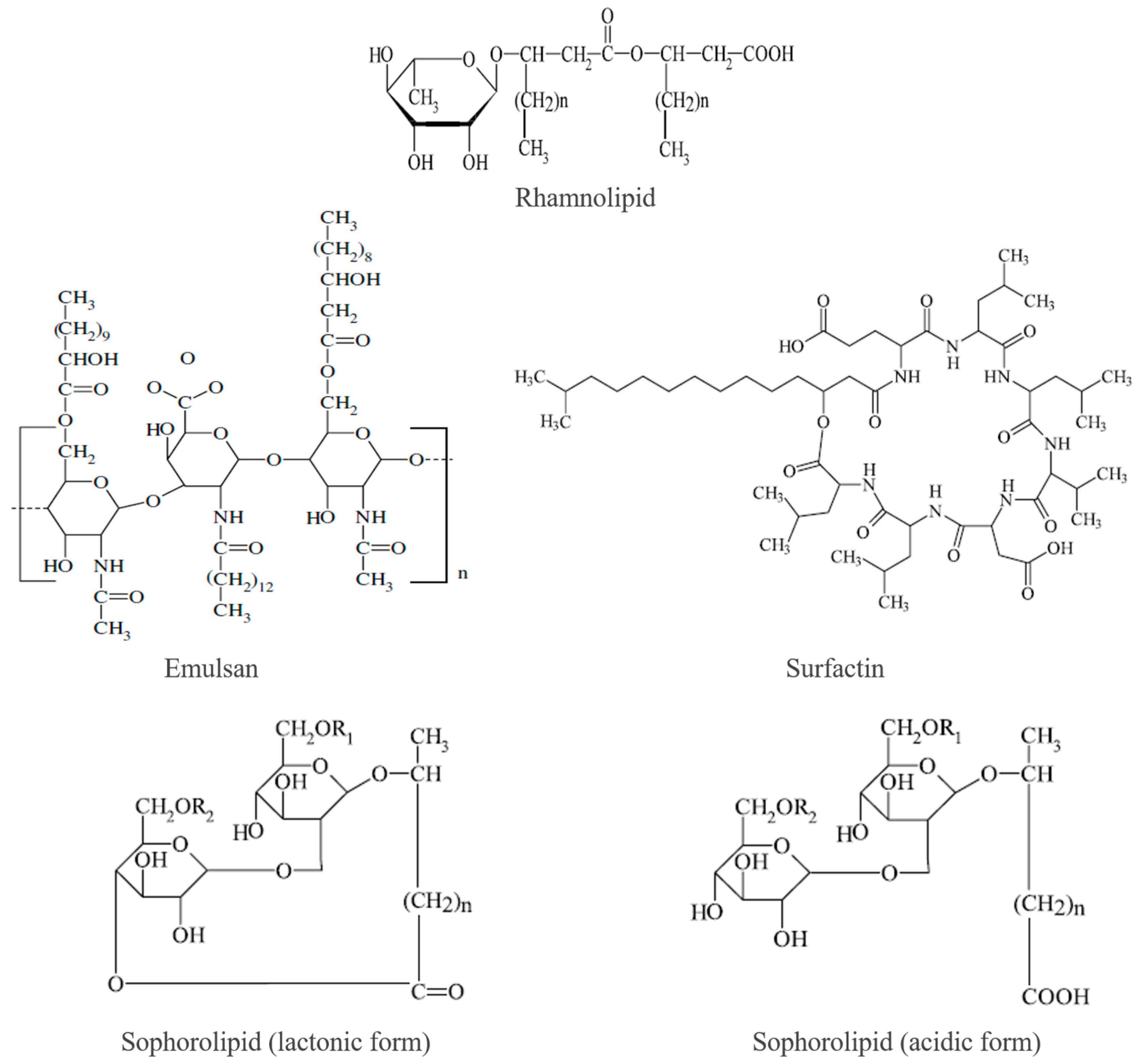
- Polymeric bio-based surfactants. They can be synthesized either by polymerizing a surface-active monomer or by the copolymerization of hydrophobic and hydrophilic monomers. Although polymeric surfactants, in most cases, perform poorly regarding surface tension modification—making it difficult to obtain ultra-low IFT values—they could improve oil recovery by combining the high viscosity property of a polymer with the interfacial surface properties of the surfactant present within its structure. This unique combination of properties makes polymeric surfactants ideal for use as thickening agents, IFT-reducing agents, and emulsifying agents for EOR applications [52,53]. A classic example of a polymeric biosurfactant is emulsan, which is produced by Acinetobacter calcoaceticus [54].
- Bio-based Gemini surfactants. Just like zwitterionic surfactants, bio-based Gemini surfactants are another underused group of bio-based surfactants. They have excellent properties that make them optimal for EOR purposes but ironically, not many research studies investigating their EOR potential are found in the scientific literature. They are very unique in their nature as they are made up of two or more hydrophilic groups, which constitute the head, one hydrophobic group, which makes up the tail, and a spacer linking these two constituents (head and tail). The hydrophilic head could be either anionic, cationic, zwitterionic, or non-ionic [55,56,57]. This means that Gemini surfactants are a sort of hybrid of all the aforementioned classes of bio-based surfactants. This class of surfactants has excellent wetting, solubility, and foaming properties coupled with an ultra-low critical micelle concentration (CMC) and Krafft point [57]. Gemini surfactants can be obtained from amino acids, oils, and sugar [58].
2.1.2. Polymer-Based EOR
2.1.3. Alkaline/Surfactant/Polymer (ASP) Flooding
2.1.4. Low-Salinity Water Flooding
2.1.5. Critical Features of Chemical EOR
- Economic feasibility. Chemical EOR methods often demand substantial initial investments for the acquisition and injection of chemicals, as well as infrastructure modifications. Evaluation of economic viability becomes paramount, taking into account oil prices, field characteristics, and project lifespan.
- Environmental impact. The substantial use of chemicals in the process can lead to adverse environmental consequences. Toxicity and improper handling risks must be addressed, along with considerations of energy consumption and associated greenhouse gas emissions.
- Geologic and reservoir constraints. Geological and reservoir characteristics, such as permeability, heterogeneity, and natural fractures, profoundly influence the effectiveness of chemical EOR. In-depth reservoir property understanding and rigorous laboratory testing are prerequisites for large-scale implementation.
- Chemical optimization. Challenges often arise from chemical compatibility and precise composition optimization. Incompatibilities can lead to precipitation or emulsion formation, reducing efficacy. Optimizing the chemical composition and concentration is pivotal for maximum recovery with minimal side effects.
- Uncertainty and risk. Inherent uncertainties, including reservoir heterogeneity, fluid behavior, and chemical reactions, pose risks to the success of chemical EOR. Rigorous risk assessment and contingency planning are crucial to mitigate potential setbacks.
2.2. Microbial EOR
2.2.1. Microbial Biofilm Injection
2.2.2. Microbial Surfactant Injection
2.2.3. Microbial Gas Generation
2.2.4. Microbial Plugging
| Microbial Product Class | Microorganisms and Their Sample Products | Type of Oil Reservoir/Formation | |
|---|---|---|---|
| Biosurfactants | Surfactin | Rhodococcus sp. | Sandstone or carbonate reservoirs with moderate temperature (<50 °C) and relatively light oil (API > 25) |
| Rhamnolipid | Acinetobacter | ||
| Emulsan | Bacillus sp. | ||
| Lichenysin | Bacillus sp. | ||
| Alasan | Pseudomonas | ||
| Viscosin | Arthrobacter | ||
| Biopolymers | Xanthan gum | Xanthomonas sp. | Stratified reservoirs with permeable zones |
| Pullulan | Aureobasidium sp. | ||
| Levan | Bacillus sp. | ||
| Curdlan | Alcaligeness sp. | ||
| Dextran | Leuconostoc sp. | ||
| Scleroglucan | Sclerotium sp. | ||
| Gases | CO2 | Fermentative bacteria | Heavy-oil-bearing formations (API < 15) |
| CH4 | Methanogens | ||
| H2 | Clostridium | ||
| N2 | Enterobacter | ||
| Acids | Propionic acid | Fermentative bacteria | Carbonate or carbonaceous reservoirs |
| Butyric acid | Clostridium | ||
| Alcohol/Solvents | Alcohols and Ketones (co-surfactants) | Fermentative bacteria | Heavy-oil-bearing formations (API < 15) and strongly oil-wet, waterflooded reservoirs |
| Acetone | Clostridium | ||
| Butanol | Zymomonas | ||
| Propan-2-diol | Kliebsella | ||
| Microorganism Genus | Products | Effect |
|---|---|---|
| Pseudomonas | Surfactants and polymers | Production of biopolymers and biosurfactants, which reduce permeability and enhance capillary number. |
| Clostridium | Gases, acids, alcohols, and surfactants | Production of acid and gases, which reduce oil viscosity. |
| Bacillus | Acids and surfactants | Production of gases, alcohol, and biosurfactants, which modify permeability, which improves sweep efficiency in waterflooding processes. |
| Desulfovibrio | Gases and acids | Oil biodegradability and viscosity reduction along with methane production. |
| Corynebacterium | Surfactants | Production of low-viscosity molecules and permeability modification by promoting oil biodegradability. |
| Others | Polymers, gases, surfactants, acids, and alcohol | Oxidation and biodegradability of hydrocarbons, permeability modification, and methane production, which lead to oil viscosity reduction. |
2.2.5. Critical Features of Microbial EOR
- Efficacy and reliability. MEOR’s effectiveness varies based on microbial strains, reservoir conditions, and oil type. Microorganism growth is sensitive to factors like temperature, pH, and nutrient availability. Strain selection and reliability necessitate thorough evaluation via field testing and case studies;
- Reservoir compatibility. MEOR may not suit all reservoir types due to factors like permeability, heterogeneity, and oil properties. A rigorous assessment of microorganism-reservoir compatibility is essential to determine MEOR applicability;
- Long-term effects and sustainability. The enduring impacts of introducing microorganisms into the reservoir require further understanding. Microbial activities can influence permeability, fluid behavior, and geochemical reactions, necessitating an evaluation of risks and effects on reservoir integrity and oil recovery sustainability;
- Regulatory compliance. MEOR involves the introduction of living organisms into the reservoir, which may raise regulatory concerns. It is important to comply with relevant environmental regulations and obtain necessary permits for the use of microorganisms in oil reservoirs. Additionally, potential risks associated with the release of genetically modified organisms (GMOs) should be carefully assessed and addressed in accordance with applicable regulations and guidelines;
- Implementation challenges. Specialized equipment, ideal growth conditions, and the management of risks such as biofouling and corrosion present implementation challenges. Proper engineering design, operational protocols, and monitoring strategies are essential for successful MEOR implementation;
- Knowledge gaps and research requirements. Despite advancements, significant knowledge gaps persist. Further research is vital to improve microbial strain selection, enhance reservoir suitability assessment, and understand MEOR mechanisms, long-term sustainability, and optimization.
2.3. A Brief Comparison: Chemical–Microbial and Traditional EOR Techniques Employed
3. Biosurfactants: Nature, Properties, and Their Applications to EOR
3.1. Classes of Microbial-Based Biosurfactants Commonly Used in EOR
- Glycolipids. Glycolipids are biosurfactants composed of a hydrophilic carbohydrate moiety (e.g., glucose, rhamnose) linked to a hydrophobic fatty acid chain. They are produced by various microorganisms, including bacteria and yeasts. Glycolipids have shown excellent surface activity, high emulsification capacity, and stability over a wide range of environmental conditions. Examples of glycolipids used in EOR include sophorolipids and rhamnolipids. Rhamnolipids are biosurfactants composed of one or two rhamnose sugar units linked to a fatty acid chain. They are predominantly produced by Pseudomonas aeruginosa, a common bacterium found in various environments. Rhamnolipids have excellent surface tension reduction properties and emulsification capacity. They are known for their high biodegradability and low toxicity, making them environmentally friendly options for EOR applications [91].
- Lipopeptides. Lipopeptides are biosurfactants characterized by a cyclic or linear peptide structure linked to a fatty acid chain. They are mainly produced by bacteria, such as Bacillus species. Lipopeptides exhibit strong surface activity, foam-forming capability, and suitable stability. Surfactin, produced by Bacillus subtilis, is a well-known lipopeptide used in EOR due to its emulsification properties and ability to reduce interfacial tension [92]. Lichenysin produced by Bacillus licheniformis is also another example of this class of microbial biosurfactant [54].
- Lipopolysaccharides (LPS). Lipopolysaccharides are complex biosurfactants composed of lipids and polysaccharides. They are typically produced by Gram-negative bacteria, such as Pseudomonas and Serratia species. LPS exhibit strong surfactant activity and have the ability to form stable emulsions. They also possess immunostimulatory properties, which can impact their application in EOR [93].
- Phospholipids. Phospholipids are a class of biosurfactants that consist of a hydrophilic phosphate head group and two hydrophobic fatty acid tails. They are abundant in the cell membranes of microorganisms, including bacteria and yeasts. Phospholipids have been investigated for their ability to reduce interfacial tension and improve oil recovery efficiency. However, their high cost and limited production scale have limited their widespread use in EOR [94].
3.2. Advantages of Biosurfactants over Synthetic Surfactants Applied in EOR
- Biodegradability: Unlike synthetic surfactants, which are typically derived from petrochemicals and may persist in the environment, biosurfactants can be easily broken down by natural microbial processes. This biodegradability reduces the potential for long-term environmental impact and makes biosurfactants a more sustainable choice [95,96].
- Environmental friendliness: Biosurfactants have a low ecological footprint compared to synthetic surfactants. They are produced using renewable resources and exhibit lower toxicity levels. This characteristic minimizes the risk of polluting the environment during their production, application, and eventual degradation. Biosurfactants are considered eco-friendly alternatives for EOR operations, aligning with the principles of green chemistry and sustainable practices [97,98].
- Compatibility with reservoir conditions: Biosurfactants can be tailored and optimized to suit specific reservoir conditions, such as temperature, salinity, and pH. They often exhibit suitable stability and surface activity over a wide range of environmental parameters. This versatility allows biosurfactants to maintain their effectiveness in challenging reservoir conditions, where synthetic surfactants may be less stable or lose their activity. The ability of biosurfactants to function under harsh conditions enhances their applicability in various oil recovery processes [33].
- Selectivity and specificity: Biosurfactants can be engineered to exhibit selectivity for oil–water interfaces, allowing them to target and interact specifically with the oil phase. This selectivity improves the efficiency of oil displacement and recovery, as biosurfactants can preferentially adsorb at the oil–water interface, reducing interfacial tension and facilitating oil mobilization. Synthetic surfactants, on the other hand, may exhibit broader interactions, leading to potential drawbacks such as excessive foam production or unwanted interactions with reservoir minerals [99].
- EOR potential: Biosurfactants have shown promising results in enhancing oil recovery efficiency. They can effectively reduce interfacial tension between oil and water, leading to improved oil mobilization and displacement. The unique chemical structures and properties of biosurfactants, including their ability to form stable emulsions, make them valuable agents for enhancing oil recovery from reservoirs [100].
3.3. Dynamical Aspects in Biosurfactant Action
- Rotation and conformational change of monomers (nanoseconds);
- Lateral diffusion of monomers on a meso-interface (milliseconds);
- Aggregate shape changes and fluctuations;
- Breaking and reforming of micelles or supramolecular aggregates;
- Aggregate collisions, sometimes resulting in fusion events.
4. Production of Biosurfactants and Application Methods in EOR
4.1. Biosurfactant Production
4.1.1. Biosurfactants from Microbial Sources
- Microbial fermentation. This is one of the most common methods of biosurfactant production. It involves culturing cells in a suitable growth medium such as agars under specific conditions. This cultivation of cells includes the selection of suitable microbial strains, the development of the inoculum, and larger-scale fermentation followed by recovery and purification. Pseudomonas aeruginosa and Bacillus subtilis are suitable strains for biosurfactant production via fermentation in general [106];
- Submerged fermentation. This is also widely used in biosurfactant production. In this method, the microorganisms are grown in a well-aerated liquid cell culture medium, also known as broth. This method improves the microbial yield and is very easy to carry out. The challenge associated with this method, however, is that foam control can prove to be difficult. This method also results in high energy consumption due to agitation and aeration requirements [107];
- Solid-state fermentation (SSF). This is the most green and eco-efficient biosurfactant production method. It involves the cultivation of microorganisms on solid substrates, such as agricultural waste. The firm surface of the solid substrates gives ample surface and conditions for microbial replication and biosurfactant production. There are several advantages associated with SSF, such as cost-effectiveness, end-of-waste (EoW) application via the utilization of waste materials to create a circular economy system, lower energy and water requirements, and so on. A few downsides to the SSF method also exist, such as process control and uniformity coupled with the difficulty in the recovery of biosurfactants from solid matrices [108];
- Fed-batch fermentation. This is a method in which nutrients are gradually added during the fermentation. It helps to maintain excellent growth conditions and optimal waste management, bringing about higher yield compared to batch fermentation [106];
- Genetic engineering. This biotechnological method involves several techniques that are used to improve the production of biosurfactants by genetically modifying the biosurfactant-producing microbes. It involves knocking-out and inserting specific genes in order to improve biosurfactant synthesis pathways. This opens up the possibility of the use of cheaper alternative substrates, leads to an increase in yield, and also improves the properties of the biosurfactants produced. This technique, however, requires technical know-how in order to modify the genetic makeup of the microorganisms [24].
4.1.2. Biosurfactants from Plant and Animal Sources
- Extraction of biosurfactants from plant sources. Due to the vast array of bioactive compounds that can be found in plants, plant materials such as leaves, seeds, fruits, and roots are often used as sources of materials for biosurfactant production [109]. These materials are subjected to different extraction methods, such as solvent extraction, maceration, and supercritical fluid extraction. Water and organic solvents such as ethanol and methanol are some of the solvents used to extract these bioactive compounds from plants. The solvent and extraction method depends on the plant and the type of surfactant to be produced. The extracted mixture can then be purified using techniques such as membrane filtration, solvent partitioning, and column chromatography [110,111]. Extraction serves to help remove the impurities in order to obtain the desired biosurfactant. Several plant oils and surfactants have been used to great effect in attempts to evaluate their potential to potentially replace harmful chemicals, which are currently used for several purposes in research and industry [112,113] and plant-based surfactants for use in EOR are no exception.
- Extraction of biosurfactants from animal sources. Animal tissues, including organs and glands, are also an ideal source of biosurfactants such as lipopeptides. The tissue is first homogenized, and then the biosurfactant can be extracted using solvents or other extraction methods [114]. Animal by-products such as lipids, waste fat and protein can be used as substrates for microbial fermentation to obtain biosurfactants as described in the previous section of this review.
- Microbial conversion of plant and animal biomass. As previously described, microorganisms have the ability to convert plant and animal biomass to biosurfactants. These microorganisms are cultivated on plant or animal-based substrates, and they break down the complex compounds in the biomass, producing biosurfactants as by-products [115].
4.2. Method of Application of Biosurfactants in EOR
- Injecting cell-cultured biosurfactant-producing microorganisms from wells toward the reservoir and consequent in situ replication and diffusion through the reservoir rocks.
- Ex situ injection of appropriate nutrients into the reservoir to stimulate the growth of biosurfactant-producing microbes already present in the reservoir.
5. Role of Biosurfactants in EOR and Techniques for Characterizing Their Performance
5.1. Role and Mechanisms of Action of Biosurfactants in EOR
- Reduction in the interfacial surface tension (IFT);
- Alteration of the wettability of an oil-wet reservoir rock;
- Mobilization of the trapped oil via emulsification.
5.2. Influence of the General Concepts of Hydrophilic–Lipophilic Difference (HLD) and Hydrophilic–Lipophilic Balance (HLB) on the Efficiency of Ionic and Non-Ionic Biosurfactants
5.2.1. The HLB Concept
5.2.2. The HLD Concept
5.3. Characterization Techniques to Evaluate the Quality and Performance of Biosurfactants in EOR
- Pendant drop method. In this method, a small drop of one liquid (e.g., water) is suspended from the end of a needle or pipette, and then the other liquid (e.g., crude oil) is slowly added drop by drop until the two liquids meet at the interface. The interfacial tension can be calculated from the shape of the drop using the Young–Laplace equation. This method can be used to measure the IFT between two immiscible liquids and to test the effect of different parameters, such as salinity and crude oil viscosity, on the IFT. The pendant drop method is a straightforward technique that can provide accurate measurements of IFT with a high degree of precision. The shape of the droplet is analyzed using digital imaging techniques, and the IFT is calculated using the Young–Laplace equation. The droplet should be large enough to ensure accurate measurement of the dimensions but small enough to minimize the effects of gravity. The method is typically carried out at room temperature and atmospheric pressure. One limitation of the pendant drop method is that it requires specialized equipment and expertise to set up and perform.
- Spinning drop method. This method is similar to the pendant drop method, but the sample is rotated at a constant speed to minimize gravitational effects on the shape of the drop. This method can be used to measure the IFT between two immiscible liquids and to test the effect of different parameters, such as salinity and crude oil viscosity, on the IFT. The spinning drop method is a modified version of the pendant drop method that is performed under low gravity conditions, which can be achieved using a centrifuge or a drop tower. The method is particularly useful for measuring very low values of IFT, which cannot be accurately measured using the pendant drop method under normal gravity conditions. The spinning drop method is also more sensitive to small changes in IFT compared to the pendant drop method. However, the method requires specialized equipment and expertise to set up and perform and can be affected by various experimental parameters, such as the rotation rate and the size of the droplet [161].
- Phase behavior experiments. Phase behavior experiments involve preparing mixtures of two immiscible liquids, such as crude oil and water, with different concentrations of surfactant and/or different salinity levels. The mixtures are typically stirred and heated to allow equilibration, and the resulting phases are then observed and characterized. The phase behavior can be analyzed using various techniques, such as visual inspection, optical microscopy, and turbidity measurements. The IFT between the two liquids can also be measured using techniques such as the pendant drop or spinning drop method. Phase behavior experiments can provide valuable information on the effect of surfactant concentration, salinity, and other parameters on the formation of microemulsions and can help to optimize the design of EOR processes [162].
- Microemulsion titration method. In this method, a surfactant is added to the two liquids, and the mixture is titrated with a third liquid (e.g., an alcohol or an amine), while the IFT is monitored. The surfactant concentration can be adjusted to minimize the IFT, and the concentration at which the minimum IFT occurs can be used to determine the optimal surfactant concentration for forming a stable microemulsion. This method can be used to test the effect of different parameters, such as salinity and crude oil viscosity, on the formation of microemulsions. It is important to note that the microemulsion titration method is a technique for determining the optimal concentration of surfactant needed to form a stable microemulsion and not a method used to measure IFT in oil–water systems. The microemulsion titration method involves adding a surfactant to a mixture of two immiscible liquids (coarse emulsion), and then titrating the mixture with a third liquid (a cosurfactant which is usually a medium-chain-length alcohol) to form a stable microemulsion while simultaneously measuring the IFT. The concentration of surfactant is adjusted to minimize the IFT, and the concentration at which the minimum IFT occurs is taken as the optimal surfactant concentration for forming a stable microemulsion. The microemulsion titration method is useful for studying the effect of surfactant concentration, salinity, and other parameters on the formation of microemulsions, and can help to optimize the design of EOR processes. One limitation of the method is that it requires careful selection of the titrant liquid and the surfactant system to ensure accurate and reliable results [163].
6. Use, Application, and Effectiveness of Biosurfactants in EOR Processes
Challenges and Limitations of Implementing Biosurfactant-Based Technologies in EOR
7. Future Perspectives
- Developing novel biosurfactant-producing microorganisms and biosurfactant types that can adapt to harsh reservoir conditions, such as high salinity, temperature, pressure, or acidity. This could involve genetic engineering, metabolic engineering, or synthetic biology approaches to enhance the biosurfactant production and performance of microorganisms.
- Exploring the synergistic effects of biosurfactants with other EOR agents, such as polymers, nanoparticles, gases, or enzymes. This could involve designing and testing novel biosurfactant-based formulations or systems that can improve the oil recovery efficiency and reduce the operational costs and environmental impacts of EOR.
- Investigating the mechanisms and kinetics of biosurfactant interactions with oil, water, rock, and other reservoir components. This could involve using advanced analytical techniques, such as spectroscopy, microscopy, rheology, or chromatography, to characterize the physicochemical and biological properties and behaviors of biosurfactants in the reservoir system.
- Developing reliable and robust models and methods for predicting and optimizing the biosurfactant performance and efficiency in the reservoir. This could involve using artificial intelligence, machine learning, or data mining techniques to analyze and integrate the data from laboratory experiments, numerical simulations, and field trials.
- Evaluating and mitigating the environmental impact and sustainability issues of biosurfactant production and injection in EOR. This could involve conducting a life cycle assessment, environmental risk assessment, or social impact assessment of biosurfactant application in EOR. It could also involve developing strategies for reducing energy and water consumption, minimizing chemical leakage or spillage, enhancing biodegradability or recyclability, or improving the social acceptance or awareness of biosurfactant applications in EOR.
8. Conclusions
Author Contributions
Funding
Institutional Review Board Statement
Informed Consent Statement
Data Availability Statement
Conflicts of Interest
References
- Niu, J.; Liu, Q.; Lv, J.; Peng, B. Review on microbial enhanced oil recovery: Mechanisms, modeling and field trials. J. Pet. Sci. Eng. 2020, 192, 107350. [Google Scholar] [CrossRef]
- Xi, W.; Ping, Y.; Alikhani, M.A. A Review on Biosurfactant Applications in the Petroleum Industry. Int. J. Chem. Eng. 2021, 2021, 5477185. [Google Scholar] [CrossRef]
- De Almeida, D.G.; Soares Da Silva, R.d.C.F.; Luna, J.M.; Rufino, R.D.; Santos, V.A.; Banat, I.M.; Sarubbo, L.A. Biosurfactants: Promising Molecules for Petroleum Biotechnology Advances. Front. Microbiol. 2016, 7, 1718. [Google Scholar] [CrossRef] [PubMed]
- Silva, R.D.C.F.S.; Almeida, D.G.; Rufino, R.D.; Luna, J.M.; Santos, V.A.; Sarubbo, L.A. Applications of Biosurfactants in the Petroleum Industry and the Remediation of Oil Spills. Int. J. Mol. Sci. 2014, 15, 12523–12542. [Google Scholar] [CrossRef] [PubMed]
- Elraies, K.A.; Tan, I.M. The Application of a New Polymeric Surfactant for Chemical EOR. In Introduction to Enhanced Oil Recovery (EOR) Processes and Bioremediation of Oil-Contaminated Sites; Romero-Zerón, L., Ed.; IntechOpen: Rijeka, Croatia, 2012. [Google Scholar]
- Kåberger, T. Progress of renewable electricity replacing fossil fuels. Glob. Energy Interconnect. 2018, 1, 48–52. [Google Scholar]
- Demirbas, M.; Balat, M. Recent advances on the production and utilization trends of bio-fuels: A global perspective. Energy Convers. Manag. 2006, 47, 2371–2381. [Google Scholar] [CrossRef]
- Naik, S.N.; Goud, V.V.; Rout, P.K.; Dalai, A.K. Production of first and second generation biofuels: A comprehensive review. Renew. Sustain. Energy Rev. 2010, 14, 578–597. [Google Scholar] [CrossRef]
- Chisti, Y. Biodiesel from microalgae. Biotechnol. Adv. 2007, 25, 294–306. [Google Scholar] [CrossRef]
- IEA World Energy Outlook 2022. Available online: https://www.iea.org/reports/world-energy-outlook-2022 (accessed on 18 December 2023).
- Pillapi, P.; Mariyate, J.; Lall, U. Application of Sustainable Natural Surfactants for Enhanced Residual Oil Recovery in Petroleum Industry. EasyChair 2022, 9259. [Google Scholar]
- Alsabagh, A.M.; Aboulrous, A.A.; Abdelhamid, M.M.; Mahmoud, T.; Haddad, A.S.; Rafati, R. Improvement of Heavy Oil Recovery by Nonionic Surfactant/Alcohol Flooding in Light of the Alkane Carbon Number and Interfacial Tension Properties. ACS Omega 2021, 6, 18668–18683. [Google Scholar] [CrossRef]
- He, C.; Fan, Z.; Xu, A.; Zhao, L. Foamy oil properties and horizontal well inflow performance relationship under solution gas drive. Geosystem Eng. 2019, 22, 151–160. [Google Scholar] [CrossRef]
- Tayari, F.; Blumsack, S.; Johns, R.T.; Tham, S.; Ghosh, S. Techno-economic assessment of reservoir heterogeneity and permeability variation on economic value of enhanced oil recovery by gas and foam flooding. J. Pet. Sci. Eng. 2018, 166, 913–923. [Google Scholar] [CrossRef]
- Aljuboori, F.A.; Lee, J.H.; Elraies, K.A.; Stephen, K.D. Gravity Drainage Mechanism in Naturally Fractured Carbonate Reservoirs; Review and Application. Energies 2019, 12, 3699. [Google Scholar] [CrossRef]
- Gudiña, E.J.; Pereira, J.F.B.; Costa, R.; Coutinho, J.A.P.; Teixeira, J.A.; Rodrigues, L.R. Biosurfactant-producing and oil-degrading Bacillus subtilis strains enhance oil recovery in laboratory sand-pack columns. J. Hazard. Mater. 2013, 261, 106–113. [Google Scholar] [CrossRef] [PubMed]
- Gyan, P.S.; Xie, C.; Brantson, E.T.; Atuahene, S. Computer modeling and simulation for undersaturated primary drive recovery mechanism. Adv. Mech. Eng. 2019, 11, 1687814019841948. [Google Scholar] [CrossRef]
- Massarweh, O.; Abushaikha, A.S. The use of surfactants in enhanced oil recovery: A review of recent advances. Energy Reports 2020, 6, 3150–3178. [Google Scholar] [CrossRef]
- Haq, B.; Liu, J.; Liu, K.; Al Shehri, D. The role of biodegradable surfactant in microbial enhanced oil recovery. J. Pet. Sci. Eng. 2020, 189, 106688. [Google Scholar] [CrossRef]
- Sen, R. Biotechnology in petroleum recovery: The microbial EOR. Prog. Energy Combust. Sci. 2008, 34, 714–724. [Google Scholar] [CrossRef]
- Thomas, S. Enhanced Oil Recovery—An Overview. Oil Gas Sci. Technol. Rev. 2007, 63, 9–19. [Google Scholar] [CrossRef]
- Anastas, P.; Eghbali, N. Green Chemistry: Principles and Practice. Chem. Soc. Rev. 2010, 39, 301–312. [Google Scholar] [CrossRef]
- Pinazo, A.; Pons, R.; Pérez, L.; Infante, M.R. Amino Acids as Raw Material for Biocompatible Surfactants. Ind. Eng. Chem. Res. 2011, 50, 4805–4817. [Google Scholar] [CrossRef]
- Md, F. Biosurfactant: Production and Application. J. Pet. Environ. Biotechnol. 2012, 3, 124. [Google Scholar] [CrossRef]
- Caputo, P.; Calandra, P.; Loise, V.; Pera, A.L.; Putz, A.-M.; Abe, A.A.; Madeo, L.; Teltayev, B.; Luprano, M.L.; Alfè, M.; et al. When Physical Chemistry Meets Circular Economy to Solve Environmental Issues: How the ReScA Project Aims at Using Waste Pyrolysis Products to Improve and Rejuvenate Bitumens. Sustainability 2022, 14, 5790. [Google Scholar] [CrossRef]
- Abe, A.A.; Oliviero Rossi, C.; Caputo, P. Biomaterials and Their Potentialities as Additives in Bitumen Technology: A Review. Molecules 2022, 27, 8826. [Google Scholar] [CrossRef] [PubMed]
- Gusmão, C.; Rufino, R.; Sarubbo, L. Laboratory production and characterization of a new biosurfactant from Candida glabrata UCP1002 cultivated in vegetable fat waste applied to the removal of hydrophobic contaminant. World J. Microbiol. Biotechnol. 2010, 26, 1683–1692. [Google Scholar] [CrossRef]
- Mukherjee, S.; Das, P.; Sen, R. Towards commercial production of microbial surfactants. Trends Biotechnol. 2006, 24, 509–515. [Google Scholar] [CrossRef] [PubMed]
- Shaligram, N.S.; Singhal, R.S. Surfactin—A Review on Biosynthesis, Fermentation, Purification and Applications. Food Technol. Biotechnol. 2010, 48, 119–134. [Google Scholar]
- Youssef, N.; Simpson, D.; Duncan, K.; Mcinerney, M.; Folmsbee, M.; Fincher, T.; Knapp, R. In Situ Biosurfactant Production by Bacillus Strains Injected into a Limestone Petroleum Reservoir. Appl. Environ. Microbiol. 2006, 73, 1239–1247. [Google Scholar] [CrossRef]
- Li, G.; Chen, L.; Ruan, Y.; Guo, Q.; Liao, X.; Zhang, B. Alkyl polyglycoside: A green and efficient surfactant for enhancing heavy oil recovery at high-temperature and high-salinity condition. J. Pet. Explor. Prod. Technol. 2019, 9, 2671–2680. [Google Scholar] [CrossRef]
- Mosalman Haghighi, O.; Mohsenatabar Firozjaii, A. An experimental investigation into enhancing oil recovery using combination of new green surfactant with smart water in oil-wet carbonate reservoir. J. Pet. Explor. Prod. Technol. 2020, 10, 893–901. [Google Scholar] [CrossRef]
- Wu, B.; Xiu, J.; Yu, L.; Huang, L.; Yi, L.; Ma, Y. Biosurfactant production by Bacillus subtilis SL and its potential for enhanced oil recovery in low permeability reservoirs. Sci. Rep. 2022, 12, 7785. [Google Scholar] [CrossRef] [PubMed]
- Haq, B. Green Enhanced Oil Recovery for Carbonate Reservoirs. Polymers 2021, 13, 3269. [Google Scholar] [CrossRef] [PubMed]
- Putra, W.; Hakiki, F. Microbial enhanced oil recovery: Interfacial tension and biosurfactant-bacteria growth. J. Pet. Explor. Prod. Technol. 2019, 9, 2353–2374. [Google Scholar] [CrossRef]
- De, S.; Malik, S.; Ghosh, A.; Saha, R.; Saha, B. A review on natural surfactants. RSC Adv. 2015, 5, 65757–65767. [Google Scholar] [CrossRef]
- Bragoni, V.; Rit, R.K.; Kirchmann, R.; Trita, A.S.; Gooßen, L.J. Synthesis of bio-based surfactants from cashew nutshell liquid in water. Green Chem. 2018, 20, 3210–3213. [Google Scholar] [CrossRef]
- Yusoff, M.F.M.; Xu, X.; Guo, Z. Comparison of Fatty Acid Methyl and Ethyl Esters as Biodiesel Base Stock: A Review on Processing and Production Requirements. J. Am. Oil Chem. Soc. 2014, 91, 525–531. [Google Scholar] [CrossRef]
- Perinelli, D.R.; Casettari, L.; Cespi, M.; Fini, F.; Man, D.K.W.; Giorgioni, G.; Canala, S.; Lam, J.K.W.; Bonacucina, G.; Palmieri, G.F. Chemical–physical properties and cytotoxicity of N-decanoyl amino acid-based surfactants: Effect of polar heads. Colloids Surfaces A Physicochem. Eng. Asp. 2016, 492, 38–46. [Google Scholar] [CrossRef]
- Hutchinson, J.C.; Lee, J.; Eigley, T.M.; Krueger, R.A. Method of Making Methyl Ester Surfactants. U.S. Patent 10/534,244, 29 June 2006. [Google Scholar]
- Hirasaki, G.J.; Miller, C.A.; Puerto, M. Recent Advances in Surfactant EOR. SPE J. 2011, 16, 889–907. [Google Scholar] [CrossRef]
- Angelico, R.; Ceglie, A.; Cuomo, F.; Cardellicchio, C.; Mascolo, G.; Colafemmina, G. Catanionic Systems from Conversion of Nucleotides into Nucleo-Lipids. Langmuir 2008, 24, 2348–2355. [Google Scholar] [CrossRef]
- Cuomo, F.; Lopez, F.; Angelico, R.; Colafemmina, G.; Ceglie, A. Nucleotides and nucleolipids derivatives interaction effects during multi-lamellar vesicles formation. Colloids Surfaces B Biointerfaces 2008, 64, 184–193. [Google Scholar] [CrossRef]
- Angelico, R.; Ambrosone, L.; Ceglie, A.; Losito, I.; De Zio, G.; Palmisano, F. Complementary amphiphilic ribonucleotides confined into nanostructured environments. Phys. Chem. Chem. Phys. 2010, 12, 7977–7987. [Google Scholar] [CrossRef] [PubMed]
- Angelico, R.; Losito, I.; Cuomo, F.; Ceglie, A.; Palmisano, F. Alkylation of complementary ribonucleotides in nanoreactors. Phys. Chem. Chem. Phys. 2013, 15, 586–595. [Google Scholar] [CrossRef] [PubMed]
- Rahmati, M.; Mashayekhi, M.; Songolzadeh, R.; Daryasafar, A. Effect of Natural Leaf-derived Surfactants on Wettability Alteration and Interfacial Tension Reduction in Water-oil System: EOR Application. J. Japan Pet. Inst. 2015, 58, 245–251. [Google Scholar] [CrossRef]
- Yusuf, M.; Wathon, M.H.; Thanasaksukthawee, V.; Saul, A.; Tangparitkul, S. Adsorption of Saponin Natural Surfactant on Carbonate Rock and Comparison to Synthetic Surfactants: An Enhanced Oil Recovery Prospective. Energy Fuels 2021, 35, 11193–11202. [Google Scholar] [CrossRef]
- Norouzpour, M.; Nabipour, M.; Azdarpour, A.; Akhondzadeh, H.; Santos, R.M.; Keshavarz, A. Experimental investigation of the effect of a quinoa-derived saponin-based green natural surfactant on enhanced oil recovery. Fuel 2022, 318, 123652. [Google Scholar] [CrossRef]
- Pordel Shahri, M.; Shadizadeh, S.R.; Jamialahmadi, M. Applicability Test of New Surfactant Produced from Zizyphus Spina-Christi Leaves for Enhanced Oil Recovery in Carbonate Reservoirs. J. Japan Pet. Inst. 2012, 55, 27–32. [Google Scholar] [CrossRef]
- Fazio, A.; La Torre, C.; Caroleo, M.C.; Caputo, P.; Plastina, P.; Cione, E. Isolation and Purification of Glucans from an Italian Cultivar of Ziziphus jujuba Mill. and In Vitro Effect on Skin Repair. Molecules 2020, 25, 968. [Google Scholar] [CrossRef]
- Zhang, Q.-Q.; Cai, B.-X.; Xu, W.-J.; Gang, H.-Z.; Liu, J.-F.; Yang, S.-Z.; Mu, B.-Z. Novel zwitterionic surfactant derived from castor oil and its performance evaluation for oil recovery. Colloids Surfaces A Physicochem. Eng. Asp. 2015, 483, 87–95. [Google Scholar] [CrossRef]
- Tadros, T.; Vandamme, A.; Levecke, B.; Booten, K.; Stevens, C.V. Stabilization of emulsions using polymeric surfactants based on inulin. Adv. Colloid Interface Sci. 2004, 108–109, 207–226. [Google Scholar] [CrossRef]
- Cao, Y.; Li, H. Interfacial activity of a novel family of polymeric surfactants. Eur. Polym. J. 2002, 38, 1457–1463. [Google Scholar] [CrossRef]
- Gurkok, S.; Ozdal, M. Microbial Biosurfactants: Properties, Types, and Production. J. Biol. 2021, 2, 2–7. [Google Scholar]
- Faustino, C.M.C.; Serafim, C.S.; Ferreira, I.N.; Branco, M.A.; Calado, A.R.T.; Garcia-Rio, L. Mixed Micelle Formation between an Amino Acid-Based Anionic Gemini Surfactant and Bile Salts. Ind. Eng. Chem. Res. 2014, 53, 10112–10118. [Google Scholar] [CrossRef]
- Castro, M.J.L.; Kovensky, J.; Fernández Cirelli, A. New Family of Nonionic Gemini Surfactants. Determination and Analysis of Interfacial Properties. Langmuir 2002, 18, 2477–2482. [Google Scholar] [CrossRef]
- Kamal, M.S.; Hussein, I.A.; Sultan, A.S. Review on Surfactant Flooding: Phase Behavior, Retention, IFT, and Field Applications. Energy Fuels 2017, 31, 7701–7720. [Google Scholar] [CrossRef]
- Wang, J.; Wang, D.; Shang, S. Research progress in Gemini surfactants from natural products. Chem. Ind. Eng. Progree 2021, 31, 2761–2765. [Google Scholar]
- Afolabi, F.; Mahmood, S.M.; Yekeen, N.; Akbari, S.; Sharifigaliuk, H. Polymeric surfactants for enhanced oil recovery: A review of recent progress. J. Pet. Sci. Eng. 2022, 208, 109358. [Google Scholar] [CrossRef]
- Yang, P.; Li, Z.; Xia, B.; Yuan, Y.-J.; Huang, Q.; Liu, W.-L.; Cheng, C. Comprehensive Review of Alkaline–Surfactant–Polymer (ASP)-Enhanced Oil Recovery (EOR); Springer: Singapore, 2019; pp. 858–872. ISBN 978-981-10-7559-9. [Google Scholar]
- Sheng, J.J. Critical review of low-salinity waterflooding. J. Pet. Sci. Eng. 2014, 120, 216–224. [Google Scholar] [CrossRef]
- Lazar, I.; Petrisor, I.G.; Yen, T.F. Microbial Enhanced Oil Recovery (MEOR). Pet. Sci. Technol. 2007, 25, 1353–1366. [Google Scholar] [CrossRef]
- Strappa, L.A.; De Lucia, J.P.; Maure, M.A.; Llopiz, M.L.L. A Novel and Successful MEOR Pilot Project in a Strong Water-Drive Reservoir Vizcacheras Field, Argentina. In Proceedings of the SPE Improved Oil Recovery Conference, Tulsa, OK, USA, 17–21 April 2004; Volume All Days, p. SPE-89456-MS. [Google Scholar]
- Davidson, S.; Russell, H.A. A MEOR pilot test in the Loco field. In Proceedings of the Symposium on the Application of Microorganisms to Petroleum Technology, Midland, TX, USA, 10–11 March 1988. [Google Scholar]
- Gao, C. Experiences of microbial enhanced oil recovery in Chinese oil fields. J. Pet. Sci. Eng. 2018, 166, 55–62. [Google Scholar] [CrossRef]
- Maudgalya, S.; Knapp, R.; Mcinerney, M. Microbial Enhanced-Oil-Recovery Technologies: A Review of the Past, Present, and Future. In Proceedings of the SPE Oklahoma City Oil and Gas Symposium/Production and Operations Symposium, Oklahoma City, OK, USA, 31 March–3 April 2007. [Google Scholar]
- Cao, J. Impact of Biofilm Formation in Microbial Enhanced Oil Recovery Performance; University of Calgary: Calgary, AB, Canada, 2018. [Google Scholar]
- Zahari, I.; Omar, M.; Khor, F.; Elias, E.; Mohamad, O. Simulation Analysis of Microbial Well Treatment of Bokor Field, Malaysia. In Proceedings of the SPE Asia Pacific Oil and Gas Conference and Exhibition, Perth, Australia, 18–20 October 2004. [Google Scholar] [CrossRef]
- Sabut, B.; Salim, M.; Hamid, A.; Khor, F. Further Evaluation of Microbial Treatment Technology for Improved Oil Production in Bokor Field, Sarawak. In Proceedings of the SPE International Improved Oil Recovery Conference in Asia Pacific, Kuala Lumpur, Malaysia, 20–21 October 2003. [Google Scholar] [CrossRef]
- Patel, J.; Borgohain, S.; Kumar, M.; Rangarajan, V.; Somasundaran, P.; Sen, R. Recent developments in microbial enhanced oil recovery. Renew. Sustain. Energy Rev. 2015, 52, 1539–1558. [Google Scholar] [CrossRef]
- Rassenfoss, S. From Bacteria to Barrels: Microbiology Having an Impact on Oil Fields. J. Pet. Technol. 2011, 63, 32–38. [Google Scholar] [CrossRef]
- Bordoloi, N.K.; Konwar, B.K. Microbial surfactant-enhanced mineral oil recovery under laboratory conditions. Colloids Surf. B. Biointerfaces 2008, 63, 73–82. [Google Scholar] [CrossRef]
- Safdel, M.; Anbaz, M.; Daryasafar, A.; Jamialahmadi, M. Microbial enhanced oil recovery, a critical review on worldwide implemented field trials in different countries. Renew. Sustain. Energy Rev. 2017, 74, 159–172. [Google Scholar] [CrossRef]
- Reksidler, R.; Torres Volpon, A.G.; Barbosa, L.C.; Brasileiro, C.G.; Nicolau, H.C.; de Calasans, J.A. A Microbial Enhanced Oil Recovery Field Pilot in a Brazilian Onshore Oilfield. In Proceedings of the SPE Improved Oil Recovery Symposium, Tulsa, OK, USA, 24–28 April 2010; Volume All Days, p. SPE-129930-MS. [Google Scholar]
- Raiders, R.A.; Knapp, R.M.; McInerney, M.J. Microbial selective plugging and enhanced oil recovery. J. Ind. Microbiol. 1989, 4, 215–229. [Google Scholar] [CrossRef]
- Bubela, B. Chapter 4 Geobiology and Microbiologically Enhanced Oil Recovery. In Microbial Enhanced Oil Recovery; Donaldson, E.C., Chilingarian, G.V., Yen, T.F., Eds.; Developments in Petroleum Science; Elsevier: Amsterdam, The Netherlands, 1989; Volume 22, pp. 75–97. [Google Scholar]
- Marsh, T.L.; Zhang, X.; Knapp, R.M.; McInerney, M.J.; Sharma, P.K.; Jackson, B.E. Mechanisms of Microbial Oil Recovery by Clostridium Acetobutylicum and Bacillus Strain JF-2; BDM Oklahoma, Inc.: Bartlesville, OK, USA, 1995. [Google Scholar]
- Kianipey, S.A.; Donaldson, E.C. Mechanisms of Oil Displacement by Microorganisms; Society of Petroleum Engineers: Richardson, TX, USA, 1986. [Google Scholar]
- Liu, K.; Wei, X. Oil Recovery: Experiences and Economics of Microbially Enhanced Oil Recovery (MEOR) BT—Consequences of Microbial Interactions with Hydrocarbons, Oils, and Lipids: Production of Fuels and Chemicals; Lee, S.Y., Ed.; Springer International Publishing: Cham, Switzerland, 2017; ISBN 978-3-319-31421-1. [Google Scholar]
- Volk, H.; Liu, K. 3° Oil Recovery: Experiences and Economics of Microbially Enhanced Oil Recovery (MEOR) BT—Handbook of Hydrocarbon and Lipid Microbiology; Timmis, K.N., Ed.; Springer: Berlin, Heidelberg, 2010; pp. 2739–2751. ISBN 978-3-540-77587-4. [Google Scholar]
- Yernazarova, A.; Kayirmanova, G.; Zhubanova, A.B. Microbial Enhanced Oil Recovery; Romero-Zeron, L., Ed.; IntechOpen: Rijeka, Croatia, 2016; p. Ch. 5. ISBN 978-953-51-2701-7. [Google Scholar]
- Shafiai, S.; Gohari, A. Conventional and electrical EOR review: The development trend of ultrasonic application in EOR. J. Pet. Explor. Prod. Technol. 2020, 10, 2923–2945. [Google Scholar] [CrossRef]
- Mokheimer, E.M.A.; Hamdy, M.; Abubakar, Z.; Shakeel, M.R.; Habib, M.A.; Mahmoud, M. A Comprehensive Review of Thermal Enhanced Oil Recovery: Techniques Evaluation. J. Energy Resour. Technol. 2018, 141, 030801. [Google Scholar] [CrossRef]
- Song, Z.-J.; Li, M.; Zhao, C.; Yang, Y.-L.; Hou, J.-R. Gas injection for enhanced oil recovery in two-dimensional geology-based physical model of Tahe fractured-vuggy carbonate reservoirs: Karst fault system. Pet. Sci. 2020, 17, 419–433. [Google Scholar] [CrossRef]
- Iino, A.; Onishi, T.; Datta-Gupta, A. Optimizing CO2- and Field-Gas-Injection EOR in Unconventional Reservoirs Using the Fast-Marching Method. SPE Reserv. Eval. Eng. 2020, 23, 261–281. [Google Scholar] [CrossRef]
- Azin, R.; Izadpanahi, A.; Shahkarami, A. Introduction to Gas Injection BT—Fundamentals and Practical Aspects of Gas Injection; Azin, R., Izadpanahi, A., Eds.; Springer International Publishing: Cham, Switzerland, 2022; pp. 1–22. ISBN 978-3-030-77200-0. [Google Scholar]
- Edouard, M.N.; Dong, P.; Okere, C.J.; Nkok, L.Y.; Adoum, A.Y.; muchiri, N.D.; Xiaodong, G.; Jacques, F.N.; Prosper, S.K. Optimization of triple-alternating-gas (TAG) injection technique for enhanced oil recovery in tight oil reservoirs. J. Pet. Explor. Prod. Technol. 2022, 12, 215–225. [Google Scholar] [CrossRef]
- Golabi, E.; Ruhollah, S.; Sogh, M.; Hosseni, S.; Gholamzadeh, M. Biosurfactant Production by Microorganism for Enhanced Oil Recovery. Int. J. Sci. Eng. Res. 2012, 3, 1–6. [Google Scholar]
- Samanta, A. Biosurfactants and Its Application in Oil Recovery; Springer International Publishing: Cham, Switzerland, 2021; pp. 181–205. ISBN 978-3-030-70025-6. [Google Scholar]
- Sari, C.N.; Hertadi, R.; Gozan, M.; Roslan, A.M. Factors Affecting the Production of Biosurfactants and their Applications in Enhanced Oil Recovery (EOR). A Review. IOP Conf. Ser. Earth Environ. Sci. 2019, 353, 12048. [Google Scholar] [CrossRef]
- Geetha, S.J.; Banat, I.M.; Joshi, S.J. Biosurfactants: Production and potential applications in microbial enhanced oil recovery (MEOR). Biocatal. Agric. Biotechnol. 2018, 14, 23–32. [Google Scholar] [CrossRef]
- Chen, I.-C.; Lee, M.-T. Rhamnolipid Biosurfactants for Oil Recovery: Salt Effects on the Structural Properties Investigated by Mesoscale Simulations. ACS Omega 2022, 7, 6223–6237. [Google Scholar] [CrossRef]
- Salehizadeh, H.; Mohammadizad, S. Microbial enhanced oil recovery using biosurfactant produced by Alcaligenes faecalis. Iran. J. Biotechnol. 2009, 7, 216–223. [Google Scholar]
- McInerney, M.J.; Duncan, K.E.; Youssef, N.; Fincher, T.; Maudgalya, S.K.; Folmsbee, M.J.; Knapp, R.; Simpson, R.R.; Ravi, N.; Nagle, D. Development of Microorganisms with Improved Transport and Biosurfactant Activity for Enhanced Oil Recovery; University of Oklahoma: Norman, OK, USA, 2005. [Google Scholar]
- Sharma, J.; Sundar, D.; Srivastava, P. Advantages and Disadvantages of Biosurfactants over Other Synthetic Surfactants. In Advancements in Biosurfactants Research; Springer Nature Switzerland: Cham, Switzerland, 2023; pp. 505–525. [Google Scholar]
- Sarubbo, L.A.; Silva, M.d.G.C.; Durval, I.J.B.; Bezerra, K.G.O.; Ribeiro, B.G.; Silva, I.A.; Twigg, M.S.; Banat, I.M. Biosurfactants: Production, properties, applications, trends, and general perspectives. Biochem. Eng. J. 2022, 181, 108377. [Google Scholar] [CrossRef]
- Lourdes, R.S.; Cheng, S.Y.; Chew, K.W.; Ma, Z.; Show, P.L. Prospects of microbial enhanced oil recovery: Mechanisms and environmental sustainability. Sustain. Energy Technol. Assessments 2022, 53, 102527. [Google Scholar] [CrossRef]
- Jahan, R.; Bodratti, A.M.; Tsianou, M.; Alexandridis, P. Biosurfactants, natural alternatives to synthetic surfactants: Physicochemical properties and applications. Adv. Colloid Interface Sci. 2020, 275, 102061. [Google Scholar] [CrossRef]
- Bera, A.; Kumar, S.; Foroozesh, J. Chapter 1—Biosurfactant Role in Microbial Enhanced Oil Recovery. In Green Sustainable Process for Chemical and Environmental Engineering and Science; Inamuddin, Adetunji, C.O., Asiri, A.M., Eds.; Elsevier: Amsterdam, The Netherlands, 2021; pp. 1–33. ISBN 978-0-12-823380-1. [Google Scholar]
- Pandey, G.; Poothia, T.; Singh, J.; Sangwai, J.S. Chapter 7—Microbial Enhanced Oil Recovery: Application of Biosurfactants in Oil and Gas Industry. In Challenges and Recent Advances in Sustainable Oil and Gas Recovery and Transportation; Joshi, S., Jadhawar, P., Kumar, A., Eds.; Gulf Professional Publishing: Houston, TX, USA, 2023; pp. 159–176. ISBN 978-0-323-99304-3. [Google Scholar]
- Calandra, P.; Giordano, C.; Ruggirello, A.; Turco Liveri, V. Physicochemical investigation of acrylamide solubilization in sodium bis(2-ethylhexyl)sulfosuccinate and lecithin reversed micelles. J. Colloid Interface Sci. 2004, 277, 206–214. [Google Scholar] [CrossRef]
- Yamada, M.; Honma, I. Anhydrous Protonic Conductivity of a Self-Assembled Acid–Base Composite Material. J. Phys. Chem. B 2004, 108, 5522–5526. [Google Scholar] [CrossRef]
- Kim, J.; Honma, I. Anhydrous solid state proton conductor based on benzimidazole/monododecyl phosphate melecular hybrids. Solid State Ionics 2005, 176, 979–984. [Google Scholar] [CrossRef]
- Calandra, P.; Ruggirello, A.; Mele, A.; Liveri, V.T. Self-assembly in surfactant-based liquid mixtures: Bis(2-ethylhexyl)phosphoric acid/bis(2-ethylhexyl)amine systems. J. Colloid Interface Sci. 2010, 348, 183–188. [Google Scholar] [CrossRef]
- Nagarajan, R.; Ruckenstein, E. Theory of surfactant self-assembly: A predictive molecular thermodynamic approach. Langmuir 1991, 7, 2934–2969. [Google Scholar] [CrossRef]
- Saranraij, P.; Sivasakthivelan, P.; Hamzah, K.; Hasan, M.; Al Tawaha, A.R. Microbial Fermentation Technology for Biosurfactants Production; CRC Press: Boca Raton, FL, USA, 2022; pp. 25–43. ISBN 9781003247739. [Google Scholar]
- Das, A.J.; Kumar, R. Utilization of agro-industrial waste for biosurfactant production under submerged fermentation and its application in oil recovery from sand matrix. Bioresour. Technol. 2018, 260, 233–240. [Google Scholar] [CrossRef]
- Costa, J.A.V.; Treichel, H.; Santos, L.O.; Martins, V.G. Chapter 16—Solid-State Fermentation for the Production of Biosurfactants and Their Applications. In Current Developments in Biotechnology and Bioengineering; Pandey, A., Larroche, C., Soccol, C.R., Eds.; Elsevier: Amsterdam, The Netherlands, 2018; pp. 357–372. ISBN 978-0-444-63990-5. [Google Scholar]
- Bachari, Z.; Isari, A.; Mahmoudi, H.; Moradi, S.; Hamed Mahvelati, E. Application of Natural Surfactants for Enhanced Oil Recovery—Critical Review. IOP Conf. Ser. Earth Environ. Sci. 2019, 221, 12039. [Google Scholar] [CrossRef]
- Satpute, S.K.; Banpurkar, A.G.; Dhakephalkar, P.K.; Banat, I.M.; Chopade, B.A. Methods for investigating biosurfactants and bioemulsifiers: A review. Crit. Rev. Biotechnol. 2010, 30, 127–144. [Google Scholar] [CrossRef]
- Kregiel, D.; Berlowska, J.; Witonska, I.; Antolak, H.; Proestos, C.; Babic, M.; Zhang, L.B. Saponin-Based, Biological-Active Surfactants from Plants; Najjar, R., Ed.; IntechOpen: Rijeka, Croatia, 2017; p. Ch. 6. ISBN 978-953-51-3326-1. [Google Scholar]
- Negin, C.; Ali, S.; Xie, Q. Most common surfactants employed in chemical enhanced oil recovery. Petroleum 2017, 3, 197–211. [Google Scholar] [CrossRef]
- Abe, A.A.; Rossi, C.O.; Eskandarsefat, S.; Porto, M.; Loise, V.; Venturini, L.; Caputo, P. Reclaimed asphalt recycling agents: Looking into the blueprint of their mechanisms of action. Constr. Build. Mater. 2023, 363, 129843. [Google Scholar] [CrossRef]
- Folch, J.; Lees, M.; Stanley, G.H.S. A simple method for the isolation and purification of total lipides from animal tissues. J. Biol. Chem. 1957, 226, 497–509. [Google Scholar] [CrossRef]
- Santos, D.K.F.; Rufino, R.D.; Luna, J.M.; Santos, V.A.; Salgueiro, A.A.; Sarubbo, L.A. Synthesis and evaluation of biosurfactant produced by Candida lipolytica using animal fat and corn steep liquor. J. Pet. Sci. Eng. 2013, 105, 43–50. [Google Scholar] [CrossRef]
- Blesic, M.; Dichiarante, V.; Milani, R.; Linder, M.; Metrangolo, P. Evaluating the potential of natural surfactants in the petroleum industry: The case of hydrophobins. Pure Appl. Chem. 2018, 90, 305–314. [Google Scholar] [CrossRef]
- Ariadji, T.; Astuti, D.; Aditiawati, P.; Adhitya, I.; Persada, G. Microbial Huff and Puff Project at Mangunjaya Field Wells: The First in Indonesia Towards Successful MEOR Implementation. In Proceedings of the SPE/IATMI Asia Pacific Oil & Gas Conference and Exhibition, Jakarta, Indonesia, 17–19 October 2017. [Google Scholar]
- Morsi, B.I.; Baled, H.O. Enhanced Oil Recovery; IntechOpen: Rijeka, Croatia, 2022; ISBN 978-1-80355-826-4. [Google Scholar]
- Calandra, P.; Caponetti, E.; Chillura Martino, D.; D’Angelo, P.; Minore, A.; Turco Liveri, V. FT-IR and dielectric study of water/AOT liquid crystals. J. Mol. Struct. 2000, 522, 165–178. [Google Scholar] [CrossRef]
- Baldino, N.; Angelico, R.; Caputo, P.; Gabriele, D.; Rossi, C.O. Effect of high water salinity on the adhesion properties of model bitumen modified with a smart additive. Constr. Build. Mater. 2019, 225, 642–648. [Google Scholar] [CrossRef]
- Mehrabianfar, P.; Bahraminejad, H.; Manshad, A.K. An introductory investigation of a polymeric surfactant from a new natural source in chemical enhanced oil recovery (CEOR). J. Pet. Sci. Eng. 2021, 198, 108172. [Google Scholar] [CrossRef]
- Angelico, R.; Ceglie, A.; Cuomo, F. Reaction mixtures based on the CTAB-Dodecyl Epoxide-water microemulsion for the synthesis of novel Nucleo-Lipids. Colloids Surf. B. Biointerfaces 2009, 70, 68–75. [Google Scholar] [CrossRef]
- Nowrouzi, I.; Mohammadi, A.H.; Manshad, A.K. Characterization and evaluation of a natural surfactant extracted from Soapwort plant for alkali-surfactant-polymer (ASP) slug injection into sandstone oil reservoirs. J. Mol. Liq. 2020, 318, 114369. [Google Scholar] [CrossRef]
- Ahmadi, M.A.; Shadizadeh, S.R. Spotlight on the New Natural Surfactant Flooding in Carbonate Rock Samples in Low Salinity Condition. Sci. Rep. 2018, 8, 10985. [Google Scholar] [CrossRef]
- Calandra, P.; Di Marco, G.; Ruggirello, A.; Liveri, V.T. Physico-chemical investigation of nanostructures in liquid phases: Nickel chloride ionic clusters confined in sodium bis(2-ethylhexyl) sulfosuccinate reverse micelles. J. Colloid Interface Sci. 2009, 336, 176–182. [Google Scholar] [CrossRef]
- Treiber, L.E.; Owens, W.W. A Laboratory Evaluation of the Wettability of Fifty Oil-Producing Reservoirs. Soc. Pet. Eng. J. 1972, 12, 531–540. [Google Scholar] [CrossRef]
- Nafisifar, A.; Khaksar Manshad, A.; Reza Shadizadeh, S. Evaluation of a new green synthesized surfactant from linseeds-chemical EOR implications from sandstone petroleum reservoirs. J. Mol. Liq. 2021, 342, 117263. [Google Scholar] [CrossRef]
- Atta, D.Y.; Negash, B.M.; Yekeen, N.; Habte, A.D. A state-of-the-art review on the application of natural surfactants in enhanced oil recovery. J. Mol. Liq. 2021, 321, 114888. [Google Scholar] [CrossRef]
- Li, Z.; Xu, D.; Yuan, Y.; Wu, H.; Hou, J.; Kang, W.; Bai, B. Advances of spontaneous emulsification and its important applications in enhanced oil recovery process. Adv. Colloid Interface Sci. 2020, 277, 102119. [Google Scholar] [CrossRef]
- Zafeiri, I.; Horridge, C.; Tripodi, E.; Spyropoulos, F. Emulsions Co-Stabilised by Edible Pickering Particles and Surfactants: The Effect of HLB Value. Colloid Interface Sci. Commun. 2017, 17, 5–9. [Google Scholar] [CrossRef]
- Nguyen, T.T.; Morgan, C.; Poindexter, L.; Fernandez, J. Application of the Hydrophilic–Lipophilic Deviation Concept to Surfactant Characterization and Surfactant Selection for Enhanced Oil Recovery. J. Surfactants Deterg. 2019, 22, 983–999. [Google Scholar] [CrossRef]
- Griffin, W.C. Classification of surface-active agents by “HLB”. J. Soc. Cosmet. Chem. 1949, 1, 311–325. [Google Scholar]
- Israelachvili, J.N.; Mitchell, D.J.; Ninham, B.W. Theory of self-assembly of hydrocarbon amphiphiles into micelles and bilayers. J. Chem. Soc. Faraday Trans. 2 1976, 72, 1525–1568. [Google Scholar] [CrossRef]
- Abbott, S.J. Surfactant Science: Principles & Practice. DEStech Publications: Lancaster, PA, USA, 2017; ISBN 9781605954844. [Google Scholar]
- Sarmah, S.; Gogoi, S.B.; Xianfeng, F.; Baruah, A.A. Characterization and identification of the most appropriate nonionic surfactant for enhanced oil recovery. J. Pet. Explor. Prod. Technol. 2020, 10, 115–123. [Google Scholar] [CrossRef]
- Sheng, J. Modern Chemical Enhanced Oil Recovery: Theory and Practice. In Alkaline-Surfactant-Polymer Flooding; Gulf Professional Publishing: Houston, TX, USA, 2010; pp. 501–567. [Google Scholar]
- Marqués, A.M.; Pinazo, A.; Farfan, M.; Aranda, F.J.; Teruel, J.A.; Ortiz, A.; Manresa, A.; Espuny, M.J. The physicochemical properties and chemical composition of trehalose lipids produced by Rhodococcus erythropolis 51T7. Chem. Phys. Lipids 2009, 158, 110–117. [Google Scholar] [CrossRef]
- Bruheim, P.; Bredholt, H.; Eimhjellen, K. Bacterial degradation of emulsified crude oil and the effect of various surfactants. Can. J. Microbiol. 1997, 43, 17–22. [Google Scholar] [CrossRef]
- Noordman, W.H.; Wachter, J.H.J.; de Boer, G.J.; Janssen, D.B. The enhancement by surfactants of hexadecane degradation by Pseudomonas aeruginosa varies with substrate availability. J. Biotechnol. 2002, 94, 195–212. [Google Scholar] [CrossRef]
- Tartaro, G.; Mateos, H.; Schirone, D.; Angelico, R.; Palazzo, G. Microemulsion Microstructure(s): A Tutorial Review. Nanomaterials 2020, 10, 1657. [Google Scholar] [CrossRef]
- Marquez, R.; Ontiveros, J.; Barrios, N.; Tolosa, L.; Palazzo, G.; Nardello-Rataj, V.; Salager, J.-L. Advantages and limitations of different methods to determine the optimum formulation in surfactant-oil-water systems: A review. J. Surfactants Deterg. 2023. [Google Scholar] [CrossRef]
- Pal, S.; Mushtaq, M.; Banat, F.; Al Sumaiti, A.M. Review of surfactant-assisted chemical enhanced oil recovery for carbonate reservoirs: Challenges and future perspectives. Pet. Sci. 2018, 15, 77–102. [Google Scholar] [CrossRef]
- Chowdhury, S.; Shrivastava, S.; Kakati, A.; Sangwai, J.S. Comprehensive Review on the Role of Surfactants in the Chemical Enhanced Oil Recovery Process. Ind. Eng. Chem. Res. 2022, 61, 21–64. [Google Scholar] [CrossRef]
- Lu, J.; Liyanage, P.; Solairaj, S.; Adkins, S.; Arachchilage, G.P.; Kim, D.-H.; Britton, C.; Weerasooriya, U.; Pope, G. New surfactant Developments for chemical enhanced oil recovery. J. Pet. Sci. Eng. 2014, 120, 94–101. [Google Scholar] [CrossRef]
- Raffa, P.; Wever, D.A.Z.; Picchioni, F.; Broekhuis, A.A. Polymeric Surfactants: Synthesis, Properties, and Links to Applications. Chem. Rev. 2015, 115, 8504–8563. [Google Scholar] [CrossRef]
- Salager, J.L.; Morgan, J.C.; Schechter, R.S.; Wade, W.H.; Vasquez, E. Optimum Formulation of Surfactant/Water/Oil Systems for Minimum Interfacial Tension or Phase Behavior. Soc. Pet. Eng. J. 1979, 19, 107–115. [Google Scholar] [CrossRef]
- Salager, J.-L.; Marquez, N.; Graciaa, A.; Lachaise, J. Partitioning of Ethoxylated Octylphenol Surfactants in Microemulsion–Oil–Water Systems: Influence of Temperature and Relation between Partitioning Coefficient and Physicochemical Formulation. Langmuir 2000, 16, 5534–5539. [Google Scholar] [CrossRef]
- Acosta, E.; Szekeres, E.; Sabatini, D.A.; Harwell, J.H. Net-Average Curvature Model for Solubilization and Supersolubilization in Surfactant Microemulsions. Langmuir 2003, 19, 186–195. [Google Scholar] [CrossRef]
- Acosta, E.J.; Yuan, J.S.; Bhakta, A.S. The Characteristic Curvature of Ionic Surfactants. J. Surfactants Deterg. 2008, 11, 145–158. [Google Scholar] [CrossRef]
- Kunz, W.; Testard, F.; Zemb, T. Correspondence between Curvature, Packing Parameter, and Hydrophilic–Lipophilic Deviation Scales around the Phase-Inversion Temperature. Langmuir 2009, 25, 112–115. [Google Scholar] [CrossRef]
- Zarate Munoz, S.; Vasconcelos, F.; Myint Myat, K.; Minchom, J.; Acosta, E. A Simplified Methodology to Measure the Characteristic Curvature (Cc) of Alkyl Ethoxylate Nonionic Surfactants. J. Surfactants Deterg. 2016, 19, 249–263. [Google Scholar] [CrossRef]
- Salager, J.-L.; Forgiarini, A.M.; Bullón, J. How to Attain Ultralow Interfacial Tension and Three-Phase Behavior with Surfactant Formulation for Enhanced Oil Recovery: A Review. Part 1. Optimum Formulation for Simple Surfactant–Oil–Water Ternary Systems. J. Surfactants Deterg. 2013, 16, 449–472. [Google Scholar] [CrossRef]
- Hammond, C.E.; Acosta, E.J. On the Characteristic Curvature of Alkyl-Polypropylene Oxide Sulfate Extended Surfactants. J. Surfactants Deterg. 2012, 15, 157–165. [Google Scholar] [CrossRef]
- Witthayapanyanon, A.; Harwell, J.H.; Sabatini, D.A. Hydrophilic–lipophilic deviation (HLD) method for characterizing conventional and extended surfactants. J. Colloid Interface Sci. 2008, 325, 259–266. [Google Scholar] [CrossRef]
- Queste, S.; Salager, J.L.; Strey, R.; Aubry, J.M. The EACN scale for oil classification revisited thanks to fish diagrams. J. Colloid Interface Sci. 2007, 312, 98–107. [Google Scholar] [CrossRef]
- Forgiarini, A.M.; Marquez, R.; Salager, J.-L. Formulation Improvements in the Applications of Surfactant-Oil-Water Systems Using the HLD(N) Approach with Extended Surfactant Structure. Molecules 2021, 26, 3771. [Google Scholar] [CrossRef]
- Wang, S.; Chen, C.; Yuan, N.; Ma, Y.; Ogbonnaya, O.I.; Shiau, B.; Harwell, J.H. Design of extended surfactant-only EOR formulations for an ultrahigh salinity oil field by using hydrophilic lipophilic deviation (HLD) approach: From laboratory screening to simulation. Fuel 2019, 254, 115698. [Google Scholar] [CrossRef]
- Zhao, L.; Wang, J.; Zhang, X.; Guo, X.; Chen, L.; Zhang, A.; Cao, K.; Li, J. Experimental study on the evaluation of surfactant/polymer flooding for enhancing oil recovery in Kumkol Oil Field. J. Pet. Explor. Prod. Technol. 2023, 13, 853–864. [Google Scholar] [CrossRef]
- Belhaj, A.F.; Elraies, K.A.; Mahmood, S.M.; Zulkifli, N.N.; Akbari, S.; Hussien, O.S. The effect of surfactant concentration, salinity, temperature, and pH on surfactant adsorption for chemical enhanced oil recovery: A review. J. Pet. Explor. Prod. Technol. 2020, 10, 125–137. [Google Scholar] [CrossRef]
- Kamaei, E.; Manshad, A.K.; Shadizadeh, S.R.; Ali, J.A.; Keshavarz, A. Effect of the wettability alteration on the cementation factor of carbonate rocks using Henna extract. Materialia 2019, 8, 100440. [Google Scholar] [CrossRef]
- Viades-Trejo, J.; Gracia-Fadrique, J. Spinning drop method: From Young–Laplace to Vonnegut. Colloids Surfaces A Physicochem. Eng. Asp. 2007, 302, 549–552. [Google Scholar] [CrossRef]
- Al-Kindi, I.; Babadagli, T. Phase behavior of single and multi-component liquid hydrocarbons in real reservoir rocks. Sci. Rep. 2023, 13, 4507. [Google Scholar] [CrossRef]
- Malik, M.A.; Wani, M.Y.; Hashim, M.A. Microemulsion method: A novel route to synthesize organic and inorganic nanomaterials: 1st Nano Update. Arab. J. Chem. 2012, 5, 397–417. [Google Scholar] [CrossRef]
- Lal, B.; Reddy, M.; Agnihotri, A.; Kumar, A.; Sarbhai, M.; Singh, N.; Khurana, R.; Khazanchi, S.; Misra, T. A Process for Enhanced Recovery of Crude Oil from Oil Wells Using Novel Microbial Consortium. Patent WO/2005/005773, 2005. [Google Scholar]
- Arima, K.; Kakinuma, A.; Tamura, G. Surfactin, a crystalline peptidelipid surfactant produced by Bacillus subtilis: Isolation, characterization and its inhibition of fibrin clot formation. Biochem. Biophys. Res. Commun. 1968, 31, 488–494. [Google Scholar] [CrossRef]
- McInerney, J.J.; Han, S.O.; Maudgalya, S.; Mouttaki, H.; Folmsbee, M.; Knapp, R.; Nagle, D.; Jackson, B.E.; Stuadt, M.; Frey, W. Development of More Effective Biosurfactants for Enhanced Oil Recovery; National Petroleum Technology Office: Tulsa, OK, USA, 2003. [Google Scholar]
- Thomas, C.P.; Duvall, M.L.; Robertson, E.P.; Barrett, K.B.; Bala, G.A. Surfactant-Based EOR Mediated by Naturally Occurring Microorganisms. SPE Reserv. Eng. 1993, 8, 285–291. [Google Scholar] [CrossRef]
- Zhang, J.; Xue, Q.; Gao, H.; Lai, H.; Wang, P. Production of lipopeptide biosurfactants by Bacillus atrophaeus 5-2a and their potential use in microbial enhanced oil recovery. Microb. Cell Fact. 2016, 15, 168. [Google Scholar] [CrossRef]
- Tackie-Otoo, B.N.; Ayoub, M.; Tze, J.; Hassan, A. Experimental investigation of N-lauroyl sarcosine and N-lauroyl-L-glutamic acid as green surfactants for enhanced oil recovery application. J. Mol. Liq. 2022, 362, 119738. [Google Scholar] [CrossRef]
- Domdi, L.; Lakra, A.K.; Tilwani, Y.M.; Arul, V. Physico-chemical characterization of biosurfactant from Pseudomonas aeruginosa PU1 and its application in microbial enhance oil recovery. J. Microbiol. Biotechnol. 2020. [Google Scholar] [CrossRef]
- Camara, J.M.D.A.; Sousa, M.A.S.B.; Barros Neto, E.L.; Oliveira, M.C.A. Application of rhamnolipid biosurfactant produced by Pseudomonas aeruginosa in microbial-enhanced oil recovery (MEOR). J. Pet. Explor. Prod. Technol. 2019, 9, 2333–2341. [Google Scholar] [CrossRef]
- Atta, D.Y.; Negash, B.M.; Yekeen, N.; Habte, A.D.; Abdul Malik, A.B. Influence of natural L-amino acids on the interfacial tension of an oil-water system and rock wettability alterations. J. Pet. Sci. Eng. 2021, 199, 108241. [Google Scholar] [CrossRef]
- Khayati, H.; Moslemizadeh, A.; Shahbazi, K.; Moraveji, M.K.; Riazi, S.H. An experimental investigation on the use of saponin as a non-ionic surfactant for chemical enhanced oil recovery (EOR) in sandstone and carbonate oil reservoirs: IFT, wettability alteration, and oil recovery. Chem. Eng. Res. Des. 2020, 160, 417–425. [Google Scholar] [CrossRef]
- Al-Ghamdi, A.; Haq, B.; Al-Shehri, D.; Muhammed, N.S.; Mahmoud, M. Surfactant formulation for Green Enhanced Oil Recovery. Energy Reports 2022, 8, 7800–7813. [Google Scholar] [CrossRef]
- Ganie, K.; Manan, M.A.; Ibrahim, A.; Idris, A.K. An Experimental Approach to Formulate Lignin-Based Surfactant for Enhanced Oil Recovery. Int. J. Chem. Eng. 2019, 2019, 4120859. [Google Scholar] [CrossRef]
- Gao, K.; Liu, J.; Li, X.; Gojzewski, H.; Sui, X.; Vancso, G.J. Lignin Nanoparticles as Highly Efficient, Recyclable Emulsifiers for Enhanced Oil Recovery. ACS Sustain. Chem. Eng. 2022, 10, 9334–9344. [Google Scholar] [CrossRef]
- Correia, J.; Rodrigues, L.R.; Teixeira, J.A.; Gudiña, E.J. Application of Biosurfactants for Microbial Enhanced Oil Recovery (MEOR). In Biosurfactants for a Sustainable Future; John Wiley & Sons, Ltd.: Hoboken, NJ, USA, 2021; pp. 99–118. ISBN 9781119671022. [Google Scholar]
- Hung, H.; Shreve, G.S. Effect of the Hydrocarbon Phase on Interfacial and Thermodynamic Properties of Two Anionic Glycolipid Biosurfactants in Hydrocarbon/Water Systems. J. Phys. Chem. B 2001, 105, 12596–12600. [Google Scholar] [CrossRef]
- Zargar, A.N.; Kumar, M.; Srivastava, P. Biosurfactants: Challenges and Future Outlooks BT—Advancements in Biosurfactants Research; Aslam, R., Mobin, M., Aslam, J., Zehra, S., Eds.; Springer International Publishing: Cham, Switzerland, 2023; pp. 551–576. ISBN 978-3-031-21682-4. [Google Scholar]
- Salager, J.R.; Marquez, R. Enhanced Oil Recovery by Surfactant Injection was improved during the Last 50 Years Thanks to the Multivariable HLD Formulation Equation. Pet. Petrochemical Eng. J. 2023, 7, 000356. [Google Scholar] [CrossRef]





| Microorganism/Source | Surfactant | Oil Phase | Salinity (NaCl) wt% | Temp (°C) | Surfactant Concentration (wt%) | IFT (mN/m) |
|---|---|---|---|---|---|---|
| Bacillus subtilis R14914 | Surfactin | Crude oil | - | - | - | 0.2 |
| Bacillus subtilis 22.2 | Surfactin | Crude oil | - | 25 | - | 0.12 |
| Bacillus licheniformis W16 | Lichenysin A | Crude oil | - | 60 | - | 15.06 |
| Pseudomonas aureginosa HAK01 | Rhamnolipid | Crude oil | - | 25 | - | 2.50 |
| Jatropha oil | Sodium Methyl Ester Sulphonate (SMES) | Crude oil | 2 | 50 | 0.01–1 | 0.079 |
| Castor oil | Sodium Methyl Ester Sulphonate (SMES) | Crude oil | 1–5 | 29 | 0.1–0.8 | 0.034 |
| Castor oil | Polymeric Sodium Methyl Ester Sulphonate (PMES) | Crude oil | 1–5 | 29 | 0.1–0.5 | 0.066 |
| Waste cooking oil | PFAPMB (Zwitterionic Surfactant) | Crude oil | NaCl/Divalent ions | 50 | 0.001–0.05 | 0.0016 |
| Waste cooking oil | SPODP (Zwitterionic surfactant) | Crude oil | CaCl2/NaCl | 50–100 | 0.05–0.3 | 0.003 |
| Soapwort plant extract | Non-ionic surfactant | Crude oil | - | 80 | 0.075–0.035 | 0.834 |
| Glycyrrhiza glabra plant extract | Saponin | Kerosene | - | 25 | 1–8 | 6.5 |
| Pseudomonas sp. | Rhamnolipid | Crude oil | - | - | - | 0.080 |
| Pseudomonas sp. | Rhamnolipid | Isooctane | - | - | - | 0.285 |
Disclaimer/Publisher’s Note: The statements, opinions and data contained in all publications are solely those of the individual author(s) and contributor(s) and not of MDPI and/or the editor(s). MDPI and/or the editor(s) disclaim responsibility for any injury to people or property resulting from any ideas, methods, instructions or products referred to in the content. |
© 2024 by the authors. Licensee MDPI, Basel, Switzerland. This article is an open access article distributed under the terms and conditions of the Creative Commons Attribution (CC BY) license (https://creativecommons.org/licenses/by/4.0/).
Share and Cite
Shaikhah, D.; Loise, V.; Angelico, R.; Porto, M.; Calandra, P.; Abe, A.A.; Testa, F.; Bartucca, C.; Oliviero Rossi, C.; Caputo, P. New Trends in Biosurfactants: From Renewable Origin to Green Enhanced Oil Recovery Applications. Molecules 2024, 29, 301. https://doi.org/10.3390/molecules29020301
Shaikhah D, Loise V, Angelico R, Porto M, Calandra P, Abe AA, Testa F, Bartucca C, Oliviero Rossi C, Caputo P. New Trends in Biosurfactants: From Renewable Origin to Green Enhanced Oil Recovery Applications. Molecules. 2024; 29(2):301. https://doi.org/10.3390/molecules29020301
Chicago/Turabian StyleShaikhah, Dilshad, Valeria Loise, Ruggero Angelico, Michele Porto, Pietro Calandra, Abraham A. Abe, Flaviano Testa, Concetta Bartucca, Cesare Oliviero Rossi, and Paolino Caputo. 2024. "New Trends in Biosurfactants: From Renewable Origin to Green Enhanced Oil Recovery Applications" Molecules 29, no. 2: 301. https://doi.org/10.3390/molecules29020301
APA StyleShaikhah, D., Loise, V., Angelico, R., Porto, M., Calandra, P., Abe, A. A., Testa, F., Bartucca, C., Oliviero Rossi, C., & Caputo, P. (2024). New Trends in Biosurfactants: From Renewable Origin to Green Enhanced Oil Recovery Applications. Molecules, 29(2), 301. https://doi.org/10.3390/molecules29020301

