Effects of Different Types of Stabilizers on the Properties of Foam Detergent Used for Radioactive Surface Contamination
Abstract
:1. Introduction
2. Results and Discussion
2.1. Differences in Surface Tension and Solution Viscosity
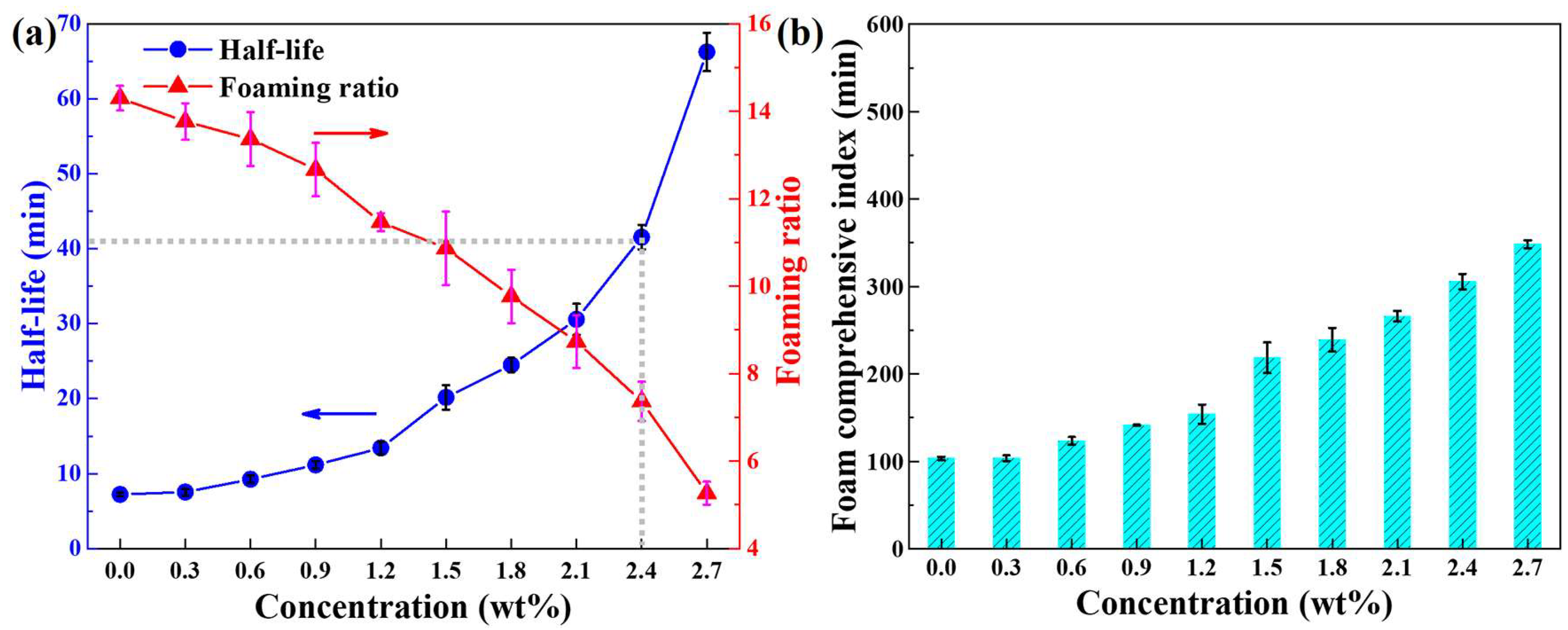
2.2. Difference in Half-Life and Foaming Ratio
2.3. Wettability Effect Analysis
2.4. Foam Rheology and Wall-Hanging Analysis
2.5. Mechanistic Analysis of the Effect of Stabilizers on Foam Properties
2.6. Difference in Storage Stability
2.7. Difference in Decontamination Performance
3. Materials and Methods
3.1. Materials
3.2. Methods
3.2.1. Preparation of Different Foaming Solutions
3.2.2. Half-Life and Foaming Ratio Tests
3.2.3. Surface Tension Test
3.2.4. Foaming Solution Viscosity Test
3.2.5. Wetting Contact Angle Test
3.2.6. Foam Rheology Test
3.2.7. Foam Wall-Hanging Performance Test
3.2.8. Storage Stability Test
3.2.9. Simulated Radioactive Uranium Decontamination Experiment
4. Conclusions
Supplementary Materials
Author Contributions
Funding
Institutional Review Board Statement
Informed Consent Statement
Data Availability Statement
Conflicts of Interest
Sample Availability
References
- Chen, R.; Su, G.H.; Zhang, K. Analysis on the high-quality development of nuclear energy under the goal of peaking carbon emissions and achieving carbon neutrality. Carbon Neutrality 2022, 1, 33. [Google Scholar] [CrossRef]
- Liu, S.; He, Y.; Xie, H.; Ge, Y.; Lin, Y.; Yao, Z.; Jin, M.; Liu, J.; Chen, X.; Sun, Y.; et al. A State-of-the-Art Review of Radioactive Decontamination Technologies: Facing the Upcoming Wave of Decommissioning and Dismantling of Nuclear Facilities. Sustainability 2022, 14, 4021. [Google Scholar] [CrossRef]
- Ding, S.; Tao, Z.; Zhang, H.; Li, Y. Forecasting nuclear energy consumption in China and America: An optimized structure-adaptative grey model. Energy 2022, 239, 121928. [Google Scholar] [CrossRef]
- Wang, Q.; Wang, F.; Cai, C.; Chen, H.; Ji, F.; Yong, C.; Liao, D. Laser decontamination for radioactive contaminated metal surface: A review. Nucl. Eng. Technol. 2023, 55, 12–24. [Google Scholar] [CrossRef]
- Gossard, A.; Lilin, A.; Faure, S. Gels, coatings and foams for radioactive surface decontamination: State of the art and challenges for the nuclear industry. Prog. Nucl. Energy 2022, 149, 104255. [Google Scholar] [CrossRef]
- Zhong, L.; Lei, J.; Deng, J.; Lei, Z.; Lei, L.; Xu, X. Existing and potential decontamination methods for radioactively contaminated metals-A Review. Prog. Nucl. Energy 2021, 139, 103854. [Google Scholar] [CrossRef]
- Zhang, K.; Wang, S.; He, Z.; Wu, M.; Cao, X. Study on acrylate peelable nuclear detergent for film formation at low temperature. Appl. Radiat. Isot. 2020, 162, 109187. [Google Scholar] [CrossRef]
- Kumar, A.; Prakash, T.; Prasad, M.; Shail, S.; Bhatt, R.B.; Behere, P.G.; Biswas, D.J. Laser assisted removal of fixed radioactive contamination from metallic substrate. Nucl. Eng. Des. 2017, 320, 183–186. [Google Scholar] [CrossRef]
- Kumar, A.; Bhatt, R.B.; Behere, P.G.; Afzal, M. Ultrasonic decontamination of prototype fast breeder reactor fuel pins. Ultrasonics 2014, 54, 1052–1056. [Google Scholar] [CrossRef]
- Lu, C.; Tang, Q.; Chen, M.; Zhou, X.; Zheng, Z. Study on ultrasonic electrochemical decontamination. J. Radioanal. Nucl. Chem. 2018, 316, 1–7. [Google Scholar] [CrossRef]
- Ershov, B.G.; Seliverstov, A.F.; Basiev, A.G.; Basiev, A.A.; Korchagin, Y.P. Application of concentrated ozone for decontamination of equipment in a nuclear power plant. At. Energy 2009, 107, 89–94. [Google Scholar] [CrossRef]
- Chandramohan, P.; Srinivasan, M.P.; Velmurugan, S. Development of Chemical Decontamination Process Based on Ozone for System Surfaces with Chromium Containing Oxides. Nucl. Technol. 2017, 200, 269–277. [Google Scholar] [CrossRef]
- Choi, W.-S.; Cho, S.-H.; Lee, Y.-J.; Kim, Y.-S.; Lee, J.-H. Separation behavior of nickel and cobalt in a LiCl-KCl-NiCl2 molten salt by electrorefining process. J. Electroanal. Chem. 2020, 866, 114175. [Google Scholar] [CrossRef]
- Gurau, D.; Deju, R. The use of chemical gel for decontamination during decommissioning of nuclear facilities. Radiat. Phys. Chem. 2015, 106, 371–375. [Google Scholar] [CrossRef]
- Pujol Pozo, A.A.; Monroy-Guzmán, F.; Gómora-Herrera, D.R.; Navarrete-Bolaños, J.; Bustos Bustos, E. Radioactive decontamination of metal surfaces using peelable films made from chitosan gels and chitosan/magnetite nanoparticle composites. Prog. Nucl. Energy 2022, 144, 104088. [Google Scholar] [CrossRef]
- Yang, H.-M.; Park, C.W.; Lee, K.-W. Polymeric coatings for surface decontamination and ecofriendly volume reduction of radioactive waste after use. Prog. Nucl. Energy 2018, 104, 67–74. [Google Scholar] [CrossRef]
- Fournel, B.; Faure, S.; Pouvreau, J.; Dame, C.; Poulain, S. Decontamination using foams: A brief review of 10 years French experience. In Proceedings of the International Conference on Radioactive Waste Management and Environmental Remediation, Oxford, UK, 21–25 September 2003. [Google Scholar]
- Zhang, H.; Xi, H.; Li, Z.; Pan, X.; Wang, Y.; Chen, C.; Lin, X.; Luo, X. The stability and decontamination of surface radioactive contamination of biomass-based antifreeze foam. Colloids Surf. A Physicochem. Eng. Asp. 2021, 624, 126774. [Google Scholar] [CrossRef]
- Wang, J.; Nguyen, A.V.; Farrokhpay, S. A critical review of the growth, drainage and collapse of foams. Adv. Colloid Interface Sci. 2016, 228, 55–70. [Google Scholar] [CrossRef]
- Yekeen, N.; Manan, M.A.; Idris, A.K.; Padmanabhan, E.; Junin, R.; Samin, A.M.; Gbadamosi, A.O.; Oguamah, I. A comprehensive review of experimental studies of nanoparticles-stabilized foam for enhanced oil recovery. J. Pet. Sci. Eng. 2018, 164, 43–74. [Google Scholar] [CrossRef]
- Bureiko, A.; Trybala, A.; Kovalchuk, N.; Starov, V. Current applications of foams formed from mixed surfactant-polymer solutions. Adv. Colloid Interface Sci. 2015, 222, 670–677. [Google Scholar] [CrossRef]
- Zana, R. Aqueous surfactant-alcohol systems: A review. Adv. Colloid Interface Sci. 1995, 57, 1–64. [Google Scholar] [CrossRef]
- Yoon, I.H.; Yoon, S.B.; Sihn, Y.; Choi, M.S.; Jung, C.H.; Choi, W.K. Stabilizing decontamination foam using surface-modified silica nanoparticles containing chemical reagent: Foam stability, structures, and dispersion properties. RSC Adv. 2021, 11, 1841–1849. [Google Scholar] [CrossRef] [PubMed]
- Zhang, H.; Liang, L.; Xi, H.; Liu, D.; Li, Z.; Lin, X. Effects of Fatty Alcohols with Different Chain Lengths on the Performance of Low pH Biomass-Based Foams for Radioactive Decontamination. Molecules 2022, 27, 6627. [Google Scholar] [CrossRef] [PubMed]
- Liang, L.; Zhang, H.; Lin, X.; Yan, K.; Li, M.; Pan, X.; Hu, Y.; Chen, Y.; Luo, X.; Shang, R. Phytic acid-decorated porous organic polymer for uranium extraction under highly acidic conditions. Colloids Surf. A Physicochem. Eng. Asp. 2021, 625, 126981. [Google Scholar] [CrossRef]
- Yoon, I.-H.; Jung, C.-H.; Yoon, S.B.; Kim, C.; Kim, S.; Yang, H.B.; Moon, J.-K.; Choi, W.-K. Structure and stability of decontamination foam in concentrated nitric acid and silica nanoparticles by image analysis. Ann. Nucl. Energy 2016, 95, 102–108. [Google Scholar] [CrossRef]
- Hu, N.; Li, Y.; Yang, C.; Wu, Z.; Liu, W. In-situ activated nanoparticle as an efficient and recyclable foam stabilizer for enhancing foam separation of LAS. J. Hazard. Mater. 2019, 379, 120843. [Google Scholar] [CrossRef] [PubMed]
- Li, S.; Yang, K.; Li, Z.; Zhang, K.; Jia, N. Properties of CO2 Foam Stabilized by Hydrophilic Nanoparticles and Nonionic Surfactants. Energy Fuels 2019, 33, 5043–5054. [Google Scholar] [CrossRef]
- Sun, Q.; Li, Z.; Wang, J.; Li, S.; Jiang, L.; Zhang, C. Properties of multi-phase foam and its flow behavior in porous media. RSC Adv. 2015, 5, 67676–67689. [Google Scholar] [CrossRef]
- Zhao, G.; Wang, X.; Dai, C.; Sun, N.; Liang, L.; Yang, N.; Li, J. Investigation of a novel enhanced stabilized foam: Nano-graphite stabilized foam. J. Mol. Liq. 2021, 343, 117466. [Google Scholar] [CrossRef]
- Yang, X.; Li, A.; Li, X.; Sun, L.; Guo, Y. An overview of classifications, properties of food polysaccharides and their links to applications in improving food textures. Trends Food Sci. Technol. 2020, 102, 1–15. [Google Scholar] [CrossRef]
- Mitrinova, Z.; Tcholakova, S.; Popova, Z.; Denkov, N.; Dasgupta, B.R.; Ananthapadmanabhan, K.P. Efficient control of the rheological and surface properties of surfactant solutions containing C8-C18 fatty acids as cosurfactants. Langmuir 2013, 29, 8255–8265. [Google Scholar] [CrossRef] [PubMed]
- Yekeen, N.; Idris, A.K.; Manan, M.A.; Samin, A.M.; Risal, A.R.; Kun, T.X. Bulk and bubble-scale experimental studies of influence of nanoparticles on foam stability. Chin. J. Chem. Eng. 2017, 25, 347–357. [Google Scholar] [CrossRef]
- Wang, J.; Liang, M.; Tian, Q.; Feng, Y.; Yin, H.; Lu, G. CO(2)-switchable foams stabilized by a long-chain viscoelastic surfactant. J. Colloid Interface Sci. 2018, 523, 65–74. [Google Scholar] [CrossRef] [PubMed]
- Shi, Q.; Qin, B. Experimental research on gel-stabilized foam designed to prevent and control spontaneous combustion of coal. Fuel 2019, 254, 115558. [Google Scholar] [CrossRef]
- Verma, A.; Chauhan, G.; Ojha, K. Characterization of α-olefin sulfonate foam in presence of cosurfactants: Stability, foamability and drainage kinetic study. J. Mol. Liq. 2018, 264, 458–469. [Google Scholar] [CrossRef]
- Mitrinova, Z.; Tcholakova, S.; Golemanov, K.; Denkov, N.; Vethamuthu, M.; Ananthapadmanabhan, K.P. Surface and foam properties of SLES+CAPB+fatty acid mixtures: Effect of pH for C12–C16 acids. Colloids Surf. A Physicochem. Eng. Asp. 2013, 438, 186–198. [Google Scholar] [CrossRef]
- Yoon, I.-H.; Yoon, S.B.; Jung, C.-H.; Kim, C.; Kim, S.; Moon, J.-K.; Choi, W.-K. A highly efficient decontamination foam stabilized by well-dispersed mesoporous silica nanoparticles. Colloids Surf. A Physicochem. Eng. Asp. 2019, 560, 164–170. [Google Scholar] [CrossRef]
- Rosen, M.J.; Kunjappu, J.T. Surfactants and Interfacial Phenomena, 1st ed.; John Wiley & Sons: Hoboken, NJ, USA, 2012; p. 93. [Google Scholar]
- Rahim Risal, A.; Manan, M.A.; Yekeen, N.; Mohamed Samin, A.; Azli, N.B. Rheological properties of surface-modified nanoparticles-stabilized CO2 foam. J. Dispers. Sci. Technol. 2018, 39, 1767–1779. [Google Scholar] [CrossRef]
- Hunter, T.N.; Pugh, R.J.; Franks, G.V.; Jameson, G.J. The role of particles in stabilising foams and emulsions. Adv. Colloid Interface Sci. 2008, 137, 57–81. [Google Scholar] [CrossRef]
- Sun, Q.; Li, Z.; Wang, J.; Li, S.; Li, B.; Jiang, L.; Wang, H.; Lü, Q.; Zhang, C.; Liu, W. Aqueous foam stabilized by partially hydrophobic nanoparticles in the presence of surfactant. Colloids Surf. A Physicochem. Eng. Asp. 2015, 471, 54–64. [Google Scholar] [CrossRef]
- Xu, C.; Wang, D.; Wang, H.; Hu, J.; Zhu, X.; Zhang, Y. Effect of partially hydrolyzed polyacrylamide on the solution and foam properties of sodium alcohol ether sulfate. Colloids Surf. A Physicochem. Eng. Asp. 2018, 556, 51–60. [Google Scholar] [CrossRef]
- Wang, Y.; Ge, J.; Zhang, G.; Jiang, P. Effect of organic acid on lauroamide propyl betaine surface dilatational modulus and foam performance in a porous medium. J. Dispers. Sci. Technol. 2017, 38, 1348–1354. [Google Scholar] [CrossRef]
- Xu, Z.; Li, B.; Zhao, H.; He, L.; Liu, Z.; Chen, D.; Yang, H.; Li, Z. Investigation of the Effect of Nanoparticle-Stabilized Foam on EOR: Nitrogen Foam and Methane Foam. ACS Omega 2020, 5, 19092–19103. [Google Scholar] [CrossRef]
- Abu Elella, M.H.; Goda, E.S.; Gab-Allah, M.A.; Hong, S.E.; Pandit, B.; Lee, S.; Gamal, H.; Rehman, A.u.; Yoon, K.R. Xanthan gum-derived materials for applications in environment and eco-friendly materials: A review. J. Environ. Chem. Eng. 2021, 9, 104702. [Google Scholar] [CrossRef]
- Wang, A.; Li, Y.; Yang, X.; Bao, M.; Cheng, H. The enhanced stability and biodegradation of dispersed crude oil droplets by Xanthan Gum as an additive of chemical dispersant. Mar. Pollut. Bull. 2017, 118, 275–280. [Google Scholar] [CrossRef] [PubMed]
- Yoon, I.-H.; Kim, S.E.; Choi, M.; Kim, S.; Choi, W.-K.; Jung, C.-H. Highly enhanced foams for stability and decontamination efficiency with a fluorosurfactant, silica nanoparticles, and Ce(IV) in radiological application. Environ. Technol. Innov. 2020, 18, 100744. [Google Scholar] [CrossRef]













| Foam Stabilizer | Concentration (wt%) | Foaming Ratio | Foam Comprehensive Index (min) | Surface Tension (mN/m) | Foaming Solution Viscosity (mpa·s) |
|---|---|---|---|---|---|
| NS | 2.40 | 7.4 ± 0.45 | 305.4 ± 8.9 | 39.74 ± 0.09 | 16.70 ± 1.12 |
| XG | 0.28 | 9.1 ± 0.41 | 374.0 ± 8.6 | 37.38 ± 0.05 | 138.12 ± 4.85 |
| TD | 0.064 | 14.1 ± 0.53 | 583.8 ± 9.2 | 26.26 ± 0.09 | 1.21 ± 0.03 |
| Foam Stabilizer | 0.1 s−1 | 1 s−1 | 10 s−1 | 100 s−1 |
|---|---|---|---|---|
| NS | 3.39 | 0.99 | 0.54 | 0.43 |
| XG | 23.06 | 11.97 | 4.64 | 2.25 |
| TD | 152.07 | 62.18 | 11.28 | 5.17 |
| Surface Material | Glass | Ceramic Tile | Stainless Steel | Paint |
|---|---|---|---|---|
| Surface roughness (μm) | 0.01 ± 0.01 | 0.10 ± 0.03 | 0.08 ± 0.02 | 0.61 ± 0.11 |
Disclaimer/Publisher’s Note: The statements, opinions and data contained in all publications are solely those of the individual author(s) and contributor(s) and not of MDPI and/or the editor(s). MDPI and/or the editor(s) disclaim responsibility for any injury to people or property resulting from any ideas, methods, instructions or products referred to in the content. |
© 2023 by the authors. Licensee MDPI, Basel, Switzerland. This article is an open access article distributed under the terms and conditions of the Creative Commons Attribution (CC BY) license (https://creativecommons.org/licenses/by/4.0/).
Share and Cite
Zhang, H.; Liang, L.; Xi, H.; Lin, X.; Li, Z.; Jiao, Y. Effects of Different Types of Stabilizers on the Properties of Foam Detergent Used for Radioactive Surface Contamination. Molecules 2023, 28, 6107. https://doi.org/10.3390/molecules28166107
Zhang H, Liang L, Xi H, Lin X, Li Z, Jiao Y. Effects of Different Types of Stabilizers on the Properties of Foam Detergent Used for Radioactive Surface Contamination. Molecules. 2023; 28(16):6107. https://doi.org/10.3390/molecules28166107
Chicago/Turabian StyleZhang, Hao, Lili Liang, Hailing Xi, Xiaoyan Lin, Zhanguo Li, and Yu Jiao. 2023. "Effects of Different Types of Stabilizers on the Properties of Foam Detergent Used for Radioactive Surface Contamination" Molecules 28, no. 16: 6107. https://doi.org/10.3390/molecules28166107
APA StyleZhang, H., Liang, L., Xi, H., Lin, X., Li, Z., & Jiao, Y. (2023). Effects of Different Types of Stabilizers on the Properties of Foam Detergent Used for Radioactive Surface Contamination. Molecules, 28(16), 6107. https://doi.org/10.3390/molecules28166107
