A Novel Compound from the Phenylsulfonylpiperazine Class: Evaluation of In Vitro Activity on Luminal Breast Cancer Cells
Abstract
1. Introduction
2. Results
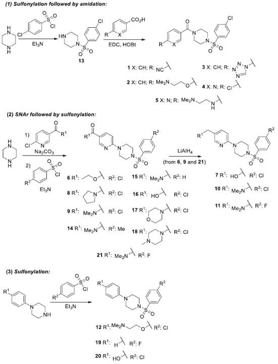
2.1. Synthesis
2.2. Screening for Active Compounds
2.3. Antioxidant Potential
2.4. Clonogenicity and Migration
2.5. Transcriptional Modulation
3. Discussion
4. Materials and Methods
4.1. Chemistry
4.2. Cell Culture
4.3. Cell Viability
4.4. ABTS Radical Scavenging Assay
4.5. Colony Formation
4.6. Migration Assay
4.7. qPCR Analysis
4.8. Statistical Analysis
5. Conclusions
Supplementary Materials
Author Contributions
Funding
Institutional Review Board Statement
Informed Consent Statement
Data Availability Statement
Conflicts of Interest
References
- Bray, F.; Laversanne, M.; Sung, H. Global cancer statistics 2022: GLOBOCAN estimates of incidence and mortality worldwide for 36 cancers in 185 countries. CA A Cancer J. Clin. 2024, 74, 229–263. [Google Scholar] [CrossRef] [PubMed]
- Allemani, C.; Weir, H.K.; Carreira, H.; Harewood, R.; Spika, D.; Wang, X.S.; Bannon, F.; Ahn, J.V.; Johnson, C.J.; Bonaventure, A.; et al. Global surveillance of cancer survival 1995–2009: Analysis of individual data for 25,676,887 patients from 279 population-based registries in 67 countries (CONCORD-2). Lancet 2015, 385, 977–1010. [Google Scholar] [CrossRef] [PubMed]
- Arnold, M.; Morgan, E.; Rumgay, H.; Mafra, A.; Singh, D.; Laversanne, M.; Vignat, J.; Gralow, J.R.; Cardoso, F.; Siesling, S.; et al. Current and future burden of breast cancer: Global statistics for 2020 and 2040. Breast 2022, 66, 15–23. [Google Scholar] [CrossRef] [PubMed]
- Nolan, E.; Lindeman, G.J.; Visvader, J.E. Deciphering breast cancer: From biology to the clinic. Cell 2023, 186, 1708–1728. [Google Scholar] [CrossRef]
- Harbeck, N.; Penault-Llorca, F.; Cortes, J.; Gnant, M.; Houssami, N.; Poortmans, P.; Ruddy, K.; Tsang, J.; Cardoso, F. Breast cancer. Nat. Rev. Dis. Primers 2019, 5, 66. [Google Scholar] [CrossRef]
- Burstein, H.J. Systemic Therapy for Estrogen Receptor-Positive, HER2-Negative Breast Cancer. N. Engl. J. Med. 2020, 383, 2557–2570. [Google Scholar] [CrossRef]
- McArthur, H.L.; Hudis, C.A. Adjuvant chemotherapy for early-stage breast cancer. Hematol./Oncol. Clin. N. Am. 2007, 21, 207–222. [Google Scholar] [CrossRef]
- Bouhniz, O.E.; Kenani, A. Potential role of genetic polymorphisms in neoadjuvant chemotherapy response in breast cancer. J. Chemother. 2024, 1–15. [Google Scholar] [CrossRef]
- Rask, G.; Nazemroaya, A.; Jansson, M.; Wadsten, C.; Nilsson, G.; Blomqvist, C.; Holmberg, L.; Wärnberg, F.; Sund, M. Correlation of tumour subtype with long-term outcome in small breast carcinomas: A Swedish population-based retrospective cohort study. Breast Cancer Res. Treat. 2022, 195, 367–377. [Google Scholar] [CrossRef]
- Ettl, J. Luminal Metastatic Breast Cancer: Current Concepts and Future Approaches. Breast Care 2021, 16, 99–100. [Google Scholar] [CrossRef]
- Garcia-Recio, S.; Thennavan, A.; East, M.P.; Parker, J.S.; Cejalvo, J.M.; Garay, J.P.; Hollern, D.P.; He, X.; Mott, K.R.; Galván, P.; et al. FGFR4 regulates tumor subtype differentiation in luminal breast cancer and metastatic disease. J. Clin. Investig. 2020, 130, 4871–4887. [Google Scholar] [CrossRef] [PubMed]
- Han, T.; Goralski, M.; Gaskill, N.; Capota, E.; Kim, J.; Ting, T.C.; Xie, Y.; Williams, N.S.; Nijhawan, D. Anticancer sulfonamides target splicing by inducing RBM39 degradation via recruitment to DCAF15. Science 2017, 356, 6336. [Google Scholar] [CrossRef]
- Thebti, A.; Sanhoury, M.A.K.; Ouzari, H.I. Synthesis and Evaluation of Biological Activity of New Arylphosphoramidates. BioMed Res. Int. 2018, 2018, 4567019. [Google Scholar] [CrossRef] [PubMed]
- Żołnowska, B.; Sławiński, J.; Pogorzelska, A.; Szafrański, K.; Kawiak, A.; Stasiłojć, G.; Belka, M.; Ulenberg, S.; Bączek, T.; Chojnacki, J. Novel 5-Substituted 2-(Aylmethylthio)-4-chloro-N-(5-aryl-1,2,4-triazin-3-yl)benzenesulfonamides: Synthesis, Molecular Structure, Anticancer Activity, Apoptosis-Inducing Activity and Metabolic Stability. Molecules 2016, 21, 808. [Google Scholar] [CrossRef] [PubMed]
- Ugwu, D.I.; Okoro, U.C.; Ahmad, H. New carboxamide derivatives bearing benzenesulphonamide as a selective COX-II inhibitor: Design, synthesis and structure-activity relationship. PLoS ONE 2017, 12, e0183807. [Google Scholar] [CrossRef]
- Castaño, L.F.; Cuartas, V.; Bernal, A.; Insuasty, A.; Guzman, J.; Vidal, O.; Rubio, V.; Puerto, G.; Lukáč, P.; Vimberg, V.; et al. New chalcone-sulfonamide hybrids exhibiting anticancer and antituberculosis activity. Eur. J. Med. Chem. 2019, 176, 50–60. [Google Scholar] [CrossRef]
- Eze, F.U.; Okoro, U.C.; Ugwu, D.I.; Okafor, S.N. Biological Activity Evaluation of Some New Benzenesulphonamide Derivatives. Front. Chem. 2019, 7, 634. [Google Scholar] [CrossRef]
- Spicer, J.A.; Miller, C.K.; O’Connor, P.D.; Jose, J.; Huttunen, K.M.; Jaiswal, J.K.; Denny, W.A.; Akhlaghi, H.; Browne, K.A.; Trapani, J.A. Benzenesulphonamide inhibitors of the cytolytic protein perforin. Bioorg. Med. Chem. Lett. 2017, 27, 1050–1054. [Google Scholar] [CrossRef]
- Cassiano Martinho, A.C.; de Melo Resende, D.; Landin, E.S.; Dit Lapierre, T.; Bernardes, T.C.D.; Martins, L.C.; Ferreira, R.S.; Murta, S.M.F.; de Oliveira Rezende Júnior, C. Synthesis, Design, and Structure-Activity Relationship of a Benzenesulfonylpiperazine Series against Trypanosoma cruzi. ChemMedChem 2022, 17, e202200211. [Google Scholar] [CrossRef]
- Freitas de Lima Hercos, G.; Gabriela Faleiro de Moura Lodi Cruz, M.; Clara Cassiano Martinho, A.; de Melo Resende, D.; Farago Nascimento, D.; Derksen Macruz, P.; Jorge Pilau, E.; Maria Fonseca Murta, S.; de Oliveira Rezende Júnior, C. Optimization of benzenesulfonyl derivatives as anti-Trypanosomatidae agents: Structural design, synthesis, and pharmacological assessment against Trypanosoma cruzi and Leishmania infantum. Bioorg. Med. Chem. 2024, 105, 117736. [Google Scholar] [CrossRef]
- Eldehna, W.M.; Nocentini, A.; Al-Rashood, S.T.; Hassan, G.S.; Alkahtani, H.M.; Almehizia, A.A.; Reda, A.M.; Abdel-Aziz, H.A.; Supuran, C.T. Tumor-associated carbonic anhydrase isoform IX and XII inhibitory properties of certain isatin-bearing sulfonamides endowed with in vitro antitumor activity towards colon cancer. Bioorg. Chem. 2018, 81, 425–432. [Google Scholar] [CrossRef] [PubMed]
- Sławiński, J.; Szafrański, K.; Pogorzelska, A.; Żołnowska, B.; Kawiak, A.; Macur, K.; Belka, M.; Bączek, T. Novel 2-benzylthio-5-(1,3,4-oxadiazol-2-yl)benzenesulfonamides with anticancer activity: Synthesis, QSAR study, and metabolic stability. Eur. J. Med. Chem. 2017, 132, 236–248. [Google Scholar] [CrossRef] [PubMed]
- Sun, L.; Wu, Y.; Liu, Y.; Chen, X.; Hu, L. Novel carbazole sulfonamide derivatives of antitumor agent: Synthesis, antiproliferative activity and aqueous solubility. Bioorg. Med. Chem. Lett. 2017, 27, 261–265. [Google Scholar] [CrossRef]
- Vellaiswamy, G.; Ramaswamy, S. Co(II) Complexes of4-((3-ethoxy-2-hydroxybenzylidene)amino)-N-(thiazol-2-yl)benzenesulphonamide and 4-((pyridin-2-ylmethylene)amino)-N-(thiazol-2-tl)benzenesulfonamide: Synthesis, Fluorescence Properties and Anticancer Activity. J. Fluoresc. 2017, 27, 1559–1565. [Google Scholar] [CrossRef] [PubMed]
- Żołnowska, B.; Sławiński, J.; Belka, M.; Bączek, T.; Kawiak, A.; Chojnacki, J.; Pogorzelska, A.; Szafrański, K. Synthesis, Molecular Structure, Metabolic Stability and QSAR Studies of a Novel Series of Anticancer N-Acylbenzenesulfonamides. Molecules 2015, 20, 19101–19129. [Google Scholar] [CrossRef] [PubMed]
- Musa, M.A.; Latinwo, L.M.; Joseph, M.Y.; Badisa, V.L. Identification of 7,8-Diacetoxy-3-Arylcoumarin Derivative as a Selective Cytotoxic and Apoptosis-inducing Agent in a Human Prostate Cancer Cell Line. Anticancer Res. 2017, 37, 6005–6014. [Google Scholar] [CrossRef][Green Version]
- Zhang, J.; Tan, Y.; Li, G.; Chen, L.; Nie, M.; Wang, Z.; Ji, H. Coumarin Sulfonamides and Amides Derivatives: Design, Synthesis, and Antitumor Activity In Vitro. Molecules 2021, 26, 786. [Google Scholar] [CrossRef]
- Balamurugan, K.; Poria, D.K.; Sehareen, S.W.; Krishnamurthy, S.; Tang, W.; McKennett, L.; Padmanaban, V.; Czarra, K.; Ewald, A.J.; Ueno, N.T.; et al. Stabilization of E-cadherin adhesions by COX-2/GSK3β signaling is a targetable pathway in metastatic breast cancer. JCI Insight 2023, 8, 156057. [Google Scholar] [CrossRef]
- Angeli, A.; Paoletti, N.; Supuran, C.T. Five-Membered Heterocyclic Sulfonamides as Carbonic Anhydrase Inhibitors. Molecules 2023, 28, 3220. [Google Scholar] [CrossRef]
- Vicente-Blazquez, A.; Gonzalez, M.; Alvarez, R.; Del Mazo, S.; Medarde, M.; Pelaez, R. Antitubulin sulfonamides: The successful combination of an established drug class and a multifaceted target. Med. Res. Rev. 2019, 39, 775–830. [Google Scholar] [CrossRef]
- Knezevic, C.E.; Clarke, W. Cancer Chemotherapy: The Case for Therapeutic Drug Monitoring. Ther. Drug Monit. 2020, 42, 6–19. [Google Scholar] [CrossRef] [PubMed]
- Brix, N.; Samaga, D.; Belka, C.; Zitzelsberger, H.; Lauber, K. Analysis of clonogenic growth in vitro. Nat. Protoc. 2021, 16, 4963–4991. [Google Scholar] [CrossRef] [PubMed]
- Bobadilla, A.V.P.; Arévalo, J.; Sarró, E.; Byrne, H.M.; Maini, P.K.; Carraro, T.; Balocco, S.; Meseguer, A.; Alarcón, T. In vitro cell migration quantification method for scratch assays. J. R. Soc. Interface 2019, 16, 20180709. [Google Scholar] [CrossRef]
- Freitas, J.T.; Jozic, I.; Bedogni, B. Wound Healing Assay for Melanoma Cell Migration. Methods Mol. Biol. 2021, 2265, 65–71. [Google Scholar] [CrossRef] [PubMed]
- Gao, J.J.; Swain, S.M. Luminal A Breast Cancer and Molecular Assays: A Review. The Oncologist 2018, 23, 556–565. [Google Scholar] [CrossRef]
- Apaydın, S.; Török, M. Sulfonamide derivatives as multi-target agents for complex diseases. Bioorg. Med. Chem. Lett. 2019, 29, 2042–2050. [Google Scholar] [CrossRef]
- Farghaly, A.M.; AboulWafa, O.M.; Baghdadi, H.H.; Abd El Razik, H.A.; Sedra, S.M.Y.; Shamaa, M.M. New thieno[3,2-d]pyrimidine-based derivatives: Design, synthesis and biological evaluation as antiproliferative agents, EGFR and ARO inhibitors inducing apoptosis in breast cancer cells. Bioorg. Chem. 2021, 115, 105208. [Google Scholar] [CrossRef]
- Patel, R.V.; Mistry, B.; Syed, R.; Rathi, A.K.; Lee, Y.J.; Sung, J.S.; Shinf, H.S.; Keum, Y.S. Chrysin-piperazine conjugates as antioxidant and anticancer agents. Eur. J. Pharm. Sci. 2016, 88, 166–177. [Google Scholar] [CrossRef]
- Wong, C.C.; Cheng, K.W.; Rigas, B. Preclinical predictors of anticancer drug efficacy: Critical assessment with emphasis on whether nanomolar potency should be required of candidate agents. J. Pharmacol. Exp. Ther. 2012, 341, 572–578. [Google Scholar] [CrossRef]
- Kennecke, H.; Yerushalmi, R.; Woods, R.; Cheang, M.C.; Voduc, D.; Speers, C.H.; Nielsen, T.O.; Gelmon, K. Metastatic behavior of breast cancer subtypes. J. Clin. Oncol. 2010, 28, 3271–3277. [Google Scholar] [CrossRef]
- da Silva, F.C.; Brandao, D.C.; Ferreira, E.A.; Siqueira, R.P.; Ferreira, H.S.V.; Da Silva Filho, A.A.; Araujo, T.G. Tailoring Potential Natural Compounds for the Treatment of Luminal Breast Cancer. Pharmaceuticals 2023, 16, 1466. [Google Scholar] [CrossRef] [PubMed]
- Gurdal, E.; Yarim, M.; Durmaz, I.; Cetin-Atalay, R. Cytotoxic activities of some novel benzhydrylpiperazine derivatives. Drug Res. 2013, 34, 121–128. [Google Scholar] [CrossRef]
- Patel, R.V.; Mistry, B.M.; Syed, R.; Parekh, N.M.; Shin, H.S. Sulfonylpiperazines based on a flavone as antioxidant and cytotoxic agents. Arch. Der Pharm. 2019, 352, e1900051. [Google Scholar] [CrossRef]
- Sun, J.; Baker, J.; Russell, C.; Cossar, P.; Pham, H.; Sakoff, J.; Scarlett, C.; McCluskey, A. Cytotoxic 1, 2, 3-triazoles as potential new leads targeting the S100A2-p53complex: Synthesis and Cytotoxicity. Chemmedchem 2021, 16, 2864–2881. [Google Scholar] [CrossRef] [PubMed]
- Padmanaban, V.; Krol, I.; Suhail, Y.; Szczerba, B.M.; Aceto, N.; Bader, J.S.; Ewald, A.J. E-cadherin is required for metastasis in multiple models of breast cancer. Nature 2019, 573, 439–444. [Google Scholar] [CrossRef] [PubMed]
- Corso, G.; Figueiredo, J.; De Angelis, S.P.; Corso, F.; Girardi, A.; Pereira, J.; Seruca, R.; Bonanni, B.; Carneiro, P.; Pravettoni, G.; et al. E-cadherin deregulation in breast cancer. J. Cell. Mol. Med. 2020, 24, 5930–5936. [Google Scholar] [CrossRef] [PubMed]
- Meng, X.; Morita, M.; Kuba, S.; Hayashi, H.; Otsubo, R.; Matsumoto, M.; Yamanouchi, K.; Kobayashi, K.; Soyama, A.; Hidaka, M.; et al. Association of quantitative analysis of intratumoral reduced E-cadherin expression with lymph node metastasis and prognosis in patients with breast cancer. Sci. Rep. 2023, 13, 10434. [Google Scholar] [CrossRef]
- Wang, Q.; Gun, M.; Hong, X.Y. Induced Tamoxifen Resistance is Mediated by Increased Methylation of E-Cadherin in Estrogen Receptor-Expressing Breast Cancer Cells. Sci. Rep. 2019, 9, 14140. [Google Scholar] [CrossRef]
- Re, R.; Pellegrini, N.; Proteggente, A.; Pannala, A.; Yang, M.; Rice-Evans, C. Antioxidant activity applying an improved ABTS radical cation decolorization assay. Free Radic. Biol. Med. 1999, 26, 1231–1237. [Google Scholar] [CrossRef]
- Schneider, C.A.; Rasband, W.S.; Eliceiri, K.W. NIH Image to ImageJ: 25 years of image analysis. Nat. Methods 2012, 9, 671–675. [Google Scholar] [CrossRef]



| Compound | Structure | IC50 (µM) | SI | |||||
|---|---|---|---|---|---|---|---|---|
| MCF-10A | MCF7 | MDA-MB-231 | MDA-MB-453 | MCF7 | MDA-MB-231 | MDA-MB-453 | ||
| 1 | ![]() | >160 | >160 | 84.90 | >160 | - | >1.88 | - |
| 2 | ![]() | 88.20 | >160 | 61.34 | 50.51 | NS | 1.44 | 1.75 |
| 3 | ![]() | >160 | 4.48 | 83.02 | 80.00 | >35.6 | >1.93 | >2.00 |
| 4 | ![]() | >160 | >160 | 112.50 | >160 | - | >1.42 | - |
| 5 | ![]() | >160 | 82.89 | >160 | >160 | >1.93 | - | - |
| 6 | ![]() | >160 | >160 | 53.10 | >160 | - | >3.01 | - |
| 7 | ![]() | 91.17 | >160 | 107.30 | >160 | NS | 0.85 | NS |
| 8 | ![]() | 86.01 | 153.90 | 134.80 | 92.52 | NS | NS | NS |
| 9 | ![]() | 63.89 | >160 | >160 | >160 | NS | NS | NS |
| 10 | ![]() | 108.80 | 62.03 | >160 | 48.38 | 1.75 | NS | 2.25 |
| 11 | ![]() | >160 | 20.00 | >160 | 108.60 | >8.00 | - | >1.47 |
| 12 | ![]() | 68.34 | 49.89 | >160 | 136.10 | 1.37 | NS | NS |
| Gene | Compound 3 (µM) | Fold Change |
|---|---|---|
| CDH1 | 1.125 | 1.874 |
| 2.25 | 1.045 | |
| 4.5 | 4.034 *** | |
| ENTPD1 | 1.125 | 1.102 |
| 2.25 | 1.331 | |
| 4.5 | 1.006 | |
| ENTPD2 | 1.125 | 1.374 |
| 2.25 | 1.417 | |
| 4.5 | 1.109 | |
| ENTPD3 | 1.125 | 1.641 |
| 2.25 | 1.074 | |
| 4.5 | 1.229 | |
| ENTPD5 | 1.125 | 2.046 |
| 2.25 | 1.437 | |
| 4.5 | 1.306 | |
| KRT10 | 1.125 | 1.309 |
| 2.25 | 1.913 | |
| 4.5 | 1.383 | |
| Color key: | ![]() |
| Gene | Forward Primer (5′-3′) | Reverse Primer (5′-3′) | Amplicon (bp) |
|---|---|---|---|
| β2M | CCTGCCGTGTGAACCATGT | GCGGCATCTTCAAACCTCC | 94 |
| CDH1 | CTGGCGTCTGTAGGAAGGC | GCTGGCTCAAGTCAAAGTCCTG | 240 |
| ENTPD1 | TGTGGTGGAGAGGAGCCTCA | GCTGAACCACCTTGTTTTCTGAC | 142 |
| ENTPD2 | TGCTGGAGAACTTCATCAAGTACG | CAAAAGTGATCTGGGTAGAGGCAC | 108 |
| ENTPD3 | CTCCCTCCAGGACTGAAGTATGG | GCATACACTCCTCAAAGGCTCTG | 202 |
| ENTPD5 | CAAGGCTCTGCTCTTTGAGGTAA | CGTGATTTGGGTGGAGGCT | 202 |
| KRT10 | TAGGGTGCTGGATGAGCTGAC | TCGAAGGTCTTTCATTTCCTCC | 118 |
Disclaimer/Publisher’s Note: The statements, opinions and data contained in all publications are solely those of the individual author(s) and contributor(s) and not of MDPI and/or the editor(s). MDPI and/or the editor(s) disclaim responsibility for any injury to people or property resulting from any ideas, methods, instructions or products referred to in the content. |
© 2024 by the authors. Licensee MDPI, Basel, Switzerland. This article is an open access article distributed under the terms and conditions of the Creative Commons Attribution (CC BY) license (https://creativecommons.org/licenses/by/4.0/).
Share and Cite
da Silva, F.C.; Martinho, A.C.C.; Ferreira, H.S.V.; Siqueira, R.P.; Arruda, V.M.; Guerra, J.F.d.C.; de Souza, M.L.d.R.; Landin, E.S.; Rezende Júnior, C.d.O.; de Araújo, T.G. A Novel Compound from the Phenylsulfonylpiperazine Class: Evaluation of In Vitro Activity on Luminal Breast Cancer Cells. Molecules 2024, 29, 4471. https://doi.org/10.3390/molecules29184471
da Silva FC, Martinho ACC, Ferreira HSV, Siqueira RP, Arruda VM, Guerra JFdC, de Souza MLdR, Landin ES, Rezende Júnior CdO, de Araújo TG. A Novel Compound from the Phenylsulfonylpiperazine Class: Evaluation of In Vitro Activity on Luminal Breast Cancer Cells. Molecules. 2024; 29(18):4471. https://doi.org/10.3390/molecules29184471
Chicago/Turabian Styleda Silva, Fernanda Cardoso, Ana Clara Cassiano Martinho, Helen Soares Valença Ferreira, Raoni Pais Siqueira, Vinicius Marques Arruda, Joyce Ferreira da Costa Guerra, Maria Laura dos Reis de Souza, Emanuelly Silva Landin, Celso de Oliveira Rezende Júnior, and Thaise Gonçalves de Araújo. 2024. "A Novel Compound from the Phenylsulfonylpiperazine Class: Evaluation of In Vitro Activity on Luminal Breast Cancer Cells" Molecules 29, no. 18: 4471. https://doi.org/10.3390/molecules29184471
APA Styleda Silva, F. C., Martinho, A. C. C., Ferreira, H. S. V., Siqueira, R. P., Arruda, V. M., Guerra, J. F. d. C., de Souza, M. L. d. R., Landin, E. S., Rezende Júnior, C. d. O., & de Araújo, T. G. (2024). A Novel Compound from the Phenylsulfonylpiperazine Class: Evaluation of In Vitro Activity on Luminal Breast Cancer Cells. Molecules, 29(18), 4471. https://doi.org/10.3390/molecules29184471














