Design and Synthesis of Pyridyl and 2-Hydroxyphenyl Chalcones with Antitubercular Activity
Abstract
1. Introduction
2. Results and Discussion
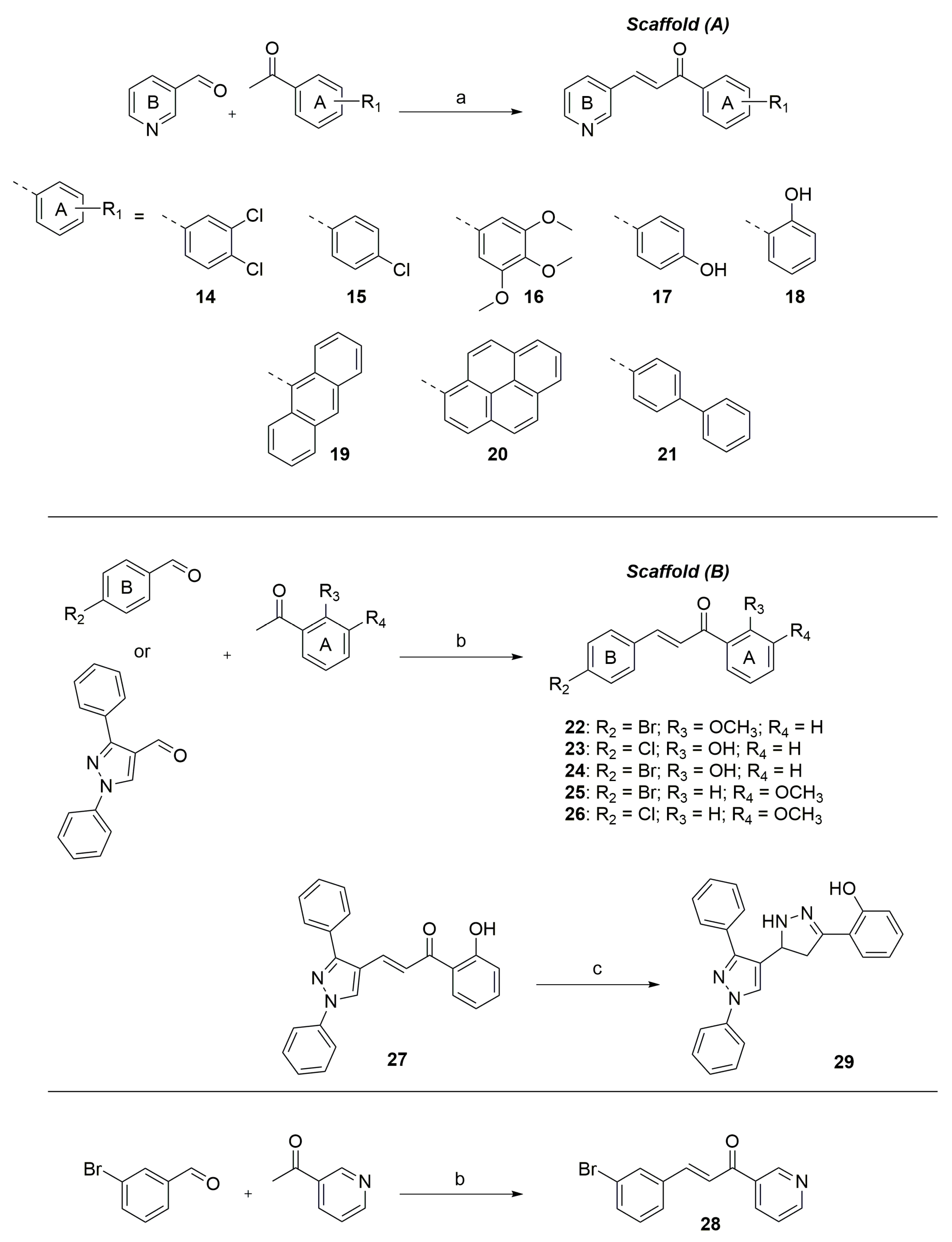
2.1. Chemistry
2.2. Biological Evaluation and Structure Activity Relationship Elucidation
2.3. Molecular Modelling
3. Experimental
3.1. General Chemistry Information
3.1.1. General Method for Scaffold A or Pyridyl Chalcones Synthesis
3.1.2. General Method for Scaffold B Chalcones Synthesis
3.1.3. General Method for Pyrazolines Synthesis. Compounds 29, 30, 31
3.2. Antitubercular Screening
3.2.1. MIC under Aerobic Conditions
3.2.2. Protocol
3.3. Antiproliferative Evaluation In Vitro
3.3.1. HepG2 Cytotoxicity Screening
3.3.2. MCF-10A and MDA-468 MTT Cytotoxicity Screening
3.4. Molecular Docking
| PDB ID | AutoDock Vina | GOLD | ||||
|---|---|---|---|---|---|---|
| Box Centre (Å) | Cube Size (Å) | RMSD (Å) | Cavity Centre (Å) | Cavity Radius (Å) | RMSD (Å) | |
| 1U2Q | 14.0; −7.0; 3.5 | 24 | 4.0 | 14.6; −6.4; 3.7 | 8.6 | 3.65 |
| 2OZ | 7.0; 64.0; 4.0 | 24 | 1.76 | 6.0; 60.7; 6.2 | 15.4 | 2.34 |
4. Conclusions
Supplementary Materials
Author Contributions
Funding
Institutional Review Board Statement
Informed Consent Statement
Data Availability Statement
Acknowledgments
Conflicts of Interest
References
- World Health Organization. Global Tuberculosis Report 2023; World Health Organization: Geneva, Switzerland, 2023. [Google Scholar]
- Riaz, S.; Iqbal, M.; Ullah, R.; Zahra, R.; Chotana, G.A.; Faisal, A.; Saleem, R.S.Z. Synthesis and evaluation of novel α-substituted chalcones with potent anti-cancer activities and ability to overcome multidrug resistance. Bioorg. Chem. 2019, 87, 123–135. [Google Scholar] [CrossRef] [PubMed]
- Rashid, H.U.; Xu, Y.; Ahmad, N.; Muhammad, Y.; Wang, L. Promising anti-inflammatory effects of chalcones via inhibition of cyclooxygenase, prostaglandin E2, inducible NO synthase and nuclear factor κb activities. Bioorg. Chem. 2019, 87, 335–365. [Google Scholar] [CrossRef] [PubMed]
- Hossain, M.; Das, U.; Dimmock, J.R. Recent advances in α, β-unsaturated carbonyl compounds as mitochondrial toxins. Eur. J. Med. Chem. 2019, 183, 111687. [Google Scholar] [CrossRef] [PubMed]
- Go, M.L.; Wu, X.; Liu, X.L. Chalcones: An update on cytotoxic and chemoprotective properties. Curr. Med. Chem. 2005, 12, 483–499. [Google Scholar] [CrossRef]
- Lawrence, N.J.; Patterson, R.P.; Ooi, L.; Cook, D.; Ducki, S. Effects of α-substitutions on structure and biological activity of anticancer chalcones. Bioorg. Med. Chem. Lett. 2006, 16, 5844–5848. [Google Scholar] [CrossRef]
- Ducki, S.; Forrest, R.; Hadfield, J.A.; Kendall, A.; Lawrence, N.J.; McGown, A.T.; Rennison, D. Potent antimitotic and cell growth inhibitory properties of substituted chalcones. Bioorg. Med. Chem. Lett. 1998, 8, 1051–1056. [Google Scholar] [CrossRef]
- Elias, D.W.; Beazely, M.A.; Kandepu, N.M. Bioactivities of chalcones. Curr. Med. Chem. 1999, 6, 1125. [Google Scholar]
- Mezgebe, K.; Melaku, Y.; Mulugeta, E. Synthesis and Pharmacological Activities of Chalcone and Its Derivatives Bearing N-Heterocyclic Scaffolds: A Review. ACS Omega 2023, 8, 19194–19211. [Google Scholar]
- Mahapatra, D.K.; Bharti, S.K.; Asati, V. Chalcone scaffolds as anti-infective agents: Structural and molecular target perspectives. Eur. J. Med. Chem. 2015, 101, 496–524. [Google Scholar] [CrossRef]
- Dhaliwal, J.S.; Moshawih, S.; Goh, K.W.; Loy, M.J.; Hossain, M.S.; Hermansyah, A.; Kotra, V.; Kifli, N.; Goh, H.P.; Dhaliwal, S.K.S. Pharmacotherapeutics applications and chemistry of chalcone derivatives. Molecules 2022, 27, 7062. [Google Scholar]
- Ruparelia, K.C.; Zeka, K.; Ijaz, T.; Ankrett, D.N.; Wilsher, N.E.; Butler, P.C.; Tan, H.L.; Lodhi, S.; Bhambra, A.S.; Potter, G.A. The synthesis of chalcones as anticancer prodrugs and their bioactivation in CYP1 expressing breast cancer cells. Med. Chem. 2018, 14, 322–332. [Google Scholar] [CrossRef]
- Hsu, Y.; Kuo, P.; Lin, C. Isoliquiritigenin induces apoptosis and cell cycle arrest through p53-dependent pathway in Hep G2 cells. Life Sci. 2005, 77, 279–292. [Google Scholar]
- Guo, J.; Liu, D.; Nikolic, D.; Zhu, D.; Pezzuto, J.M.; van Breemen, R.B. In vitro metabolism of isoliquiritigenin by human liver microsomes. Drug Metab. Dispos. 2008, 36, 461–468. [Google Scholar] [CrossRef]
- Yang, E.; Zhang, K.; Cheng, L.Y.; Mack, P. Butein, a specific protein tyrosine kinase inhibitor. Biochem. Biophys. Res. Commun. 1998, 245, 435–438. [Google Scholar] [CrossRef] [PubMed]
- Marrapu, V.K.; Chaturvedi, V.; Singh, S.; Singh, S.; Sinha, S.; Bhandari, K. Novel aryloxy azolyl chalcones with potent activity against Mycobacterium tuberculosis H37Rv. Eur. J. Med. Chem. 2011, 46, 4302–4310. [Google Scholar] [CrossRef] [PubMed]
- Takate, S.J.; Shinde, A.D.; Karale, B.K.; Akolkar, H.; Nawale, L.; Sarkar, D.; Mhaske, P.C. Thiazolyl-pyrazole derivatives as potential antimycobacterial agents. Bioorg. Med. Chem. Lett. 2019, 29, 1199–1202. [Google Scholar] [CrossRef] [PubMed]
- Lin, Y.; Zhou, Y.; Flavin, M.T.; Zhou, L.; Nie, W.; Chen, F. Chalcones and flavonoids as anti-tuberculosis agents. Bioorg. Med. Chem. 2002, 10, 2795–2802. [Google Scholar] [CrossRef] [PubMed]
- Sivakumar, P.M.; Babu, S.K.G.; Mukesh, D. QSAR studies on chalcones and flavonoids as anti-tuberculosis agents using genetic function approximation (GFA) method. Chem. Pharm. Bull. 2007, 55, 44–49. [Google Scholar] [CrossRef]
- Gomes, M.N.; Braga, R.C.; Grzelak, E.M.; Neves, B.J.; Muratov, E.; Ma, R.; Klein, L.L.; Cho, S.; Oliveira, G.R.; Franzblau, S.G. QSAR-driven design, synthesis and discovery of potent chalcone derivatives with antitubercular activity. Eur. J. Med. Chem. 2017, 137, 126–138. [Google Scholar] [CrossRef]
- Sharma, M.; Chaturvedi, V.; Manju, Y.K.; Bhatnagar, S.; Srivastava, K.; Puri, S.K.; Chauhan, P.M. Substituted quinolinyl chalcones and quinolinyl pyrimidines as a new class of anti-infective agents. Eur. J. Med. Chem. 2009, 44, 2081–2091. [Google Scholar] [CrossRef]
- Chiaradia, L.D.; Martins, P.G.A.; Cordeiro, M.N.S.; Guido, R.V.C.; Ecco, G.; Andricopulo, A.D.; Yunes, R.A.; Vernal, J.; Nunes, R.J.; Terenzi, H. Synthesis, biological evaluation, and molecular modeling of chalcone derivatives as potent inhibitors of Mycobacterium tuberculosis protein tyrosine phosphatases (PtpA and PtpB). J. Med. Chem. 2012, 55, 390–402. [Google Scholar] [CrossRef]
- Anandam, R.; Jadav, S.S.; Ala, V.B.; Ahsan, M.J.; Bollikolla, H.B. Synthesis of new C-dimethylated chalcones as potent antitubercular agents. Med. Chem. Res. 2018, 27, 1690–1704. [Google Scholar] [CrossRef]
- Gupta, R.A.; Kaskhedikar, S.G. Synthesis, antitubercular activity, and QSAR analysis of substituted nitroaryl analogs: Chalcone, pyrazole, isoxazole, and pyrimidines. Med. Chem. Res. 2013, 22, 3863–3880. [Google Scholar] [CrossRef]
- Horley, N.J.; Beresford, K.J.; Chawla, T.; McCann, G.J.; Ruparelia, K.C.; Gatchie, L.; Sonawane, V.R.; Williams, I.S.; Tan, H.L.; Joshi, P. Discovery and characterization of novel CYP1B1 inhibitors based on heterocyclic chalcones: Overcoming cisplatin resistance in CYP1B1-overexpressing lines. Eur. J. Med. Chem. 2017, 129, 159–174. [Google Scholar] [CrossRef] [PubMed]
- Horley, N.J.; Beresford, K.J.; Kaduskar, S.; Joshi, P.; McCann, G.J.; Ruparelia, K.C.; Williams, I.S.; Gatchie, L.; Sonawane, V.R.; Bharate, S.B. (E)-3-(3, 4, 5-Trimethoxyphenyl)-1-(pyridin-4-yl) prop-2-en-1-one, a heterocyclic chalcone is a potent and selective CYP1A1 inhibitor and cancer chemopreventive agent. Bioorg. Med. Chem. Lett. 2017, 27, 5409–5414. [Google Scholar] [CrossRef] [PubMed]
- Bhambra, A.S.; Ruparelia, K.C.; Tan, H.L.; Tasdemir, D.; Burrell-Saward, H.; Yardley, V.; Beresford, K.J.; Arroo, R.R. Synthesis and antitrypanosomal activities of novel pyridylchalcones. Eur. J. Med. Chem. 2017, 128, 213–218. [Google Scholar] [CrossRef] [PubMed]
- Shyam, M.; Verma, H.; Bhattacharje, G.; Mukherjee, P.; Singh, S.; Kamilya, S.; Jalani, P.; Das, S.; Dasgupta, A.; Mondal, A. Mycobactin analogues with excellent pharmacokinetic profile demonstrate potent antitubercular specific activity and exceptional efflux pump inhibition. J. Med. Chem. 2022, 65, 234–256. [Google Scholar]
- Trott, O.; Olson, A.J. AutoDock Vina: Improving the speed and accuracy of docking with a new scoring function, efficient optimization, and multithreading. J. Comput. Chem. 2010, 31, 455–461. [Google Scholar] [CrossRef]
- Jones, G.; Willett, P.; Glen, R.C.; Leach, A.R.; Taylor, R. Development and validation of a genetic algorithm for flexible docking. J. Mol. Biol. 1997, 267, 727–748. [Google Scholar] [CrossRef]
- Murnane, R.; Zloh, M.; Tanna, S.; Allen, R.; Santana-Gomez, F.; Parish, T.; Brucoli, F. Synthesis and antitubercular activity of novel 4-arylalkyl substituted thio-, oxy-and sulfoxy-quinoline analogues targeting the cytochrome bc1 complex. Bioorg. Chem. 2023, 138, 106659. [Google Scholar] [CrossRef]
- Chiaradia, L.D.; Mascarello, A.; Purificação, M.; Vernal, J.; Cordeiro, M.N.S.; Zenteno, M.E.; Villarino, A.; Nunes, R.J.; Yunes, R.A.; Terenzi, H. Synthetic chalcones as efficient inhibitors of Mycobacterium tuberculosis protein tyrosine phosphatase PtpA. Bioorg. Med. Chem. Lett. 2008, 18, 6227–6230. [Google Scholar] [CrossRef]
- Cazzaniga, G.; Mori, M.; Meneghetti, F.; Chiarelli, L.R.; Stelitano, G.; Caligiuri, I.; Rizzolio, F.; Ciceri, S.; Poli, G.; Staver, D. Virtual screening and crystallographic studies reveal an unexpected γ-lactone derivative active against MptpB as a potential antitubercular agent. Eur. J. Med. Chem. 2022, 234, 114235. [Google Scholar] [CrossRef]
- Pedretti, A.; Mazzolari, A.; Gervasoni, S.; Fumagalli, L.; Vistoli, G. The VEGA suite of programs: An versatile platform for cheminformatics and drug design projects. Bioinformatics 2021, 37, 1174–1175. [Google Scholar] [CrossRef]





| Cytotoxicity | |||||
|---|---|---|---|---|---|
| Anti-Tubercular Activity a | HepG2 b | MCF10A c Normal Breast Cells | MDA468 c Breast Cancer Cells | ||
| M. tuberculosis (H37Rv) | |||||
| CMP ID | IC90 | IC50 (SD) | IC50 | IC50 | IC50 |
| 14 | 28 | 12 (3.5) | 2.5 | ND | ND |
| 15 | 77 | 24 (1.4) | 11 | ND | ND |
| 16 | 59 | 19 (1.4) | 2.0 | 1.5 | 0.7 |
| 17 | >100 | >100 | >100 | >100 | 30 |
| 18 | >100 | >100 | 22 | 16 | 8 |
| 19 | 48 | 10 (1.4) | 2.7 | 4.4 | 0.3 |
| 20 d | 22 | 8.8 (0.3) | 1.8 | 2 | 4 |
| 21 d | 8.9 | 3.9 (1.1) | 4.5 | 7 | 3.5 |
| 22 | 59 | 44.5 (1.2) | 13 | ND | ND |
| 23 | >100 | - | 25 | ND | ND |
| 24 | 97 | >100 | 14 | ND | ND |
| 25 | 29 | 22 (7.0) | 14 | ND | ND |
| 26 | 28 | 20 (5.6) | 13 | ND | ND |
| 27 | >100 | >100 | 74 | ND | ND |
| 28 | 65 | ND | ND | 5.2 | 0.7 |
| 2 d (DMU-135) | >100 | ND | ND | 2.3 | 0.006 [12] |
| 29 | >25 | 11 (1.8) | 46.5 | ND | ND |
| 30 | 73 | 23 (2.1) | 19.5 | ND | ND |
| 31 | 34 | 23 (1.4) | 24.5 | ND | ND |
| Combretastatin A-4 | ND | ND | ND | 0.0016 | 0.003 |
| Rifampicin | 0.0087 | 0.0044 | ND | ND | ND |
| Vina Docking Score (kcal/mol) | Kd (µM) | GoldScore Fitness | ||||
|---|---|---|---|---|---|---|
| Chalcone | PtpA 1U2P | PtpB 2OZ5 | PtpA 1U2P | PtpB 2OZ5 | PtpA 1U2P | PtpB 2OZ5 |
| 13 | −8.2 | −9.2 | 0.96 | 0.18 | 54.95 | 60.47 |
| 19 | −7.3 | −8.9 | 4.4 | 029 | 43.8 | 55.1 |
| 20 | −8.1 | −9.6 | 1.1 | 0.09 | 49.14 | 54.88 |
| 21 | −6.9 | −8 | 8.6 | 1.3 | 44.06 | 47.12 |
| 2 | −7.3 | −7.6 | 4.4 | 2.6 | 44.73 | 61.63 |
Disclaimer/Publisher’s Note: The statements, opinions and data contained in all publications are solely those of the individual author(s) and contributor(s) and not of MDPI and/or the editor(s). MDPI and/or the editor(s) disclaim responsibility for any injury to people or property resulting from any ideas, methods, instructions or products referred to in the content. |
© 2024 by the authors. Licensee MDPI, Basel, Switzerland. This article is an open access article distributed under the terms and conditions of the Creative Commons Attribution (CC BY) license (https://creativecommons.org/licenses/by/4.0/).
Share and Cite
Aziafor, K.; Ruparelia, K.; Moulds, B.; Zloh, M.; Parish, T.; Brucoli, F. Design and Synthesis of Pyridyl and 2-Hydroxyphenyl Chalcones with Antitubercular Activity. Molecules 2024, 29, 4539. https://doi.org/10.3390/molecules29194539
Aziafor K, Ruparelia K, Moulds B, Zloh M, Parish T, Brucoli F. Design and Synthesis of Pyridyl and 2-Hydroxyphenyl Chalcones with Antitubercular Activity. Molecules. 2024; 29(19):4539. https://doi.org/10.3390/molecules29194539
Chicago/Turabian StyleAziafor, Kelphina, Ketan Ruparelia, Brandon Moulds, Mire Zloh, Tanya Parish, and Federico Brucoli. 2024. "Design and Synthesis of Pyridyl and 2-Hydroxyphenyl Chalcones with Antitubercular Activity" Molecules 29, no. 19: 4539. https://doi.org/10.3390/molecules29194539
APA StyleAziafor, K., Ruparelia, K., Moulds, B., Zloh, M., Parish, T., & Brucoli, F. (2024). Design and Synthesis of Pyridyl and 2-Hydroxyphenyl Chalcones with Antitubercular Activity. Molecules, 29(19), 4539. https://doi.org/10.3390/molecules29194539

